London Rocket (Sisymbrium irio L.) as Healthy Green: Bioactive Compounds and Bioactivity of Plants Grown in Wild and Controlled Environments
Abstract
1. Introduction
2. Results
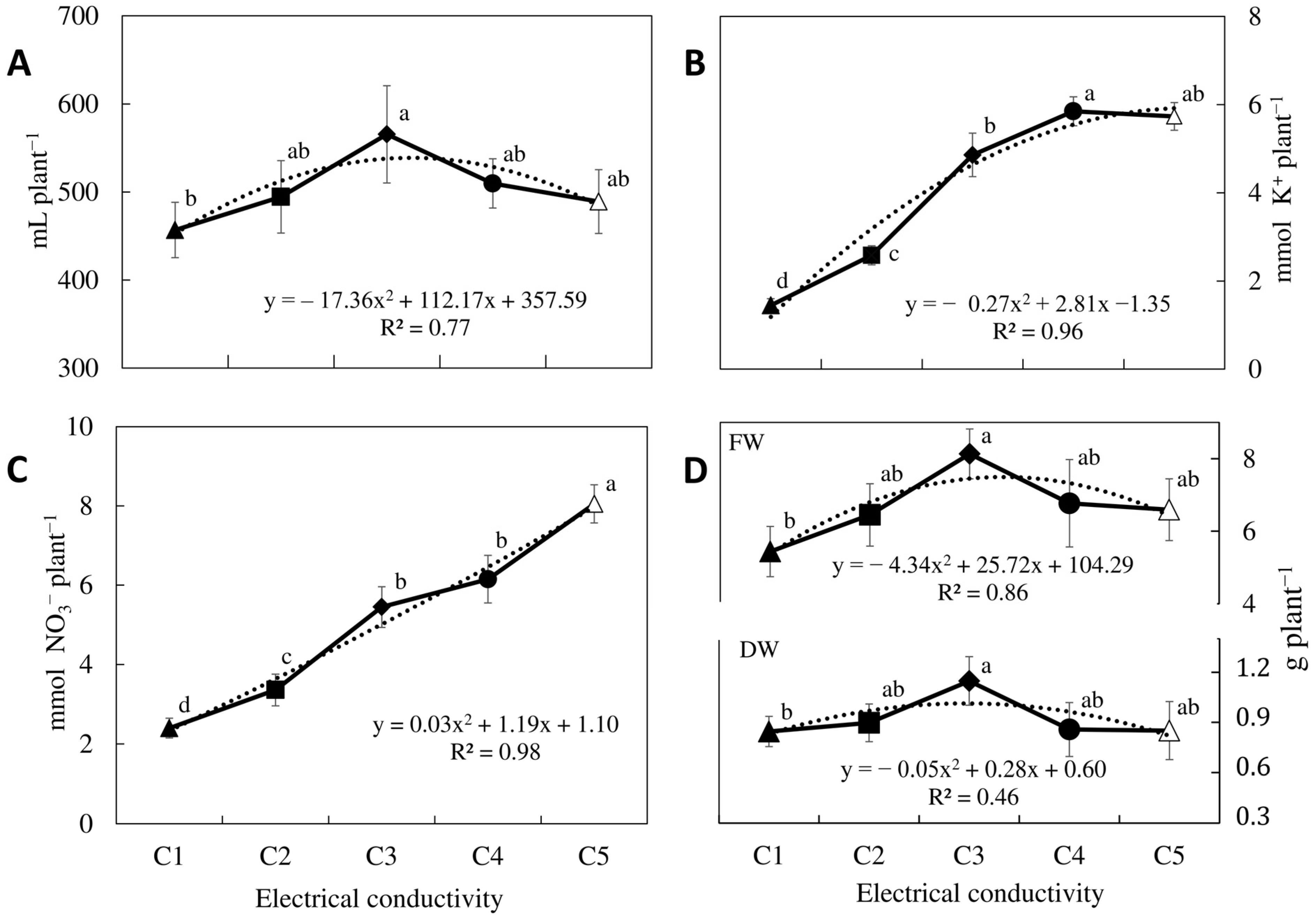
2.1. Effect of Salinity and Light on Growth Parameters in Cultivated S. irio
2.2. Moisture
2.3. Vitamin C Content
2.4. Antioxidant Activity
2.5. Total Phenols and Flavonoids
2.6. Phenolic Compound Profiles
2.7. Glucosinolates
2.8. Principal Component Analysis
2.9. Antiproliferative Activity of S. irio Extracts
3. Discussion
3.1. Effect of Salinity and Light on Growth Parameters in S. irio
3.2. Vitamin C Content
3.3. Antioxidant Activity
3.4. Phenolic Compounds
3.5. Glucosinolates Content
3.6. Principal Component Analysis
3.7. Antiproliferative Activity of the Ethanol Extracts of S. irio on HT-29 Cancer Cells
4. Materials and Methods
4.1. Solvents and Reagents
4.2. Samples and Growth Conditions
4.3. Extraction and Quantification of Vitamin C
4.4. Extraction of Phenolic Compounds
4.5. Determination of Total Phenolic and Total Flavonoids Content
4.6. Characterization of Phenolic Compounds by HPLC–DAD
4.7. Characterization of Phenolic Compounds by LC–MS
4.8. Determination of the Antioxidant Activity
4.9. Glucosinolates Extraction, HPLC–DAD-ESI/MSn Identification, and HPLC–DAD Quantitation
4.10. Antitumor Assay
4.11. Statistical Analysis
5. Conclusions
Supplementary Materials
Author Contributions
Funding
Institutional Review Board Statement
Informed Consent Statement
Data Availability Statement
Acknowledgments
Conflicts of Interest
References
- Carvalho, A.M.; Barata, A.M. The consumption of wild edible plants. In Wild Plants, Mushrooms and Nuts: Functional Food Properties and Applications; John Wiley & Sons, Ltd.: Hoboken, NJ, USA, 2016; pp. 159–198. [Google Scholar] [CrossRef]
- Vohora, S.B.; Nagvi, S.A.; Kumar, H.I. Antipyretic analgesic and antimicrobial studies on Sismbruym irio. Planta Med. 1980, 38, 255–259. [Google Scholar] [CrossRef] [PubMed]
- Tiwari, M.; Bhargava, P. Current updates on Sisymbrium irio linn: A traditional medicinal plant. Plant Arch. 2021, 21, 411–419. [Google Scholar] [CrossRef]
- Guil-Guerrero, J.L.; Giménez-Martínez, J.J.; Torija-Isasa, M.E. Nutritional composition of wild edible crucifer species. J. Food Biochem. 1999, 23, 283–294. [Google Scholar] [CrossRef]
- Khan, M.S.Y.; Javed, K.; Hasnain Khan, M. Chemical constituents of the aerial parts of Sisymbrium irio. J. Indian Chem. Soc. 1991, 68, 32. [Google Scholar]
- Itziar, A.; Marii, A.; Peromartino, Z. Nine acetylated glycosides of Sismbrium gilliesii. Phytochemistry 1982, 21, 2875. [Google Scholar]
- Rizk, A.; Heiba, H.I.; Mayerigi, H.A.; Batanony, K.H. Phytochemical screening of some Sismbrium species. Fitoterapia 1986, 57, 3. [Google Scholar]
- Lockwood, G.B.; Fsharypuor, S. Some chemical constituents of Sisymbrium sophia. Bull. Liaison Group Polyphenol 1986, 13, 598. [Google Scholar]
- Arayno, M.S.; Zafor, N. Phenolic compounds of Sisymbrium incisum. J. Pharm. 1983, 2, 11. [Google Scholar]
- Krets, L.G.; Domashenko, L.G.; Negare, N.P.; Railyan, A.F. Glycoside from Sisymbrium species. Ser. Biol. Khim. Nauk 1987, 6, 25. [Google Scholar]
- Al-Jaber, N.A. Phytochemical and biological studies of Sisymbrium irio L. growing in Saudi Arabia. J. Saudi Chem. Soc. 2011, 15, 345–350. [Google Scholar] [CrossRef]
- Gruenwald, J.; Brendler, T.; Jaenicke, C. Hedge mustard-Sisymbrium officinale. In PDR for Herbal Medicines, 3rd ed.; Thompson: Stamford, CT, USA, 2004; pp. 426–427. ISBN 1-56363-512-7. [Google Scholar]
- Melrose, J. The glucosinolates: A sulphur glucoside family of mustard anti-tumour and antimicrobial phytochemicals of potential therapeutic application. Biomedicines 2019, 7, 62. [Google Scholar] [CrossRef]
- Nájera, C.; Ros, M.; Moreno, D.A.; Hernández-Lara, A.; Pascual, J.A. Combined effect of an agro-industrial compost and light spectra composition on yield and phytochemical profile in mizuna and pak choi microgreens. Heliyon 2024, 10, e26390. [Google Scholar] [CrossRef]
- Simsek, M.; Whitney, K. Examination of primary and secondary metabolites associated with a plant-based diet and their impact on human health. Foods 2024, 13, 1020. [Google Scholar] [CrossRef] [PubMed]
- Akram, M.; Jabeen, F.; Riaz, M.; Khan, F.S.; Okushanova, E.; Imran, M.; Ali, S.M.; Riaz, T.; Egbuna, C.; Ezeofor, N.J. Health benefits of glucosinolate isolated from cruciferous and other vegetables. In Preparation of Phytopharmaceuticals for the Management of Disorders; Academic Press: Cambridge, MA, USA, 2021; pp. 361–371. [Google Scholar] [CrossRef]
- Maher, S.; Nisar, S.; Aslam, S.M.; Saleem, F.; Behlil, F.; Imran, M.; Aslam, P. Synthesis and characterization of ZnO nanoparticles derived from biomass (Sisymbrium irio) and assessment of potential anticancer activity. ACS Omega 2023, 8, 15920–15931. [Google Scholar] [CrossRef]
- Al-Massarani, S.M.; El Gamal, A.A.; Alam, P.; Al-Sheddi, E.S.; Al-Oqail, M.M.; Farshori, N.N. Isolation, biological evaluation and validated HPTLC-quantification of the marker constituent of the edible Saudi plant Sisymbrium irio L. Saudi Pharm. J. 2017, 25, 750–759. [Google Scholar] [CrossRef] [PubMed]
- Delian, E.; Chira, A.; Bădulescu, L.; Chira, L. Insights into microgreens physiology. Sci. Pap.-Ser. B Hortic. 2015, 59, 447–454. [Google Scholar]
- Ferrón-Carrillo, F.; Guil-Guerrero, J.L.; González-Fernández, M.J.; Lyashenko, S.; Battafarano, F.; Cunha-Chiamolera, T.P.L.; Urrestarazu, M. LED enhances plant performance and both carotenoids and nitrates profiles in lettuce. Plant Food Hum. Nutr. 2021, 76, 210–218. [Google Scholar] [CrossRef] [PubMed]
- Maas, E.V.; Hoffman, G.J. Crop salt tolerance-current assessment. J. Irrig. Drain. Div. 1977, 103, 115–134. [Google Scholar] [CrossRef]
- Chourak, Y.; Belarbi, E.H.; Cunha-Chiamolera, T.P.L.; Guil-Guerrero, J.L.; Carrasco, G.; Urrestarazu, M. Effect of macro-nutrient conditions and electrical conductivity on the quality of saffron grown in soilless culture systems. J. Soil Sci. Plant Nutr. 2022, 22, 4449–4457. [Google Scholar] [CrossRef]
- Moya, C.; Oyanedel, E.; Verdugo, G.; Flores, M.F.; Urrestarazu, M.; Álvaro, J.E. Increased electrical conductivity in nutrient solution management enhances dietary and organoleptic qualities in soilless culture tomato. HortScience 2017, 52, 868–872. [Google Scholar] [CrossRef]
- Cuartero, J.; Fernández, R. Tomato and salinity. Sci. Hortic. 1999, 78, 83–125. [Google Scholar] [CrossRef]
- Signore, A.; Serio, F.; Santamaria, P. A targeted management of the nutrient solution in a soilless tomato crop according to plant needs. Front. Plant Sci. 2016, 7, 391. [Google Scholar] [CrossRef]
- Avercheva, O.V.; Berkovich, Y.A.; Erokhin, A.N.; Zhigalova, T.V.; Pogosyan, S.I.; Smolyanina, S.O. Growth and photosynthesis of Chinese cabbage plants grown under light-emitting diode-based light source. Russ. J. Plant Physiol. 2009, 56, 14–21. [Google Scholar] [CrossRef]
- Zhang, X.; Bian, Z.; Yuan, X.; Chen, X.; Lu, C. A review on the effects of light-emitting diode (LED) light on the nutrients of sprouts and microgreens. Trends Food Sci. Technol. 2020, 99, 203–216. [Google Scholar] [CrossRef]
- Morrow, R.C. LED lighting in horticulture. HortScience 2008, 43, 1947–1950. [Google Scholar] [CrossRef]
- Ying, Q.; Kong, Y.; Jones-Baumgardt, C.; Zheng, Y. Responses of yield and appearance quality of four brassicaceae microgreens to varied blue light proportion in red and blue light-emitting diodes lighting. Sci. Hortic. 2020, 259, 108857. [Google Scholar] [CrossRef]
- Cunha-Chiamolera, T.P.L.; Chileh-Chelh, T.; Urrestarazu, M.; Ezzaitouni, M.; López-Ruiz, R.; Gallón-Bedoya, M.; Rincón-Cervera, M.Á.; Guil-Guerrero, J.L. Crop productivity, phytochemicals, and bioactivities of wild and grown in controlled environment slender amaranth (Amaranthus viridis L.). Agronomy 2024, 14, 2038. [Google Scholar] [CrossRef]
- Rincón-Cervera, M.Á.; Cunha-Chiamolera, T.P.L.; Chileh-Chelh, T.; Carmona-Fernández, M.; Urrestarazu, M.; Guil-Guerrero, J.L. Growth parameters, phytochemicals, and antitumor activity of wild and cultivated ice plants (Mesembryanthemum crystallinum L.). Food Sci. Nutr. 2024, 12, 6548–6562. [Google Scholar] [CrossRef] [PubMed]
- Peçanha, D.A.; Cunha-Chiamolera, T.P.L.; Chourak, Y.; Martínez-Rivera, E.Y.; Urrestarazu, M. Effect of the matric potential on growth and water, nitrate, and potassium absorption of vegetables under soilless culture. J. Soil Sci. Plant Nutr. 2021, 21, 3493–3501. [Google Scholar] [CrossRef]
- Urrestarazu, M.; Carrasco, G. Soilless Culture and Hydroponics; Mundi-Prensa: Madrid, Spain, 2023; ISBN 13: 9788484767664. [Google Scholar]
- Brendel, O. The relationship between plant growth and water consumption: A history from the classical four elements to modern stable isotopes. Ann. For. Sci. 2021, 78, 47. [Google Scholar] [CrossRef]
- Sonneveld, C.; Voogt, W. Plant Nutrition of Greenhouse Crops; Springer: Dordrecht, The Netherland, 2009. [Google Scholar] [CrossRef]
- Gallegos-Cedillo, V.M.; Urrestarazu, M.; Álvaro, J.E. Influence of salinity on transport of nitrates and potassium by means of the xylem sap content between roots and leaves in young tomato plants. J. Soil Sci. Plant Nutr. 2016, 16, 991–998. [Google Scholar] [CrossRef]
- Rodríguez, D.; Reca, J.; Martínez, J.; Lao, M.T.; Urrestarazu, M. Effect of controlling the leaching fraction on the fertigation and production of a tomato crop under soilless culture. Sci. Hortic. 2014, 179, 153–157. [Google Scholar] [CrossRef]
- Adams, P. Nutrition of greenhouse vegetables in NFT and hydroponic systems. Acta Hortic. 1994, 361, 245–257. [Google Scholar] [CrossRef]
- Arnon, D.I.; Johnson, C.M. Influence of hydrogen ion concentration on the growth of higher plants under controlled conditions. Plant Physiol. 1942, 17, 525–539. [Google Scholar] [CrossRef] [PubMed]
- Truog, E. Lime in relation to availability of plant nutrients. Soil Sci. 1948, 65, 1–8. [Google Scholar] [CrossRef]
- Álvarez-García, M.; Urrestarazu, M.; Guil-Guerrero, J.L.; Jiménez-Becker, S. Effect of fertigation using fish production wastewater on Pelargonium x zonale growth and nutrient content. Agric. Water Manag. 2019, 223, 105726. [Google Scholar] [CrossRef]
- Sonneveld, C. Rockwool as a substrate for greenhouse crops. In Biotechnology in Agriculture and Forestry; Bajaj, Y.P.S., Ed.; Springer: Berlin/Heidelberg, Germany, 1991; Volume 17, pp. 285–312. [Google Scholar]
- Pennisi, G.; Blasioli, S.; Cellini, A.; Maia, L.; Crepaldi, A.; Braschi, I.; Spinelli, F.; Nicola, S.; Fernandez, J.A.; Stanghellini, C.; et al. Unraveling the role of red LED lights on resource use efficiency and nutritional properties of indoor grown sweet basil. Front. Plant Sci. 2019, 10, 305. [Google Scholar] [CrossRef]
- Spalholz, H.; Perkins-Veazie, P.; Hernández, R. Impact of sun-simulated white light and varied blue spectrums on the growth, morphology, development, and phytochemical content of green- and red-leaf lettuce at different growth stages. Sci. Hortic. 2020, 264, 109195. [Google Scholar] [CrossRef]
- Castañeda-Loaiza, V.; Oliveira, M.; Santos, T.; Schüler, L.; Lima, A.R.; Gama, F.; Salazar, M.; Neng, N.R.; Nogueira, J.M.F.; Varela, J.; et al. Wild vs cultivated halophytes: Nutritional and functional differences. Food Chem. 2020, 333, 127536. [Google Scholar] [CrossRef]
- Guil, J.L.; Rodríguez-García, I.; Torija, E. Nutritional and toxic factors in selected wild edible plants. Plant Foods Hum. Nutr. 1997, 51, 99–107. [Google Scholar] [CrossRef]
- Floegel, A.; Kim, D.O.; Chung, S.J.; Koo, S.I.; Chun, O.K. Comparison of ABTS/DPPH assays to measure antioxidant capacity in popular antioxidant-rich US foods. J. Food Compos. Anal. 2011, 24, 1043–1048. [Google Scholar] [CrossRef]
- Calvo, M.M.; Martín-Diana, A.B.; Rico, D.; López-Caballero, M.E.; Martínez-Álvarez, O. Antioxidant, antihypertensive, hypoglycaemic, and nootropic activity of a polyphenolic extract from the halophyte ice plant (Mesembryanthemum crystallinum). Foods 2022, 11, 1581. [Google Scholar] [CrossRef] [PubMed]
- García-Caparrós, P.; Hasanuzzaman, M.; Lao, M.T. Oxidative stress and antioxidant defense in plants under salinity. In Reactive Oxygen, Nitrogen and Sulfur Species in Plants, 1st ed.; Hasanuzzaman, M., Fotopoulos, V., Nahar, K., Fujita, M., Eds.; Wiley: Hoboken, NJ, USA, 2019; pp. 291–309. [Google Scholar] [CrossRef]
- Sadeer, N.B.; Montesano, D.; Albrizio, S.; Zengin, G.; Mahomoodally, M.F. The versatility of antioxidant assays in food science and safety-Chemistry, applications, strengths, and limitations. Antioxidants 2020, 9, 709. [Google Scholar] [CrossRef]
- Marzouk, M.M.; Al-Nowaihi, A.M.; Kawashty, S.A.; Saleh, N.A.M. Chemosystematic studies on certain species of the family Brassicaceae (Cruciferae) in Egypt. Biochem. Syst. Ecol. 2010, 38, 680–685. [Google Scholar] [CrossRef]
- Han, H.; Kim, J.E.; Lee, H.J. Effect of apigetrin in pseudo-SARS-CoV-2-induced inflammatory and pulmonary fibrosis in vitro model. Sci. Rep. 2024, 14, 14545. [Google Scholar] [CrossRef]
- Ali, F.; Rahul; Naz, F.; Jyoti, S.; Siddique, Y.H. Health functionality of apigenin: A review. Int. J. Food Prop. 2017, 20, 1197–1238. [Google Scholar] [CrossRef]
- Sun, Q.; Lu, N.N.; Feng, L. Apigetrin inhibits gastric cancer progression through inducing apoptosis and regulating ROS-modulated STAT3/JAK2 pathway. Biochem. Biophys. Res. Commun. 2018, 498, 164–170. [Google Scholar] [CrossRef] [PubMed]
- Possenti, M.; Baima, S.; Raffo, A.; Durazzo, A.; Giusti, A.M.; Natella, F. Glucosinolates in Food. In Glucosinolates; Mérillon, J.M., Ramawat, K., Eds.; Reference Series in Phytochemistry; Springer: Cham, Switzerland, 2016; pp. 1–46. [Google Scholar]
- Borgonovo, G.; Zimbaldi, N.; Guarise, M.; Bedussi, F.; Winnig, M.; Vennegeerts, T.; Bassoli, A. Glucosinolates in Sisymbrium officinale (L.) Scop.: Comparative analysis in cultivated and wild plants and in vitro assays with T2Rs bitter taste receptors. Molecules 2019, 24, 4572. [Google Scholar] [CrossRef] [PubMed]
- Zorzan, M.; Zucca, P.; Collazuol, D.; Peddio, S.; Rescigno, A.; Pezzani, R. Sisymbrium officinale, the plant of singers: A review of its properties and uses. Planta Med. 2020, 86, 307–311. [Google Scholar] [CrossRef] [PubMed]
- Đulović, A.; Popović, M.; Burčul, F.; Čikeš Čulić, V.; Marín, A.; Ruščić, M.; Anđelković, N.; Blažević, I. Glucosinolates of Sisymbrium officinale and S. orientale. Molecules 2022, 27, 8431. [Google Scholar] [CrossRef] [PubMed]
- Cole, R.A. Isothiocyanates, nitriles and thiocyanates as products of autolysis of glucosinolates in Cruciferae. Phytochemistry 1976, 15, 759–762. [Google Scholar] [CrossRef]
- Blažević, I.; Radonić, A.; Mastelić, J.; Zekić, M.; Skočibušić, M.; Maravić, A. Hedge mustard (Sisymbrium officinale): Chemical diversity of volatiles and their antimicrobial activity. Chem. Biodivers. 2010, 7, 2023–2034. [Google Scholar] [CrossRef] [PubMed]
- Sultana, T.; Savage, G.P.; McNeil, D.L.; Porter, N.G.; Clark, B. Comparison of flavour compounds in wasabi and horseradish. J. Food Agric. Environ. 2003, 1, 117–121. [Google Scholar]
- Sikorska-Zimny, K.; Beneduce, L. The metabolism of glucosinolates by gut microbiota. Nutrients 2021, 13, 2750. [Google Scholar] [CrossRef] [PubMed] [PubMed Central]
- Radošević, K.; Srček, V.G.; Bubalo, M.C.; Brnčić, S.R.; Takács, K.; Redovniković, I.R. Assessment of glucosinolates, antioxidative and antiproliferative activity of broccoli and collard extracts. J. Food Compos. Anal. 2017, 61, 59–66. [Google Scholar] [CrossRef]
- Deng, Q.; Zinoviadou, K.G.; Galanakis, C.M.; Orlien, V.; Grimi, N.; Vorobiev, E.; Barba, F.J. The effects of conventional and non-conventional processing on glucosinolates and its derived forms, isothiocyanates: Extraction, degradation, and applications. Food Eng. Rev. 2015, 7, 357–381. [Google Scholar] [CrossRef]
- Corti, E.; Falsini, S.; Gonnelli, C.; Pieraccini, G.; Nako, B.; Papini, A. Salt-affected rocket plants as a possible source of glucosinolates. Int. J. Mol. Sci. 2023, 24, 5510. [Google Scholar] [CrossRef] [PubMed]
- Klimek-Szczykutowicz, M.; Prokopiuk, B.; Dziurka, K.; Pawłowska, B.; Ekiert, H.; Szopa, A. The influence of different wavelengths of LED light on the production of glucosinolates and phenolic compounds and the antioxidant potential in in vitro cultures of Nasturtium officinale (watercress). Plant Cell Tissue Organ Cult. 2022, 149, 113–122. [Google Scholar] [CrossRef]
- Maina, S.; Ryu, D.H.; Cho, J.Y.; Jung, D.S.; Park, J.-E.; Nho, C.W.; Bakari, G.; Misinzo, G.; Jung, J.H.; Yang, S.-H.; et al. Exposure to salinity and light spectra regulates glucosinolates, phenolics, and antioxidant capacity of Brassica carinata L. microgreens. Antioxidants 2021, 10, 1183. [Google Scholar] [CrossRef] [PubMed]
- Moon, J.; Jeong, M.J.; Lee, S.I.; Lee, J.G.; Hwang, H.; Yu, J.; Kim, J.A. Effect of LED mixed light conditions on the glucosinolate pathway in Brassica rapa. J. Plant Biotechnol. 2015, 42, 245–256. [Google Scholar] [CrossRef]
- Šamec, D.; Linić, I.; Salopek-Sondi, B. Salinity stress as an elicitor for phytochemicals and minerals accumulation in selected leafy vegetables of Brassicaceae. Agronomy 2021, 11, 361. [Google Scholar] [CrossRef]
- Moreira-Rodríguez, M.; Nair, V.; Benavides, J.; Cisneros-Zevallos, L.; Jacobo-Velázquez, D.A. UVA, UVB light doses and harvesting time differentially tailor glucosinolates and phenolic profiles in Broccoli Sprouts. Molecules 2017, 22, 1065. [Google Scholar] [CrossRef] [PubMed]
- Lan, H.; Wang, C.; Yang, Z.; Zhu, J.; Fang, W.; Yin, Y. The impact of lighting treatments on the biosynthesis of phenolic acids in black wheat seedlings. Foods 2024, 13, 2499. [Google Scholar] [CrossRef]
- Ebisawa, M.; Shoji, K.; Kato, M.; Shimomura, K.; Goto, F.; Yoshihara, T. Supplementary ultraviolet radiation B together with blue light at night increased quercetin content and flavonol synthase gene expression in leaf lettuce (Lactuca sativa L.). Environ. Control Biol. 2008, 46, 1–11. [Google Scholar] [CrossRef]
- Kang, C.H.; Yoon, E.K.; Muthusamy, M.; Kim, J.A.; Jeong, M.J.; Lee, S.I. Blue LED light irradiation enhances L-ascorbic acid content while reducing reactive oxygen species accumulation in chinese cabbage seedlings. Sci. Hortic. 2020, 261, 108924. [Google Scholar] [CrossRef]
- Smiljkovic, M.; Stanisavljevic, D.; Stojkovic, D.; Petrovic, I.; Vicentic, J.M.; Popovic, J.; Grdadolnik, S.G.; Markovic, D.; Sankovic-Babice, S.; Glamoclija, J.; et al. Apigenin-7-O-glucoside versus apigenin: Insight into the modes of anticandidal and cytotoxic actions. EXCLI J. 2017, 16, 795–807. [Google Scholar] [CrossRef]
- Bhosale, P.B.; Abusaliya, A.; Kim, H.H.; Ha, S.E.; Park, M.Y.; Jeong, S.H.; Vetrivel, P.; Heo, J.D.; Kim, J.A.; Won, C.K.; et al. Apigetrin promotes TNFα-Induced apoptosis, necroptosis, G2/M phase cell cycle arrest, and ROS generation through inhibition of NF-κB pathway in Hep3B liver cancer cells. Cells 2022, 11, 2734. [Google Scholar] [CrossRef] [PubMed]
- Liu, M.-M.; Ma, R.-H.; Ni, Z.-J.; Thakur, K.; Cespedes-Acuña, C.L.; Jiang, L.; Wei, Z.-J. Apigenin 7-O-glucoside promotes cell apoptosis through the PTEN/PI3K/AKT pathway and inhibits cell migration in cervical cancer HeLa cells. Food Chem. Toxicol. 2020, 146, 111843. [Google Scholar] [CrossRef] [PubMed]
- El-Seedi, H.R.; Burman, R.; Mansour, A.; Turki, Z.; Boulos, L.; Gullbo, J.; Göransson, U. The traditional medical uses and cytotoxic activities of sixty-one Egyptian plants: Discovery of an active cardiac glycoside from Urginea maritima. J. Ethnopharmacol. 2013, 145, 746–757. [Google Scholar] [CrossRef]
- Williams, D.E. Indoles derived from glucobrassicin: Cancer chemoprevention by indole-3-carbinol and 3,3′-diindolylmethane. Front. Nutr. 2021, 8, 734334. [Google Scholar] [CrossRef] [PubMed]
- Lyashenko, S.; Fabrikov, D.; González-Fernández, M.J.; Gómez-Mercado, F.; Ruiz, R.L.; Fedorov, A.; Guil-Guerrero, J.L. Phenolic composition and in vitro antiproliferative activity of Borago spp. seed extracts on HT-29 cancer cells. Food Biosci. 2021, 42, 101043. [Google Scholar] [CrossRef]
- Vichitsakul, K.; Laowichuwakonnukul, K.; Soontornworajit, B.; Poomipark, N.; Itharat, A.; Rotkrua, P. Anti-proliferation and induction of mitochondria-mediated apoptosis by Garcinia hanburyi resin in colorectal cancer cells. Heliyon 2023, 9, e16411. [Google Scholar] [CrossRef] [PubMed]
- Ramos-Bueno, R.P.; Rincón-Cervera, M.A.; González-Fernández, M.J.; Guil-Guerrero, J.L. Phytochemical composition and antitumor activities of new salad greens: Rucola (Diplotaxis tenuifolia) and corn salad (Valerianella locusta). Plant Foods Hum. Nutr. 2016, 71, 197–203. [Google Scholar] [CrossRef]
- Volden, J.; Bengtsson, G.B.; Wicklund, T. Glucosinolates, L-ascorbic acid, total phenols, anthocyanins, antioxidant capacities and color in cauliflower (Brassica oleracea L. ssp. botrytis); effects of long-term freezer storage. Food Chem. 2009, 112, 967–976. [Google Scholar] [CrossRef]
- Singleton, V.L.; Orthofer, R.; Lamuela-Raventós, R.M. Analysis of total phenols and other oxidation substrates and antioxidants by means of folin-ciocalteu reagent. Methods Enzymol. 1999, 299, 152–178. [Google Scholar] [CrossRef]
- Zou, Y.; Lu, Y.; Wei, D. Antioxidant activity of flavonoid-rich extracts of Hypericum perforatum L. in vitro. J. Agric. Food Chem. 2004, 52, 5032–5039. [Google Scholar] [CrossRef] [PubMed]
- Re, R.; Pellegrini, N.; Proteggente, A.; Pannala, A.; Yang, M.; Rice-Evans, C. Antioxidant activity applying an improved ABTS radical cation decolorization assay. Free Radic. Biol. Med. 1999, 26, 1231–1237. [Google Scholar] [CrossRef]
- Skenderidis, P.; Kerasioti, E.; Karkanta, E.; Stagos, D.; Kouretas, D.; Petrotos, K.; Tsakalof, A. Assessment of the antioxidant and antimutagenic activity of extracts from goji berry of Greek cultivation. Toxicol. Rep. 2018, 5, 251–257. [Google Scholar] [CrossRef]
- Abellán, Á.; Domínguez-Perles, R.; García-Viguera, C.; Moreno, D.A. In vitro evidence on bioaccessibility of flavonols and cinnamoyl derivatives of cruciferous sprouts. Nutrients 2021, 13, 4140. [Google Scholar] [CrossRef] [PubMed]
- Velasco, P.; Francisco, M.; Moreno, D.A.; Ferreres, F.; García-Viguera, C.; Cartea, M.E. Phytochemical fingerprinting of vegetable Brassica oleracea and Brassica napus by simultaneous identification of glucosinolates and phenolics. Phytochem. Anal. 2011, 22, 144–152. [Google Scholar] [CrossRef] [PubMed]
- Ramos-Bueno, R.P.; Romero-González, R.; González-Fernández, M.J.; Guil-Guerrero, J.L. Phytochemical composition and in vitro anti-tumour activities of selected tomato varieties. J. Sci. Food Agric. 2017, 97, 488–496. [Google Scholar] [CrossRef]
- Sonneveld, C.; Straver, N.B. Nutrient solution for vegetables and flowers grown in water or substrates. Voedingspoloss. Glas. 1994, 8, 33. [Google Scholar]
- Rawat, P.; Singh, Y.; Tiwari, S.; Mishra, D.K.; Kanojiya, S. The characterization and quantification of structures of Cajanus scarabaeoides phytochemicals and their seasonal variation analysis using ultra-performance liquid chromatography-tandem mass spectrometry. Rapid Commun. Mass Spectrom. 2023, 37, e9440. [Google Scholar] [CrossRef]
- Dantas, C.A.G.; Abreu, L.S.; da Cunha, H.N.; Veloso, C.A.G.; Souto, A.L.; Agra, M.F.; Costa, V.C.O.; da Silva, M.S.; Tavares, J.F. Dereplication of phenolic derivatives of three Erythroxylum species using liquid chromatography coupled with ESI-MSn and HRESIMS. Phytochem. Anal. 2021, 32, 1011–1026. [Google Scholar] [CrossRef] [PubMed]
- Marcum, C.L.; Jarrell, T.M.; Zhu, H.; Owen, B.C.; Haupert, L.J.; Easton, M.; Hosseinaei, O.; Bozell, J.; Nash, J.J.; Kenttämaa, H.I. A fundamental tandem mass spectrometry study of the collision activated dissociation of small, deprotonated molecules relaed to lignin. ChemSusChem 2016, 9, 3513–3526. [Google Scholar] [CrossRef]
- Abrankó, L.; Szilvássy, B. Mass spectrometric profiling of flavonoid glycoconjugates possessing isomeric aglycones. J. Mass Spectrom. 2015, 50, 71–80. [Google Scholar] [CrossRef] [PubMed]
- Liang, Y.; Zhao, W.; Wang, C.; Wang, Z.; Wang, Z.; Zhang, J. A comprehensive screening and identification of genistin metabolites in rats based on multiple metabolite templates combined with UHPLC-HRMS analysis. Molecules 2018, 23, 1862. [Google Scholar] [CrossRef]
- Wu, F.P.; Liu, L.H.; Jin, P.; Pu, H.; Cai, W. Determination of metabolites of phloretin in rats using UHPLC-LTQ-Orbitrap mass spectrometry. Trop. J. Pharm. Res. 2019, 18, 2167–2173. [Google Scholar] [CrossRef]
- Fabre, N.; Rustan, I.; de Hoffmann, E.; Quetin-Leclercq, J. Determination of flavone, flavonol, and flavanone aglycones by negative ion liquid chromatography electrospray ion trap mass spectrometry. J. Am. Soc. Mass Spectrom. 2001, 12, 707–715. [Google Scholar] [CrossRef]
- Yehia, S.M.; Ayoub, I.M.; Watanabe, M.; Devkota, H.P.; Singab, A.N.B. Metabolic profiling, antioxidant, and enzyme inhibition potential of Iris pseudacorus L. from Egypt and Japan: A comparative study. Sci. Rep. 2023, 13, 5233. [Google Scholar] [CrossRef]
- Śliwka-Kaszyńska, M.; Anusiewicz, I.; Skurski, P. The mechanism of a retro-diels–alder fragmentation of luteolin: Theoretical studies supported by electrospray ionization tandem mass spectrometry results. Molecules 2022, 27, 1032. [Google Scholar] [CrossRef] [PubMed]






| Antioxidant Activity | ||||||
|---|---|---|---|---|---|---|
| Samples/Codes | Moisture g 100 g−1 | DPPH mmol TE 100 g−1 dw | ABTS mmol TE 100 g−1 dw | Vitamin C mg 100 g−1 fw | TPC mg GAE 100 g−1 fw | TFC mg QE 100 g−1 fw |
| Wild plants | ||||||
| WD | 82.6 ± 0.1 bc | 8.03 ± 0.3 c | 6.58 ± 0.0 b | 75.5 ± 0.4 gh | 518.4 ± 4.0 b | 328.1 ± 8.6 a |
| WG | 86.1 ± 0.6 a | 8.67 ± 0.4 a | 6.81 ± 0.2 a | 50.7 ± 0.9 h | 561.9 ± 23.2 a | 204.5 ± 24.2 b |
| WM | 86.0 ± 0.2 a | 8.27 ± 0.2 bc | 6.54 ± 0.4 b | 65.2 ± 0.6 gh | 503.8 ± 29.3 b | 191.2 ± 32.9 bc |
| WT | 86.0 ± 0.1 a | 8.56 ± 0.2 ab | 6.49 ± 0.0 bc | 84.3 ± 3.0 fg | 575.4 ± 37.7 a | 336.8 ± 7.1 a |
| Growth in controlled environment plants | ||||||
| Saline treatments | ||||||
| C1 (2.0 dS m−1) | 80.5 ± 0.7 d | 6.14 ± 0.3 f | 4.45 ± 0.0 g | 95.3 ± 2.7 efg | 395.2 ± 4.4 ef | 135.7 ± 10.9 bcde |
| C2 (2.5 dS m−1) | 81.3 ± 0.5 cd | 6.36 ± 0.1 ef | 4.81 ± 0.1 f | 156.9 ± 15.8 bc | 423.7 ± 18.4 cd | 128.2 ± 3.2 bcde |
| C3 (3.0 dS m−1) | 82.4 ± 1.6 bc | 6.49 ± 0.3 e | 5.28 ± 0.0 e | 193.2 ± 32.2 a | 455.2 ± 34.0 c | 205.4 ± 24.2 b |
| C4 (3.5 dS m−1) | 83.0 ± 0.4 b | 6.51 ± 0.2 e | 5.70 ± 0.1 d | 143.7 ± 20.7 cd | 408.2 ± 2.7 de | 122.3 ± 32.9 cde |
| C5 (4.0 dS m−1) | 80.1 ± 1.8 d | 7.25 ± 0.4 d | 6.14 ± 0.5 c | 186.9 ± 33.9 ab | 409.2 ± 10.6 de | 132.1 ± 8.9 bcde |
| Light treatments | ||||||
| L1 (L18 T8) | 81.5 ± 0.5 bcd | 7.44 ± 0.2 d | 5.62 ± 0.3 d | 84.5 ± 3.0 fg | 385.3 ± 2.0 f | 85.6 ± 0.4 de |
| L2 (L18 AP67) | 82.4 ± 0.2 bc | 5.10 ± 0.2 g | 4.98 ± 0.0 f | 113.9 ± 6.9 def | 265.9 ± 7.8 g | 72.7 ± 4.0 e |
| L3 (L18 NS1) | 80.3 ± 0.3 d | 4.39 ± 0.1 h | 4.33 ± 0.4 g | 119.4 ± 6.6 de | 235.3 ± 5.6 g | 68.0 ± 1.2 e |
| L4 (L18 NS12) | 80.6 ± 0.4 d | 4.50 ± 0.0 h | 6.28 ± 0.2 c | 86.2 ± 12.2 efg | 250.7 ± 8.3 g | 156.7 ± 0.3 bcd |
| α-tocoferol | - | 17.6 ± 0.6 | 8.8 ± 0.5 | - | - | - |
| Ascorbic acid | - | 23.4 ± 1.4 | 10.5 ± 0.2 | - | - | - |
| Caffeic acid | - | 22.2 ± 0.4 | 10.4 ± 0.3 | - | - | - |
| Species/ Codes | Gallocatechin (−) 4 | Protocatechuic Acid | Trans-p-Coumaric Acid | Trans-Ferulic Acid | Quercetin-3-O-Glucoside 5 (Isoquercetin) | Apigenin-7-O-Glucoside (Apigetrin) | Apigenin-7-O-Rutinoside 6 (Isorhoifolin) |
|---|---|---|---|---|---|---|---|
| Wild plants | |||||||
| WD | n.d. | n.d. | 0.2 ± 0.0 ab | 1.1 ± 0.2 cd | 1.4 ± 0.3 cdef | 38.9 ± 1.1 c | 1.2 ± 0.3 bc |
| WG | 0.1 ± 0.0 cd | 1.5 ± 0.3 a | 0.3 ± 0.1 ab | 1.0 ± 0.3 cd | 5.2 ± 0.9 a | 43.2 ± 3.5 c | 1.5 ± 0.2 b |
| WM | 0.1 ± 0.0 cd | 0.9 ± 0.2 b | 0.4 ± 0.2 a | 3.7 ± 0.4 b | 3.7 ± 0.3 b | 57.0 ± 2.9 b | 3.2 ± 0.4 a |
| WT | 0.1 ± 0.0 cd | n.d. | 0.3 ± 0.1 ab | 11.8 ± 1.9 a | 2.1 ± 0.2 c | 86.8 ± 6.4 a | 3.6 ± 0.7 a |
| Growth in controlled environment plants | |||||||
| Saline treatments | |||||||
| C1 | 0.5 ± 0.2 a | n.d. | 0.1 ± 0.0 b | n.d. | 0.7 ± 0.2 e | 5.9 ± 0.9 de | 0.1 ± 0.0 f |
| C2 | 0.3 ± 0.1 ab | n.d. | 0.1 ± 0.0 b | 0.2 ± 0.0 d | 0.9 ± 0.1 ef | 6.9 ± 0.5 de | 0.9 ± 0.2 cd |
| C3 | n.d. | n.d. | 0.2 ± 0.0 ab | 0.4 ± 0.0 d | 1.0 ± 0.3 ef | 5.4 ± 1.1 de | 0.6 ± 0.2 def |
| C4 | 0.1 ± 0.0 cd | n.d. | 0.3 ± 0.0 ab | 0.7 ± 0.1 cd | 1.5 ± 0.4 cde | 4.9 ± 0.7 de | 0.5 ± 0.1 def |
| C5 | 0.2 ± 0.0 bc | n.d. | 0.4 ± 0.2 a | 1.8 ± 0.3 c | 1.8 ± 0.3 cd | 7.7 ± 0.8 de | 0.8 ± 0.2 cde |
| Light treatments | |||||||
| L1 | n.d. | n.d. | 0.2 ± 0.0 ab | 0.2 ± 0.0 d | 0.9 ± 0.1 ef | 8.0 ± 0.9 de | 0.3 ± 0.1 def |
| L2 | n.d. | n.d. | 0.1 ± 0.0 b | 0.3 ± 0.1 d | 0.8 ± 0.2 ef | 7.7 ± 1.1 de | 0.2 ± 0.0 ef |
| L3 | n.d. | n.d. | 0.1 ± 0.0 b | n.d. | 1.1 ± 0.3 def | 9.0 ± 0.8 d | 0.2 ± 0.0 ef |
| L4 | n.d. | n.d. | 0.1 ± 0.0 b | 0.3 ± 0.1 d | 0.7 ± 0.2 e | 3.1 ± 0.7 e | 0.1 ± 0.0 f |
| Species/ codes | Isorhamnetin- 3-O-glucoside 7 | Luteolin | Kaempferol-3-O-rutinoside 8 (Nicotiflorin) | Naringenin | Apigenin | Total flavonoids | Total phenolics |
| Wild plants | |||||||
| WD | 0.1 ± 0.0 bc | 1.2 ± 0.2 a | 0.1 ± 0.0 ab | 0.1 ± 0.0 ab | 8.6 ± 0.8 d | 51.6 ± 1.4 d | 52.9 ± 1.5 d |
| WG | 0.1 ± 0.0 bc | 0.5 ± 0.1 b | 0.1 ± 0.1 ab | 0.2 ± 0.1 ab | 15.6 ± 1.1 a | 66.2 ± 3.8 c | 69.2 ± 3.8 c |
| WM | 0.3 ± 0.1 a | 0.9 ± 0.2 a | 0.2 ± 0.1 a | 0.3 ± 0.1 a | 9.4 ± 1.4 cd | 75.0 ± 3.3 b | 80.1 ± 0.5 b |
| WT | 0.2 ± 0.1 ab | 0.5 ± 0.1 b | 0.1 ± 0.0 ab | 0.1 ± 0.0 ab | 5.0 ± 0.4 ef | 98.4 ± 6.5 a | 110.7 ± 6.9 a |
| Growth in controlled environment plants | |||||||
| Saline treatments | |||||||
| C1 | 0.1 ± 0.1 bc | 0.1 ± 0.0 cd | 0.1 ± 0.0 ab | 0.1 ± 0.0 ab | 3.2 ± 0.5 fg | 10.3 ± 1.1 ef | 10.9 ± 1.2 f |
| C2 | 0.3 ± 0.1 a | 0.3 ± 0.1 bcd | n.d. | 0.2 ± 0.1 ab | 4.9 ± 0.7 ef | 14.4 ± 0.9 e | 15.0 ± 1.1 ef |
| C3 | n.d. | 0.3 ± 0.1 bcd | n.d. | 0.2 ± 0.1 ab | 3.0 ± 0.8 fg | 10.5 ± 1.4 ef | 11.1 ± 1.4 f |
| C4 | n.d. | 0.4 ± 0.2 bc | 0.3 ± 0.2 a | 0.1 ± 0.0 ab | 7.2 ± 0.8 de | 14.9 ± 1.2 e | 16.0 ± 1.2 e |
| C5 | n.d. | 0.5 ± 0.1 b | n.d. | 0.3 ± 0.1 a | 9.8 ± 1.5 cd | 20.9 ± 1.7 d | 23.3 ± 1.8 d |
| Light treatments | |||||||
| L1 | 0.1 ± 0.0 bc | 0.1 ± 0.0 cd | n.d. | 0.2 ± 0.1 ab | 11.9 ± 0.9 bc | 21.5 ± 1.3 d | 21.9 ± 1.3 d |
| L2 | 0.2 ± 0.1 ab | 0.2 ± 0.1 bcd | 0.1 ± 0.0 ab | n.d. | 14.3 ± 1.8 ab | 23.5 ± 2.1 d | 23.9 ± 2.1 d |
| L3 | n.d. | n.d. | n.d. | 0.2 ± 0.1 ab | 13.1 ± 2.6 ab | 23.6 ± 2.6 d | 23.7 ± 2.6 d |
| L4 | n.d. | n.d. | 0.1 ± 0.0 ab | 0.1 ± 0.1 ab | 1.9 ± 0.3 g | 6.0 ± 0.4 f | 6.4 ± 0.5 g |
| Sample/Code | Status | Location/ Geographical Coordinates | Conductivity of the Nutrient Solution/Soil (dS m−1) | Lamp Type |
|---|---|---|---|---|
| WD | Wild | Aguadulce, Almería (36.814444 −2.571666) | 2.9 | - |
| WG | Wild | Algeciras, Cádiz (36.105488 −5.452843) | 2.1 | - |
| WM | Wild | Almería, Almería (36.838140 −2.459740) | 4.4 | - |
| WT | Wild | El Toyo, Almería (36.837729 −2.327154) | 5.6 | - |
| C1 | GCE a | Growth chamber, UAL b (36.831919 −2.402191) | 2.0 | L18 T8 Roblan® |
| C2 | GCE | Growth chamber, UAL (36.831919 −2.402191) | 2.5 | L18 T8 Roblan® |
| C3 | GCE | Growth chamber, UAL (36.831919 −2.402191) | 3.0 | L18 T8 Roblan® |
| C4 | GCE | Growth chamber, UAL (36.831919 −2.402191) | 3.5 | L18 T8 Roblan® |
| C5 | GCE | Growth chamber, UAL (36.831919 −2.402191) | 4.0 | L18 T8 Roblan® |
| L1 | GCE | Growth chamber, UAL (36.831919 −2.402191) | 2.0 | L18 T8 Roblan® |
| L2 | GCE | Growth chamber, UAL (36.831919 −2.402191) | 2.0 | L18 AP67 Valoya® |
| L3 | GCE | Growth chamber, UAL (36.831919 −2.402191) | 2.0 | L18 NS1 Valoya® |
| L4 | GCE | Growth chamber, UAL (36.831919 −2.402191) | 2.0 | L18 NS12 Valoya® |
Disclaimer/Publisher’s Note: The statements, opinions and data contained in all publications are solely those of the individual author(s) and contributor(s) and not of MDPI and/or the editor(s). MDPI and/or the editor(s) disclaim responsibility for any injury to people or property resulting from any ideas, methods, instructions or products referred to in the content. |
© 2024 by the authors. Licensee MDPI, Basel, Switzerland. This article is an open access article distributed under the terms and conditions of the Creative Commons Attribution (CC BY) license (https://creativecommons.org/licenses/by/4.0/).
Share and Cite
Chileh-Chelh, T.; da Cunha-Chiamolera, T.P.L.; Urrestarazu, M.; Ezzaitouni, M.; López-Ruiz, R.; Nájera, C.; Rincón-Cervera, M.Á.; Guil-Guerrero, J.L. London Rocket (Sisymbrium irio L.) as Healthy Green: Bioactive Compounds and Bioactivity of Plants Grown in Wild and Controlled Environments. Molecules 2025, 30, 31. https://doi.org/10.3390/molecules30010031
Chileh-Chelh T, da Cunha-Chiamolera TPL, Urrestarazu M, Ezzaitouni M, López-Ruiz R, Nájera C, Rincón-Cervera MÁ, Guil-Guerrero JL. London Rocket (Sisymbrium irio L.) as Healthy Green: Bioactive Compounds and Bioactivity of Plants Grown in Wild and Controlled Environments. Molecules. 2025; 30(1):31. https://doi.org/10.3390/molecules30010031
Chicago/Turabian StyleChileh-Chelh, Tarik, Tatiana Pagan Loeiro da Cunha-Chiamolera, Miguel Urrestarazu, Mohamed Ezzaitouni, Rosalía López-Ruiz, Cinthia Nájera, Miguel Ángel Rincón-Cervera, and José Luis Guil-Guerrero. 2025. "London Rocket (Sisymbrium irio L.) as Healthy Green: Bioactive Compounds and Bioactivity of Plants Grown in Wild and Controlled Environments" Molecules 30, no. 1: 31. https://doi.org/10.3390/molecules30010031
APA StyleChileh-Chelh, T., da Cunha-Chiamolera, T. P. L., Urrestarazu, M., Ezzaitouni, M., López-Ruiz, R., Nájera, C., Rincón-Cervera, M. Á., & Guil-Guerrero, J. L. (2025). London Rocket (Sisymbrium irio L.) as Healthy Green: Bioactive Compounds and Bioactivity of Plants Grown in Wild and Controlled Environments. Molecules, 30(1), 31. https://doi.org/10.3390/molecules30010031

