Enhancing Mechanical and Antimicrobial Properties of Dialdehyde Cellulose–Silver Nanoparticle Composites through Ammoniated Nanocellulose Modification
Abstract
1. Introduction
2. Results and Discussion
2.1. Chemical Structure Analysis of N-CNF
2.2. Various Performance Analyses of Different Films
2.2.1. Morphological Analysis of DAC@Ag1/N-CNF Composite Films
2.2.2. Chemical Structure Analysis of Different Films
2.2.3. Mechanical Analysis of DAC@Ag1/N-CNF Composite Films
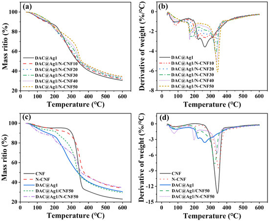
2.2.4. Thermal Stability Analysis of DAC@Ag1/N-CNF Composite Films
2.2.5. Water Stability and Barrier Property Analysis of DAC@Ag1/N-CNF Composite Films
2.2.6. Analysis of Antimicrobial Properties of DAC@Ag1/N-CNF Composite Films
2.2.7. Analysis of the Mechanism of Action of N-CNF on DAC@Ag1
3. Experimental Section
3.1. Materials
3.2. Preparation of CNF
3.3. Preparation of N-CNF
3.4. Preparation of DAC@Ag1/N-CNF Composite Films
3.5. Characterization Techniques
3.5.1. Infrared Spectroscopy of CNF before and after Aminated Modification
3.5.2. Analytical Characterization of Composite Films
3.6. Statistical Analysis
4. Conclusions
Supplementary Materials
Author Contributions
Funding
Institutional Review Board Statement
Informed Consent Statement
Data Availability Statement
Conflicts of Interest
References
- Sun, J.; Liao, X.; D’Souza, A.W.; Boolchandani, M.; Li, S.; Cheng, K.; Luis Martínez, J.; Li, L.; Feng, Y.; Fang, L.; et al. Environmental remodeling of human gut microbiota and antibiotic resistome in livestock farms. Nat. Commun. 2020, 11, 1411–1427. [Google Scholar] [CrossRef] [PubMed]
- Yudaev, P.A.; Chistyakov, E.M. Progress in dental materials: Application of natural ingredients. Russ. Chem. Rev. 2024, 93, RCR5108. [Google Scholar] [CrossRef]
- Godoy-Gallardo, M.; Eckhard, U.; Delgado, L.M.; de Roo Puente, Y.J.D.; Hoyos-Nogués, M.; Gil, F.J.; Perez, R.A. Antibacterial approaches in tissue engineering using metal ions and nanoparticles: From mechanisms to applications. Bioact. Mater. 2021, 6, 4470–4490. [Google Scholar] [CrossRef] [PubMed]
- Peng, W.; Yin, H.; Liu, P.; Peng, J.; Sun, J.; Zhang, X.; Gu, Y.; Dong, X.; Ma, Z.; Shen, J.; et al. Covalently construction of poly(hexamethylene biguanide) as high-efficiency antibacterial coating for silicone rubber. Chem. Eng. J. 2021, 412, 128707. [Google Scholar] [CrossRef]
- Wang, Z.; Tang, Y.; Wang, P.; Cheng, Z.; Chen, F.; Lu, Y.; Wu, Y.; Xie, Z.; Wu, D.; Cai, Z.; et al. Dynamical integration of antimicrobial, anti-inflammatory, and pro-osteogenic activities on polyetheretherketone via a porousnhalamine polymeric coating. Adv. Funct. Mater. 2023, 33, 2307286. [Google Scholar] [CrossRef]
- Liang, M.; Zhang, M.; Yu, S.; Wu, Q.; Ma, K.; Chen, Y.; Liu, X.; Li, C.; Wang, F. Silver-laden black phosphorus nanosheets for an efficient in vivo antimicrobial application. Small 2020, 16, 1905938. [Google Scholar] [CrossRef] [PubMed]
- Wiedagdo, S.A.; Febriyanti, A.P.; Huda, S.; Kusumaningrum, V.; Perdana, E.D.; Firdaus, M. Silver nanoparticles fromcassia alata l. Incorporated to coconut oil-oleogel based ointment as an alternative for diabetes mellitus wound healing: Optimization, in vitro and in vivo tests. ChemistrySelect 2024, 9, e202304758. [Google Scholar] [CrossRef]
- Yudaev, P.; Butorova, I.; Chuev, V.; Posokhova, V.; Klyukin, B.; Chistyakov, E. Wound gel with antimicrobial effects based on polyvinyl alcohol and functional aryloxycyclotriphosphazene. Polymers 2023, 15, 2831. [Google Scholar] [CrossRef] [PubMed]
- Behera, J.; Patra, S.; Nazrul, S.; Sharma, S.K.; Kumar, D.; Verma, M.K.; Katare, A.K.; Swain, S.K. Nano boron nitride laminated poly(ethyl methacrylate)/poly(vinyl alcohol) composite films imprinted with silver nanoparticles as gas barrier and bacteria resistant packaging materials. J. Appl. Polym. Sci. 2024, 141, e55246. [Google Scholar] [CrossRef]
- Xu, P.; Wang, Y.; Cen, C.; Zheng, M.; Wu, Z.; Zhou, M.; Fei, J.; Teng, Z. Preparation of silver nanoparticles anchored oxidized regenerated cellulose microfibers for anti-microorganism by aldehyde group mediated in situ reduction. J. Taiwan Inst. Chem. Eng. 2020, 112, 162–168. [Google Scholar] [CrossRef]
- Su, Y.; Zhao, L.; Meng, F.; Wang, Q.; Yao, Y.; Luo, J. Silver nanoparticles decorated lipase-sensitive polyurethane micelles for on-demand release of silver nanoparticles. Colloids Surf. B Biointerfaces 2017, 152, 238–244. [Google Scholar] [CrossRef] [PubMed]
- Anjum, S.; Gupta, A.; Sharma, D.; Kumari, S.; Sahariah, P.; Bora, J.; Bhan, S.; Gupta, B. Antimicrobial nature and healing behavior of plasma functionalized polyester sutures. J. Bioact. Compat. Polym. 2017, 32, 263–279. [Google Scholar] [CrossRef]
- Guo, X.; Chen, B.; Wu, X.; Li, J.; Sun, Q. Utilization of cinnamaldehyde and zinc oxide nanoparticles in a carboxymethylcellulose-based composite coating to improve the postharvest quality of cherry tomatoes. Int. J. Biol. Macromol. 2020, 160, 175–182. [Google Scholar] [CrossRef]
- Ramalingam, B.; Parandhaman, T.; Das, S.K. Antibacterial effects of biosynthesized silver nanoparticles on surface ultrastructure and nanomechanical properties of gram-negative bacteria viz.escherichia coli and pseudomonas aeruginosa. ACS Appl. Mater. Interfaces 2016, 8, 4963–4976. [Google Scholar] [CrossRef] [PubMed]
- Klemm, D.; Heublein, B.; Fink, H.P.; Bohn, A. Cellulose: Fascinating biopolymer and sustainable raw material. Angew. Chem. Int. Ed. 2005, 44, 3358–3393. [Google Scholar] [CrossRef] [PubMed]
- Jakob, M.; Mahendran, A.R.; Gindl-Altmutter, W.; Bliem, P.; Konnerth, J.; Müller, U.; Veigel, S. The strength and stiffness of oriented wood and cellulose-fibre materials: A review. Prog. Mater. Sci. 2022, 125, 100916. [Google Scholar] [CrossRef]
- Zhang, L.; Zhang, Q.; Zheng, Y.; He, Z.; Guan, P.; He, X.; Hui, L.; Dai, Y. Study of schiff base formation between dialdehyde cellulose and proteins, and its application for the deproteinization of crude polysaccharide extracts. Ind. Crops Prod. 2018, 112, 532–540. [Google Scholar] [CrossRef]
- Kim, U.; Wada, M.; Kuga, S. Solubilization of dialdehyde cellulose by hot water. Carbohydr. Polym. 2004, 56, 7–10. [Google Scholar] [CrossRef]
- Li, J.; Cheng, R.; Cheng, Z.; Duan, C.; Wang, B.; Zeng, J.; Xu, J.; Tian, X.; Chen, H.; Gao, W.; et al. Silver-nanoparticle-embedded hybrid nanopaper with significant thermal conductivity enhancement. ACS Appl. Mater. Interfaces 2021, 13, 36171–36181. [Google Scholar] [CrossRef] [PubMed]
- Li, J.; Kang, L.; Wang, B.; Chen, K.; Tian, X.; Ge, Z.; Zeng, J.; Xu, J.; Gao, W. Controlled release and long-term antibacterial activity of dialdehyde nanofibrillated cellulose/silver nanoparticle composites. ACS Sustain. Chem. Eng. 2019, 7, 1146–1158. [Google Scholar] [CrossRef]
- Zeng, J.; Xiong, X.; Hu, F.; Li, J.; Li, P. Dialdehyde cellulose solution as reducing agent: Preparation of uniform silver nanoparticles and in situ synthesis of antibacterial composite films with high barrier properties. Molecules 2023, 28, 2956. [Google Scholar] [CrossRef] [PubMed]
- Chen, D.; van de Ven, T.G.M. Morphological changes of sterically stabilized nanocrystalline cellulose after periodate oxidation. Cellulose 2016, 23, 1051–1059. [Google Scholar] [CrossRef]
- Mou, K.; Li, J.; Wang, Y.; Cha, R.; Jiang, X. 2,3-dialdehyde nanofibrillated cellulose as a potential material for the treatment of mrsa infection. J. Mater. Chem. B 2017, 5, 7876–7884. [Google Scholar] [CrossRef] [PubMed]
- Fu, F.; Gu, J.; Cao, J.; Shen, R.; Liu, H.; Zhang, Y.; Liu, X.; Zhou, J. Reduction of silver ions using an alkaline cellulose dope: Straightforward access to Ag/ZnO decorated cellulose nanocomposite film with enhanced antibacterial activities. ACS Sustain. Chem. Eng. 2018, 6, 738–748. [Google Scholar] [CrossRef]
- Robles, E.; Urruzola, I.; Labidi, J.; Serrano, L. Surface-modified nano-cellulose as reinforcement in poly(lactic acid) to conform new composites. Ind. Crops Prod. 2015, 71, 44–53. [Google Scholar] [CrossRef]
- Fernandes, S.C.M.; Sadocco, P.; Alonso-Varona, A.; Palomares, T.; Eceiza, A.; Silvestre, A.J.D.; Mondragon, I.; Freire, C.S.R. Bioinspired antimicrobial and biocompatible bacterial cellulose membranes obtained by surface functionalization with aminoalkyl groups. ACS Appl. Mater. Interfaces 2013, 5, 3290–3297. [Google Scholar] [CrossRef] [PubMed]
- Qin, Z.; Huang, Y.; Xiao, S.; Zhang, H.; Lu, Y.; Xu, K. Preparation and characterization of high mechanical strength chitosan/oxidized tannic acid composite film with schiff base and hydrogen bond crosslinking. Int. J. Mol. Sci. 2022, 23, 9284. [Google Scholar] [CrossRef] [PubMed]
- Kotov, N.; Larsson, P.A.; Jain, K.; Abitbol, T.; Cernescu, A.; Wågberg, L.; Johnson, C.M. Elucidating the fine-scale structural morphology of nanocellulose by nano infrared spectroscopy. Carbohydr. Polym. 2023, 302, 120320. [Google Scholar] [CrossRef] [PubMed]
- Saini, S.; Belgacem, M.N.; Salon, M.B.; Bras, J. Non leaching biomimetic antimicrobial surfaces via surface functionalisation of cellulose nanofibers with aminosilane. Cellulose 2016, 23, 795–810. [Google Scholar] [CrossRef]
- Lu, Q.; Lu, L.; Li, Y.; Li, L.; Huang, B. One-pot synthesis of aminated cellulose nanofibers by “biological grinding” for enhanced thermal conductivity nanocomposites. Carbohydr. Polym. 2021, 254, 117310. [Google Scholar] [CrossRef]
- Zhang, L.; Lyu, S.; Chen, Z.; Wang, S. Fabrication flexible and luminescent nanofibrillated cellulose films with modified sral2o4: Eu, dy phosphors via nanoscale silica and aminosilane. Nanomaterials 2018, 8, 352. [Google Scholar] [CrossRef] [PubMed]
- Masoud Emarati, S.; Mozammel, M. Theoretical, fundamental and experimental study of liquid-repellency and corrosion resistance of fabricated superamphiphobic surface on al alloy 2024. Chem. Eng. J. 2020, 387, 124046. [Google Scholar] [CrossRef]
- Lali Raveendran, R.; Valsala, M.; Sreenivasan Anirudhan, T. Development of nanosilver embedded injectable liquid crystalline hydrogel from alginate and chitosan for potent antibacterial and anticancer applications. J. Ind. Eng. Chem. 2023, 119, 261–273. [Google Scholar] [CrossRef]
- Dai, L.; Long, Z.; Chen, J.; An, X.; Cheng, D.; Khan, A.; Ni, Y. Robust guar gum/cellulose nanofibrils multilayer films with good barrier properties. ACS Appl. Mater. Interfaces 2017, 9, 5477–5485. [Google Scholar] [CrossRef] [PubMed]
- Hajji, S.; Chaker, A.; Jridi, M.; Maalej, H.; Jellouli, K.; Boufi, S.; Nasri, M. Structural analysis, and antioxidant and antibacterial properties of chitosan-poly (vinyl alcohol) biodegradable films. Environ. Sci. Pollut. Res. 2016, 23, 15310–15320. [Google Scholar] [CrossRef] [PubMed]
- Khan, M.I.; Khan, A.; Hussain, I.; Khan, M.A.; Gul, S.; Iqbal, M.; Khuda, F. Spectral, XRD, SEM and biological properties of new mononuclear Schiff base transition metal complexes. Inorg. Chem. Commun. 2013, 35, 104–109. [Google Scholar] [CrossRef]
- Plappert, S.F.; Quraishi, S.; Pircher, N.; Mikkonen, K.S.; Veigel, S.; Klinger, K.M.; Potthast, A.; Rosenau, T.; Liebner, F.W. Transparent, flexible, and strong 2,3-dialdehyde cellulose films with high oxygen barrier properties. Biomacromolecules 2018, 19, 2969–2978. [Google Scholar] [CrossRef] [PubMed]
- Kim, U.; Kuga, S. Thermal decomposition of dialdehyde cellulose and its nitrogen-containing derivatives. Thermochim. Acta 2001, 369, 79–85. [Google Scholar] [CrossRef]
- Koshani, R.; Eiyegbenin, J.E.; Wang, Y.; van de Ven, T.G.M. Synthesis and characterization of hairy aminated nanocrystalline cellulose. J. Colloid Interface Sci. 2022, 607, 134–144. [Google Scholar] [CrossRef] [PubMed]
- Tavakolian, M.; Jafari, S.M.; van de Ven, T.G.M. A review on surface-functionalized cellulosic nanostructures as biocompatible antibacterial materials. Nano-Micro Lett. 2020, 12, 73. [Google Scholar] [CrossRef]
- Lu, Y.; Yuan, W. Superhydrophobic three-dimensional porous ethyl cellulose absorbent with micro/nano-scale hierarchical structures for highly efficient removal of oily contaminants from water. Carbohydr. Polym. 2018, 191, 86–94. [Google Scholar] [CrossRef]
- Zhang, X.; Li, P.; Zeng, J.; Li, J.; Wang, B.; Gao, W.; Xu, J.; Chen, K. Dynamic covalent bond enabled strong bio-based polyimide materials with thermally-driven adaptivity, healability and recycling. Chem. Eng. J. 2023, 465, 143017. [Google Scholar] [CrossRef]
- Wang, W.; Liu, Y.; Jia, H.; Liu, Y.; Zhang, H.; He, Z.; Ni, Y. Effects of cellulose nanofibers filling and palmitic acid emulsions coating on the physical properties of fish gelatin films. Food Biophys. 2017, 12, 23–32. [Google Scholar] [CrossRef]
- Van Nguyen, S.; Lee, B. Microfibrillated cellulose film with enhanced mechanical and water-resistant properties by glycerol and hot-pressing treatment. Cellulose 2021, 28, 5693–5705. [Google Scholar] [CrossRef]
- Zhao, Z.; Sakai, S.; Wu, D.; Chen, Z.; Zhu, N.; Gui, C.; Zhang, M.; Umemura, K.; Yong, Q. Investigation of synthesis mechanism, optimal hot-pressing conditions, and curing behavior of sucrose and ammonium dihydrogen phosphate adhesive. Polymers 2020, 12, 216. [Google Scholar] [CrossRef]
- Roy, S.; Kim, H.C.; Panicker, P.S.; Rhim, J.; Kim, J. Cellulose nanofiber-based nanocomposite films reinforced with zinc oxide nanorods and grapefruit seed extract. Nanomaterials 2021, 11, 877. [Google Scholar] [CrossRef] [PubMed]
- Tao, P.; Wu, Z.; Xing, C.; Zhang, Q.; Wei, Z.; Nie, S. Effect of enzymatic treatment on the thermal stability of cellulose nanofibrils. Cellulose 2019, 26, 7717–7725. [Google Scholar] [CrossRef]
- Wu, Y.; Cao, F.; Jiang, H.; Zhang, Y. Preparation and characterization of aminosilane-functionalized cellulose nanocrystal aerogel. Mater. Res. Express 2017, 4, 85303. [Google Scholar] [CrossRef]
- Wu, X.; Zhang, J.; Zhang, L.; Tang, C. Thermal stability of APTES surface modified nano SiO2 insulating oil. J. Mol. Liq. 2022, 366, 120228. [Google Scholar] [CrossRef]
- Verma, C.; Quraishi, M.A. Recent progresses in Schiff bases as aqueous phase corrosion inhibitors: Design and applications. Coord. Chem. Rev. 2021, 446, 214105. [Google Scholar] [CrossRef]
- Ahankari, S.S.; Subhedar, A.R.; Bhadauria, S.S.; Dufresne, A. Nanocellulose in food packaging: A review. Carbohydr. Polym. 2021, 255, 117479. [Google Scholar] [CrossRef] [PubMed]
- Sharma, S.; Zhang, X.; Nair, S.S.; Ragauskas, A.; Zhu, J.; Deng, Y. Thermally enhanced high performance cellulose nano fibril barrier membranes. RSC Adv. 2014, 4, 45136–45142. [Google Scholar] [CrossRef]
- Dong, Y.; Chen, H.; Qiao, P.; Liu, Z. Development and properties of fish gelatin/oxidized starch double network film catalyzed by thermal treatment and Schiff’ base reaction. Polymers 2019, 11, 2065. [Google Scholar] [CrossRef] [PubMed]
- Li, J.; Cha, R.; Mou, K.; Zhao, X.; Long, K.; Luo, H.; Zhou, F.; Jiang, X. Nanocellulose-based antibacterial materials. Adv. Healthc. Mater. 2018, 7, 1800334. [Google Scholar] [CrossRef]
- Pokhrel, R.; Shakya, R.; Baral, P.; Chapagain, P. Molecular modeling and simulation of the peptidoglycan layer of gram-positive bacteria staphylococcus aureus. J. Chem. Inf. Model. 2022, 62, 4955–4962. [Google Scholar] [CrossRef] [PubMed]
- Huang, K.C.; Mukhopadhyay, R.; Wen, B.; Gitai, Z.; Wingreen, N.S. Cell shape and cell-wall organization in gram-negative bacteria. Proc. Natl. Acad. Sci. USA 2008, 105, 19282–19287. [Google Scholar] [CrossRef] [PubMed]
- Jiang, Q.; Lin, Z.; Gu, B.; Pang, C.; Wang, X. Green synthesis and immobilization of AgNPs by lumpy corn stalk as interlayer filling material for durable antibacterial. Ind. Crops Prod. 2020, 158, 112987. [Google Scholar] [CrossRef]
- Zhang, P.; Shao, C.; Zhang, Z.; Zhang, M.; Mu, J.; Guo, Z.; Liu, Y. In situ assembly of well-dispersed Ag nanoparticles (AgNPs) on electrospun carbon nanofibers (CNFs) for catalytic reduction of 4-nitrophenol. Nanoscale 2011, 3, 3357–3363. [Google Scholar] [CrossRef] [PubMed]
- Mohammadi, A.; Doctorsafaei, A.H.; Burujeny, S.B.; Rudbari, H.A.; Kordestani, N.; Ayati Najafabadi, S.A. Silver(i) complex with a Schiff base ligand extended waterborne polyurethane: A developed strategy to obtain a highly stable antibacterial dispersion impregnated with in situ formed silver nanoparticles. Chem. Eng. J. 2020, 381, 122776. [Google Scholar] [CrossRef]
- Catalano, A.; Sinicropi, M.S.; Iacopetta, D.; Ceramella, J.; Mariconda, A.; Rosano, C.; Scali, E.; Saturnino, C.; Longo, P. A review on the advancements in the field of metal complexes with Schiff bases as antiproliferative agents. Appl. Sci. 2021, 11, 6027. [Google Scholar] [CrossRef]
- Njogu, E.M.; Omondi, B.; Nyamori, V.O. Silver(i)-pyridinyl Schiff base complexes: Synthesis, characterisation and antimicrobial studies. J. Mol. Struct. 2017, 1135, 118–128. [Google Scholar] [CrossRef]
- Sängerlaub, S.; Schmid, M.; Müller, K. Comparison of water vapour transmission rates of monolayer films determined by water vapour sorption and permeation experiments. Food Packag. Shelf Life 2018, 17, 80–84. [Google Scholar] [CrossRef]
- Hasan, M.M.; Shahid, M.A. Pva, licorice, and collagen (plc) based hybrid bio-nano scaffold for wound healing application. J. Biomater. Sci. Polym. Ed. 2023, 34, 1217–1236. [Google Scholar] [CrossRef] [PubMed]
- Bulman, S.; Tronci, G.; Goswami, P.; Carr, C.; Russell, S. Antibacterial properties of nonwoven wound dressings coated with manuka honey or methylglyoxal. Materials 2017, 10, 954. [Google Scholar] [CrossRef]
- Fayemi, O.E.; Ekennia, A.C.; Katata-Seru, L.; Ebokaiwe, A.P.; Ijomone, O.M.; Onwudiwe, D.C.; Ebenso, E.E. Antimicrobial and wound healing properties of polyacrylonitrile-moringa extract nanofibers. Acs Omega 2018, 3, 4791–4797. [Google Scholar] [CrossRef] [PubMed]
- Rashid, N.; Khalid, S.H.; Ullah Khan, I.; Chauhdary, Z.; Mahmood, H.; Saleem, A.; Umair, M.; Asghar, S. Curcumin-loaded bioactive polymer composite film of pva/gelatin/tannic acid downregulates the pro-inflammatory cytokines to expedite healing of full-thickness wounds. Acs Omega 2023, 8, 7575–7586. [Google Scholar] [CrossRef]
- Tong, C.; Zou, W.; Ning, W.; Fan, J.; Li, L.; Liu, B.; Liu, X. Synthesis of dna-guided silver nanoparticles on a graphene oxide surface: Enhancing the antibacterial effect and the wound healing activity. RSC Adv. 2018, 8, 28238–28248. [Google Scholar] [CrossRef] [PubMed]
- Huang, T.; Lin, M.; Lin, M.; Lou, C.; Chen, Y.; Lin, J. Antibacterial wound dressings made of differently concentrated salvia miltiorrhiza bunge via electrospinning. J. Polym. Res. 2023, 30, 321. [Google Scholar] [CrossRef]
- Nagle, A.; Kopel, J.; Reed, J.; Jacobo, U.; Tran, P.; Mitchell, K.; Reid, T.W. An in vitro study of betadine’s ability to eliminate live bacteria on the eye: Should it be used for protection against endophthalmitis? Antibiotics 2022, 11, 1549. [Google Scholar] [CrossRef] [PubMed]
- Sheikh, J.; Swee, T.T.; Saidin, S.; Yahya, A.B.; Malik, S.A.; Yin, J.; Thye, M. Bacterial disinfection and cell assessment post ultraviolet-c led exposure for wound treatment. Med. Biol. Eng. Comput. 2021, 59, 1055–1063. [Google Scholar] [CrossRef] [PubMed]
- Alabdali, A.Y.M.; Khalid, R.; Kzar, M.; Ezzat, M.O.; Huei, G.M.; Hsia, T.W.; Mogana, R.; Rahman, H.; Razik, B.M.A.; Issac, P.K.; et al. Design, synthesis, in silico and antibacterial evaluation of curcumin derivatives loaded nanofiber as potential wound healing agents. J. King Saud Univ. Sci. 2022, 34, 102205. [Google Scholar] [CrossRef]
- Zhang, X.; Li, S.; Deng, Y.; Zuo, Z.; Sun, Z.; Li, C.; Zheng, S. Benzalkonium chloride modified kaolinite with rapid bactericidal activity for the development of antibacterial films. Mater. Today Commun. 2023, 35, 106152. [Google Scholar] [CrossRef]








Disclaimer/Publisher’s Note: The statements, opinions and data contained in all publications are solely those of the individual author(s) and contributor(s) and not of MDPI and/or the editor(s). MDPI and/or the editor(s) disclaim responsibility for any injury to people or property resulting from any ideas, methods, instructions or products referred to in the content. |
© 2024 by the authors. Licensee MDPI, Basel, Switzerland. This article is an open access article distributed under the terms and conditions of the Creative Commons Attribution (CC BY) license (https://creativecommons.org/licenses/by/4.0/).
Share and Cite
Zeng, J.; Wu, C.; Li, P.; Li, J.; Wang, B.; Xu, J.; Gao, W.; Chen, K. Enhancing Mechanical and Antimicrobial Properties of Dialdehyde Cellulose–Silver Nanoparticle Composites through Ammoniated Nanocellulose Modification. Molecules 2024, 29, 2065. https://doi.org/10.3390/molecules29092065
Zeng J, Wu C, Li P, Li J, Wang B, Xu J, Gao W, Chen K. Enhancing Mechanical and Antimicrobial Properties of Dialdehyde Cellulose–Silver Nanoparticle Composites through Ammoniated Nanocellulose Modification. Molecules. 2024; 29(9):2065. https://doi.org/10.3390/molecules29092065
Chicago/Turabian StyleZeng, Jinsong, Chen Wu, Pengfei Li, Jinpeng Li, Bin Wang, Jun Xu, Wenhua Gao, and Kefu Chen. 2024. "Enhancing Mechanical and Antimicrobial Properties of Dialdehyde Cellulose–Silver Nanoparticle Composites through Ammoniated Nanocellulose Modification" Molecules 29, no. 9: 2065. https://doi.org/10.3390/molecules29092065
APA StyleZeng, J., Wu, C., Li, P., Li, J., Wang, B., Xu, J., Gao, W., & Chen, K. (2024). Enhancing Mechanical and Antimicrobial Properties of Dialdehyde Cellulose–Silver Nanoparticle Composites through Ammoniated Nanocellulose Modification. Molecules, 29(9), 2065. https://doi.org/10.3390/molecules29092065

