Abstract
An attractive approach for the preparation of spirocyclic benzofuran–furocoumarins has been developed through iodine-catalyzed cascade annulation of 4-hydroxycoumarins with aurones. The reaction involves Michael addition, iodination, and intramolecular nucleophilic substitution in a one-step process, and offers an efficient method for easy access to a series of valuable spirocyclic benzofuran–furocoumarins in good yields (up to 99%) with excellent stereoselectivity. Moreover, this unprecedented protocol provides several advantages, including readily available materials, an environmentally benign catalyst, a broad substrate scope, and a simple procedure.
1. Introduction
Spiro-heterocycles are very important structural motifs in various natural products and pharmaceutical molecules, with a broad range of biological and pharmacological activities [1,2,3,4]. Considering the biological importance of spiro-heterocycles, a sufficiently large number of methods for the preparation of spiro-heterocycles have been developed, including the multicomponent tandem reaction [5], ring-expansion method [6], N-heterocyclic carbene (NHC)-catalyzed tandem annulation [7,8], palladium-catalyzed [3+2] cycloaddition [9] or 1,3-dipolar cycloaddition [10]. Recently, more eco-friendly electrochemical strategies have been used for the preparation of spiro-heterocycles. For example, Zhu et al. [11] developed an electrochemical method for the highly diastereoselective synthesis of spirocyclic indolines with significant anti-tumor activity.
In recent years, combining two rings to generate novel spiro-heterocycles has become an important approach to drug design [12,13]. The design and synthesis of biologically active spiro-heterocycles have attracted the attention of many pharmacologists and chemists [14,15]. In particular, the spiro-heterocycles that contain benzofuran have become one of the most interesting classes of molecules due to their notable biological activities [16,17,18]. For example, griseofulvin A is one of the earliest spirocyclic drugs to exhibit antifungal activity [19], while spiro-benzofuran B, with isobenzofuranone and benzofuranone motifs, has been found to be a core chemical skeleton for antivirals against influenza viruses [20]. (−)-Spiro-ganodermaine G, which is isolated from the Ganoderma species, displayed suppressive activity on the expression of TGF-β1-induced fibronectin and α-SMA, with a potential role in treating renal fibrosis (Figure 1) [21]. Moreover, furocoumarins demonstrate a wide range of biological activities [22,23] as anticancer [24], antioxidant [25], antifungal [26] and antiproliferative [27]. Therefore, there is great interest in exploring novel spiro-heterocycles between spiro-benzofurans and furocoumarins. Recently, Cui et al. [28] reported a novel procedure for spirocyclic benzofuran–furocoumarin synthesis, by Lewis acid-catalyzed [3+2]-cyclization of iodonium ylides with azadienes, in moderate yields with excellent stereoselectivity (Scheme 1a). Meanwhile, Yavari et al. [29] developed an electrochemical approach for accessibility to spirocyclic benzofuran–furocoumarin (Scheme 1b).
Figure 1.
Example of biologically active spiro-benzofuran and furocoumarin derivatives.
Scheme 1.
Strategies for the synthesis of spirocyclic benzofuran–furocoumarins.
Molecular iodine, as a very simple and efficient reagent, has drawn considerable attention from synthetic chemists, and has been widely used in various organic transformations [30,31]. It is widely available, inexpensive, nontoxic, eco-friendly, and moisture resistant, and employed as a catalyst, resulting in the formation of new C–C [32,33], C–N [34,35], C–O [36], and C–S [37,38] bonds. In addition, molecular iodine has been recognized as a powerful tool for constructing the pharmacologically important heterocyclic rings [39,40,41]. Currently, several approaches have also been disclosed for the synthesis of spiro-heterocycles through iodine-mediated cascade reactions [42,43,44].
Based on the above discussion and our interest in exploring novel synthetic strategies for the construction of spiro-heterocycles, we developed an iodine-catalyzed cascade reaction of 4-hydroxycoumarins with aurones to afford spirocyclic benzofuran–furocoumarins with high stereoselectivity. This transformation displayed favorable compatibility for the preparation of various spirocyclic benzofuran–furocoumarins using I2 as the efficient and green catalyst.
2. Result and Discussion
Initially, the reaction of 4-hydroxycoumarin 1a and aurone 2a was investigated to optimize the reaction conditions. The experimental results are summarized in Table 1. Fortunately, the desired spirocyclic benzofuran–furocoumarin 3a obtained a 54% yield from the reaction with 20 mol % of I2 at 80 °C (Table 1, entry 1). The structure of 3a was determined based on their NMR spectroscopic similarities compared with the observed results [28,29]. In order to improve the efficacy of the reaction, different temperatures were evaluated for the reaction, and it was found that the yield of 3a could be improved to 58% at 100 °C (Table 1, entry 2). Increasing the amount of I2 did not yield better results (Table 1, entry 4). Subsequently, the effect of an additive was investigated, such as L-proline, TBAI, and TEBAC. It was found that TEBAC afforded the desired product 3a in better yields (Table 1, entries 5–7). Furthermore, increasing the amount of TEBAC loading to 40 mol % gave a higher yield of 3a at 68% (Table 1, entry 9). Notably, changing the ratio of 2a/1a from 1:1.3 to 1:1.5 (Table 1, entries 10–12) improved the yield of 3a to 82% within 16 h (Table 1, entry 12). Therefore, the optimized reaction conditions for 3a were 20 mol % of iodine as the catalyst, and 40 mol % of TEBAC as the additive, in DMSO at 100 °C for 16 h (Table 1, entry 12).
Table 1.
Optimization of the reaction conditions a.
With the optimal reaction conditions in hand, the substrate scope of 4-hydroxycoumarins and aurones were explored under standard reaction conditions. And the results are depicted in Scheme 2. The 4-hydroxycoumarins bearing electron withdrawing (F, Cl, Br, NO2) or electron donating groups (OMe, Me) on Ar1 reacted smoothly, providing good yields of the corresponding spirocyclic benzofuran–furocoumarins, 3ab–3ah and 3bl. The reaction of 4-hydroxy-2H-benzo[h]chromen-2-one also proceeded smoothly and afforded an 86% yield of the spiro products 3ae. For the aurones, both the electron withdrawing (F, Cl, Br) and electron donating groups (OMe, OEt, Me) on Ar2 of the benzofuranone moieties reacted with 4-hydroxycoumarin efficiently to afford 64−96% yields of the corresponding spiro products 3ai–3ao. However, when the substrate bore a NO2 group on Ar2, the yield of the desired product 3bk decreased to 62%. Subsequently, the effects of the substituents on the phenyl ring of Ar3 were evaluated. As the results reveal, the electron donating and electron withdrawing substituents of the phenyl ring on Ar3 have a substantial impact on the efficacy of the reaction. Generally, an electron donating group displayed respectable suitability with good to excellent yields. The weak electron donating groups (CH3) gave an 80% yield of 3ap. Notably, substrates bearing a strong electron donating group (OMe, tBu) on Ar3 showed excellent reactivity. The -o-OCH3, -p-OCH3, and -p-tBu groups produced yields of 93%, 88%, and 94% for 3ar, 3as and 3aq, respectively, while the substrates bearing three substituent groups of OCH3 gave the best results 3at with a 99% yield. Adversely, some electron withdrawing groups decreased in reaction efficiency to afford the desired spiro products. For the substrates bearing the strong electron withdrawing groups (-p-NO2, -o-F), no desired spiro products were detected due to the competitive elimination pathway affording the coupled products 4au and 4ax with yields of 78% and 77%, respectively. While the COOMe and CN groups were tolerated, they only gave diminished yields of 3az (51%) and 3ba (56%), and a slight amount of the coupled products 4az and 4ba were observed. Interestingly, electron withdrawing groups, such as -m-NO2, -m-F, -p-F, Cl, Br, I, -p-CF3 and Ph, restored the activity and achieved good to excellent yields. Encouragingly, the heterocyclic furan and thiophene groups of Ar3 are also compatible and effectively furnished 3bi and 3bj with yields of 69% and 84%. A naphthyl group of Ar3 was also tolerated, and the desired spiro product 3bh was isolated with an 89% yield.

Scheme 2.
Substrate scope of 4-hydroxycoumarins and aurones for the synthesis of spirocyclic benzofuran–furocoumarins. Reaction conditions: 4-hydroxycoumarins 1 (0.375 mmol), aurones 2 (0.25 mmol), I2 (20 mol %), and TEBAC (40 mol %) in DMSO (0.5 mL) at 100 °C for 16 h under air; isolated yield of the product based on 2; dr based on final product 1H NMR spectra.
Just as Table 2 has shown, this approach for the synthesis of spirocyclic benzofuran–furocoumarins offers two advantages in terms of broad substrate scope and higher yields compared to reported methods. However, it still suffers from two drawbacks, including long reaction time and high temperature.
Table 2.
Comparison between reported methods and this method.
To improve the efficiency of this transformation, greener energy sources, including microwave and ultrasonic irradiation, were tested. As the results show, microwave irradiation displays obvious influence, which can improve the yield of 3a from 7% to 30% compared with traditional protocol. However, when ultrasonic irradiation with a frequency of 35 KHz was used in the reaction, a 9% yield of 3a was obtained, with a large amount of still unreacted substrate (Table 3).
Table 3.
Comparison between green energy sources and traditional protocol a.
Afterward, control experiments were conducted to investigate the mechanism of the formation of spirocyclic benzofuran–furocoumarins. First, the reaction of 1a and 2a was carried out without I2 under the optimum reaction conditions, and product 3a was not detected (Scheme 3a). Subsequently, substrates 1a and 2a were subjected to TsOH in DMSO at 100 °C, and no desired product was detected (Scheme 3b). Finally, replacement of the solvent with MeCN allowed for trace amounts of the desired product 3a (Scheme 3c). The above results indicate that the formation of 3 is based on the cooperative effect of I2 and DMSO.
Scheme 3.
Control experiments (a–c).
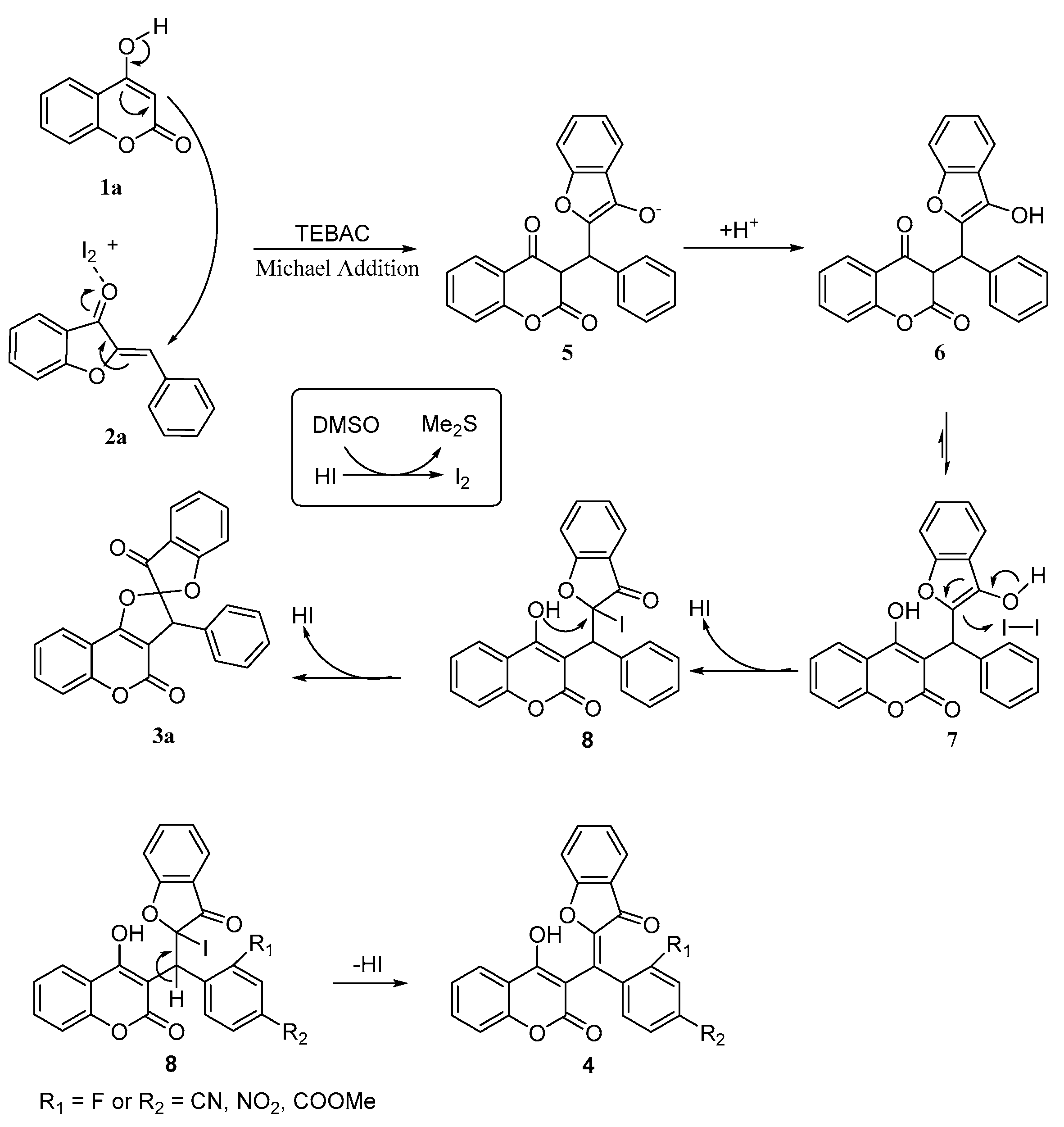
According to the experimental results above and the previous literature [45], a plausible pathway is proposed in Scheme 4. First, 4-hydroxycoumarin 1a and aurone 2a undergo Michael addition in the presence of I2 to generate intermediate 5, which captures the proton released from the 4-hydroxycoumarin, thus forming intermediate 6. In this process, TEBAC, as an effective catalyst following the addition of 4-hydroxycoumarin, is used to improve the efficiency of the Michael addition reaction [46]. Subsequently, intermediate 6 automerizes into its enol-form—intermediate 7. Further electrophilic substitution between intermediate 7 and I2 is probably activated by DMSO and affords intermediate 8 immediately. Thereafter, an intramolecular nucleophilic substitution of intermediate 8 gives the expected product—the spirocyclic benzofuran–furocoumarins 3a. During the iodination of 7 to 8 and the cyclization of 8 into 3a, HI is both generated and then oxidized back into I2 by DMSO to accomplish the catalytic cycle. However, when intermediate 8 bears strong electron withdrawing groups, such as R1 = F or R2 = CN, NO2, COOMe, the competitive elimination pathway will be promoted in order to generate product 4.
Scheme 4.
Proposed mechanism.
3. Materials and Methods
Unless otherwise specified, the starting materials and reagents used in the reactions were commercially available and used without further purification. Aurones 2 was prepared by the published procedures [47,48]. 1H (400 MHz), 13C (100 MHz), DEPT 135 (100 MHz) and DEPT 90 (100 MHz). NMR spectra were recorded on a Bruker Avance 400 spectrometer in CDCl3 or DMSO-d6. HRMS were performed with an AB QSTAR Pulsar mass spectrometer. Melting points were tested on an XT-4A melting-point apparatus without correction. The reactions were monitored by thin-layer chromatography (TLC) using silica gel GF254. For column chromatography, silica gel (200–300 mesh) was also employed.
The 1H NMR and 13C NMR spectral of the products are given in Supplementary Materials.
General Procedure
A mixture of 4-hydroxycoumarins 1 (0.375 mmol), aurones 2 (0.25 mmol), TEBAC (40 mol %), and I2 (20 mol %) was stirred in DMSO (0.5 mL) at 100 °C for 16 h; thereafter, saturated Na2S2O3 solution (8 mL) was added to quench the reaction. The product was then extracted with CH2Cl2 (3 × 8 mL). The combined organic layers were dried over anhydrous Na2SO4 and concentrated under reduced pressure. The crude product was subjected to flash column chromatography on silica gel (petroleum ether/ethyl acetate/CH2Cl2 = 10:1:5) to give 51–99% yields of the pure products 3aa–3bl.
3′-Phenyl-3H,3′H,4′H-spiro[benzofuran-2,2′-furo[3,2-c]chromene]-3,4′-dione (3aa). Yield 82%; White solid; Mp 243–244 °C; 1H NMR (400 MHz, DMSO-d6): δ 7.85 (d, J = 7.6 Hz, 1H), 7.81–7.75 (m, 3H), 7.59 (d, J = 8.8 Hz, 1H), 7.47–7.43 (m, 1H), 7.31–7.28 (m, 4H), 7.25–7.21 (m, 2H), 7.06 (m, 1H), 5.14 (s, 1H); 13C NMR (100 MHz, DMSO-d6): δ 194.13 (C), 170.13 (C), 164.76 (C), 157.99 (C), 155.19 (C), 141.21 (CH), 134.30 (CH), 132.61 (C), 129.45 (CH), 128.73 (CH), 128.47 (CH), 125.95 (CH), 125.27 (CH), 124.85 (CH), 123.31 (CH), 118.10, 117.39 (CH), 113.55 (CH), 111.38 (C), 111.14 (C), 104.50 (C), 50.88 (CH); HRMS (ESI-TOF): m/z calcd for C24H14O5Na [M+Na]+: 405.0739, found: 405.0742.
8′-Methyl-3′-phenyl-3H,3′H,4′H-spiro[benzofuran-2,2′-furo[3,2-c]chromene]-3,4′-dione (3ab). Yield 79%; White solid; Mp 263–264 °C; 1H NMR (400 MHz, CDCl3): δ 7.66 (d, J = 7.6 Hz, 1H), 7.50 (t, J = 8.0 Hz, 1H), 7.42 (s, 1H), 7.36 (dd, J = 8.4, 1.6 Hz, 1H), 7.26 (d, J = 8.4 Hz, 1H), 7.18–7.17 (m, 3H), 7.09–7.06 (m, 3H), 6.74 (d, J = 8.4 Hz, 1H), 5.02 (s, 1H), 2.33 (s, 3H); 13C NMR (100 MHz, CDCl3): δ 194.36 (C), 170.46 (C), 165.38 (C), 158.76 (C), 153.56 (C), 139.84 (CH), 134.36 (CH), 134.22 (C), 131.49 (C), 128.88 (CH), 128.44 (CH), 128.21 (CH), 125.34 (CH), 123.68 (CH), 122.62 (CH), 118.46 (C), 116.86 (CH), 113.10 (CH), 111.37 (C), 110.94 (C), 103.77 (C), 52.06 (CH), 20.86 (CH3); HRMS (ESI-TOF): m/z calcd for C25H16O5Na [M+Na]+: 419.0895, found: 419.0896.
7′-Methyl-3′-phenyl-3H,3′H,4′H-spiro[benzofuran-2,2′-furo[3,2-c]chromene]-3,4′-dione (3ac). Yield 87%; Yellow solid; Mp 277–278 °C; 1H NMR (400 MHz, CDCl3): δ 7.67 (dd, J = 8.0, 0.8 Hz, 1H), 7.53–7.48 (m, 2H), 7.20–7.17 (m, 4H), 7.10–7.06 (m, 4H), 6.74 (d, J = 8.4 Hz, 1H), 5.01 (s, 1H), 2.42 (s, 3H); 13C NMR (100 MHz, CDCl3): δ 194.42 (C), 170.45 (C), 165.61 (C), 158.79 (C), 155.54 (C), 144.79 (C), 139.83 (CH), 131.56 (C), 128.86 (CH), 128.43 (CH), 128.19 (CH), 125.58 (CH), 125.34 (CH), 123.65 (CH), 122.66 (CH), 118.51 (C), 117.25 (CH), 113.09 (CH), 110.96 (C), 109.18 (C), 102.79 (C), 52.06 (CH), 22.12 (CH3); HRMS (ESI-TOF): m/z calcd for C25H16O5Na [M+Na]+: 419.0895, found: 419.0897.
7′-Methoxy-3′-phenyl-3H,3′H,4′H-spiro[benzofuran-2,2′-furo[3,2-c]chromene]-3,4′-dione (3ad). Yield 81%; Yellow solid; Mp 285–286 °C; 1H NMR (400 MHz, CDCl3): δ 7.67 (d, J = 8.0 Hz, 1H), 7.51 (t, J = 8.4 Hz, 2H), 7.19–7.17 (m, 3H), 7.09–7.06 (m, 3H), 6.85 (d, J = 1.6 Hz, 1H), 6.84–6.81 (m, 1H), 6.74 (d, J = 8.4 Hz, 1H), 5.00 (s, 1H), 3.83 (s, 3H); 13C NMR (100 MHz, CDCl3): δ 194.45 (C), 170.45 (C), 165.78 (C), 164.01 (C), 158.92 (C), 157.43 (C), 139.82 (CH), 131.68 (C), 128.86 (CH), 128.41 (CH), 128.15 (CH), 125.33 (CH), 124.02 (CH), 123.63 (CH), 118.53 (C), 113.08 (CH), 112.90 (CH), 110.97 (C), 104.90 (C), 100.90 (CH), 100.72 (C), 55.91 (CH), 51.96 (CH); HRMS (ESI-TOF): m/z calcd for C25H16O6Na [M+Na]+: 435.0845, found: 435.0846.
1′-Phenyl-1′H,3H,11′H-spiro[benzofuran-2,2′-benzo[h]furo[3,2-c]chromene]-3,11′-dione (3ae). Yield 86%; Yellow solid; Mp 268–269 °C; 1H NMR (400 MHz, CDCl3): δ 8.54 (dd, J = 6.4, 3.2 Hz, 1H), 7.84–7.82 (m, 1H), 7.68 (d, J = 7.6 Hz, 1H), 7.66–7.56 (m, 4H), 7.54–7.49 (m, 1H), 7.22–7.18 (m, 3H), 7.13–7.07 (m, 3H), 6.76 (d, J = 8.0 Hz, 1H), 5.10 (s, 1H); 13C NMR (100 MHz, CDCl3): δ 194.41 (C), 170.49 (C), 166.45 (C), 158.52 (C), 153.43 (C), 139.87 (CH), 135.51 (C), 131.48 (C), 129.35 (CH), 128.90 (CH), 128.48 (CH), 128.24 (CH), 128.10 (C), 127.52 (CH), 125.37 (CH), 124.55 (CH), 123.69 (CH), 123.10 (CH), 122.99 (C), 118.53 (C), 118.09 (CH), 113.11 (CH), 111.08 (C), 106.92 (C), 103.14 (C), 52.06 (CH); HRMS (ESI-TOF): m/z calcd for C28H16O5Na [M+Na]+: 455.0895, found: 455.0893.
8′-Fluoro-3′-phenyl-3H,3′H,4′H-spiro[benzofuran-2,2′-furo[3,2-c]chromene]-3,4′-dione (3af). Yield 77%; White solid; Mp 245–246 °C; 1H NMR (400 MHz, CDCl3): δ 7.67–7.65 (m, 1H), 7.53–7.49 (m, 1H), 7.37–7.34 (m, 1H), 7.31–7.25 (m, 2H), 7.20–7.17 (m, 3H), 7.10–7.06 (m, 3H), 6.75 (d, J = 8.4 Hz, 1H), 5.03 (s, 1H); 13C NMR (100 MHz, CDCl3): δ 194.05 (C), 170.43 (C), 164.57 (d, J = 3.0 Hz, C), 158.54 (d, J = 244.0 Hz, C), 158.11 (C), 151.50 (d, J = 2.0 Hz, C), 139.96 (CH), 131.11 (C), 128.89 (CH), 128.52 (CH), 128.36 (CH), 125.42 (CH), 123.84 (CH), 120.92 (d, J = 25.0 Hz, CH), 118.91 (d, J = 9.0 Hz, CH), 118.33 (C), 113.12 (CH), 112.39 (d, J = 10.0 Hz, C), 110.90 (C), 108.71 (d, J = 26.0 Hz, CH), 104.91 (C), 52.01 (CH); HRMS (ESI-TOF): m/z calcd for C24H13FO5Na [M+Na]+: 423.0645, found: 423.0644.
8′-Chloro-3′-phenyl-3H,3′H,4′H-spiro[benzofuran-2,2′-furo[3,2-c]chromene]-3,4′-dione (3ag). Yield 86%; White solid; Mp 278–279 °C; 1H NMR (400 MHz, CDCl3): δ 7.68–7.66 (m, 1H), 7.61 (d, J = 2.4 Hz, 1H), 7.54–7.49 (m, 2H), 7.32 (d, J = 8.8 Hz, 1H), 7.21–7.18 (m, 3H), 7.11–7.06 (m, 3H), 6.76 (d, J = 8.4 Hz, 1H), 5.03 (s, 1H); 13C NMR (100 MHz, CDCl3): δ 194.01 (C), 170.43 (C), 164.23 (C), 157.93 (C), 153.64 (C), 139.97 (CH), 133.28 (CH), 131.06 (C), 129.88 (C), 128.89 (CH), 128.53 (CH), 128.38 (CH), 125.44 (CH), 123.86 (CH), 122.53 (CH), 118.61 (CH), 118.30 (C), 113.13 (CH), 112.75 (C), 110.90 (C), 104.92 (C), 51.93 (CH); HRMS (ESI-TOF): m/z calcd for C24H13ClO5Na [M+Na]+: 439.0349, found: 439.0352.
8′-Bromo-3′-phenyl-3H,3′H,4′H-spiro[benzofuran-2,2′-furo[3,2-c]chromene]-3,4′-dione (3ah). Yield 65%; Yellow solid; Mp 286–287 °C; 1H NMR (400 MHz, CDCl3): δ 7.77 (d, J = 2.4 Hz, 1H), 7.68–7.63 (m, 2H), 7.52 (t, J = 7.6 Hz, 1H), 7.26 (d, J = 8.8 Hz, 1H), 7.21–7.19 (m, 3H), 7.11–7.06 (m, 3H), 6.77 (d, J = 8.4 Hz, 1H), 5.03 (s, 1H); 13C NMR (100 MHz, CDCl3): δ 193.98 (C), 170.43 (C), 164.09 (C), 157.85 (C), 154.10 (C), 139.95 (CH), 136.06 (CH), 131.06 (C), 128.89 (CH), 128.53 (CH), 128.37 (CH), 125.55 (CH), 125.43 (CH), 123.85 (CH), 118.85 (CH), 118.31 (C), 117.08 (C), 113.22 (C), 113.12 (CH), 110.90 (C), 104.92 (C), 51.91 (CH); HRMS (ESI-TOF): m/z calcd for C24H13BrO5Na [M+Na]+: 482.9844, found: 482.9848.
5-Methyl-3′-phenyl-3H,3′H,4′H-spiro[benzofuran-2,2′-furo[3,2-c]chromene]-3,4′-dione (3ai). Yield 80%; White solid; Mp 289–290 °C; 1H NMR (400 MHz, CDCl3): δ 7.62 (dd, J = 7.6, 1.2 Hz, 1H), 7.58–7.54 (m, 1H), 7.44 (s, 1H), 7.37 (d, J = 8.4 Hz, 1H), 7.32 (dd, J = 8.4, 1.6 Hz, 1H), 7.25 (t, J = 7.6 Hz, 1H), 7.21–7.17 (m, 3H), 7.08–7.06 (m, 2H), 6.65 (d, J = 8.4 Hz, 1H), 5.01 (s, 1H), 2.28 (s, 3H); 13C NMR (100 MHz, CDCl3): δ 194.40 (C), 168.94 (C), 165.43 (C), 158.58 (C), 155.33 (C), 141.05 (CH), 133.57 (C), 133.23 (CH), 131.50 (C), 128.87 (CH), 128.44 (CH), 128.19 (CH), 124.77 (CH), 124.30 (CH), 123.05 (CH), 118.33 (C), 117.12 (CH), 112.69 (CH), 111.73 (C), 111.24 (C), 103.91 (C), 52.01 (CH), 20.69 (CH3); HRMS (ESI-TOF): m/z calcd for C25H16O5Na [M+Na]+: 419.0895, found: 419.0900.
5-Methoxy-3′-phenyl-3H,3′H,4′H-spiro[benzofuran-2,2′-furo[3,2-c]chromene]-3,4′-dione (3aj). Yield 87%; White solid; Mp 269–270 °C; 1H NMR (400 MHz, CDCl3): δ 7.63 (d, J = 8.0 Hz, 1H), 7.58–7.54 (m, 1H), 7.37 (d, J = 8.4 Hz, 1H), 7.26 (t, J = 7.6 Hz, 1H), 7.20–7.18 (m, 3H), 7.13–7.04 (m, 4H), 6.67 (d, J = 9.2 Hz, 1H), 5.01 (s, 1H), 3.73 (s, 3H); 13C NMR (100 MHz, CDCl3): δ 194.64 (C), 165.79 (C), 165.43 (C), 158.56 (C), 156.04 (C), 155.32 (C), 133.25 (CH), 131.46 (C), 129.42 (CH), 128.85 (CH), 128.44 (CH), 128.23 (CH), 124.31 (CH), 123.04 (CH), 118.46 (C), 117.13 (CH), 114.03 (CH), 111.71 (C), 111.67 (C), 105.20 (CH), 103.93 (C), 56.01 (CH3), 52.13 (CH); HRMS (ESI-TOF): m/z calcd for C25H16O6Na [M+Na]+: 435.0845, found: 435.0848.
7-Methoxy-3′-phenyl-3H,3′H,4′H-spiro[benzofuran-2,2′-furo[3,2-c]chromene]-3,4′-dione (3ak). Yield 96% White solid; Mp 257–258 °C; 1H NMR (400 MHz, CDCl3): δ 7.62 (dd, J = 8.0, 1.6 Hz, 1H), 7.57–7.53 (m, 1H), 7.36 (d, J = 8.4 Hz, 1H), 7.26–7.23 (m, 2H), 7.19–7.17 (m, 3H), 7.12–7.10 (m, 2H), 7.04–6.97 (m, 2H), 5.04 (s, 1H), 3.57 (s, 3H); 13C NMR (100 MHz, CDCl3): δ 194.45 (C), 165.57 (C), 160.31 (C), 158.53 (C), 155.30 (C), 145.80 (C), 133.27 (CH), 131.23 (C), 128.93 (CH), 128.47 (CH), 128.24 (CH), 124.33 (CH), 124.17 (CH), 123.05 (CH), 122.70 (CH), 119.85 (C), 117.09 (CH), 116.60 (CH), 111.70 (C), 111.08 (C), 103.78 (C), 56.95 (CH3), 52.53 (CH); HRMS (ESI-TOF): m/z calcd for C25H16O6Na [M+Na]+: 435.0845, found: 435.0847.
6-Ethoxy-3′-phenyl-3H,3′H,4′H-spiro[benzofuran-2,2′-furo[3,2-c]chromene]-3,4′-dione (3al). Yield 64%; White solid; Mp 246–247 °C; 1H NMR (400 MHz, CDCl3): δ 7.76–7.72 (m, 1H), 7.69–7.63 (m, 2H), 7.50–7.45 (m, 1H), 7.39–7.28 (m, 4H), 7.21–7.17 (m, 2H), 6.72–6.67 (m, 1H), 6.24 (d, J = 9.6 Hz, 1H), 5.14 (d, J = 11.6 Hz, 1H), 4.07–4.00 (m, 2H), 1.45–1.39 (m, 3H); 13C NMR (100 MHz, CDCl3): δ 191.43 (C), 173.07 (C), 169.19 (C), 165.49 (C), 158.62 (C), 155.35 (C), 133.21 (CH), 131.64 (C), 128.90 (CH), 128.45 (CH), 128.15 (CH), 126.57 (CH), 124.30 (CH), 123.07 (CH), 117.11 (CH), 113.32 (CH), 112.02 (C), 111.77 (C), 111.11 (C), 103.92 (C), 96.69 (CH), 64.78 (CH2), 51.92 (CH), 14.40 (CH3); HRMS (ESI-TOF): m/z calcd for C26H18O6Na [M+Na]+: 449.1001, found: 449.1005.
6-Fluoro-3′-phenyl-3H,3′H,4′H-spiro[benzofuran-2,2′-furo[3,2-c]chromene]-3,4′-dione (3am). Yield 75%; White solid; Mp 224–225 °C; 1H NMR (400 MHz, CDCl3): δ 7.62 (dd, J = 7.6, 1.2 Hz, 1H), 7.59–7.54 (m, 1H), 7.37 (d, J = 8.4 Hz, 1H), 7.32–7.30 (m, 1H), 7.28–7.26 (m, 1H), 7.25–7.23 (m, 1H), 7.21–7.17 (m, 3H), 7.08–7.05 (m, 2H), 6.73–6.70 (m, 1H), 5.02 (s, 1H); 13C NMR (100 MHz, CDCl3): δ 193.99 (d, J = 2.0 Hz, C), 166.57 (C), 165.30 (C), 158.51 (d, J = 244.0 Hz, C), 158.42 (C), 155.34 (C), 133.37 (CH), 131.15 (C), 128.85 (CH), 128.52 (CH), 128.37 (CH), 127.37 (d, J = 26.0 Hz, CH), 124.39 (CH), 122.99 (CH), 119.05 (d, J = 8.0 Hz), 117.16 (CH), 114.39 (d, J = 8.0 Hz, CH), 111.67 (d, J = 14.0 Hz, C), 110.59 (d, J = 24.0 Hz, CH), 103.85 (C), 52.32 (CH); HRMS (ESI-TOF): m/z calcd for C24H13FO5Na [M+Na]+: 423.0645, found: 423.0646.
6-Chloro-3′-phenyl-3H,3′H,4′H-spiro[benzofuran-2,2′-furo[3,2-c]chromene]-3,4′-dione (3an). Yield 77%; White solid; Mp 265–266 °C; 1H NMR (400 MHz, CDCl3): δ 7.62–7.55 (m, 3H), 7.38 (d, J = 8.4 Hz, 1H), 7.26 (t, J = 7.2 Hz, 1H), 7.22–7.19 (m, 3H), 7.08–7.05 (m, 3H), 6.78 (s, 1H), 5.03 (s, 1H); 13C NMR (100 MHz, CDCl3): δ 192.75 (C), 170.55 (C), 165.25 (C), 158.40 (C), 155.36 (C), 146.25 (C), 133.37 (CH), 131.05 (C), 128.85 (CH), 128.58 (CH), 128.44 (CH), 126.08 (CH), 124.74 (CH), 124.39 (CH), 122.97 (CH), 117.17 (CH), 117.03 (C), 113.73 (CH), 111.58 (C), 111.43 (C), 103.85 (C), 52.22 (CH); HRMS (ESI-TOF): m/z calcd for C24H13ClO5Na [M+Na]+: 439.0349, found: 439.0350.
5-Bromo-3′-phenyl-3H,3′H,4′H-spiro[benzofuran-2,2′-furo[3,2-c]chromene]-3,4′-dione (3ao). Yield 88%; White solid; Mp 250–251 °C; 1H NMR (400 MHz, CDCl3): δ 7.77 (d, J = 2.0 Hz, 1H), 7.62 (dd, J = 8.0, 1.6 Hz, 1H), 7.59–7.55 (m, 2H), 7.37 (d, J = 8.4 Hz, 1H), 7.26 (t, J = 7.6 Hz, 1H), 7.20–7.18 (m, 3H), 7.07–7.05 (m, 2H), 6.66 (d, J = 8.4 Hz, 1H), 5.02 (s, 1H); 13C NMR (100 MHz, CDCl3): δ 193.04 (C), 169.13 (C), 165.27 (C), 158.38 (C), 155.35 (C), 142.32 (CH), 133.39 (CH), 131.03 (C), 128.84 (CH), 128.56 (CH), 128.41 (CH), 127.79 (CH), 124.40 (CH), 122.98 (CH), 120.15 (C), 117.17 (CH), 116.28 (C), 114.86 (CH), 111.57 (C), 111.29 (C), 103.81 (C), 52.35 (CH); HRMS (ESI-TOF): m/z calcd for C24H13BrO5Na [M+Na]+: 482.9844, found: 482.9849.
3′-(p-Tolyl)-3H,3′H,4′H-spiro[benzofuran-2,2′-furo[3,2-c]chromene]-3,4′-dione (3ap). Yield 80%; White solid; Mp 232-233 °C; 1H NMR (400 MHz, CDCl3): δ 7.76 (dd, J = 7.6, 0.8 Hz, 1H), 7.72 (dd, J = 8.0, 1.6 Hz, 1H), 7.67–7.59 (m, 2H), 7.47 (d, J = 8.4 Hz, 1H), 7.37–7.33 (m, 1H), 7.18 (t, J = 7.6 Hz, 1H), 7.11–7.06 (m, 4H), 6.88 (d, J = 8.4 Hz, 1H), 5.10 (s, 1H), 2.31 (s, 3H); 13C NMR (100 MHz, CDCl3): δ 194.46 (C), 170.53 (C), 165.23 (C), 158.58 (C), 155.30 (C), 139.84 (CH), 137.92 (C), 133.21 (CH), 129.23 (CH), 128.77 (CH), 128.27 (C), 125.35 (CH), 124.30 (CH), 123.68 (CH), 123.01 (C), 118.44 (C), 117.12 (CH), 113.20 (CH), 111.73 (C), 110.93 (C), 104.15 (C), 51.69 (CH), 21.25 (CH3); HRMS (ESI-TOF): m/z calcd for C25H16O5Na [M+Na]+: 419.0895, found: 419.0899.
3′-(4-(tert-Butyl)phenyl)-3H,3′H,4′H-spiro[benzofuran-2,2′-furo[3,2-c]chromene]-3,4′-dione (3aq). Yield 94%; Yellow oil; 1H NMR (400 MHz, CDCl3): δ 7.66 (d, J = 8.0 Hz, 1H), 7.62 (dd, J = 7.6, 1.2 Hz, 1H), 7.57–7.48 (m, 2H), 7.36 (dd, J = 8.4, 2.8 Hz, 1H), 7.26–7.22 (m, 1H), 7.20–7.18 (m, 2H), 7.10–7.05 (m, 1H), 6.99 (d, J = 8.4 Hz, 2H), 6.75 (dd, J = 8.4, 3.2 Hz, 1H), 5.00 (s, 1H), 1.18 (s, 9H); 13C NMR (100 MHz, CDCl3): δ 194.48 (C), 170.55 (C), 165.23 (C), 158.61 (C), 155.29 (C), 150.93 (C), 139.75 (CH), 133.20 (CH), 128.46 (CH), 128.27 (C), 125.39 (CH), 125.34 (C), 124.30 (CH), 123.66 (CH), 123.02 (CH), 118.48 (C), 117.10 (CH), 113.16 (CH), 111.73 (C), 111.05 (C), 104.15 (C), 51.56 (CH), 34.54 (C), 31.29 (CH3); HRMS (ESI-TOF): m/z calcd for C28H22O5Na [M+Na]+: 461.1365, found: 461.1367.
3′-(2-Methoxyphenyl)-3H,3′H,4′H-spiro[benzofuran-2,2′-furo[3,2-c]chromene]-3,4′-dione (3ar). Yield 93%; Yellow solid; Mp 257–258 °C; 1H NMR (400 MHz, CDCl3): δ 7.74 (d, J = 7.6 Hz, 1H), 7.60 (d, J = 8.0 Hz, 1H), 7.58–7.49 (m, 2H), 7.39 (d, J = 8.4 Hz, 1H), 7.24 (t, J = 7.6 Hz, 1H), 7.20–7.18 (m, 1H), 7.15 (d, J = 4.8 Hz, 1H), 7.09 (d, J = 7.6 Hz, 1H), 6.90 (t, J = 7.2 Hz, 1H), 6.74 (d, J = 8.4 Hz, 1H), 6.57 (d, J = 8.0 Hz, 1H), 5.26 (s, 1H), 3.09 (s, 3H); 13C NMR (100 MHz, CDCl3): δ 194.36 (C), 170.26 (C), 165.70 (C), 159.12 (C), 156.51 (C), 155.33 (C), 138.90 (CH), 133.21 (CH), 129.13 (CH), 128.63 (CH), 125.02 (CH), 124.29 (CH), 123.36 (CH), 123.03 (CH), 121.02 (C), 120.62 (CH), 118.67 (C), 117.06 (CH), 112.76 (CH), 111.75 (C), 111.27 (C), 109.25 (CH), 102.31 (C), 53.93 (CH3), 46.66 (CH); HRMS (ESI-TOF): m/z calcd for C25H16O6Na [M+Na]+: 435.0845, found: 435.0848.
3′-(4-Methoxyphenyl)-3H,3′H,4′H-spiro[benzofuran-2,2′-furo[3,2-c]chromene]-3,4′-dione (3as). Yield 88%; Yellow solid; Mp 220–221 °C; 1H NMR (400 MHz, CDCl3): δ 7.65 (dd, J = 7.6, 0.8 Hz, 1H), 7.62 (dd, J = 8.0, 1.2 Hz, 1H), 7.57–7.49 (m, 2H), 7.36 (d, J = 8.4 Hz, 1H), 7.27–7.23 (m, 1H), 7.08 (t, J = 7.2 Hz, 1H), 7.03–6.99 (m, 2H), 6.78 (d, J = 8.4 Hz, 1H), 6.72 (d, J = 8.8 Hz, 2H), 4.98 (s, 1H), 3.67 (s, 3H); 13C NMR (100 MHz, CDCl3): δ 194.50 (C), 170.47 (C), 165.19 (C), 159.38 (C), 158.59 (C), 155.29 (C), 139.87 (CH), 133.23 (CH), 130.05 (CH), 125.32 (CH), 124.32 (CH), 123.68 (CH), 123.32 (C), 123.01 (CH), 118.47 (C), 117.11 (CH), 113.90 (CH), 113.19 (CH), 111.72 (C), 110.89 (C), 104.15 (C), 55.21 (CH), 51.47 (CH); HRMS (ESI-TOF): m/z calcd for C25H16O6Na [M+Na]+: 435.0845, found: 435.0847.
3′-(3,4,5-Trimethoxyphenyl)-3H,3′H,4′H-spiro[benzofuran-2,2′-furo[3,2-c]chromene]-3,4′-dione (3at). Yield 99%; White solid; Mp 279–280 °C; 1H NMR (400 MHz, CDCl3): δ 7.68 (dd, J = 7.6, 0.4 Hz, 1H), 7.65 (d, J = 8.0 Hz, 1H), 7.61–7.53 (m, 2H), 7.40 (d, J = 8.0 Hz, 1H), 7.30–7.26 (m, 1H), 7.13–7.09 (m, 1H), 6.79 (d, J = 8.4 Hz, 1H), 6.24 (s, 2H), 4.99 (s, 1H), 3.72 (s, 3H), 3.63 (s, 6H); 13C NMR (100 MHz, CDCl3): δ 194.40 (C), 170.61 (C), 165.66 (C), 158.62 (C), 155.35 (C), 153.10 (C), 140.04 (CH), 137.69 (C), 133.42 (CH), 126.80 (C), 125.26 (CH), 124.42 (CH), 123.74 (CH), 123.10 (CH), 118.52 (C), 117.16 (CH), 113.24 (CH), 111.68 (C), 110.87 (C), 105.85 (CH), 103.39 (C), 60.78 (CH3), 56.10 (CH3), 52.55 (CH); HRMS (ESI-TOF): m/z calcd for C27H20O8Na [M+Na]+: 495.1056, found: 495.1060.
3′-(3-Nitrophenyl)-3H,3′H,4′H-spiro[benzofuran-2,2′-furo[3,2-c]chromene]-3,4′-dione (3av). Yield 82%; White solid; Mp 239–240 °C; 1H NMR (400 MHz, CDCl3): δ 8.17 (d, J = 8.0 Hz, 1H), 8.09 (s, 1H), 7.77 (d, J = 7.6 Hz, 1H), 7.74–7.67 (m, 2H), 7.63 (t, J = 8.0 Hz, 1H), 7.54 (d, J = 7.6 Hz, 1H), 7.49 (t, J = 7.2 Hz, 2H), 7.38 (t, J = 7.6 Hz, 1H), 7.21 (t, J = 7.2 Hz, 1H), 6.86 (d, J = 8.4 Hz, 1H), 5.20 (s, 1H); 13C NMR (100 MHz, CDCl3): δ 193.44 (C), 170.13 (C), 165.93 (C), 158.39 (C), 155.45 (C), 148.26 (C), 140.23 (CH), 135.28 (CH), 133.94 (C), 133.79 (CH), 129.53 (CH), 125.68 (CH), 124.61 (CH), 124.23 (CH), 124.09 (CH), 123.52 (CH), 123.20 (CH), 118.19 (C), 117.30 (CH), 113.14 (CH), 111.44 (C), 110.34 (C), 103.01 (C), 51.25 (CH); HRMS (ESI-TOF): m/z calcd for C24H13NO7Na [M+Na]+: 450.0590, found: 450.0588.
3′-(3-Fluorophenyl)-3H,3′H,4′H-spiro[benzofuran-2,2′-furo[3,2-c]chromene]-3,4′-dione (3aw). Yield 85%; White solid; Mp 206–207 °C; 1H NMR (400 MHz, CDCl3): δ 7.75 (d, J = 7.6 Hz, 1H), 7.70 (d, J = 7.6 Hz, 1H), 7.68–7.60 (m, 2H), 7.46 (d, J = 8.4 Hz, 1H), 7.34 (t, J = 7.6 Hz, 1H), 7.24–7.17 (m, 2H), 6.99–6.93 (m, 2H), 6.92–6.89 (m, 1H), 6.87 (d, J = 8.4 Hz, 1H), 5.09 (s, 1H); 13C NMR (100 MHz, CDCl3): δ 193.98 (C), 170.41 (C), 165.61 (C), 162.71 (d, J = 244.0 Hz), 158.45 (C), 155.37 (C), 140.05 (CH), 133.97 (d, J = 7.0 Hz), 133.50 (CH), 129.99 (d, J = 8.0 Hz, CH), 125.49 (CH), 124.71 (d, J = 3.0 Hz, CH), 124.45 (CH), 123.93 (CH), 123.10 (CH), 118.30 (C), 117.19 (CH), 116.01 (d, J = 52.0 Hz, CH), 115.41 (d, J = 20.0 Hz, CH), 113.15 (CH), 111.55 (C), 110.64 (C), 103.45 (C), 51.51 (d, J = 2.0 Hz, CH); HRMS (ESI-TOF): m/z calcd for C24H13FO5Na [M+Na]+: 423.0645, found: 423.0644.
3′-(4-Fluorophenyl)-3H,3′H,4′H-spiro[benzofuran-2,2′-furo[3,2-c]chromene]-3,4′-dione (3ay). Yield 97%; White solid; Mp 206–207 °C; 1H NMR (400 MHz, CDCl3): δ 7.75 (d, J = 7.2 Hz, 1H), 7.71 (d, J = 7.6 Hz, 1H), 7.67–7.60 (m, 2H), 7.46 (d, J = 8.4 Hz, 1H), 7.34 (t, J = 7.6 Hz, 1H), 7.20–7.13 (m, 3H), 6.96 (t, J = 8.4 Hz, 2H), 6.86 (d, J = 8.4 Hz, 1H), 5.09 (s, 1H); 13C NMR (100 MHz, CDCl3): δ 194.13 (C), 170.34 (C), 165.46 (C), 162.57 (d, J = 246 Hz, C), 158.53 (C), 155.34 (C), 140.04 (CH), 133.43 (CH), 130.60 (d, J = 9.0 Hz, CH), 127.20 (d, J = 4.0 Hz, C), 125.42 (CH), 124.43 (CH), 123.86 (CH), 123.07 (CH), 118.40 (C), 117.17 (CH), 115.52 (d, J = 22.0 Hz, CH), 113.12 (CH), 111.61 (C), 110.68 (C), 103.69 (C), 51.36 (CH); HRMS (ESI-TOF): m/z calcd for C24H13FO5Na [M+Na]+: 423.0645, found: 423.0647.
Methyl 4-(3,4′-dioxo-3H,3′H,4′H-spiro[benzofuran-2,2′-furo[3,2-c]chromen]-3′-yl)benzoate (3az). Yield 51%; White solid; Mp 228–229 °C; 1H NMR (400 MHz, CDCl3): δ 7.87 (d, J = 8.4 Hz, 2H), 7.68 (dd, J = 8.0, 0.8 Hz, 1H), 7.63 (dd, J = 7.6, 0.8 Hz, 1H), 7.60–7.56 (m, 1H), 7.54–7.50 (m, 1H), 7.38 (d, J = 8.4 Hz, 1H), 7.29–7.25 (m, 1H), 7.17 (d, J = 8.4 Hz, 2H), 7.10 (t, J = 7.2 Hz, 1H), 6.74 (d, J = 8.4 Hz, 1H), 5.08 (s, 1H), 3.80 (s, 3H); 13C NMR (100 MHz, CDCl3): δ 193.87 (C), 170.29 (C), 166.74 (C), 165.69 (C), 158.45 (C), 155.39 (C), 140.08 (CH), 136.69 (C), 133.51 (CH), 130.06 (C), 129.76 (CH), 129.02 (CH), 125.46 (CH), 124.46 (CH), 123.93 (CH), 123.10 (CH), 118.30 (C), 117.20 (CH), 113.12 (CH), 111.56 (C), 110.67 (C), 103.37 (C), 52.20 (CH3), 51.80 (CH); HRMS (ESI-TOF): m/z calcd for C26H16O7Na [M+Na]+: 463.0794, found: 463.0792.
4-(3,4′-Dioxo-3H,3′H,4′H-spiro[benzofuran-2,2′-furo[3,2-c]chromen]-3′-yl)benzonitrile (3ba). Yield 56%; Yellow solid; Mp 217-218 °C; 1H NMR (400 MHz, CDCl3): δ 7.69 (d, J = 7.6 Hz, 1H), 7.65–7.60 (m, 2H), 7.59–7.55 (m, 1H), 7.52–7.50 (m, 2H), 7.39 (d, J = 8.4 Hz, 1H), 7.29 (t, J = 7.6 Hz, 1H), 7.23 (d, J = 8.0 Hz, 2H), 7.13 (t, J = 7.6 Hz, 1H), 6.78 (d, J = 8.4 Hz, 1H), 5.06 (s, 1H); 13C NMR (100 MHz, CDCl3): δ 193.48 (C), 170.17 (C), 165.94 (C), 158.41 (C), 155.42 (C), 140.27 (CH), 137.09 (C), 133.76 (CH), 132.31 (CH), 129.79 (CH), 125.60 (CH), 124.60 (CH), 124.17 (CH), 123.16 (CH), 118.54 (C), 118.21 (C), 117.27 (CH), 113.11 (CH), 112.25 (C), 111.43 (C), 110.45 (C), 102.86 (C), 51.68 (CH); HRMS (ESI-TOF): m/z calcd for C25H13NO5Na [M+Na]+: 430.0691, found: 430.0689.
3′-(3-Chlorophenyl)-3H,3′H,4′H-spiro[benzofuran-2,2′-furo[3,2-c]chromene]-3,4′-dione (3bb). Yield 88%; Yellow solid; Mp 241–242 °C; 1H NMR (400 MHz, CDCl3): δ 7.70–7.67 (m, 1H), 7.64–7.61 (m, 1H), 7.60–7.53 (m, 2H), 7.38 (dd, J = 8.0, 3.6 Hz, 1H), 7.29–7.25 (m, 1H), 7.19–7.10 (m, 4H), 6.98 (d, J = 7.2 Hz, 1H), 6.81 (dd, J = 8.0, 3.2 Hz, 1H), 4.98 (s, 1H); 13C NMR (100 MHz, CDCl3): δ 193.92 (C), 170.37 (C), 165.57 (C), 158.40 (C), 155.37 (C), 140.04 (CH), 134.37 (C), 133.59 (C), 133.50 (CH), 129.71 (CH), 129.05 (CH), 128.60 (CH), 127.25 (CH), 125.52 (CH), 124.44 (CH), 123.95 (CH), 123.10 (CH), 118.29 (C), 117.21 (CH), 113.20 (CH), 111.55 (C), 110.62 (C), 103.47 (C), 51.42 (CH); HRMS (ESI-TOF): m/z calcd for C24H13ClO5Na [M+Na]+: 439.0349, found: 439.0350.
3′-(3-Bromophenyl)-3H,3′H,4′H-spiro[benzofuran-2,2′-furo[3,2-c]chromene]-3,4′-dione (3bc). Yield 72%; Yellow solid; Mp 260–261 °C; 1H NMR (400 MHz, CDCl3): δ 7.68 (dd, J = 8.0, 1.2 Hz, 1H), 7.64–7.60 (m, 1H), 7.58–7.53 (m, 2H), 7.38 (d, J = 8.4 Hz, 1H), 7.34–7.32 (m, 1H), 7.29–7.25 (m, 2H), 7.12 (t, J = 7.6 Hz, 1H), 7.08-7.02 (m, 2H), 6.81 (d, J = 8.4 Hz, 1H), 4.97 (s, 1H); 13C NMR (100 MHz, CDCl3): δ 193.91 (C), 170.36 (C), 165.56 (C), 158.39 (C), 155.37 (C), 140.05 (CH), 133.85 (C), 133.50 (CH), 131.91 (CH), 131.51 (CH), 129.99 (CH), 127.72 (CH), 125.52 (CH), 124.44 (CH), 123.96 (CH), 123.10 (CH), 122.56 (C), 118.29 (C), 117.21 (C), 113.21 (CH), 111.55 (C), 110.63 (C), 103.47 (C), 51.37 (CH); HRMS (ESI-TOF): m/z calcd for C24H13BrO5Na [M+Na]+: 482.9844, found: 482.9841.
3′-(4-Iodophenyl)-3H,3′H,4′H-spiro[benzofuran-2,2′-furo[3,2-c]chromene]-3,4′-dione (3bd). Yield 84%; White solid; Mp 255–256 °C; 1H NMR (400 MHz, CDCl3): δ 7.67 (dd, J = 7.6, 0.8 Hz, 1H), 7.62 (dd, J = 7.6, 0.8 Hz, 1H), 7.58 (dd, J = 7.6, 1.6 Hz, 1H), 7.55–7.51 (m, 3H), 7.38 (d, J = 8.4 Hz, 1H), 7.26 (t, J = 7.6 Hz, 1H), 7.11 (t, J = 7.6 Hz, 1H), 6.85 (d, J = 8.4 Hz, 2H), 6.81 (d, J = 8.4 Hz, 1H), 4.96 (s, 1H); 13C NMR (100 MHz, CDCl3): δ 193.97 (C), 170.36 (C), 165.58 (C), 158.46 (C), 155.35 (C), 140.09 (CH), 137.61 (CH), 133.47 (CH), 131.24 (C), 130.83 (CH), 125.45 (CH), 124.44 (CH), 123.93 (CH), 123.08 (CH), 118.30 (C), 117.19 (CH), 113.25 (CH), 111.57 (C), 110.56 (C), 103.44 (C), 94.22 (C), 51.50 (CH); HRMS (ESI-TOF): m/z calcd for C24H13IO5Na [M+Na]+: 530.9705, found: 530.9706.
3′-(2,4-Dichlorophenyl)-3H,3′H,4′H-spiro[benzofuran-2,2′-furo[3,2-c]chromene]-3,4′-dione (3be). Yield 64%; Yellow solid; Mp 253–254 °C; 1H NMR (400 MHz, CDCl3): δ 7.80 (d, J = 7.6 Hz, 1H), 7.72–7.65 (m, 3H), 7.49 (d, J = 8.4 Hz, 1H), 7.36 (t, J = 7.6 Hz, 1H), 7.32–7.30 (m, 1H), 7.28 (d, J = 2.4 Hz, 1H), 7.25 (t, J = 5.6 Hz, 2H), 6.93 (d, J = 8.4 Hz, 1H), 5.51 (s, 1H); 13C NMR (100 MHz, CDCl3): δ 193.70 (C), 170.39 (C), 165.90 (C), 158.47 (C), 155.40 (C), 139.69 (CH), 135.06 (C), 134.70 (C), 133.65 (CH), 130.88 (CH), 129.18 (CH), 129.08 (C), 127.35 (CH), 125.62 (CH), 124.52 (CH), 124.08 (CH), 123.15 (CH), 118.15 (C), 117.22 (CH), 113.08 (CH), 111.46 (C), 110.40 (C), 102.28 (C), 47.76 (CH); HRMS (ESI-TOF): m/z calcd for C24H12Cl2O5Na [M+Na]+: 472.9959, found: 472.9958.
3′-(4-(Trifluoromethyl)phenyl)-3H,3′H,4′H-spiro[benzofuran-2,2′-furo[3,2-c]chromene]-3,4′-dione (3bf). Yield 90%; Yellow solid; Mp 220–221 °C; 1H NMR (400 MHz, CDCl3): δ 7.69 (dd, J = 7.6, 0.8 Hz, 1H), 7.64 (dd, J = 8.0, 1.6 Hz, 1H), 7.61–7.59 (m, 1H), 7.57–7.53 (m, 1H), 7.47 (d, J = 8.0 Hz, 2H), 7.39 (d, J = 8.4 Hz, 1H), 7.30–7.26 (m, 1H), 7.22 (d, J = 8.0 Hz, 2H), 7.12 (t, J = 7.6 Hz, 1H), 6.78 (d, J = 8.0 Hz, 1H), 5.08 (s, 1H); 13C NMR (100 MHz, CDCl3): δ 193.76 (C), 170.30 (C), 165.74 (C), 158.45 (C), 155.41 (C), 140.13 (CH), 135.65 (CH), 133.59 (C), 130.42 (q, J = 32.0 Hz, CF3), 129.35 (CH), 125.50 (q, J = 4.0 Hz, CH), 124.50 (CH), 124.02 (CH), 123.12 (CH), 118.26 (C), 117.23 (CH), 113.17 (CH), 111.53 (CH), 110.60 (CH), 103.25 (C), 51.52 (CH); HRMS (ESI-TOF): m/z calcd for C25H13F3O5Na [M+Na]+: 473.0613, found: 473.0616.
3′-([1,1′-Biphenyl]-4-yl)-3H,3′H,4′H-spiro[benzofuran-2,2′-furo[3,2-c]chromene]-3,4′-dione (3bg). Yield 88%; White solid; Mp 280–281 °C; 1H NMR (400 MHz, CDCl3): δ 7.68 (dd, J = 8.0, 0.8 Hz, 1H), 7.63 (dd, J = 7.6, 1.2 Hz, 1H), 7.58–7.54 (m, 1H), 7.52–7.50 (m, 1H), 7.49–7.47 (m, 1H), 7.46 (s, 1H), 7.43–7.41 (m, 2H), 7.38 (d, J = 8.0 Hz, 1H), 7.34–7.30 (m, 2H), 7.28–7.22 (m, 2H), 7.15 (d, J = 8.4 Hz, 2H), 7.10–7.06 (m, 1H), 6.77 (d, J = 8.4 Hz, 1H), 5.07 (s, 1H); 13C NMR (100 MHz, CDCl3): δ 194.32 (C), 170.50 (C), 165.44 (C), 158.61 (C), 155.36 (C), 140.97 (C), 140.55 (C), 139.92 (CH), 133.33 (CH), 130.47 (C), 129.31 (CH), 128.76 (CH), 127.40 (CH), 127.19 (CH), 127.06 (CH), 125.40 (CH), 124.38 (CH), 123.77 (CH), 123.07 (CH), 118.45 (C), 117.17 (CH), 113.23 (CH), 111.71 (C), 110.96 (C), 103.93 (C), 51.73 (CH); HRMS (ESI-TOF): m/z calcd for C30H18O5Na [M+Na]+: 481.1052, found: 481.1053.
3′-(Naphthalen-2-yl)-3H,3′H,4′H-spiro[benzofuran-2,2′-furo[3,2-c]chromene]-3,4′-dione (3bh). Yield 89%; White solid; Mp 257–258 °C; 1H NMR (400 MHz, CDCl3): δ 7.82–7.74 (m, 5H), 7.69 (s, 1H), 7.68–7.65 (m, 1H), 7.56–7.52 (m, 1H), 7.50–7.45 (m, 3H), 7.39–7.35 (m, 1H), 7.32 (dd, J = 8.4, 1.6 Hz, 1H), 7.15 (t, J = 7.6 Hz, 1H), 6.79 (d, J = 8.4 Hz, 1H), 5.32 (s, 1H); 13C NMR (100 MHz, CDCl3): δ 194.36 (C), 170.52 (C), 165.43 (C), 158.60 (C), 155.39 (C), 139.89 (CH), 133.35 (CH), 133.19 (C), 129.12 (C), 128.34 (CH), 128.21 (CH), 128.04 (CH), 127.67 (CH), 126.51 (CH), 126.21 (CH), 126.15 (CH), 125.40 (CH), 124.39 (CH), 123.77 (CH), 123.09 (CH), 118.31 (C), 117.18 (CH), 113.23 (CH), 111.73 (C), 111.03 (C), 104.07 (C), 52.05 (CH); HRMS (ESI-TOF): m/z calcd for C28H16O5Na [M+Na]+: 455.0895, found: 455.0895.
3′-(Furan-2-yl)-3H,3′H,4′H-spiro[benzofuran-2,2′-furo[3,2-c]chromene]-3,4′-dione (3bi). Yield 69%; Yellow solid; Mp 194–195 °C; 1H NMR (400 MHz, CDCl3): δ 7.70 (d, J = 7.6 Hz, 1H), 7.62–7.54 (m, 3H), 7.37 (d, J = 8.4 Hz, 1H), 7.27–7.23 (m, 2H), 7.14 (t, J = 7.6 Hz, 1H), 6.91 (d, J = 8.4 Hz, 1H), 6.26–6.23 (m, 2H), 5.11 (s, 1H); 13C NMR (100 MHz, CDCl3): δ 193.87 (C), 170.74 (C), 165.33 (C), 158.37 (C), 155.27 (C), 145.52 (C), 143.07 (CH), 139.94 (CH), 133.46 (CH), 125.55 (CH), 124.39 (CH), 123.92 (CH), 123.09 (CH), 118.12 (C), 117.14 (CH), 113.21 (CH), 111.56 (C), 110.61 (CH), 110.34 (C), 110.04 (CH), 101.82 (C), 45.50 (CH); HRMS (ESI-TOF): m/z calcd for C22H12O6Na [M+Na]+: 395.0532, found: 395.0537.
3′-(Thiophen-2-yl)-3H,3′H,4′H-spiro[benzofuran-2,2′-furo[3,2-c]chromene]-3,4′-dione (3bj). Yield 84%; Yellow solid; Mp 194–195 °C; 1H NMR (400 MHz, CDCl3): δ 7.68 (dd, J = 7.6, 0.8 Hz, 1H), 7.62 (dd, J = 8.0, 1.6 Hz, 1H), 7.60–7.55 (m, 2H), 7.37 (d, J = 8.4 Hz, 1H), 7.28–7.24 (m, 1H), 7.20–7.18 (m, 1H), 7.14–7.10 (m, 1H), 6.89 (d, J = 8.4 Hz, 1H), 6.86–6.84 (m, 2H), 5.33 (s, 1H); 13C NMR (100 MHz, CDCl3): δ 193.98 (C), 170.67 (C), 165.10 (C), 158.29 (C), 155.31 (C), 139.99 (CH), 133.68 (C), 133.47 (CH), 128.09 (CH), 126.72 (CH), 126.40 (CH), 125.46 (CH), 124.38 (CH), 123.87 (CH), 123.14 (CH), 118.39 (C), 117.17 (CH), 113.24 (CH), 111.57 (C), 110.14 (C), 103.89 (C), 47.15 (CH); HRMS (ESI-TOF): m/z calcd for C22H12O5SNa [M+Na]+: 411.0303, found: 411.0305.
5-nitro-3′-phenyl-3H,3′H,4′H-spiro[benzofuran-2,2′-furo[3,2-c]chromene]-3,4′-dione (3bk). Yield 62%; White solid; Mp 265–266 °C; 1H NMR (400 MHz, CDCl3): δ 8.57 (s, 1H), 8.41 (d, J = 9.2 Hz, 1H), 7.64-7.59 (m, 2H), 7.41 (d, J = 8.4 Hz, 1H), 7.30 (t, J = 7.6 Hz, 1H), 7.21-7.19 (m, 3H), 7.08 (s, 2H), 6.90 (d, J = 9.2 Hz, 1H), 5.10 (s, 1H); 13C NMR (100 MHz, CDCl3): δ 192.51 (C), 172.82 (C), 165.17 (C), 158.19 (C), 155.41 (C), 143.90 (C), 134.57 (CH), 133.62 (CH), 130.41 (C), 128.79 (CH), 128.72 (CH), 124.54 (CH), 122.90 (CH), 121.84 (CH), 119.01 (C), 117.27 (CH), 113.93 (CH), 112.15 (C), 111.38 (C), 103.66 (C), 52.86 (CH); HRMS (ESI-TOF): m/z calcd for C24H13NO7Na [M+Na]+: 450.0590, found: 450.0596.
8′-nitro-3′-phenyl-3H,3′H,4′H-spiro[benzofuran-2,2′-furo[3,2-c]chromene]-3,4′-dione (3bl). Yield 81%; Yellow solid; Mp 315–317 °C; 1H NMR (400 MHz, CDCl3): δ 8.56 (d, J = 2.4 Hz, 1H), 8.43 (dd, J = 9.2, 2.4 Hz, 1H), 7.70 (d, J = 7.6 Hz, 1H), 7.56 (t, J = 8.0 Hz, 1H), 7.51 (d, J = 9.2 Hz, 1H), 7.41-7.37 (m, 1H), 7.24-7.22 (m, 2H), 7.15-7.10 (m, 3H), 6.81 (d, J = 8.0 Hz, 1H), 5.06 (s, 1H); 13C NMR (100 MHz, CDCl3): δ 193.65 (C), 170.44 (C), 164.07 (C), 158.40 (C), 156.86 (C), 143.77 (C), 140.12 (CH), 130.62 (C), 128.89 (CH), 128.64 (CH), 128.58 (CH), 127.80 (CH), 125.56 (CH), 124.07 (CH), 119.51 (CH), 118.35 (CH), 118.15 (C), 113.17 (CH), 112.06 (C), 110.92 (C), 105.86 (C), 51.78 (CH); HRMS (ESI-TOF): m/z calcd for C24H13NO7Na [M+Na]+: 450.0590, found: 450.0592.
4-Hydroxy-3-((4-nitrophenyl)(3-oxobenzofuran-2(3H)-ylidene)methyl)-2H-chromen-2-one (4au). Yield 78%; Yellow solid; Mp 238–239 °C; 1H NMR (400 MHz, CDCl3): δ 11.46 (s, 1H), 8.21 (d, J = 8.8 Hz, 2H), 7.96 (dd, J = 7.6, 1.2 Hz, 1H), 7.84 (dd, J = 8.0, 1.6 Hz, 1H), 7.67 (d, J = 8.8 Hz, 2H), 7.64–7.59 (m, 1H), 7.48–7.44 (m, 2H), 7.40 (t, J = 8.0 Hz, 1H), 6.98 (d, J = 8.4 Hz, 1H), 6.83–6.79 (m, 1H); 13C NMR (100 MHz, CDCl3): δ 186.27 (C), 163.66 (C), 158.81 (C), 156.53 (C), 153.71 (C), 148.10 (C), 147.67 (C), 137.47 (CH), 135.04 (C), 133.12 (CH), 131.76 (CH), 131.38 (CH), 131.03 (C), 125.26 (CH), 123.33 (CH), 121.86 (CH), 119.33 (CH), 118.83 (CH), 118.56 (C), 117.71 (CH), 111.66 (C), 110.01 (C); HRMS (ESI-TOF): m/z calcd for C24H13NO7Na [M+Na]+: 450.0590, found: 450.0589.
3-((2-Fluorophenyl)(3-oxobenzofuran-2(3H)-ylidene)methyl)-4-hydroxy-2H-chromen-2-one (4ax). Yield 77%; White solid; Mp 196–197 °C; 1H NMR (400 MHz, CDCl3): δ 7.80 (dd, J = 7.6, 0.8 Hz, 1H), 7.72–7.69 (m, 1H), 7.67–7.62 (m, 2H), 7.49 (d, J = 8.4 Hz, 1H), 7.38–7.34 (m, 1H), 7.32–7.26 (m, 2H), 7.24–7.20 (m, 1H), 7.16 (t, J = 7.2 Hz, 1H), 6.95 (t, J = 9.6 Hz, 1H), 6.89 (d, J = 8.4 Hz, 1H), 5.38 (s, 1H); 13C NMR (100 MHz, CDCl3): δ 193.80 (C), 170.39 (C), 158.67 (C), 155.34 (C), 139.67 (CH), 133.43 (CH), 130.01 (d, J = 8.0 Hz, CH), 125.58 (CH), 124.42 (CH), 124.25 (d, J = 3.0 Hz, CH), 123.90 (CH), 123.09 (CH), 119.38 (d, J = 14.0 Hz, (C)), 118.16 (C), 117.15 (CH), 115.09 (d, J = 22.0 Hz, CH), 113.00 (CH), 111.61 (C), 110.59 (C); HRMS (ESI-TOF): m/z calcd for C24H13FO5Na [M+Na]+: 423.0645, found: 423.0644.
Methyl-4-((4-hydroxy-2-oxo-2H-chromen-3-yl)(3-oxobenzofuran-2(3H)-ylidene)methyl)benzoate (4az). Yield 16%; Yellow solid; Mp 214–215 °C; 1H NMR (400 MHz, CDCl3): δ 11.51 (s, 1H), 8.02–8.00 (m, 2H), 7.96 (dd, J = 7.6, 1.2 Hz, 1H), 7.73 (dd, J = 8.0, 1.6 Hz, 1H), 7.62–7.58 (m, 1H), 7.56–7.53 (m, 2H), 7.45–7.41 (m, 2H), 7.40–7.36 (m, 1H), 6.96 (dd, J = 8.4, 0.8 Hz, 1H), 6.75–6.71 (m, 1H), 3.86 (s, 3H); 13C NMR (100 MHz, CDCl3): δ 186.79 (C), 166.60 (C), 163.44 (C), 158.75 (C), 156.62 (C), 153.67 (C), 147.32 (C), 137.22 (CH), 132.87 (CH), 132.84 (C), 132.07 (C), 131.95 (CH), 130.68 (C), 130.36 (CH), 129.42 (CH), 125.08 (CH), 121.86 (CH), 119.16 (CH), 118.61 (CH), 117.62 (CH), 111.82 (C), 110.09 (C), 52.32 (CH3), 29.74 (C); HRMS (ESI-TOF): m/z calcd for C26H16O7Na [M+Na]+: 463.0794, found: 463.0791.
4-((4-Hydroxy-2-oxo-2H-chromen-3-yl)(3-oxobenzofuran-2(3H)-ylidene)methyl)benzonitrile (4ba). Yield 26%; Yellow solid; Mp 259–260 °C; 1H NMR (400 MHz, CDCl3): δ 11.46 (s, 1H), 7.96 (d, J = 7.6 Hz, 1H), 7.78 (dd, J = 8.0, 0.8 Hz, 1H), 7.65–7.59 (m, 5H), 7.48–7.44 (m, 2H), 7.39 (t, J = 8.0 Hz, 1H), 6.99 (d, J = 8.8 Hz, 1H), 6.80–6.77 (m, 1H); 13C NMR (100 MHz, CDCl3): δ 186.41 (C), 163.59 (C), 158.82 (C), 156.55 (C), 153.70 (C), 147.53 (C), 137.41 (CH), 133.08 (C), 133.05 (CH), 131.86 (CH), 131.78 (CH), 131.28 (C), 131.08 (CH), 125.21 (CH), 121.85 (CH), 119.26 (CH), 118.78 (CH), 118.55 (C), 118.50 (C), 117.69 (CH), 113.01 (C), 111.69 (C), 109.93 (C); HRMS (ESI-TOF): m/z calcd for C25H13NO5Na [M+Na]+: 430.0691, found: 430.0691.
4. Conclusions
In summary, we developed a new approach to the synthesis of spirocyclic benzofuran–furocoumarins. The simple method utilizes readily available 4-hydroxycoumarins and aurones as materials and employs an iodine-catalyzed cascade annulation reaction to obtain a series of spirocyclic benzofuran–furocoumarins in high yields (up to 99%) with excellent stereoselectivity (up to >20:1 dr). Additionally, this operationally simple and environmentally benign strategy shows great compatibility with different groups on the 4-hydroxycoumarins and aurones. Further research on the application of this strategy in other reactions is underway in our laboratory.
Supplementary Materials
The following supporting information can be downloaded at: https://www.mdpi.com/article/10.3390/molecules29081701/s1.
Author Contributions
Conceptualization, X.W. and X.S.; methodology, C.Y., D.Y. and M.X.; formal analysis, S.D.; data curation, S.D.; writing—original draft preparation, X.W. and S.D.; writing—review and editing, X.W. and X.S.; supervision, X.W.; project administration, X.W. and X.S.; funding acquisition, X.W. and X.S. All authors have read and agreed to the published version of the manuscript.
Funding
This research was funded by the Natural Science Foundation of Yunnan Province (Nos. 202101BA070001-053, 202205AC160004, 202301BA070001-102) and the Program for Innovative Research Team in Qujing University.
Institutional Review Board Statement
Not applicable.
Informed Consent Statement
Not applicable.
Data Availability Statement
The data presented in this study are available in this article.
Conflicts of Interest
The authors declare no conflicts of interest.
References
- Acosta-Quiroga, K.; Rojas-Peña, C.; Nerio, L.S.; Gutiérrez, M.; Polo-Cuadrado, E. Spirocyclic derivatives as antioxidants: A review. RSC Adv. 2021, 11, 21926–21954. [Google Scholar] [CrossRef] [PubMed]
- Hiesinger, K.; Dar’in, D.; Proschak, E.; Krasavin, M. Spirocyclic scaffolds in medicinal chemistry. J. Med. Chem. 2021, 64, 150–183. [Google Scholar] [CrossRef] [PubMed]
- Zheng, Y.-J.; Tice, C.M. The utilization of spirocyclic scaffolds in novel drug. Expert Opin. Drug Dis. 2016, 11, 831–834. [Google Scholar] [CrossRef] [PubMed]
- Hügel, H.M.; Silva, N.H.; Siddiqui, A.; Blanch, E.; Lingham, A. Natural spirocyclic alkaloids and polyphenols as multi target dementia leads. Bioorg. Med. Chem. 2021, 43, 116270. [Google Scholar] [CrossRef] [PubMed]
- Westphal, R.; Filho, E.V.; Loureiro, L.B.; Tormena, C.F.; Pessoa, C.; Guimarães, C.J.; Manso, M.P.; Fiorot, R.G.; Campos, V.R.; Resende, J.A.L.C.; et al. Green Synthesis of Spiro Compounds with Potential Anticancer Activity through Knoevenagel/Michael/Cyclization Multicomponent Domino Reactions Organocatalyzed by Ionic Liquid and Microwave-Assisted. Molecules 2022, 27, 8051. [Google Scholar] [CrossRef] [PubMed]
- Kar, S.; Sarkar, T.; Maharana, P.K.; Guha, A.K.; Punniyamurthy, T. Bi-catalyzed 1,2-reactivity of spirocyclopropyl oxindoles with dithianediol: Access to spiroheterocycles. Org. Lett. 2022, 24, 4965–4970. [Google Scholar] [CrossRef] [PubMed]
- Liu, Y.; Zhang, X.; Zeng, R.; Zhang, Y.; Dai, Q.-S.; Leng, H.-J.; Gou, X.-J.; Li, J.-L. Recent advances in the synthesis of spiroheterocycles via N-Heterocyclic carbene organocatalysis. Molecules 2017, 22, 1882. [Google Scholar] [CrossRef] [PubMed]
- Gao, Z.-H.; Chen, K.-Q.; Zhang, Y.; Kong, L.-M.; Li, Y.; Ye, S. Enantioselective N-Heterocyclic carbene-catalyzed synthesis of spirocyclic oxindole-benzofuroazepinones. J. Org. Chem. 2018, 83, 15225–15235. [Google Scholar] [CrossRef] [PubMed]
- Jeon, H.J.; Park, S.M.; Lee, Y.L.; Lee, S. Divergent Asymmetric Synthesis of Chiral Spiroheterocycles through Pd-Catalyzed Enantio- and Diastereoselective [3 + 2] Spiroannulation. Org. Lett. 2022, 24, 9189–9193. [Google Scholar] [CrossRef]
- Stepanova, E.E.; Dmitriev, M.V.; Maslivets, A.N. Facile approach to alkaloid-like 6/6/5/5-tetracyclic spiroheterocycles via 1,3-dipolar cycloaddition reaction of fused 1H-pyrrole-2,3-diones with nitrones. Tetrahedron Lett. 2020, 61, 151595. [Google Scholar] [CrossRef]
- Lan, J.; Li, S.; Lin, K.; Zhou, P.; Chen, W.; Gao, L.; Zhu, T. The eco-friendly electrosynthesis of trifluoromethylated spirocyclic indolines and their anticancer activity. Org. Biomol. Chem. 2022, 20, 3475. [Google Scholar] [CrossRef]
- Batista, V.F.; Pinto, D.C.G.A.; Silva, A.M.S. Recent in vivo advances of spirocyclic scaffolds for drug discovery. Expert Opin. Drug Dis. 2022, 17, 603–618. [Google Scholar] [CrossRef]
- Ozhogin, I.V.; Pugachev, A.D.; Makarova, N.I.; Belanova, A.A.; Kozlenko, A.S.; Rostovtseva, I.A.; Zolotukhin, P.V.; Demidov, O.P.; El-Sewify, I.M.; Borodkin, G.S.; et al. Novel indoline spiropyrans based on human hormones-Estradiol and estrone: Synthesis, structure, chromogenic and cytotoxic properties. Molecules 2023, 28, 3866. [Google Scholar] [CrossRef]
- Jiao, Y.; Zhu, J.; Han, N.; Shen, R.; Zhang, Y.; Rong, L.; Zhang, J. Three-component reaction for the synthesis of spiro-heterocycles from isatins, substituted ureas, and cyclic ketones. J. Org. Chem. 2024, 89, 3441–3452. [Google Scholar] [CrossRef]
- Ahadi, S.; Khavasi, H.R.; Bazgir, A. Highly efficient construction of bisspirooxindoles containing vicinal spirocenters through an organocatalytic modified feist–bénary reaction. Chem. Eur. J. 2013, 19, 12553–12559. [Google Scholar] [CrossRef]
- Xue, J.; Zhang, H.; Tian, T.; Yin, K.; Liu, D.; Jiang, X.; Li, Y.; Jin, X.; Yao, X. Organohalogenite-catalyzed spiroketalization: Enantioselective synthesis of bisbenzannulated spiroketal cores. Adv. Synth. Catal. 2016, 358, 370–374. [Google Scholar] [CrossRef]
- Malpani, Y.; Achary, R.; Kim, S.Y.; Jeong, H.C.; Kim, P.; Han, S.B.; Kim, M.; Lee, C.-K.; Kim, J.N.; Jung, Y.-S. Efficient synthesis of 3H,3´H-spiro[benzofuran-2,1′-isobenzofuran]-3,3′-dione as novel skeletons specifically for influenza virus type B inhibition. Eur. J. Med. Chem. 2013, 62, 534–544. [Google Scholar] [CrossRef]
- Nair, D.; Basu, P.; Pati, S.; Baseshankar, K.; Sankara, C.S.; Namboothiri, I.N.N. Synthesis of spirolactones and functionalized benzofurans via addition of 3-sulfonylphthalides to 2-formylaryl triflates and conversion to benzofuroisocoumarins. J. Org. Chem. 2023, 88, 4519–4527. [Google Scholar] [CrossRef]
- Moshnenko, N.; Kazantsev, A.; Chupakhin, E.; Bakulina, O.; Dar´in, D. Synthetic routes to approved drugs containing a spirocycle. Molecules 2023, 28, 4209. [Google Scholar] [CrossRef]
- Jang, Y.; Lee, H.W.; Shin, J.S.; Go, Y.Y.; Kim, C.; Shin, D.; Malpani, Y.; Han, S.B.; Jung, Y.-S.; Kim, M. Antiviral activity of KR-23502 targeting nuclear export of influenza B virus ribonucleoproteins. Antivira. Res. 2016, 134, 77–88. [Google Scholar] [CrossRef]
- Zhang, J.-J.; Wang, D.-W.; Peng, Y.-L.; Cai, D.; Cheng, Y.-X. Spiroganodermaines A-G from Ganoderma species and their activities against insulin resistance and renal fibrosis. Phytochemistry 2022, 202, 113324. [Google Scholar] [CrossRef]
- Chen, C.; Tang, Z.-B.; Liu, Z. Recent advances in the synthesis and applications of furocoumarin derivatives. Chinese Chem. Lett. 2023, 34, 108396. [Google Scholar] [CrossRef]
- Salehian, F.; Nadri, H.; Jalili-Baleh, L.; Youseftabar-Miri, L.; Bukhari, S.N.A.; Foroumadi, A.; Küçükkilinç, T.T.; Sharifzadeh, M.; Khoobi, M. A review: Biologically active 3,4-heterocycle-fused coumarins. Eur. J. Med. Chem. 2021, 212, 113034. [Google Scholar] [CrossRef]
- Rajabi, M.; Hossaini, Z.; Khalilzadeh, M.A.; Datta, S.; Halder, M.; Mousa, S.A. Synthesis of a new class of furo[3,2-c]coumarins and its anticancer activity. J. Photoch. Phootbio. B. 2015, 148, 66–72. [Google Scholar] [CrossRef]
- Li, X.; Wang, T.; Liu, J.; Liu, Y.; Zhang, J.; Lin, J.; Zhao, Z.; Chen, D. Effect and mechanism of wedelolactone as antioxidant-coumestan on.OH-treated mesenchymal stem cells. Arabian J. Chem. 2020, 13, 184–192. [Google Scholar] [CrossRef]
- Zhang, M.-Z.; Zhang, R.-R.; Wang, J.-Q.; Yu, X.; Zhang, Y.-L.; Wang, Q.-Q.; Zhang, W.-H. Microwave-assisted synthesis and antifungal activity of novel fused Osthole derivatives. Eur. J. Med. Chem. 2016, 124, 10–16. [Google Scholar] [CrossRef]
- Selim, Y.; El-Ahwany, M. Synthesis and antiproliferative activity of new furocoumarin derivatives. Chem. Heterocycl. Com. 2017, 53, 867–870. [Google Scholar] [CrossRef]
- Yang, L.; Pi, C.; Wu, Y.; Cui, X. Lewis acid-catalyzed [3+2]-cyclization of iodonium ylides with azadienes: Access to spiro[benzofuran-2,2′-furan]-3-ones. Org. Lett. 2022, 24, 7502–7506. [Google Scholar] [CrossRef]
- Yavari, I.; Shaabanzadeh, S.; Ghafouri, K. Scalable diastereoselective electrosynthesis of spiro[benzofuran-2,2′-furan]-3-ones. J. Org. Chem. 2024, 89, 425–432. [Google Scholar] [CrossRef]
- Breugst, M.; Heiden, D.V.D. Mechanisms in iodine catalysis. Chem. Eur. J. 2018, 24, 9187–9199. [Google Scholar] [CrossRef]
- Monika; Chander; Ram, S.; Sharma, P.K. A review on molecular iodine catalyzed/mediated multicomponent reactions. Asian J. Org. Chem. 2023, 12, e202200616. [Google Scholar] [CrossRef]
- Suresh, S.; Tsai, H.-Y.; Han, X.-L.; Kavala, V.; Palla, S.; Yao, C.-F. Iodine-catalyzed cascade reaction of 2-styrylbenzaldehydes with indoles in the synthesis of 1H-indenes via 4π-electrocyclization. Adv. Synth. Catal. 2024, 366, 1–7. [Google Scholar] [CrossRef]
- Li, R.-P.; Wang, Z.-L.; Zhang, Y.-H.; Tan, Z.-Y.; Xu, D.-Z. Iodine-catalyzed oxidative coupling of indolin-2-ones with indoles: Synthesis of 3,3-disubstituted oxindole compounds. ChemistrySelect 2022, 7, e202200558. [Google Scholar] [CrossRef]
- Sar, S.; Tripathi, A.; Dubey, K.D.; Sen, S. Iodine-catalyzed aerobic diazenylation–amination of indole derivatives. J. Org. Chem. 2020, 85, 3748–3756. [Google Scholar] [CrossRef]
- Zhuge, J.; Jiang, Z.; Jiang, W.; Histand, G.; Lin, D. Iodine-catalyzed oxidative functionalization of purines with (thio)ethers or methylarenes for the synthesis of purin-8-one analogues. Org. Biomol. Chem. 2021, 19, 5121–5126. [Google Scholar] [CrossRef]
- Yang, Z.; Wang, M.; Liu, R.; Yu, W.; Chang, J. Iodine-catalyzed α-hydroxylation of β-dicarbonyl compounds. Asian J. Org. Chem. 2023, 12, e202200639. [Google Scholar] [CrossRef]
- Pathare, R.S.; Patil, V.; Kaur, H.; Maurya, A.K.; Agnihotri, V.K.; Khan, S.; Devunuri, N.; Sharon, A.; Sawant, D.M. Iodine-catalyzed cross-coupling of isocyanides and thiols for the synthesis of S-thiocarbamates. Org. Biomol. Chem. 2018, 16, 8263–8266. [Google Scholar] [CrossRef]
- Pandey, A.K.; Chand, S.; Singh, R.; Kumar, S.; Singh, K.N. Iodine-catalyzed synthesis of 3-arylthioindoles employing a 1-aryltriazene/CS2 combination as a new sulfenylation source. ACS Omega 2020, 5, 7627–7635. [Google Scholar] [CrossRef]
- Wang, X.; Yan, F.; Wang, Q. Molecular iodine: Catalysis in heterocyclic synthesis. Synth. Commun. 2021, 51, 1763–1781. [Google Scholar] [CrossRef]
- Zhan, Z.; Zhang, M.; Jiang, P.; He, J.; Luo, N.; Wang, H.; Wang, M.; Huang, G. Selective synthesis of trisubstituted imidazoles by iodine-catalyzed [3+2] cycloadditions. Asian J. Org. Chem. 2021, 10, 1801–1813. [Google Scholar] [CrossRef]
- Yu, Z.-C.; Shen, X.; Zhou, Y.; Chen, X.-L.; Wang, L.-S.; Wu, Y.-D.; Zhang, H.-K.; Zheng, K.-L.; Wu, A.-X. I2-promoted formal [3+1+1+1] cyclization to construct 5-cyano-1H-pyrazolo[3,4-b]pyridine using malononitrile as a C1 synthon. Org. Chem. Front. 2023, 10, 5958–5964. [Google Scholar] [CrossRef]
- Xiong, C.; Cheng, K.; Wang, J.; Yang, F.; Lu, J.; Zhou, Q. Iodine-catalyzed aerobic oxidation of spirovinylcyclopropyl oxindoles to form spiro-1,2-dioxolanes diastereoselectively. J. Org. Chem. 2020, 85, 9386–9395. [Google Scholar] [CrossRef]
- Hao, W.-J.; Wang, S.-Y.; Ji, S.-J. Iodine-catalyzed cascade formal [3+3] cycloaddition reaction of indolyl alcohol derivatives with enaminones: Constructions of functionalized spirodihydrocarbolines. ACS Catal. 2013, 3, 2501–2504. [Google Scholar] [CrossRef]
- Rezvanian, A.; Zadsirjan, V.; Saedi, P.; Heravi, M.M. Iodine-catalyzed one-pot four-component synthesis of spiro[indoline-3,4′-pyrano-pyrazole] derivatives. J. Heterocycl. Chem. 2018, 55, 2772–2880. [Google Scholar] [CrossRef]
- Yu, X.-X.; Zhao, P.; Zhou, Y.; Huang, C.; Wang, L.-S.; Wu, Y.-D.; Wu, A.-X. Iodine-promoted formal [3+2] cycloaddition of enaminone: Access to 2-hydroxy-1,2-dihydro-pyrrol-3-ones with quaternary carbon center. J. Org. Chem. 2021, 86, 12141–12147. [Google Scholar] [CrossRef]
- Miao, C.-B.; Liu, R.; Sun, Y.-F.; Sun, X.-Q.; Yang, H.-T. Base-controlled selective construction of polysubstituted dihydrofuran and furan derivatives through an I2-mediated cyclization. Tetrahedron Lett. 2017, 58, 541–545. [Google Scholar] [CrossRef]
- Carrasco, M.P.; Newton, A.S.; Gonçalves, L.; Góis, A.; Machado, M.; Gut, J.; Nogueira, F.; Hänscheid, T.; Guedes, R.C.; Santos, D.J.V.A.; et al. Probing the aurone scaffold against Plasmodium falciparum: Design, synthesis and antimalarial activity. Eur. J. Med. Chem. 2014, 80, 523–534. [Google Scholar] [CrossRef]
- Liu, Q.; Wang, F.; He, Z.-Y.; Zhang, H.; Wang, J.-R.; Li, Q.-H.; Zhang, Z.; Xu, H. Switchable synthesis of spirodihydroindolizines and indolizines from aurones and pyridin-2-yl active methylene compounds. J. Org. Chem. 2024, 89, 1753–1761. [Google Scholar] [CrossRef]
Disclaimer/Publisher’s Note: The statements, opinions and data contained in all publications are solely those of the individual author(s) and contributor(s) and not of MDPI and/or the editor(s). MDPI and/or the editor(s) disclaim responsibility for any injury to people or property resulting from any ideas, methods, instructions or products referred to in the content. |
© 2024 by the authors. Licensee MDPI, Basel, Switzerland. This article is an open access article distributed under the terms and conditions of the Creative Commons Attribution (CC BY) license (https://creativecommons.org/licenses/by/4.0/).










