Study on the Effect of Dalbergia pinnata (Lour.) Prain Essential Oil on Electroencephalography upon Stimulation with Different Auditory Effects
Abstract
1. Introduction
2. Results
2.1. Volatile Components of Essential Oil
2.2. Comparison of Spectrograms before and after Inhalation of EO
2.3. Variations in the Each Electrode Point
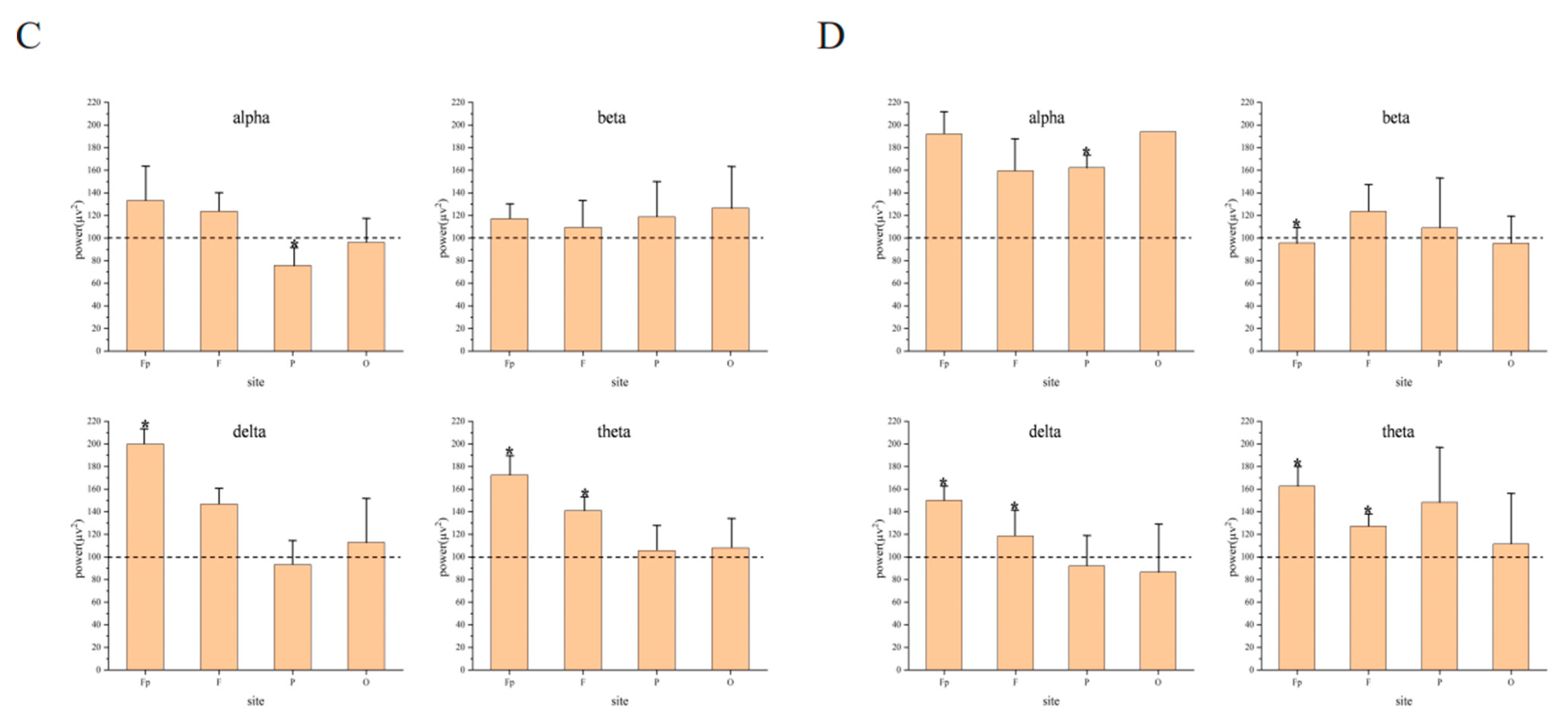
2.4. Comparison of Energy before and after Inhalation of EO
2.5. The Effect of Sex Differences on Brainwave Energy
3. Discussion
4. Materials and Methods
4.1. GC-MS Analysis of EO
4.2. Preparation of Sound and Smell
4.3. Subjects
4.4. Experimental Design
4.5. EEG Signal Acquisition
4.6. Statistical Analysis
5. Conclusions
Author Contributions
Funding
Institutional Review Board Statement
Informed Consent Statement
Data Availability Statement
Acknowledgments
Conflicts of Interest
References
- Kusumandari, D.E.; Suhendra, M.A.; Amri, M.F.; Simbolon, A.I.; Rizqyawan, M.I.; Wardono, P.; Fauzan, A.D.; Turnip, A. Comparison of EEG sleep characteristic with music and aromatherapy stimuli. J. Phys. Conf. Ser. 2018, 1080, 012050. [Google Scholar] [CrossRef]
- Kawase, T.; Maki, A.; Kanno, A.; Nakasato, N.; Sato-Ilic, M.; Kobayashi, T. Contralateral white noise attenuates 40-Hz auditory steady-state fields but not N100m in auditory evoked fields. NeuroImage 2012, 59, 1037–1042. [Google Scholar] [CrossRef] [PubMed]
- Chen, I.-C.; Chan, H.-Y.; Lin, K.-c.; Huang, Y.-T.; Tsai, P.-L.; Huang, Y.-M. Listening to White Noise Improved Verbal Working Memory in Children with Attention-Deficit/Hyperactivity Disorder: A Pilot Study. Int. J. Environ. Res. Public Health 2022, 19, 7283. [Google Scholar] [CrossRef]
- Riedy, S.M.; Smith, M.G.; Rocha, S.; Basner, M. Noise as a sleep aid: A systematic review. Sleep Med. Rev. 2020, 55, 101385. [Google Scholar] [CrossRef] [PubMed]
- Halley, J.M.; Kunin, W.E. Extinction risk and the 1/f family of noise models. Theor. Popul. Biol. 1999, 56, 215–230. [Google Scholar] [CrossRef] [PubMed]
- Zhou, J.; Liu, D.; Li, X.; Ma, J.; Zhang, J.; Fang, J. Pink noise: Effect on complexity synchronization of brain activity and sleep consolidation. J. Theor. Biol. 2012, 306, 68–72. [Google Scholar] [CrossRef] [PubMed]
- Acosta, G.; Smith, E.; Kreinovich, V. Why pink noise is best for enhancing sleep and memory: System-based explanation. Appl. Math. Sci. 2019, 13, 677–680. [Google Scholar] [CrossRef]
- Stansfeld, S.; Haines, M.M.; Brown, B.B. Noise and Health in the Urban Environment. Rev. Environ. Health 2000, 15, 43–82. [Google Scholar] [CrossRef] [PubMed]
- Miedema, H.M.e.; Oudshoorn, C.G.M. Annoyance from transportation noise: Relationships with exposure metrics DNL and DENL and their confidence intervals. Environ. Health Perspect. 2001, 109, 409–416. [Google Scholar] [CrossRef] [PubMed]
- Muzet, A. Environmental noise, sleep and health. Sleep Med. Rev. 2007, 11, 135–142. [Google Scholar] [CrossRef] [PubMed]
- Sygna, K.; Aasvang, G.M.; Aamodt, G.; Oftedal, B.; Krog, N.H. Road traffic noise, sleep and mental health. Environ. Res. 2014, 131, 17–24. [Google Scholar] [CrossRef] [PubMed]
- Babisch, W. Road traffic noise and cardiovascular risk. Noise Health 2008, 10, 27–33. [Google Scholar] [CrossRef] [PubMed]
- Lercher, P.; Evans, G.W.; Meis, M. Ambient Noise and Cognitive Processes among Primary Schoolchildren. Environ. Behav. 2003, 35, 725–735. [Google Scholar] [CrossRef]
- Minichilli, F.; Gorini, F.; Ascari, E.; Bianchi, F.; Coi, A.; Fredianelli, L.; Licitra, G.; Manzoli, F.; Mezzasalma, L.; Cori, L. Annoyance Judgment and Measurements of Environmental Noise: A Focus on Italian Secondary Schools. Int. J. Environ. Res. Public Health 2018, 15, 208. [Google Scholar] [CrossRef] [PubMed]
- Dratva, J.; Zemp, E.; Dietrich, D.F.; Bridevaux, P.-O.; Rochat, T.; Schindler, C.; Gerbase, M.W. Impact of road traffic noise annoyance on health-related quality of life: Results from a population-based study. Qual. Life Res. 2009, 19, 37–46. [Google Scholar] [CrossRef]
- Fritschi, L.; Brown, L.; Kim, R.; Schwela, D.H.; Kephalopolous, S. Burden of Disease from Environmental Noise: Quantification of Healthy Life Years Lost in Europe; World Health Organization, Regional Office for Europe: Geneva, Switzerland, 2011. [Google Scholar]
- Guéguen, N. The Sweet Smell of … Implicit Helping: Effects of Pleasant Ambient Fragrance on Spontaneous Help in Shopping Malls. J. Soc. Psychol. 2012, 152, 397–400. [Google Scholar] [CrossRef] [PubMed]
- Moss, M.; Oliver, L. Plasma 1,8-cineole correlates with cognitive performance following exposure to rosemary essential oil aroma. Ther. Adv. Psychopharmacol. 2012, 2, 103–113. [Google Scholar] [CrossRef] [PubMed]
- Buckle, J. Clinical Aromatherapy: Essential Oils in Practice; Elsevier Health Sciences: Amsterdam, The Netherlands, 2003. [Google Scholar]
- Ali, B.A.; Al-Wabel, N.A.; Shams, S.; Ahamad, A.; Khan, S.; Anwar, F. Essential oils used in aromatherapy: A systemic review. Asian Pac. J. Trop. Biomed. 2015, 5, 601–611. [Google Scholar] [CrossRef]
- Stockhorst, U.; Pietrowsky, R. Olfactory perception, communication, and the nose-to-brain pathway. Physiol. Behav. 2004, 83, 3–11. [Google Scholar] [CrossRef]
- Lee, I. Effects of Inhalation of Relaxing Essential Oils on Electroencephalogram Activity. Int. J. New Technol. Res. 2016, 2, 263522. [Google Scholar]
- Hwang, E.H.; Shin, S. The effects of aromatherapy on sleep improvement: A systematic literature review and meta-analysis. J. Altern. Complement. Med. 2015, 21, 61–68. [Google Scholar] [CrossRef] [PubMed]
- Her, J.; Cho, M.-K. Effect of aromatherapy on sleep quality of adults and elderly people: A systematic literature review and meta-analysis. Complement. Ther. Med. 2021, 60, 102739. [Google Scholar] [CrossRef] [PubMed]
- Farooqi, A.H.A.; Sharma, S.; Kumar, S.; Kukreja, A.K.; Dwivedi, S.; Singh, A.K.K. Aromatherapy—A promising holistic system. J. Med. Aromat. Plant Sci. 2000, 22, 704–706. [Google Scholar]
- Salvari, V.; Paraskevopoulos, E.; Chalas, N.; Müller, K.; Wollbrink, A.; Dobel, C.; Korth, D.; Pantev, C. Auditory Categorization of Man-Made Sounds Versus Natural Sounds by Means of MEG Functional Brain Connectivity. Front. Neurosci. 2019, 13, 1052. [Google Scholar] [CrossRef] [PubMed]
- Kiss, L.; Linnell, K.J. The effect of preferred background music on task-focus in sustained attention. Psychol. Res. 2020, 85, 2313–2325. [Google Scholar] [CrossRef] [PubMed]
- Song, C.; Li, H.; Ma, H.; Han, T.; Wu, J. Effects of Noise Type and Noise Sensitivity on Working Memory and Noise Annoyance. Noise Health 2022, 24, 173–181. [Google Scholar] [PubMed]
- Sayed Daud, S.N.S.; Sudirman, R. Effect of auditory noise circumstance on visual images encoding based electroencephalography analysis. Int. J. Healthc. Manag. 2023, 1–15. [Google Scholar] [CrossRef]
- Gilani, T.A.; Mir, M.S. A study on the assessment of traffic noise induced annoyance and awareness levels about the potential health effects among residents living around a noise-sensitive area. Environ. Sci. Pollut. Res. Int. 2021, 28, 63045–63064. [Google Scholar] [CrossRef] [PubMed]
- Buchbauer, G.; Jirovetz, L.; Jäger, W.; Plank, C.; Dietrich, H. Fragrance compounds and essential oils with sedative effects upon inhalation. J. Pharm. Sci. 1993, 82, 660–664. [Google Scholar] [CrossRef] [PubMed]
- Martin, G.N. Olfactory remediation: Current evidence and possible applications. Soc. Sci. Med. 1996, 43, 63–70. [Google Scholar] [CrossRef] [PubMed]
- Snyder, A.Z.; Raichle, M.E. A brief history of the resting state: The Washington University perspective. NeuroImage 2012, 62, 902–910. [Google Scholar] [CrossRef] [PubMed]
- Li, Z.; Zhang, L.; Zhang, F.; Gu, R.; Peng, W.; Hu, L. Demystifying signal processing techniques to extract resting-state EEG features for psychologists. Brain Sci. Adv. 2020, 6, 189–209. [Google Scholar] [CrossRef]
- Zhang, L.; Li, Z.; Zhang, F.; Gu, R.; Peng, W.; Hu, L. Demystifying signal processing techniques to extract task-related EEG responses for psychologists. Brain Sci. Adv. 2020, 6, 171–188. [Google Scholar] [CrossRef]
- Kim, Y.-S.; Choi, H.-J. Quantitative electroencephalogram alteration by ventilation volume of hyperventilation. J. Life Sci. 2009, 19, 1829–1835. [Google Scholar]
- Hong, M.-J.; Jang, H.; Bo, S.; Kim, M.; Deepa, P.; Park, J.; Sowndhararajan, K.; Kim, S. Changes in Human Electroencephalographic Activity in Response to Agastache rugosa Essential Oil Exposure. Behav. Sci. 2022, 12, 238. [Google Scholar] [CrossRef] [PubMed]
- Zhang, N.; Yao, L. Anxiolytic Effect of Essential Oils and Their Constituents: A Review. J. Agric. Food Chem. 2019, 67, 13790–13808. [Google Scholar] [CrossRef] [PubMed]
- Daud, S.N.S.S.; Sudirman, R. Effect of audiovisual stimulation on adult memory performance based electroencephalography wavelet analysis. Biomed. Signal Process. Control 2022, 76, 103659. [Google Scholar] [CrossRef]
- Sowndhararajan, K.; Kim, S. Influence of Fragrances on Human Psychophysiological Activity: With Special Reference to Human Electroencephalographic Response. Sci. Pharm. 2016, 84, 724–752. [Google Scholar] [CrossRef] [PubMed]
- Hosseini, P.T. Brain Connectivity Measured from the EEG during Auditorystimulation in Normal Hearing Subjects and Cochlear Implant Users; University of Southampton: Southampton, UK, 2015. [Google Scholar]
- Ba, M.; Kang, J. A laboratory study of the sound-odour interaction in urban environments. Build. Environ. 2019, 147, 314–326. [Google Scholar] [CrossRef]
- Kushwaha, P.; Khedgikar, V.; Ahmad, N.; Karvande, A.; Gautam, J.; Kumar, P.P.; Maurya, R.; Trivedi, R. A neoflavonoid dalsissooal isolated from heartwood of Dalbergia sissoo Roxb. has bone forming effects in mice model for osteoporosis. Eur. J. Pharmacol. 2016, 788, 65–74. [Google Scholar] [CrossRef] [PubMed]
- Zhang, H.; Liao, L.; Wei, X.; Cui, L.; Yuan, Y.; Wang, S.; Fang, M.; Li, J. Optimization of Supercritical CO2 Extraction of Essential Oils from Dalbergia pinnata and Analysis of the Oils. Chin. J. Trop. Crops 2018, 39, 791–796. [Google Scholar]
- Zhou, W.; He, Y.; Lei, X.; Liao, L.-k.; Fu, T.; Yuan, Y.; Huang, X.B.; Zou, L.; Liu, Y.; Ruan, R.R.; et al. Chemical composition and evaluation of antioxidant activities, antimicrobial, and anti-melanogenesis effect of the essential oils extracted from Dalbergia pinnata (Lour.) Prain. J. Ethnopharmacol. 2020, 254, 112731. [Google Scholar] [CrossRef] [PubMed]
- Yamamoto, T.; Fukuyama, Y. Chemotaxonomic aspects of the constituents of the plant Dalbergia tonkinensis. Biochem. Syst. Ecol. 2018, 78, 98–101. [Google Scholar]
- Regueira-Neto, M.d.S.; Tintino, S.R.; Rolón, M.; Coronal, C.; Vega, M.C.; de Queiroz Balbino, V.; de Melo Coutinho, H.D. Antitrypanosomal, antileishmanial and cytotoxic activities of Brazilian red propolis and plant resin of Dalbergia ecastaphyllum (L) Taub. Food Chem. Toxicol. Int. J. Publ. Br. Ind. Biol. Res. Assoc. 2018, 119, 215–221. [Google Scholar] [CrossRef]
- Angelucci, F.; Silva, V.V.d.; Pizzol, C.d.; Spir, L.G.; Praes, C.E.O.; Maibach, H.I. Physiological effect of olfactory stimuli inhalation in humans: An overview. Int. J. Cosmet. Sci. 2014, 36, 117–123. [Google Scholar] [CrossRef] [PubMed]
- Desai, R.; Tailor, A.; Bhatt, T.S. Effects of yoga on brain waves and structural activation: A review. Complement. Ther. Clin. Pract. 2015, 21, 112–118. [Google Scholar] [CrossRef] [PubMed]
- Greenberg, J.A.; Burke, J.F.; Haque, R.U.; Kahana, M.J.; Zaghloul, K.A. Decreases in theta and increases in high frequency activity underlie associative memory encoding. NeuroImage 2015, 114, 257–263. [Google Scholar] [CrossRef] [PubMed]
- Lee, B.G.; Lee, B.-L.; Chung, W.-Y. Mobile Healthcare for Automatic Driving Sleep-Onset Detection Using Wavelet-Based EEG and Respiration Signals. Sensors 2014, 14, 17915–17936. [Google Scholar] [CrossRef]
- Weiss, S.; Mueller, H.M. “Too Many betas do not Spoil the Broth”: The Role of Beta Brain Oscillations in Language Processing. Front. Psychol. 2012, 3, 201. [Google Scholar] [CrossRef] [PubMed]
- Doty, R.L. Sex differences and reproductive hormone influences on human odor perception. Physiol. Behav. 2009, 97, 213–228. [Google Scholar] [CrossRef] [PubMed]
- Corsi-Cabrera, M.; Ramos, J.; Guevara, M.A.; Arce, C.; Gutierrez, S. Gender differences in the EEG during cognitive activity. Int. J. Neurosci. 1993, 72, 257–264. [Google Scholar] [CrossRef]
- Oliveira-Pinto, A.V.; Santos, R.M.; Coutinho, R.A.; Oliveira, L.M.; Santos, G.A.B.; Alho, A.T.L.; Leite, R.E.P.; Farfel, J.M.; Suemoto, C.K.; Grinberg, L.T.; et al. Sexual Dimorphism in the Human Olfactory Bulb: Females Have More Neurons and Glial Cells than Males. PLoS ONE 2014, 9, e111733. [Google Scholar] [CrossRef]
- Rădulescu, A.R.; Mujica-Parodi, L.R. Human Gender Differences in the Perception of Conspecific Alarm Chemosensory Cues. PLoS ONE 2013, 8, e68485. [Google Scholar] [CrossRef] [PubMed]
- Bishop, K.M.; Wahlsten, D. Sex Differences in the Human Corpus Callosum: Myth or Reality? Neurosci. Biobehav. Rev. 1997, 21, 581–601. [Google Scholar] [CrossRef]
- Zaidi, Z.F. Gender Differences in Human Brain: A Review. Open Anat. J. 2010, 2, 37–55. [Google Scholar] [CrossRef]
- Rodrigues, J.; Weiß, M.; Hewig, J.; Allen, J.J.B. EPOS: EEG Processing Open-Source Scripts. Front. Neurosci. 2021, 15, 660449. [Google Scholar] [CrossRef] [PubMed]
- Lin, S.; Wang, Y.; Wu, K.; Yu, G.; Liu, C.; Su, C.; Yi, F. Study on the effect of Mentha × Piperita L. essential oil on electroencephalography upon stimulation with different visual effects. Molecules 2022, 27, 4059. [Google Scholar] [CrossRef] [PubMed]







| Brain Rhythms | Amplitude (μV) | Frequency (Hz) | Brain States |
|---|---|---|---|
| Delta | 100–200 | 0–4 | Deep sleep or unconscious state |
![]() | |||
| Theta | 5–10 | 4–8 | Drowsiness |
![]() | |||
| Alpha | 20–80 | 8–13 | Relaxed awareness without attention |
![]() | |||
| Beta | 1–5 | 13–30 | Active thinking |
![]() |
| No. | Compound | RI a | RI b | Area% |
|---|---|---|---|---|
| 1 | Linolool | 1548 | 1559 | 0.12 |
| 2 | (+/−)-p-Menthan-3-ol | 1637 | 1645 | 0.04 |
| 3 | γ-Selinene | 1699 | 1691 | 0.06 |
| 4 | beta-cubebene | 1703 | 1543 | 0.06 |
| 5 | (+)-Car-3-ene | 1802 | 1748 | 0.19 |
| 6 | 1-methyl-4-[(1R)-1,2,2-trimethylcyclopentyl]benzene | 1861 | 1811 | 0.03 |
| 7 | (−)-Calamenene | 1890 | 1849 | 0.01 |
| 8 | trans-5-Butyl-4-methyldihydro-2(3H)-furanone | 1894 | 1865 | 0.40 |
| 9 | 1,2-dimethoxy-4-propylbenzene | 1948 | 1897 | 1.49 |
| 10 | Whiskey lactone | 1980 | 1968 | 0.24 |
| 11 | Methyl eugenol | 1998 | 1985 | 11.19 |
| 12 | Cinnamaldehyde | 2044 | 2043 | 0.04 |
| 13 | cis-Nothosmyrnol | 2060 | 2071 | 0.02 |
| 14 | Cedrol | 2086 | 2149 | 0.15 |
| 15 | (+)-Cyclosativene | 2425 | 2492 | 0.06 |
| 16 | isomethyleugenol | 2639 | 2594 | 0.30 |
| 17 | Elemicin | 2657 | 2645 | 84.10 |
| 18 | (+)-γ-Maaliene | 2714 | 2691 | 0.40 |
| 19 | Isoelemicin | 2992 | 2803 | 0.84 |
| 20 | Acetoveratrone | 3041 | 2975 | 0.11 |
| 21 | 3,4,5-Trimethoxybenzaldehyde | 3061 | 3039 | 0.13 |
| Site | Noise | Wave | After Inhalation/Before Inhalation (%) | |
|---|---|---|---|---|
| Girl | Boy | |||
| Fp | silence | alpha | 91.14 | 147.80 |
| beta | 97.66 | 100.76 | ||
| delta | 102.16 | 37.69 * | ||
| theta | 131.13 | 24.56 | ||
| white noise | alpha | 103.59 | 57.13 | |
| beta | 69.77 * | 88.50 * | ||
| delta | 119.36 | 129.00 * | ||
| theta | 89.90 | 69.30 | ||
| pink noise | alpha | 144.03 | 123.44 | |
| beta | 125.76 | 102.74 | ||
| delta | 170.83 * | 209.03 * | ||
| theta | 217.92 * | 115.61 | ||
| traffic noise | alpha | 81.09 | 215.71 | |
| beta | 83.27 * | 115.51 | ||
| delta | 137.53 * | 169.51 * | ||
| theta | 163.24 * | 162.00 * | ||
| F | silence | alpha | 89.27 | 96.54 |
| beta | 101.57 | 101.93 | ||
| delta | 139.62 * | 64.69 * | ||
| theta | 150.57 * | 24.59 * | ||
| white noise | alpha | 88.77 | 60.87 | |
| beta | 92.47 | 89.50 | ||
| delta | 122.10 | 149.17 * | ||
| theta | 112.39 | 81.76 | ||
| pink noise | alpha | 115.97 | 130.53 | |
| beta | 116.22 | 100.33 | ||
| delta | 127.48 | 171.87 | ||
| theta | 208.59 * | 104.09 | ||
| traffic noise | alpha | 127.04 | 217.77 | |
| beta | 119.58 | 128.24 | ||
| delta | 98.04 | 118.83 * | ||
| theta | 172.25 * | 94.01 | ||
| P | silence | alpha | 217.48 * | 96.02 |
| beta | 122.52 | 113.28 | ||
| delta | 89.88 | 63.91 | ||
| theta | 138.91 * | 41.36 * | ||
| white noise | alpha | 117.28 | 74.07 | |
| beta | 106.72 | 117.60 | ||
| delta | 132.36 | 106.61 | ||
| theta | 105.69 | 95.97 | ||
| pink noise | alpha | 107.73 | 52.41 * | |
| beta | 123.27 | 112.44 | ||
| delta | 108.65 | 77.90 | ||
| theta | 133.18 | 88.20 | ||
| traffic noise | alpha | 165.61 * | 158.50 * | |
| beta | 118.35 | 97.90 | ||
| delta | 102.16 | 78.50 | ||
| theta | 218.12 | 104.67 | ||
| O | silence | alpha | 214.71 | 74.58 |
| beta | 155.16 | 137.61 | ||
| delta | 69.87 | 57.40 | ||
| theta | 96.33 | 45.56 | ||
| white noise | alpha | 164.66 | 109.20 | |
| beta | 95.48 | 168.56 | ||
| delta | 147.16 | 143.45 | ||
| theta | 114.35 | 107.23 | ||
| pink noise | alpha | 129.46 | 66.17 | |
| beta | 115.01 | 143.37 | ||
| delta | 132.54 | 86.99 | ||
| theta | 99.92 | 118.23 | ||
| traffic noise | alpha | 100.90 | 105.65 | |
| beta | 105.94 | 84.99 | ||
| delta | 96.60 | 74.85 | ||
| theta | 129.63 | 98.81 | ||
Disclaimer/Publisher’s Note: The statements, opinions and data contained in all publications are solely those of the individual author(s) and contributor(s) and not of MDPI and/or the editor(s). MDPI and/or the editor(s) disclaim responsibility for any injury to people or property resulting from any ideas, methods, instructions or products referred to in the content. |
© 2024 by the authors. Licensee MDPI, Basel, Switzerland. This article is an open access article distributed under the terms and conditions of the Creative Commons Attribution (CC BY) license (https://creativecommons.org/licenses/by/4.0/).
Share and Cite
He, X.; Qin, S.; Yu, G.; Zhang, S.; Yi, F. Study on the Effect of Dalbergia pinnata (Lour.) Prain Essential Oil on Electroencephalography upon Stimulation with Different Auditory Effects. Molecules 2024, 29, 1584. https://doi.org/10.3390/molecules29071584
He X, Qin S, Yu G, Zhang S, Yi F. Study on the Effect of Dalbergia pinnata (Lour.) Prain Essential Oil on Electroencephalography upon Stimulation with Different Auditory Effects. Molecules. 2024; 29(7):1584. https://doi.org/10.3390/molecules29071584
Chicago/Turabian StyleHe, Xin, Sheng Qin, Genfa Yu, Songxing Zhang, and Fengping Yi. 2024. "Study on the Effect of Dalbergia pinnata (Lour.) Prain Essential Oil on Electroencephalography upon Stimulation with Different Auditory Effects" Molecules 29, no. 7: 1584. https://doi.org/10.3390/molecules29071584
APA StyleHe, X., Qin, S., Yu, G., Zhang, S., & Yi, F. (2024). Study on the Effect of Dalbergia pinnata (Lour.) Prain Essential Oil on Electroencephalography upon Stimulation with Different Auditory Effects. Molecules, 29(7), 1584. https://doi.org/10.3390/molecules29071584




