1,2,3-Triazole Hybrids Containing Isatins and Phenolic Moieties: Regioselective Synthesis and Molecular Docking Studies
Abstract
1. Introduction
2. Results and Discussion
2.1. Synthesis
2.2. Molecular Docking
3. Materials and Methods
3.1. General Procedure for Synthesis of 1,4-Disubstituted 1,2,3-Triazoles 23–34
3.2. Molecular Docking Calculations
4. Conclusions
Supplementary Materials
Author Contributions
Funding
Institutional Review Board Statement
Informed Consent Statement
Data Availability Statement
Acknowledgments
Conflicts of Interest
References
- Viegas-Junior, C.; Danuello, A.; da Silva Bolzani, V.; Barreiro, E.J.; Fraga, C.A.M. Molecular hybridization: A useful tool in the design of new drug prototypes. Curr. Med. Chem. 2007, 14, 1829–1852. [Google Scholar] [CrossRef]
- Shaveta; Mishra, S.; Singh, P. Hybrid molecules: The privileged scaffolds for various pharmaceuticals. Eur. J. Med. Chem. 2016, 124, 500–536. [Google Scholar] [CrossRef]
- Beruvé, G. An overview of molecular hybrids in drug discovery. Expert Opin. Drug Discov. 2016, 11, 281–305. [Google Scholar] [CrossRef]
- Strzelecka, M.; Świątek, P. 1,2,4-Triazoles as important antibacterial agents. Pharmaceuticals 2021, 14, 224. [Google Scholar] [CrossRef]
- Liu, P.; Zhu, S.; Li, P.; Xie, W.; Jin, Y.; Sun, Q.; Wu, Q.; Sun, P.; Zhang, Y.; Yang, X. Synthesis and SAR studies of biaryloxy-substituted triazoles as antifungal agents. Bioorg. Med. Chem. Lett. 2008, 18, 3261–3265. [Google Scholar] [CrossRef]
- Zhang, S.; Xu, Z.; Gao, C.; Ren, Q.-C.; Chang, L.; Lv, Z.-S.; Feng, L.-S. Triazole derivatives and their anti-tubercular activity. Eur. J. Med. Chem. 2017, 138, 501–513. [Google Scholar] [CrossRef]
- Al-Humaidi, J.Y.; Shaaban, M.M.; Rezki, N.; Aouad, M.R.; Zakaria, M.; Jaremko, M.; Hagar, M.; Elwakil, B.H. 1,2,3-Triazole Benzofused Molecular Conjugates as Potential Antiviral Agents against SARS-CoV-2 Virus Variants. Life 2022, 12, 1341. [Google Scholar] [CrossRef]
- Kumbhare, R.M.; Kosurkar, U.B.; Ramaiah, M.J.; Dadmal, T.L.; Pushpavalli, S.; Pal-Bhadra, M. Synthesis and biological evaluation of novel triazoles and isoxazoles linked 2-phenyl benzothiazole as potential anticancer agents. Bioorg. Med. Chem. Lett. 2012, 22, 5424–5427. [Google Scholar] [CrossRef]
- Algieri, V.; Algieri, C.; Maiuolo, L.; De Nino, A.; Pagliarani, A.; Tallarida, M.A.; Trombetti, F.; Nesci, S. 1,5-Disubstituted-1,2,3-triazoles as inhibitors of the mitochondrial Ca2+-activated F1FO-ATP(hydrol)ase and the permeability transition pore. Ann. N. Y. Acad. Sci. 2021, 1485, 43–55. [Google Scholar] [CrossRef]
- Algieri, C.; Bernardini, C.; Marchi, S.; Forte, M.; Tallarida, M.A.; Bianchi, F.; La Mantia, D.; Algieri, V.; Stanzione, R.; Cotugno, M.; et al. 1,5-disubstituted-1,2,3-triazoles counteract mitochondrial dysfunction acting on F1FO-ATPase in models of cardiovascular diseases. Pharmacol. Res. 2023, 187, 106561. [Google Scholar] [CrossRef]
- De Nino, A.; Merino, P.; Algieri, V.; Nardi, M.; Di Gioia, M.L.; Russo, B.; Tallarida, M.A.; Maiuolo, L. Synthesis of 1,5-Functionalized 1,2,3-Triazoles Using Ionic Liquid/Iron(III) Chloride as an Efficient and Reusable Homogeneous Catalyst. Catalysts 2018, 8, 364. [Google Scholar] [CrossRef]
- De Nino, A.; Algieri, V.; Tallarida, M.A.; Costanzo, P.; Pedrón, M.; Tejero, T.; Merino, P.; Maiuolo, L. Regioselective Synthesis of 1,4,5-Trisubstituted-1,2,3-Triazoles from Aryl Azides and Enaminones. Eur. J. Org. Chem. 2019, 33, 5725–5731. [Google Scholar] [CrossRef]
- Huisgen, R. 1,3-Dipolar cycloadditions. 76. Concerted nature of 1,3-dipolar cycloadditions and the question of diradical intermediates. J. Org. Chem. 1976, 41, 403–419. [Google Scholar] [CrossRef]
- Rostovtsev, V.V.; Green, L.G.; Fokin, V.V.; Sharpless, K.B. A stepwise Huisgen cycloaddition process: Copper (I)-catalyzed regioselective “ligation” of azides and terminal alkynes. Angew. Chem. 2002, 114, 2708–2711. [Google Scholar] [CrossRef]
- Empting, M.; Avrutina, O.; Meusinger, R.; Fabritz, S.; Reinwarth, M.; Biesalski, M.; Voigt, S.; Buntkowsky, G.; Kolmar, H. “Triazole bridge”: Disulfide-bond replacement by ruthenium-catalyzed formation of 1,5-disubstituted 1,2,3-triazoles. Angew. Chem. Int. Ed. 2011, 50, 5207–5211. [Google Scholar] [CrossRef]
- De Nino, A.; Maiuolo, L.; Costanzo, P.; Algieri, V.; Jiritano, A.; Olivito, F.; Tallarida, M.A. Recent Progress in Catalytic Synthesis of 1,2,3-Triazoles. Catalysts 2021, 11, 1120. [Google Scholar] [CrossRef]
- Nath, R.; Pathania, S.; Grover, G.; Akhtar, M.J. Isatin containing heterocycles for different biological activities: Analysis of structure activity relationship. J. Mol. Struct. 2020, 1222, 128900. [Google Scholar] [CrossRef]
- Tallarida, M.A.; Olivito, F.; Navo, C.D.; Algieri, V.; Jiritano, A.; Costanzo, P.; Poveda, A.; Moure, M.J.; Jiménez-Barbero, J.; Maiuolo, L.; et al. Highly Diastereoselective Multicomponent Synthesis of Spirocyclopropyl Oxindoles Enabled by Rare-Earth Metal Salts. Org. Lett. 2023, 25, 3001–3006. [Google Scholar] [CrossRef]
- Gao, F.; Wang, T.; Gao, M.; Zhang, X.; Liu, Z.; Zhao, S.; Lv, Z.; Xiao, J. Benzofuran-isatin-imine hybrids tethered via different length alkyl linkers: Design, synthesis and in vitro evaluation of anti-tubercular and anti-bacterial activities as well as cytotoxicity. Eur. J. Med. Chem. 2019, 165, 323–331. [Google Scholar] [CrossRef]
- Eldehna, W.M.; El Hassab, M.A.; Abo-Ashour, M.F.; Al-Warhi, T.; Elaasser, M.M.; Safwat, N.A.; Suliman, H.; Ahmed, M.F.; SAl-Rashood, T.; Abdel-Aziz, H.A.; et al. Development of isatin-thiazolo[3,2-a]benzimidazole hybrids as novel CDK2 inhibitors with potent in vitro apoptotic anti-proliferative activity: Synthesis, biological and molecular dynamics investigations. Bioorg. Chem. 2021, 110, 104748. [Google Scholar] [CrossRef]
- Sevinçli, Z.Ş.; Duran, G.N.; Özbil, M.; Karalı, N. Synthesis, molecular modeling and antiviral activity of novel 5-fluoro-1H-indole-2,3-dione 3-thiosemicarbazones. Bioorg. Chem. 2020, 104, 104202. [Google Scholar] [CrossRef]
- Sonmez, F.; Gunesli, Z.; Kurt, B.Z.; Gazioglu, I.; Avci, D.; Kucukislamoglu, M. Synthesis, antioxidant activity and SAR study of novel spiro-isatin-based Schiff bases. Mol. Divers. 2019, 23, 829–844. [Google Scholar] [CrossRef]
- Saadeh, H.A.; Mubarak, M.S. Hybrid Drugs as Potential Combatants Against Drug-Resistant Microbes: A Review. Curr. Top Med. Chem. 2017, 17, 895–906. [Google Scholar] [CrossRef]
- Morphy, R.; Rankovic, Z. Designed Multiple Ligands. An Emerging Drug Discovery Paradigm. J. Med. Chem. 2005, 48, 6523–6543. [Google Scholar] [CrossRef]
- Cos, P.; Calomme, M.; Pieters, L.; Vlietinck, A.J.; Vanden Berghe, D. Structure-activity relationship of flavonoids as antioxidant and pro-oxidant compounds. Stud. Nat. Prod. Chem. 2000, 22, 307–341. [Google Scholar] [CrossRef]
- Costanzo, P.; Oliverio, M.; Maiuolo, J.; Bonacci, S.; De Luca, G.; Masullo, M.; Arcone, R.; Procopio, A. Novel Hydroxytyrosol-Donepezil Hybrids as Potential Antioxidant and Neuroprotective Agents. Front. Chem. 2021, 9, 741444. [Google Scholar] [CrossRef]
- Halliwell, B.; Gutteridge, C. Free Radicals in Biology and Medicine, 5th ed.; Oxford University Press: Oxford, UK, 2015; p. 707. [Google Scholar]
- Hsieh, C.L.; Yen, G.C.; Chen, H.Y. Antioxidant activities of phenolic acids on ultraviolet radiation-induced erythrocyte and low density lipoprotein oxidation. J. Agric. Food Chem. 2005, 53, 6151–6155. [Google Scholar] [CrossRef]
- Corredor, M.; Solà, J.; Alfonso, I. Disubstituted 1,2,3-triazoles as amide bond mimetics. Targets Heterocycl. Syst. 2017, 21, 1–22. [Google Scholar] [CrossRef]
- Leggio, A.; Liguori, A.; Maiuolo, L.; Napoli, A.; Procopio, A.; Siciliano, C.; Sindona, G. Model studies towards the synthesis of 4′-azaerythrofuranosyl adenines as analogues of the antiviral drug 2′,3′-dideoxyadenosine (ddA). J. Chem. Soc. Perkin Trans. 1997, 20, 3097–3099. [Google Scholar] [CrossRef]
- Algieri, V.; Costanzo, P.; Tallarida, M.A.; Olivito, F.; Jiritano, A.; Fiorani, G.; Peccati, F.; Jiménez-Osés, G.; Maiuolo, L.; De Nino, A. Regioselective Synthesis and Molecular Docking Studies of 1,5-Disubstituted 1,2,3-Triazole Derivatives of Pyrimidine Nucleobases. Molecules 2022, 27, 8467. [Google Scholar] [CrossRef] [PubMed]
- Maiuolo, L.; Algieri, V.; Russo, B.; Tallarida, M.A.; Nardi, M.; Di Gioia, M.L.; Merchant, Z.; Merino, P.; Delso, I.; De Nino, A. Synthesis, Biological and In Silico Evaluation of Pure Nucleobase-Containing Spiro (Indane-Isoxazolidine) Derivatives as Potential Inhibitors of MDM2-p53 Interaction. Molecules 2019, 24, 2909. [Google Scholar] [CrossRef]
- Maiuolo, L.; Russo, B.; Algieri, V.; Nardi, M.; Di Gioia, M.L.; Tallarida, M.A.; De Nino, A. Regioselective synthesis of 1,5-disubstituted 1,2,3-triazoles by 1,3-dipolar cycloaddition: Role of Er(OTf)3, ionic liquid and water. Tetrahedron Lett. 2019, 60, 672–674. [Google Scholar] [CrossRef]
- Maiuolo, L.; De Nino, A.; Algieri, V.; Nardi, M. Microwave-Assisted 1,3-Dipolar Cyclo-addition: Recent Advances in Synthesis of Isoxazolidines. Mini-Rev. Org. Chem. 2017, 14, 136–142. [Google Scholar] [CrossRef]
- Maiuolo, L.; Merino, P.; Algieri, V.; Nardi, M.; Di Gioia, M.L.; Russo, B.; Delso, I.; Tallarida, M.A.; De Nino, A. Nitrones and Nucleobase-Containing Spiro-Isoxazolidines Derived from Isatin and indanone: Solvent-Free Microwave-Assisted Stereoselective Synthesis and Theoretical Calculations. RSC Adv. 2017, 7, 48980–48988. [Google Scholar] [CrossRef]
- Shibinskaya, M.O.; Lyakhov, S.A.; Mazepa, A.V.; Andronati, S.A.; Turov, A.V.; Zholobak, N.M.; Spivak, N.Y. Synthesis, cytotoxicity, antiviral activity and interferon inducing ability of 6-(2-aminoethyl)-6H-indolo[2,3-b]quinoxalines. Eur. J. Med. Chem. 2010, 45, 1237–1243. [Google Scholar] [CrossRef]
- Kumar, K.; Sagar, S.; Esau, L.; Kaur, M.; Kumar, V. Synthesis of novel 1H-1,2,3-triazole tethered C-5 substituted uracil-isatin conjugates and their cytotoxic evaluation. Eur. J. Med. Chem. 2012, 58, 153–159. [Google Scholar] [CrossRef]
- Haldón, E.; Nicasio, M.C.; Pérez, P.J. Copper-catalysed azide-alkyne cycloadditions (CuAAC): An update. Org. Biomol. Chem. 2015, 13, 9528–9550. [Google Scholar] [CrossRef]
- Yadav, M.; Lal, K.; Kumar, A.; Singh, P.; Vishvakarma, V.K.; Chandra, R. Click reaction inspired synthesis, antimicrobial evaluation and in silico docking of some pyrrole-chalcone linked 1,2,3-triazole hybrids. J. Mol. Struct. 2023, 1273, 134321. [Google Scholar] [CrossRef]
- Algieri, V.; Algieri, C.; Costanzo, P.; Fiorani, G.; Jiritano, A.; Olivito, F.; Tallarida, M.A.; Trombetti, F.; Maiuolo, L.; De Nino, A.; et al. Novel Regioselective Synthesis of 1,3,4,5-Tetrasubstituted Pyrazoles and Biochemical Valuation on F1FO-ATPase and Mitochondrial Permeability Transition Pore Formation. Pharmaceutics 2023, 15, 498. [Google Scholar] [CrossRef]
- De Nino, A.; Maiuolo, L.; Merino, P.; Nardi, M.; Procopio, A.; Roca-López, D.; Russo, B.; Algieri, V. Efficient Organocatalyst Supported on a Simple Ionic Liquid as a Recoverable System for the Asymmetric Diels–Alder Reaction in the Presence of Water. ChemCatChem 2015, 7, 830–835. [Google Scholar] [CrossRef]
- Meldal, M.; Tornøe, C.W. Cu-Catalyzed Azide-Alkyne Cycloaddition. Chem. Rev. 2008, 108, 2952–3015. [Google Scholar] [CrossRef]
- Singh, H.; Singh, J.V.; Gupta, M.K.; Saxena, A.K.; Sharma, S.; Nepali, K.; Bedi, P.M.S. Triazole tethered isatin-coumarin based molecular hybrids as novel antitubulin agents: Design, synthesis, biological investigation and docking studies. Bioorg. Med. Chem. Lett. 2017, 27, 3974–3979. [Google Scholar] [CrossRef]
- Hein, J.E.; Fokin, V.V. Copper-catalyzed azide–alkyne cycloaddition (CuAAC) and beyond: New reactivity of copper(I) acetylides. Chem. Soc. Rev. 2010, 39, 1302–1315. [Google Scholar] [CrossRef]
- Liang, L.; Astruc, D. The copper(I)-catalyzed alkyne-azide cycloaddition (CuAAC) “click” reaction and its applications. An overview. Coord. Chem. Rev. 2011, 255, 2933–2945. [Google Scholar] [CrossRef]
- Nesci, S.; Algieri, C.; Tallarida, M.A.; Stanzione, R.; Marchi, S.; Pietrangelo, D.; Trombetti, F.; D’Ambrosio, L.; Forte, M.; Cotugno, M.; et al. Molecular mechanisms of naringenin modulation of mitochondrial permeability transition acting on F1FO-ATPase and counteracting saline load-induced injury in SHRSP cerebral endothelial cells. Eur. J. Cell Biol. 2024, 103, 151398. [Google Scholar] [CrossRef]
- Trott, O.; Olson, A.J. AutoDock Vina: Improving the speed and accuracy of docking with a new scoring function, efficient optimization, and multithreading. J. Comput. Chem. 2010, 31, 455–461. [Google Scholar] [CrossRef]
- De Lucia, D.; Lucio, O.M.; Musio, B.; Bender, A.; Listing, M.; Dennhardt, S.; Koeberle, A.; Garscha, U.; Rizzo, R.; Manfredini, S.; et al. Design, synthesis and evaluation of semi-synthetic triazole-containing caffeic acid analogues as 5-lipoxygenase inhibitors. Eur. J. Med. Chem. 2015, 101, 573–583. [Google Scholar] [CrossRef]
- Cai, H.; Huang, X.; Xu, S.; Shen, H.; Zhang, P.; Huang, Y.; Jiang, J.; Sun, Y.; Jiang, B.; Wu, X.; et al. Discovery of novel hybrids of diaryl-1,2,4-triazoles and caffeic acid as dual inhibitors of cyclooxygenase-2 and 5-lipoxygenase for cancer therapy. Eur. J. Med. Chem. 2016, 108, 89–103. [Google Scholar] [CrossRef]
- Bhagat, K.; Vir Singh, J.; Sharma, A.; Kaur, A.; Kumar, N.; Gulati, H.K.; Singh, A.; Singh, H.; Bedi, P.M.S. Novel series of triazole containing coumarin and isatin based hybrid molecules as acetylcholinesterase inhibitors. J. Mol. Struct. 2021, 1245, 131085. [Google Scholar] [CrossRef]
- El Malaha, T.; Farag, H.; Hemdanc, B.A.; Mageida, R.E.A.; Abdelrahmand, M.T.; El-Manawatye, M.A.; Nour, H.F. Synthesis, in vitro antimicrobial evaluation, and molecular docking studies of new isatin-1,2,3-triazole hybrids. J. Mol. Struct. 2022, 1250, 131855. [Google Scholar] [CrossRef]
- Basappa, V.C.; Kameshwar, V.H.; Kumara, K.; Kumar Achutha, D.; Krishnappagowda, L.N.; Kariyappa, A.K. Design and synthesis of coumarin-triazole hybrids: Biocompatible anti-diabetic agents, in silico molecular docking and ADME screening. Heliyon 2020, 6, e05290. [Google Scholar] [CrossRef]
- Kummari, B.; Polkam, N.; Ramesh, P.; Anantaraju, H.; Yogeeswari, P.; Anireddy, J.S.; Guggilapud, S.D.; Babu, B.N. Design and synthesis of 1,2,3-triazole–etodolac hybrids as potent anticancer molecules. RSC Adv. 2017, 7, 23680–23686. [Google Scholar] [CrossRef]
- Samuelsson, B.; Dahlén, S.E.; Lindgren, J.A.; Rouzer, C.A.; Serhan, C.N. Leukotrienes and lipoxins: Structures, biosynthesis, and biological effects. Science 1987, 237, 1171–1176. [Google Scholar] [CrossRef]
- Steinhilber, D.; Hofmann, B. Recent advances in the search for novel 5-lipoxygenase inhibitors. Basic Clin. Pharmacol. Toxicol. 2014, 114, 70–77. [Google Scholar] [CrossRef]
- Penning, T.D.; Talley, J.J.; Bertenshaw, S.R.; Carter, J.S.; Collins, P.W.; Docter, S.; Graneto, M.J.; Lee, L.F.; Malecha, J.W.; Miyashiro, J.M.; et al. Synthesis and Biological Evaluation of the 1,5-Diarylpyrazole Class of Cyclooxygenase-2 Inhibitors: Identification of 4-[5-(4-Methylphenyl)-3- (trifluoromethyl)-1H-pyrazol-1-yl]benzenesulfonamide (SC-58635, Celecoxib). J. Med. Chem. 1997, 40, 1347–1365. [Google Scholar] [CrossRef]
- Wong, M.K.S. Angiotensin Converting Enzymes. In Handbook of Hormones; Academic Press: Cambridge, MA, USA, 2016; pp. 263–265, e29D-1–e29D-4. [Google Scholar] [CrossRef]
- Broeck, A.V.; Lotz, C.; Drillien, R.; Haas, L.; Bedez, C.; Lamour, V. Structural basis for allosteric regulation of Human Topoisomerase IIα. Nat. Commun. 2021, 12, 2962. [Google Scholar] [CrossRef]
- Honore, S.; Pasquier, E.; Braguer, D. Understanding microtubule dynamics for improved cancer therapy. Cell. Mol. Life Sci. 2005, 62, 3039–3056. [Google Scholar] [CrossRef]
- da Silva, V.B.; de Andrade, P.; Kawano, D.F.; Morais, P.A.B.; de Almeida, J.R.; Carvalho, I.; Taft, C.A.; de Paula da Silva, C.H.T. In silico design and search for acetylcholinesterase inhibitors in Alzheimer’s disease with a suitable pharmacokinetic profile and low toxicity. Future Med. Chem. 2011, 3, 947–960. [Google Scholar] [CrossRef]
- Pederick, J.L.; Thompson, A.P.; Bell, S.G.; Bruning, J.B. d-Alanine–d-alanine ligase as a model for the activation of ATP-grasp enzymes by monovalent cations. J. Biol. Chem. 2020, 295, 7894–7904. [Google Scholar] [CrossRef]
- Calandra, P.; Mandanici, A.; Liveri, V.T. Self-assembly in surfactant-based mixtures driven by acid-base reactions: Bis(2-ethylhexyl) phosphoric acid-n-octylamine systems. RSC Adv. 2013, 3, 5148–5155. [Google Scholar] [CrossRef]
- Lawson, D.M.; Williams, C.E.; Mitchenall, L.A.; Pau, R.N. Ligand size is a major determinant of specificity in periplasmic oxyanion-binding proteins: The 1.2 A resolution crystal structure of Azotobacter vinelandii ModA. Structure 1998, 6, 1529–1539. [Google Scholar] [CrossRef]
- Biessen, E.A.; Bakkeren, H.F.; Beuting, D.M.; Kuiper, J.; Van Berkel, T.J. Ligand size is a major determinant of high-affinity binding of fucose- and galactose-exposing (lipo)proteins by the hepatic fucose receptor. Biochem. J. 1994, 299, 291–296. [Google Scholar] [CrossRef]
- Caron, G.; Digiesi, V.; Solaro, S.; Ermondi, G. Flexibility in early drug discovery: Focus on the beyond-Rule-of-5 chemical space. Drug Discov. Today 2020, 25, 621–627. [Google Scholar] [CrossRef]
- Patil, P.C.; Tan, J.; Demuth, D.R.; Luzzio, F.A. ‘Second-generation’ 1,2,3-triazole-based inhibitors of Porphyromonas gingivalis adherence to oral streptococci and biofilm formation. MedChemComm 2019, 10, 268–279. [Google Scholar] [CrossRef]
- Sevaille, L.; Gavara, L.; Bebrone, C.; De Luca, F.; Nauton, L.; Achard, M.; Mercuri, P.; Tanfoni, S.; Borgianni, L.; Guyon, C.; et al. 1,2,4-Triazole-3-thione Compounds as Inhibitors of Dizinc Metallo-β-lactamases. ChemMedChem 2017, 12, 972–985. [Google Scholar] [CrossRef]
- Fedenko, V.S.; Landi, M.; Shemet, S.A. Metallophenolomics: A Novel Integrated Approach to Study Complexation of Plant Phenolics with Metal/Metalloid Ions. Int. J. Mol. Sci. 2022, 23, 11370. [Google Scholar] [CrossRef]
- Zhao, Y.; Truhlar, D.G. The M06 suite of density functionals for main group thermochemistry, thermochemical kinetics, noncovalent interactions, excited states, and transition elements: Two new functionals and systematic testing of four M06-class functionals and 12 other functionals. Theor. Chem. Account. 2008, 120, 215–241. [Google Scholar] [CrossRef]
- Scalmani, G.; Frisch, M.J. Continuous surface charge polarizable continuum models of solvation. I. General formalism. J. Chem. Phys. 2010, 132, 114110. [Google Scholar] [CrossRef]
- Morris, G.M.; Huey, R.; Lindstrom, W.; Sanner, M.F.; Belew, R.K.; Goodsell, D.S.; Olson, A.J. AutoDock4 and AutoDockTools4: Automated Docking with Selective Receptor Flexibility. J. Comp. Chem. 2009, 30, 2785–2791. [Google Scholar] [CrossRef]




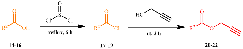
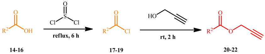
![]() | |||||
|---|---|---|---|---|---|
| Entry | R2 | Phenolic Acid | Acyl Chloride | Propargyl Ester | Yield (%) |
| 1 | ![]() | 14 | 17 | 20 | 98 |
| 2 | ![]() | 15 | 18 | 21 | 94 |
| 3 | ![]() | 16 | 19 | 22 | 92 |
![]() | |||||||
|---|---|---|---|---|---|---|---|
| Entry a | Solvent (v/v) | Reagent 10 (eq) | Catalytic System (eq) | T (°C) | t (h) | Yield b (%) | |
| CuSO4 5H2O | Na-Ascorbate | ||||||
| 1 | DMF/H2O (1:1) | 1.3 | 0.1 | 0.4 | rt | 48 | 22 |
| 2 | DMF/H2O (1:1) | 1.3 | 0.1 | 0.4 | 50 | 5 | 61 |
| 3 | DMF/H2O (1:1) | 1.3 | 0.1 | 0.4 | 60 | 5 | 67 |
| 4 | EtOH/H2O (1:1) | 1.3 | 0.1 | 0.4 | 60 | 5 | 45 |
| 5 | i-PrOH/H2O (1:1) | 1.3 | 0.1 | 0.4 | 60 | 5 | 38 |
| 6 | t-BuOH/H2O (1:1) | 1.3 | 0.1 | 0.4 | 60 | 5 | 43 |
| 7 | DMF | 1.3 | 0.1 | 0.4 | 60 | 5 | 72 |
| 8 c | DMF | 1.3 | 0.2 | 0.8 | 60 | 5 | 90 |
| 9 d | DMF | 1.0 | 0.2 | 0.8 | 60 | 5 | 91 e |
| 10 | DMF | 1.0 | - | - | 60 | 5 | traces |
| 11 f | DMF | 1.0 | 0.2 | 0.8 | 60 | 5 | 92 e |
| 12 | [mPy]OTf | 1.0 | 0.2 | 0.8 | 60 | 5 | traces |
![]() | ||||
|---|---|---|---|---|
| Entry a | R 1 | R 2 | Product | Yield b (%) |
| 1 | H | ![]() | 23 | 91 |
| 2 | MeO | 24 | 92 | |
| 3 | NO2 | 25 | 89 | |
| 4 | Cl | 26 | 88 | |
| 5 | H | ![]() | 27 | 92 |
| 6 | MeO | 28 | 94 | |
| 7 | NO2 | 29 | 87 | |
| 8 | Cl | 30 | 89 | |
| 9 | H | ![]() | 31 | 90 |
| 10 | MeO | 32 | 93 | |
| 11 | NO2 | 33 | 86 | |
| 12 | Cl | 34 | 88 | |
| Receptor | Best Scores Affinity (kcal/mol) | ||||||||||||
|---|---|---|---|---|---|---|---|---|---|---|---|---|---|
| Reference Ligand | 23 | 24 | 25 | 26 | 27 | 28 | 29 | 30 | 31 | 32 | 33 | 34 | |
| 5-Lipoxygenase 5-LOX (PDB: 308Y) | DHC −6.1 | −7.1 | −5.0 | −5.1 | −6.1 | −7.1 | −6.4 | −5.8 | −6.1 | −6.0 | −4.0 | −4.0 | −4.8 |
| 5-Lipoxygenase with ACD 5-LOX (PDB: 3V99) | DHC −6.5 | −8.7 | −8.7 | −8.7 | −9.0 | −8.8 | −8.7 | −9.0 | −9.0 | −8.2 | −8.1 | −7.6 | −8.7 |
| Cyclooxygenase-2 COX-2 (PDB: 4FM5) | DF0 −8.8 | −9.6 | −9.6 | −9.8 | −9.8 | −9.6 | −9.6 | −9.8 | −9.9 | −10.3 | −10.1 | −10.2 | −10.1 |
| Angiotensin-converting enzyme ACE (PDB: 1O86) | LPR −7 | −9.6 | −9.4 | −9.0 | −9.8 | −9.3 | −9.0 | −9.0 | −9.4 | −9.6 | −8.9 | −8.6 | −9.5 |
| Human topoisomerase II ATPase TOP2 (PDB: 1ZXM) | ANP −10.9 | −10.4 | −10.5 | −10.0 | −10.3 | −10.0 | −10.0 | −10.7 | −9.7 | −10.5 | −10.4 | −10.8 | −10.0 |
| Tubulin (PDB: 1SA0) | CN2 −8.5 | −9.4 | −9.5 | −9.6 | −9.7 | −9.0 | −8.9 | −9.3 | −8.9 | −9.1 | −8.8 | −8.9 | −8.9 |
| Acetyilcholinesterase AChE (PDB: 1EVE) | E20 −11.0 | −10.7 | −10.8 | −11.0 | −11.0 | −10.7 | −10.3 | −11.3 | −10.8 | −11.5 | −11.6 | −12.0 | −11.6 |
| D-Alanyl-D-alanine ligase Ddl (PDB: 2ZDQ) | ATP −9.7 | −10.0 | −10.8 | −10.1 | −10.1 | −9.7 | −9.7 | −10.3 | −10.0 | −10.2 | −10.0 | −10.4 | −10.0 |
| Target/Ligand | Literature Ligand | Reference Affinity Value (kcal/mol) | Average Affinity Value of All Triazole Conjugates (kcal/mol) | Difference |
|---|---|---|---|---|
| 5-LOX | DHC | −6.1 | −5.9 | −3.7% |
| 5-LOX with ACD | DHC | −6.5 | −8.6 | +32.3% |
| COX-2 | DF0 | −8.8 | −9.9 | +12.2% |
| ACE | LPR | −7.0 | −9.3 | +32.1 |
| TOP2 | ANP | −10.9 | −10.3 | −5.7% |
| Tubulin | CN2 | −8.5 | −9.2 | +7.9% |
| AChE | E20 | −11.0 | −11.1 | +1.0% |
| DdI | ATP | −9.7 | −10.1 | +4.2% |
Disclaimer/Publisher’s Note: The statements, opinions and data contained in all publications are solely those of the individual author(s) and contributor(s) and not of MDPI and/or the editor(s). MDPI and/or the editor(s) disclaim responsibility for any injury to people or property resulting from any ideas, methods, instructions or products referred to in the content. |
© 2024 by the authors. Licensee MDPI, Basel, Switzerland. This article is an open access article distributed under the terms and conditions of the Creative Commons Attribution (CC BY) license (https://creativecommons.org/licenses/by/4.0/).
Share and Cite
Maiuolo, L.; Tallarida, M.A.; Meduri, A.; Fiorani, G.; Jiritano, A.; De Nino, A.; Algieri, V.; Costanzo, P. 1,2,3-Triazole Hybrids Containing Isatins and Phenolic Moieties: Regioselective Synthesis and Molecular Docking Studies. Molecules 2024, 29, 1556. https://doi.org/10.3390/molecules29071556
Maiuolo L, Tallarida MA, Meduri A, Fiorani G, Jiritano A, De Nino A, Algieri V, Costanzo P. 1,2,3-Triazole Hybrids Containing Isatins and Phenolic Moieties: Regioselective Synthesis and Molecular Docking Studies. Molecules. 2024; 29(7):1556. https://doi.org/10.3390/molecules29071556
Chicago/Turabian StyleMaiuolo, Loredana, Matteo Antonio Tallarida, Angelo Meduri, Giulia Fiorani, Antonio Jiritano, Antonio De Nino, Vincenzo Algieri, and Paola Costanzo. 2024. "1,2,3-Triazole Hybrids Containing Isatins and Phenolic Moieties: Regioselective Synthesis and Molecular Docking Studies" Molecules 29, no. 7: 1556. https://doi.org/10.3390/molecules29071556
APA StyleMaiuolo, L., Tallarida, M. A., Meduri, A., Fiorani, G., Jiritano, A., De Nino, A., Algieri, V., & Costanzo, P. (2024). 1,2,3-Triazole Hybrids Containing Isatins and Phenolic Moieties: Regioselective Synthesis and Molecular Docking Studies. Molecules, 29(7), 1556. https://doi.org/10.3390/molecules29071556










