Hybrid Molecules with Purine and Pyrimidine Derivatives for Antitumor Therapy: News, Perspectives, and Future Directions
Abstract
1. Introduction
2. Clinically Approved Drugs Containing Pyrimidine and Purine Scaffolds
3. Recent and Classic Advances in the Synthesis of Purine and Pyrimidine Hybrids
- ✓ Fused hybrids—the pharmacophores are directly fused into a single heterocyclic framework [85].
- ✓ Linked hybrids—the pharmacophores are connected via a stable linker (e.g., alkyl chain, amide bond) [86].
- ✓ Merged hybrids—overlapping atoms from both moieties are combined into one unified core [87].
- ✓ Spaced hybrids—pharmacophores are connected by a longer flexible spacer for dual-targeting [88].
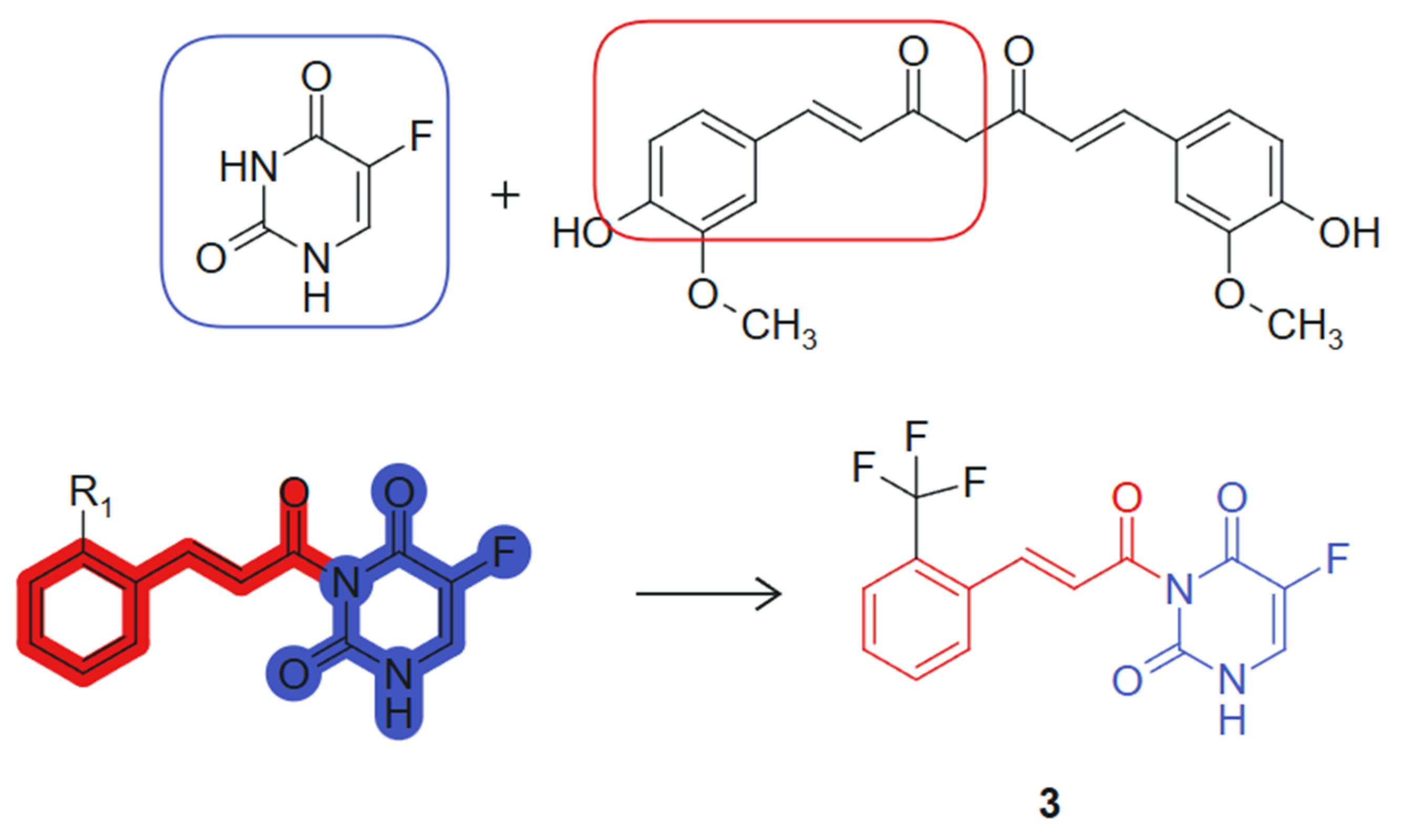
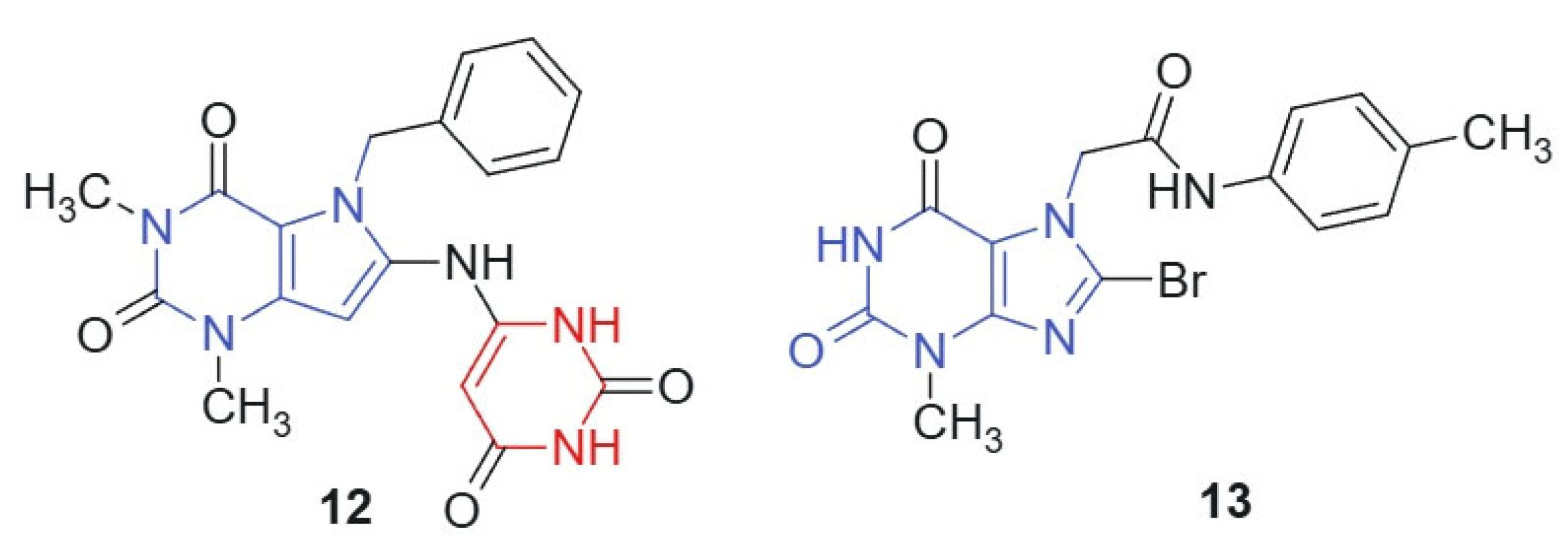
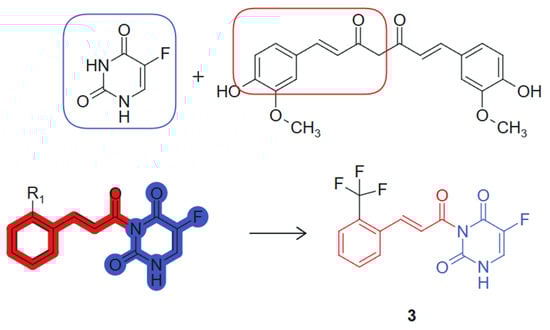
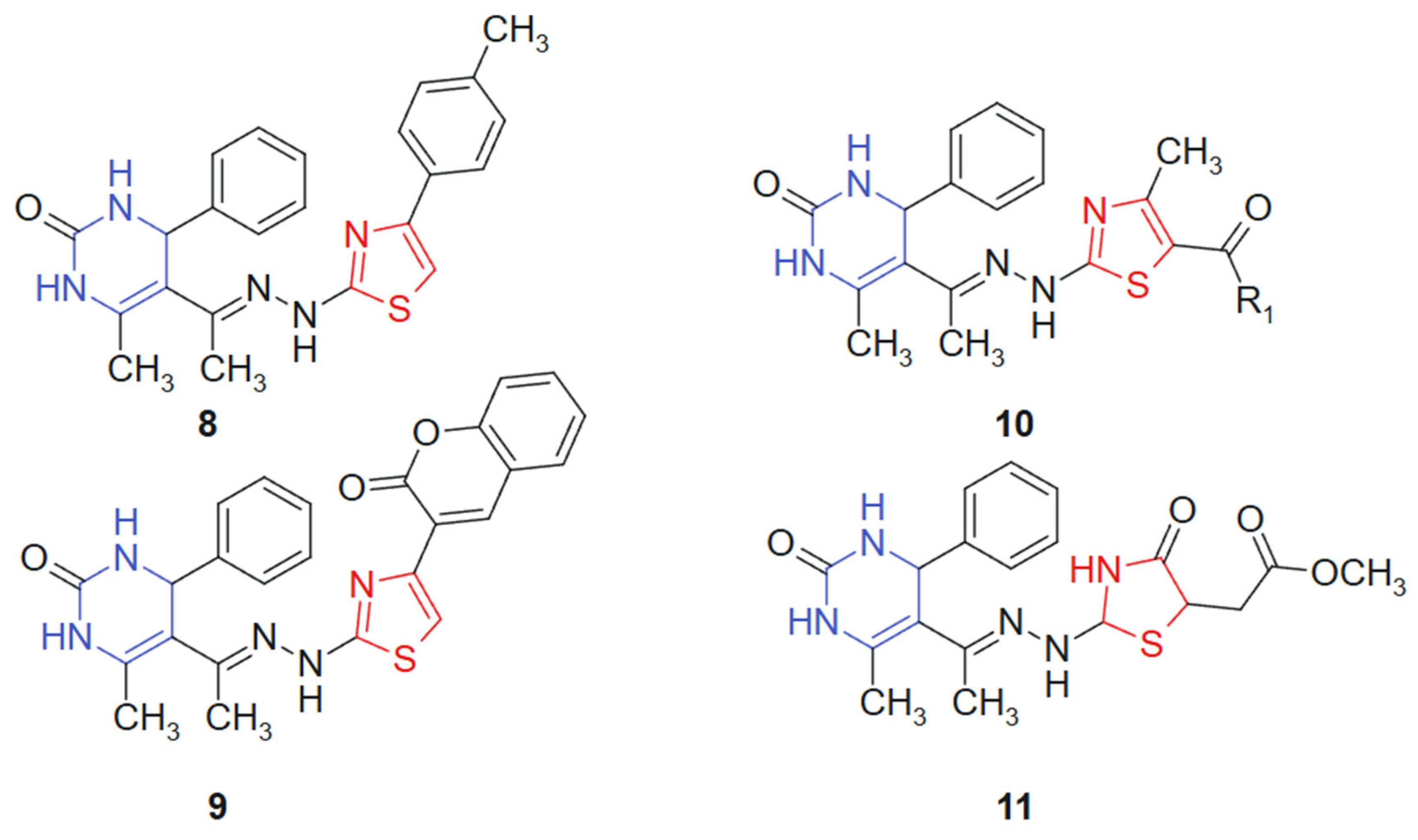
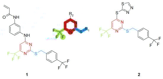
3.1. Pyrimidine Hybrids and Various Derivatives with Antitumoral Activity
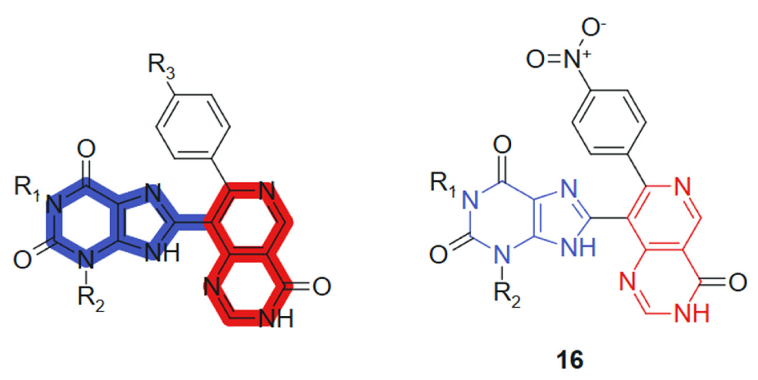
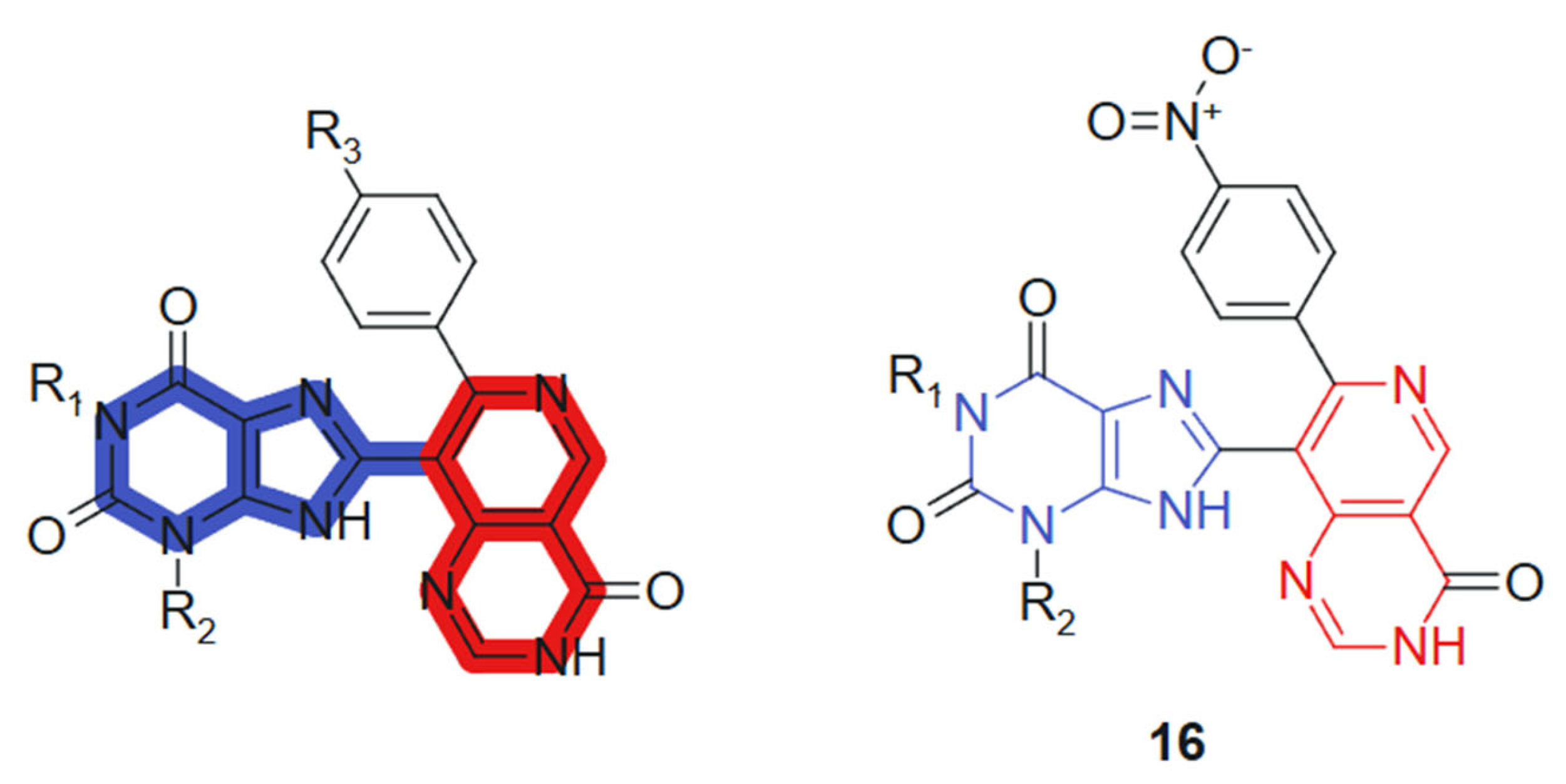
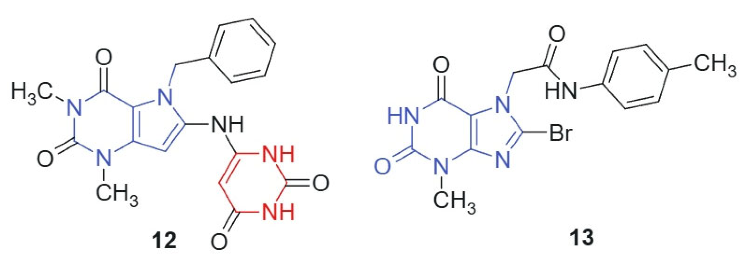
3.2. Purine Hybrids and Various Derivatives with Antitumoral Activity
4. Conclusions and Future Perspectives
- ✓ Structural optimization of purine and pyrimidine derivatives and their hybrids, to improve specificity and reduce toxicity;
- ✓ Combination therapies that leverage synergistic mechanisms, potentially overcoming resistance and enhancing efficacy;
- ✓ Targeted delivery systems to increase drug accumulation within tumors while minimizing systemic exposure;
- ✓ Advanced screening techniques and computational modeling to predict drug behavior and guide rational design;
- ✓ Investigation of molecular mechanisms underlying drug resistance to inform the development of next-generation analogs.
Author Contributions
Funding
Institutional Review Board Statement
Informed Consent Statement
Conflicts of Interest
Abbreviations
| 5-FU | 5-fluorouracil |
| AML | Acute Myeloid Leukemia |
| CDK | Cyclin-Dependent Kinase |
| c-KIT | Tyrosine-Protein kinase Kit |
| CML | Chronic Myeloid Leukemia |
| CSC | Cancer Stem Cell |
| DNA | Deoxyribonucleic Acid |
| EGFR | Epidermal Growth Factor Receptor |
| GIST | Gastrointestinal Stromal Tumor |
| HMEC | Human Mammary Epithelial Cells |
| MCF-7 | Michigan Cancer Foundation-7 |
| MDS | Myelodysplastic Syndromes |
| MTT | 3-(4,5-dimethylthiazol-2-yl)-2,5-diphenyltetrazolium bromide |
| NSCLC | Non-Small Cell Lung Cancer |
| PBMC | Peripheral Blood Mononuclear Cells |
| PDGFR | Platelet-Derived Growth Factor Receptor |
| RNA | Ribonucleic Acid |
| ROS | Reactive Oxygen Species |
| THLE | Transeformed Human Liver Epithelial cells |
| TKI | Tyrosine Kinase Inhibitor |
| BCR-ABL | Breakpoint Cluster Region—Abelson Murine Leukemia Viral Oncogene Homolog 1 |
| TrxR | Thioredoxin Reductase |
| TS | Thymidylate Synthase |
References
- Sung, H.; Ferlay, J.; Siegel, R.L.; Laversanne, M.; Soerjomataram, I.; Jemal, A.; Bray, F. Global Cancer Statistics 2020: GLOBOCAN Estimates of Incidence and Mortality Worldwide for 36 Cancers in 185 Countries. CA Cancer J. Clin. 2021, 71, 209–249. [Google Scholar] [CrossRef] [PubMed]
- Hanahan, D.; Weinberg, R.A. Hallmarks of Cancer: The Next Generation. Cell 2011, 144, 646–674. [Google Scholar] [CrossRef] [PubMed]
- Odejide, O.O.; Salas Coronado, D.Y.; Watts, C.D.; Wright, A.A.; Abel, G.A. End-of-Life Care for Blood Cancers: A Series of Focus Groups with Hematologic Oncologists. J. Oncol. Pract. 2014, 10, e396–e403. [Google Scholar] [CrossRef] [PubMed]
- Mantyh, P. Bone Cancer Pain: Causes, Consequences, and Therapeutic Opportunities. Pain 2013, 154, S54–S62. [Google Scholar] [CrossRef]
- Waks, A.G.; Winer, E.P. Breast Cancer Treatment: A Review. JAMA 2019, 321, 288. [Google Scholar] [CrossRef]
- Abooshahab, R.; Ardalani, H.; Zarkesh, M.; Hooshmand, K.; Bakhshi, A.; Dass, C.R.; Hedayati, M. Metabolomics—A Tool to Find Metabolism of Endocrine Cancer. Metabolites 2022, 12, 1154. [Google Scholar] [CrossRef]
- Schafer, E.J.; Jemal, A.; Wiese, D.; Sung, H.; Kratzer, T.B.; Islami, F.; Dahut, W.L.; Knudsen, K.E. Disparities and Trends in Genitourinary Cancer Incidence and Mortality in the USA. Eur. Urol. 2023, 84, 117–126. [Google Scholar] [CrossRef]
- Waldum, H.; Fossmark, R. Inflammation and Digestive Cancer. Int. J. Mol. Sci. 2023, 24, 13503. [Google Scholar] [CrossRef]
- Smolarz, B.; Łukasiewicz, H.; Samulak, D.; Piekarska, E.; Kołaciński, R.; Romanowicz, H. Lung Cancer—Epidemiology, Pathogenesis, Treatment and Molecular Aspect (Review of Literature). Int. J. Mol. Sci. 2025, 26, 2049. [Google Scholar] [CrossRef]
- Leiter, U.; Keim, U.; Garbe, C. Epidemiology of Skin Cancer: Update 2019. In Sunlight, Vitamin D and Skin Cancer; Reichrath, J., Ed.; Springer International Publishing: Cham, Switzerland, 2020; pp. 123–139. ISBN 978-3-030-46227-7. [Google Scholar]
- Imtiaz, S.; Ferdous, U.T.; Nizela, A.; Hasan, A.; Shakoor, A.; Zia, A.W.; Uddin, S. Mechanistic Study of Cancer Drug Delivery: Current Techniques, Limitations, and Future Prospects. Eur. J. Med. Chem. 2025, 290, 117535. [Google Scholar] [CrossRef]
- Zhong, L.; Li, Y.; Xiong, L.; Wang, W.; Wu, M.; Yuan, T.; Yang, W.; Tian, C.; Miao, Z.; Wang, T.; et al. Small Molecules in Targeted Cancer Therapy: Advances, Challenges, and Future Perspectives. Signal Transduct. Target. Ther. 2021, 6, 201. [Google Scholar] [CrossRef] [PubMed]
- Shalini; Kumar, V. Have Molecular Hybrids Delivered Effective Anti-Cancer Treatments and What Should Future Drug Discovery Focus On? Expert Opin. Drug Discov. 2021, 16, 335–363. [Google Scholar] [CrossRef] [PubMed]
- Salgia, R.; Kulkarni, P. The Genetic/Non-Genetic Duality of Drug ‘Resistance’ in Cancer. Trends Cancer 2018, 4, 110–118. [Google Scholar] [CrossRef] [PubMed]
- Kaur, A.; Shakya, A.K.; Singh, R.; Badhwar, R.; Sawhney, S.K. Heterocyclic Compounds and Their Derivatives with Potential Anticancer Activity. Ind. J. Pharm. Educ. Res. 2024, 58, s26–s39. [Google Scholar] [CrossRef]
- Manna, T.; Maji, S.; Maity, M.; Debnath, B.; Panda, S.; Khan, S.A.; Nath, R.; Akhtar, M.J. Anticancer Potential and Structure Activity Studies of Purine and Pyrimidine Derivatives: An Updated Review. Mol. Divers. 2025, 29, 817–848. [Google Scholar] [CrossRef]
- De Clercq, E.; Li, G. Approved Antiviral Drugs over the Past 50 Years. Clin. Microbiol. Rev. 2016, 29, 695–747. [Google Scholar] [CrossRef]
- Sanglikar, G.; Kumar Tengli, A. A Critical Review on Purine and Pyrimidine Heterocyclic Derivatives and Their Designed Molecules in Cancer. Results Chem. 2025, 15, 102210. [Google Scholar] [CrossRef]
- Paleček, E.; Jelen, F.; Hung, M.A. Reaction of the Purine and Pyrimidine Derivatives with the Electrode Mercury. Bioelectrochemistry Bioenerg. 1981, 128, 621–631. [Google Scholar] [CrossRef]
- Pawełczyk, A.; Sowa-Kasprzak, K.; Olender, D.; Zaprutko, L. Molecular Consortia—Various Structural and Synthetic Concepts for More Effective Therapeutics Synthesis. Int. J. Mol. Sci. 2018, 19, 1104. [Google Scholar] [CrossRef]
- Viegas-Junior, C.; Danuello, A.; da Silva Bolzani, V.; Barreiro, E.J.; Fraga, C.A.M. Molecular Hybridization: A Useful Tool in the Design of New Drug Prototypes. Curr. Med. Chem. 2007, 14, 1829–1852. [Google Scholar] [CrossRef]
- Meunier, B. Hybrid Molecules with a Dual Mode of Action: Dream or Reality? Acc. Chem. Res. 2008, 41, 69–77. [Google Scholar] [CrossRef] [PubMed]
- Sharma, S.; Mehndiratta, S.; Kumar, S.; Singh, J.; Bedi, P.M.S.; Nepali, K. Purine Analogues as Kinase Inhibitors: A Review. Recent Pat. Anticancer Drug Discov. 2015, 10, 308–341. [Google Scholar] [CrossRef] [PubMed]
- Zuccarello, F.; Buemi, G.; Gandolfo, C.; Contino, A. Barbituric and Thiobarbituric Acids: A Conformational and Spectroscopic Study. Spectrochim. Acta Part A Mol. Biomol. Spectrosc. 2003, 59, 139–151. [Google Scholar] [CrossRef]
- Hruba, L.; Das, V.; Hajduch, M.; Dzubak, P. Nucleoside-Based Anticancer Drugs: Mechanism of Action and Drug Resistance. Biochem. Pharmacol. 2023, 215, 115741. [Google Scholar] [CrossRef]
- Parker, W.B. Enzymology of Purine and Pyrimidine Antimetabolites Used in the Treatment of Cancer. Chem. Rev. 2009, 109, 2880–2893. [Google Scholar] [CrossRef]
- Riscoe, M.K.; Brouns, M.C.; Fitchen, J.H. Purine Metabolism as a Target for Leukemia Chemotherapy. Blood Rev. 1989, 3, 162–173. [Google Scholar] [CrossRef]
- Chen, Y.; Xu, J.; Liu, X.; Guo, L.; Yi, P.; Cheng, C. Potential Therapies Targeting Nuclear Metabolic Regulation in Cancer. MedComm 2023, 4, e421. [Google Scholar] [CrossRef]
- Wang, W.-B. Recent Studies of 5-Fluorouracil Resistance in Pancreatic Cancer. World J. Gastroenterol. 2014, 20, 15682. [Google Scholar] [CrossRef]
- Mikhail, S.E.; Sun, J.F.; Marshall, J.L. Safety of Capecitabine: A Review. Expert Opin. Drug Saf. 2010, 9, 831–841. [Google Scholar] [CrossRef]
- Salehi, B.; Selamoglu, Z.; Mileski, K.S.; Pezzani, R.; Redaelli, M.; Cho, W.C.; Kobarfard, F.; Rajabi, S.; Martorell, M.; Kumar, P.; et al. Liposomal Cytarabine as Cancer Therapy: From Chemistry to Medicine. Biomolecules 2019, 9, 773. [Google Scholar] [CrossRef]
- Murphy, F.; Middleton, M. Cytostatic and Cytotoxic Drugs. In Side Effects of Drugs Annual; Elsevier: Amsterdam, The Netherlands, 2012; Volume 34, pp. 731–747. ISBN 978-0-444-59499-0. [Google Scholar]
- Taieb, J.; Price, T.; Vidot, L.; Chevallier, B.; Wyrwicz, L.; Bachet, J.-B. Safety and Efficacy of Trifluridine/Tipiracil in Previously Treated Metastatic Colorectal Cancer: Final Results from the Phase IIIb Single-Arm PRECONNECT Study by Duration of Therapy. BMC Cancer 2023, 23, 94. [Google Scholar] [CrossRef] [PubMed]
- Gesto, D.S.; Cerqueira, N.M.F.S.A.; Fernandes, P.A.; Ramos, M.J. Gemcitabine: A Critical Nucleoside for Cancer Therapy. Curr. Med. Chem. 2012, 19, 1076–1087. [Google Scholar] [CrossRef] [PubMed]
- Longley, D.B.; Harkin, D.P.; Johnston, P.G. 5-Fluorouracil: Mechanisms of Action and Clinical Strategies. Nat. Rev. Cancer 2003, 3, 330–338. [Google Scholar] [CrossRef] [PubMed]
- Van Cutsem, E.; Twelves, C.; Cassidy, J.; Allman, D.; Bajetta, E.; Boyer, M.; Bugat, R.; Findlay, M.; Frings, S.; Jahn, M.; et al. Oral Capecitabine Compared with Intravenous Fluorouracil Plus Leucovorin in Patients with Metastatic Colorectal Cancer: Results of a Large Phase III Study. J. Clin. Oncol. 2001, 19, 4097–4106. [Google Scholar] [CrossRef]
- National Institute of Diabetes and Digestive and Kidney Diseases. Pyrimidine Analogues. In LiverTox: Clinical and Research Information on Drug-Induced Liver Injury; National Institute of Diabetes and Digestive and Kidney Diseases: Bethesda, MD, USA, 2012. [Google Scholar]
- Wu, P.; Nielsen, T.E.; Clausen, M.H. FDA-Approved Small-Molecule Kinase Inhibitors. Trends Pharmacol. Sci. 2015, 36, 422–439. [Google Scholar] [CrossRef]
- Kennedy, J.A.; Hobbs, G. Tyrosine Kinase Inhibitors in the Treatment of Chronic-Phase CML: Strategies for Frontline Decision-Making. Curr. Hematol. Malig. Rep. 2018, 13, 202–211. [Google Scholar] [CrossRef]
- Zhang, J.; Yang, P.L.; Gray, N.S. Targeting Cancer with Small Molecule Kinase Inhibitors. Nat. Rev. Cancer 2009, 9, 28–39. [Google Scholar] [CrossRef]
- Song, M.; Elkamhawy, A.; Noh, W.; Abdelazem, A.Z.; Park, Y.; Sivaraman, A.; Bertleuova, A.; Atef, D.; Lee, K. Pyrimidine Scaffold Dual-Target Kinase Inhibitors for Cancer Diseases: A Review on Design Strategies, Synthetic Approaches, and Structure–Activity Relationship (2018–2023). Arch. Pharm. 2025, 358, e2400163. [Google Scholar] [CrossRef]
- Zhang, N.; Yin, Y.; Xu, S.-J.; Chen, W.-S. 5-Fluorouracil: Mechanisms of Resistance and Reversal Strategies. Molecules 2008, 13, 1551–1569. [Google Scholar] [CrossRef]
- Pardini, B.; Kumar, R.; Naccarati, A.; Novotny, J.; Prasad, R.B.; Forsti, A.; Hemminki, K.; Vodicka, P.; Lorenzo Bermejo, J. 5-Fluorouracil-based Chemotherapy for Colorectal Cancer and MTHFR/MTRR Genotypes. Br. J. Clin. Pharmacol. 2011, 72, 162–163. [Google Scholar] [CrossRef]
- Ponce-Cusi, R.; Calaf, G.M. Apoptotic Activity of 5-Fluorouracil in Breast Cancer Cells Transformed by Low Doses of Ionizing α-Particle Radiation. Int. J. Oncol. 2016, 48, 774–782. [Google Scholar] [CrossRef] [PubMed]
- Na, D.; Chae, J.; Cho, S.-Y.; Kang, W.; Lee, A.; Min, S.; Kang, J.; Kim, M.J.; Choi, J.; Lee, W.; et al. Predictive Biomarkers for 5-Fluorouracil and Oxaliplatin-Based Chemotherapy in Gastric Cancers via Profiling of Patient-Derived Xenografts. Nat. Commun. 2021, 12, 4840. [Google Scholar] [CrossRef] [PubMed]
- Majounie, E.; Wee, K.; Williamson, L.M.; Jones, M.R.; Pleasance, E.; Lim, H.J.; Ho, C.; Renouf, D.J.; Yip, S.; Jones, S.J.M.; et al. Fluorouracil Sensitivity in a Head and Neck Squamous Cell Carcinoma with a Somatic DPYD Structural Variant. Cold Spring Harb. Mol. Case Stud. 2020, 6, a004713. [Google Scholar] [CrossRef] [PubMed]
- Walko, C.M.; Lindley, C. Capecitabine: A Review. Clin. Ther. 2005, 27, 23–44. [Google Scholar] [CrossRef]
- Hirsch, B.R.; Zafar, S.Y. Capecitabine in the Management of Colorectal Cancer. Cancer Manag. Res. 2011, 3, 79–89. [Google Scholar] [CrossRef]
- De Sousa Cavalcante, L.; Monteiro, G. Gemcitabine: Metabolism and Molecular Mechanisms of Action, Sensitivity and Chemoresistance in Pancreatic Cancer. Eur. J. Pharmacol. 2014, 741, 8–16. [Google Scholar] [CrossRef]
- Zhang, Z.; He, S.; Wang, P.; Zhou, Y. The Efficacy and Safety of Gemcitabine-Based Combination Therapy vs. Gemcitabine Alone for the Treatment of Advanced Pancreatic Cancer: A Systematic Review and Meta-Analysis. J. Gastrointest. Oncol. 2022, 13, 1967–1980. [Google Scholar] [CrossRef]
- Crinò, L.; Mosconi, A.M.; Scagliotti, G.; Selvaggi, G.; Novello, S.; Rinaldi, M.; Della Giulia, M.; Gridelli, C.; Rossi, A.; Calandri, C.; et al. Gemcitabine as Second-Line Treatment for Advanced Non–Small-Cell Lung Cancer: A Phase II Trial. J. Clin. Oncol. 1999, 17, 2081. [Google Scholar] [CrossRef]
- Carmichael, J. The Role of Gemcitabine in the Treatment of Other Tumours. Br. J. Cancer 1998, 78, 21–25. [Google Scholar] [CrossRef]
- El-Subbagh, H.I.; Al-Badr, A.A. Cytarabine. In Profiles of Drug Substances, Excipients and Related Methodology; Elsevier: Amsterdam, The Netherlands, 2009; Volume 34, pp. 37–113. ISBN 978-0-12-374340-4. [Google Scholar]
- Li, W.; Gong, X.; Sun, M.; Zhao, X.; Gong, B.; Wei, H.; Mi, Y.; Wang, J. High-Dose Cytarabine in Acute Myeloid Leukemia Treatment: A Systematic Review and Meta-Analysis. PLoS ONE 2014, 9, e110153. [Google Scholar] [CrossRef]
- Khan, C.; Pathe, N.; Fazal, S.; Lister, J.; Rossetti, J.M. Azacitidine in the Management of Patients with Myelodysplastic Syndromes. Ther. Adv. Hematol. 2012, 3, 355–373. [Google Scholar] [CrossRef] [PubMed]
- Moreno Vanegas, Y.; Badar, T. Clinical Utility of Azacitidine in the Management of Acute Myeloid Leukemia: Update on Patient Selection and Reported Outcomes. Cancer Manag. Res. 2022, 14, 3527–3538. [Google Scholar] [CrossRef] [PubMed]
- Lenz, H.-J.; Stintzing, S.; Loupakis, F. TAS-102, a Novel Antitumor Agent: A Review of the Mechanism of Action. Cancer Treat. Rev. 2015, 41, 777–783. [Google Scholar] [CrossRef]
- Prager, G.W.; Taieb, J.; Fakih, M.; Ciardiello, F.; Van Cutsem, E.; Elez, E.; Cruz, F.M.; Wyrwicz, L.; Stroyakovskiy, D.; Pápai, Z.; et al. Trifluridine–Tipiracil and Bevacizumab in Refractory Metastatic Colorectal Cancer. N. Engl. J. Med. 2023, 388, 1657–1667. [Google Scholar] [CrossRef]
- Dubinsky, M.C. Azathioprine, 6-Mercaptopurine in Inflammatory Bowel Disease: Pharmacology, Efficacy, and Safety. Clin. Gastroenterol. Hepatol. 2004, 2, 731–743. [Google Scholar] [CrossRef]
- Rijneveld, A.W.; Van Der Holt, B.; De Weerdt, O.; Biemond, B.J.; Van De Loosdrecht, A.A.; Van Der Wagen, L.E.; Bellido, M.; Van Gelder, M.; Van Der Velden, W.J.F.M.; Selleslag, D.; et al. Clofarabine Added to Intensive Treatment in Adult Patients with Newly Diagnosed ALL: The HOVON-100 Trial. Blood Adv. 2022, 6, 1115–1125. [Google Scholar] [CrossRef]
- Hormann, F.M.; Rudd, S.G. Nelarabine in T-Cell Acute Lymphoblastic Leukemia: Intracellular Metabolism and Molecular Mode-of-Action. Leukemia 2025, 39, 531–542. [Google Scholar] [CrossRef]
- Ricci, F.; Tedeschi, A.; Morra, E.; Montillo, M. Fludarabine in the Treatment of Chronic Lymphocytic Leukemia: A Review. Ther. Clin. Risk Manag. 2009, 5, 187–207. [Google Scholar] [CrossRef][Green Version]
- McCall, D.; Alqahtani, S.; Budak, M.; Sheikh, I.; Fan, A.E.; Ramakrishnan, R.; Nunez, C.; Roth, M.; Garcia, M.B.; Gibson, A.; et al. Cladribine-Based Therapy for Acute Myeloid Leukemia in Child, Adolescent, and Early Young Adult Patients: The MD Anderson Cancer Center Experience. Cancers 2024, 16, 3886. [Google Scholar] [CrossRef]
- Ramakrishna, J.K.; Ramakrishne Gowda, P.S.K.; Rahamanulla, A.; Nagaraju, P.K.; Ramesh, B.; Chandramouli, M. The Impact of Novel Purine, Pyrimidine and Folate Analogues on Cancer Treatment: A Review. J. Young Pharm. 2025, 17, 26–35. [Google Scholar] [CrossRef]
- Robak, T.; Lech-Maranda, E.; Korycka, A.; Robak, E. Purine Nucleoside Analogs as Immunosuppressive and Antineoplastic Agents: Mechanism of Action and Clinical Activity. Curr. Med. Chem. 2006, 13, 3165–3189. [Google Scholar] [CrossRef] [PubMed]
- Obakan, P.; Arısan, E.D.; Özfiliz, P.; Çoker-Gürkan, A.; Palavan-Ünsal, N. Purvalanol A Is a Strong Apoptotic Inducer via Activating Polyamine Catabolic Pathway in MCF-7 Estrogen Receptor Positive Breast Cancer Cells. Mol. Biol. Rep. 2014, 41, 145–154. [Google Scholar] [CrossRef] [PubMed]
- Aldoss, I.T.; Tashi, T.; Ganti, A.K. Seliciclib in Malignancies. Expert Opin. Investig. Drugs 2009, 18, 1957–1965. [Google Scholar] [CrossRef] [PubMed]
- Aukstikalne, L.; Klejus, I.; Thastrup, M.; Zvirblis, T.; Schmiegelow, K.; Vaitkeviciene, G.E.; Toksvang, L.N. Erythrocyte-Incorporated 6-Mercaptopurine Metabolite Levels Are Not Affected by Recent Drug Administration During Maintenance Therapy for Childhood Acute Lymphoblastic Leukemia. EJC Paediatr. Oncol. 2023, 2, 100028. [Google Scholar] [CrossRef]
- Choi, Y.W.; Jeong, S.H.; Ahn, M.S.; Lee, H.W.; Kang, S.Y.; Choi, J.-H.; Park, J.S. Oral Maintenance Chemotherapy with 6-Mercaptopurine and Methotrexate in Patients with Acute Myeloid Leukemia Ineligible for Transplantation. J. Korean Med. Sci. 2015, 30, 1416. [Google Scholar] [CrossRef]
- Leist, T.P.; Weissert, R. Cladribine: Mode of Action and Implications for Treatment of Multiple Sclerosis. Clin. Neuropharmacol. 2011, 34, 28–35. [Google Scholar] [CrossRef]
- Pagano, L.; Criscuolo, M.; Broccoli, A.; Piciocchi, A.; Varettoni, M.; Galli, E.; Anastasia, A.; Cantonetti, M.; Trentin, L.; Kovalchuk, S.; et al. Long-Term Follow-Up of Cladribine Treatment in Hairy Cell Leukemia: 30-Year Experience in a Multicentric Italian Study. Blood Cancer J. 2022, 12, 109. [Google Scholar] [CrossRef]
- Liliemark, J.; Martinsson, U.; Ståhlc, E.C.; Svedmyr, E.; Porwit, A.; Strömberg, M.; Juliusson, G. Cladribine for Untreated or Early Low-Grade Non-Hodgkin’s Lymphoma. Leuk. Lymphoma 1998, 30, 573–581. [Google Scholar] [CrossRef]
- Lech-Maranda, E.; Korycka, A.; Robak, T. Clofarabine as a Novel Nucleoside Analogue Approved to Treat Patients with Haematological Malignancies: Mechanism of Action and Clinical Activity. Mini Rev. Med. Chem. 2009, 9, 805–812. [Google Scholar] [CrossRef]
- Ramiz, S.; Elhaj, O.; Siddiqui, K.; Khan, S.; AlSaedi, H.; AlAnazi, A.; Al-Ahmari, A.; Al-Jefri, A.; Sahvan, O.; Ayas, M.; et al. Clofarabine in Pediatric Acute Relapsed or Refractory Leukemia: Where Do We Stand on the Bridge to Hematopoietic Stem Cell Transplantation? J. Hematol. 2023, 12, 16–26. [Google Scholar] [CrossRef]
- Gandhi, V.; Plunkett, W. Cellular and Clinical Pharmacology of Fludarabine. Clin. Pharmacokinet. 2002, 41, 93–103. [Google Scholar] [CrossRef] [PubMed]
- Rai, K.R.; Peterson, B.L.; Appelbaum, F.R.; Kolitz, J.; Elias, L.; Shepherd, L.; Hines, J.; Threatte, G.A.; Larson, R.A.; Cheson, B.D.; et al. Fludarabine Compared with Chlorambucil as Primary Therapy for Chronic Lymphocytic Leukemia. N. Engl. J. Med. 2000, 343, 1750–1757. [Google Scholar] [CrossRef] [PubMed]
- Anderson, V.R.; Perry, C.M. Fludarabine: A Review of Its Use in Non-Hodgkin’s Lymphoma. Drugs 2007, 67, 1633–1655. [Google Scholar] [CrossRef] [PubMed]
- Miltenburg, N.C.; Boogerd, W. Chemotherapy-Induced Neuropathy: A Comprehensive Survey. Cancer Treat. Rev. 2014, 40, 872–882. [Google Scholar] [CrossRef]
- Shimony, S.; Liu, Y.; Valtis, Y.K.; Paolino, J.D.; Place, A.E.; Brunner, A.M.; Weeks, L.D.; Silverman, L.B.; Vrooman, L.M.; Neuberg, D.S.; et al. Nelarabine Combination Therapy for Relapsed or Refractory T-Cell Acute Lymphoblastic Lymphoma/Leukemia. Blood Adv. 2023, 7, 1092–1102. [Google Scholar] [CrossRef]
- Castellanos, G.; Pardo, L.; López, A.; Cornago, J.; López, J.L.; De Las Heras, A.; Díaz, F.J.; Martínez De Bourio, M.; Castillo, E.; Llamas, P.; et al. Daratumumab and Nelarabine Treatment as Salvage Therapy for T-Lymphoblastic Lymphoma: A Case Report. Biomedicines 2024, 12, 512. [Google Scholar] [CrossRef]
- Abbot, V.; Sharma, P.; Dhiman, S.; Noolvi, M.N.; Patel, H.M.; Bhardwaj, V. Small Hybrid Heteroaromatics: Resourceful Biological Tools in Cancer Research. RSC Adv. 2017, 7, 28313–28349. [Google Scholar] [CrossRef]
- Basak, A.; Pal, R. Synthesis of β-Lactam Nucleoside Chimera via Kinugasa Reaction and Evaluation of Their Antibacterial Activity. Bioorg. Med. Chem. Lett. 2005, 15, 2015–2018. [Google Scholar] [CrossRef]
- Lazar, C.; Kluczyk, A.; Kiyota, T.; Konishi, Y. Drug Evolution Concept in Drug Design: 1. Hybridization Method. J. Med. Chem. 2004, 47, 6973–6982. [Google Scholar] [CrossRef]
- Alkhzem, A.H.; Woodman, T.J.; Blagbrough, I.S. Design and Synthesis of Hybrid Compounds as Novel Drugs and Medicines. RSC Adv. 2022, 12, 19470–19484. [Google Scholar] [CrossRef]
- Eze, C.C.; Ezeokonkwo, A.M.; Ugwu, I.D.; Eze, U.F.; Onyeyilim, E.L.; Attah, I.S.; Okonkwo, I.V. Azole-Pyrimidine Hybrid Anticancer Agents: A Review of Molecular Structure, Structure Activity Relationship, and Molecular Docking. Anticancer Agents Med. Chem. 2022, 22, 2822–2851. [Google Scholar] [CrossRef] [PubMed]
- Suma, V.R.; Sreenivasulu, R.; Rao, M.V.B.; Subramanyam, M.; Ahsan, M.J.; Alluri, R.; Rao, K.R.M. Design, Synthesis, and Biological Evaluation of Chalcone-Linked Thiazole-Imidazopyridine Derivatives as Anticancer Agents. Med. Chem. Res. 2020, 29, 1643–1654. [Google Scholar] [CrossRef]
- Carramiñana, V.; Ochoa De Retana, A.M.; De Los Santos, J.M.; Palacios, F. First Synthesis of Merged Hybrids Phosphorylated Azirino[2,1-b]Benzo[e][1,3]Oxazine Derivatives as Anticancer Agents. Eur. J. Med. Chem. 2020, 185, 111771. [Google Scholar] [CrossRef] [PubMed]
- Sun, D.; Zhao, Y.; Zhang, S.; Zhang, L.; Liu, B.; Ouyang, L. Dual-Target Kinase Drug Design: Current Strategies and Future Directions in Cancer Therapy. Eur. J. Med. Chem. 2020, 188, 112025. [Google Scholar] [CrossRef]
- Loeffler, J.R.; Schauperl, M.; Liedl, K.R. Hydration of Aromatic Heterocycles as an Adversary of π-Stacking. J. Chem. Inf. Model. 2019, 59, 4209–4219. [Google Scholar] [CrossRef]
- Rajeshkumar, V.; Courté, M.; Fichou, D.; Stuparu, M.C. Synthesis and Properties of Large Polycyclic Aromatic Hydrocarbons with Planar and Non-Planar Structural Motifs. Eur. J. Org. Chem. 2016, 2016, 6010–6014. [Google Scholar] [CrossRef]
- Rajappan, V.; Hosmane, R.S. Synthesis and Guanase Inhibition Studies of a Novel Ring-Expanded Purine Analogue Containing a 5:7-Fused, Planar, Aromatic Heterocyclic Ring System. Bioorg. Med. Chem. Lett. 1998, 8, 3649–3652. [Google Scholar] [CrossRef]
- Voet, D.; Rich, A. The Crystal Structures of Purines, Pyrimidines and Their Intermolecular Complexes. In Progress in Nucleic Acid Research and Molecular Biology; Davidson, J.N., Cohn, W.E., Eds.; Academic Press: Cambridge, MA, USA, 1970; Volume 10, pp. 183–265. ISBN 0079-6603. [Google Scholar]
- Mejía-Mazariegos, L.; Robles, J.; García-Revilla, M.A. Tautomerism in Some Pyrimidine Nucleoside Analogues Used in the Treatment of Cancer: An Ab Initio Study. Theor. Chem. Acc. 2016, 135, 233. [Google Scholar] [CrossRef]
- Pullman, B.; Pullman, A. Electronic Aspects of Purine Tautomerism. In Advances in Heterocyclic Chemistry; Elsevier: Amsterdam, The Netherlands, 1971; Volume 13, pp. 77–159. ISBN 978-0-12-020613-1. [Google Scholar]
- Lippert, B.; Sanz Miguel, P.J. The Renaissance of Metal–Pyrimidine Nucleobase Coordination Chemistry. Acc. Chem. Res. 2016, 49, 1537–1545. [Google Scholar] [CrossRef]
- Watson, D.G.; Sweet, R.M.; Marsh, R.E. The Crystal and Molecular Structure of Purine. Acta Cryst. 1965, 19, 573–580. [Google Scholar] [CrossRef]
- Chan, S.I.; Bangerter, B.W.; Peter, H.H. Purine Binding to Dinucleotides: Evidence for Base Stacking and Insertion. Proc. Natl. Acad. Sci. USA 1966, 55, 720–727. [Google Scholar] [CrossRef] [PubMed]
- Kompis, I.M.; Islam, K.; Then, R.L. DNA and RNA Synthesis: Antifolates. Chem. Rev. 2005, 105, 593–620. [Google Scholar] [CrossRef] [PubMed]
- Pathania, S.; Rawal, R.K. Pyrrolopyrimidines: An Update on Recent Advancements in Their Medicinal Attributes. Eur. J. Med. Chem. 2018, 157, 503–526. [Google Scholar] [CrossRef]
- Liu, L.; Wang, Z.; Gao, C.; Dai, H.; Si, X.; Zhang, Y.; Meng, Y.; Zheng, J.; Ke, Y.; Liu, H.; et al. Design, Synthesis and Antitumor Activity Evaluation of Trifluoromethyl-Substituted Pyrimidine Derivatives. Bioorg. Med. Chem. Lett. 2021, 51, 128268. [Google Scholar] [CrossRef]
- LoPachin, R.M.; Gavin, T. Molecular Mechanism of Acrylamide Neurotoxicity: Lessons Learned from Organic Chemistry. Environ. Health Perspect. 2012, 120, 1650–1657. [Google Scholar] [CrossRef]
- Tseng, C.-C.; Baillie, G.; Donvito, G.; Mustafa, M.A.; Juola, S.E.; Zanato, C.; Massarenti, C.; Dall’Angelo, S.; Harrison, W.T.A.; Lichtman, A.H.; et al. The Trifluoromethyl Group as a Bioisosteric Replacement of the Aliphatic Nitro Group in CB1 Receptor Positive Allosteric Modulators. J. Med. Chem. 2019, 62, 5049–5062. [Google Scholar] [CrossRef]
- Wang, X.; Li, X.; Zhang, X.; Wang, X.; Yang, J.; Liu, G. Design, Synthesis and Biological Evaluation of Novel Curcumin-Fluorouracil Hybrids as Potential Anti-Cancer Agents. Biochem. Pharmacol. 2024, 230, 116559. [Google Scholar] [CrossRef]
- Peters, G.J.; Backus, H.H.J.; Freemantle, S.; Van Triest, B.; Codacci-Pisanelli, G.; Van Der Wilt, C.L.; Smid, K.; Lunec, J.; Calvert, A.H.; Marsh, S.; et al. Induction of Thymidylate Synthase as a 5-Fluorouracil Resistance Mechanism. Biochim. Biophys. Acta BBA—Mol. Basis Dis. 2002, 1587, 194–205. [Google Scholar] [CrossRef]
- Hu, B.; Jiang, Y.-Y.; Liu, P.; Zhang, R.-X.; Zhang, Q.; Liu, T.-T.; Bi, S. The Mechanism and Structure–Activity Relationship of Amide Bond Formation by Silane Derivatives: A Computational Study. Org. Biomol. Chem. 2019, 17, 9232–9242. [Google Scholar] [CrossRef]
- Kumar, B.; Sharma, P.; Gupta, V.P.; Khullar, M.; Singh, S.; Dogra, N.; Kumar, V. Synthesis and Biological Evaluation of Pyrimidine Bridged Combretastatin Derivatives as Potential Anticancer Agents and Mechanistic Studies. Bioorg. Chem. 2018, 78, 130–140. [Google Scholar] [CrossRef]
- Paidakula, S.; Nerella, S.; Kankala, S.; Kankala, R.K. Recent Trends in Tubulin-Binding Combretastatin A-4 Analogs for Anticancer Drug Development. Curr. Med. Chem. 2022, 29, 3748–3773. [Google Scholar] [CrossRef] [PubMed]
- Padmaja, L.; Ravikumar, C.; Sajan, D.; Hubert Joe, I.; Jayakumar, V.S.; Pettit, G.R.; Faurskov Nielsen, O. Density Functional Study on the Structural Conformations and Intramolecular Charge Transfer from the Vibrational Spectra of the Anticancer Drug combretastatin-A2. J. Raman Spectrosc. 2009, 40, 419–428. [Google Scholar] [CrossRef]
- Reymova, F.; Sever, B.; Topalan, E.; Sevimli-Gur, C.; Can, M.; Tuyun, A.F.; Başoğlu, F.; Ece, A.; Otsuka, M.; Fujita, M.; et al. Design, Synthesis, and Mechanistic Anticancer Evaluation of New Pyrimidine-Tethered Compounds. Pharmaceuticals 2025, 18, 270. [Google Scholar] [CrossRef] [PubMed]
- Basha N, J.; Goudgaon, N.M. A Comprehensive Review on Pyrimidine Analogs-Versatile Scaffold with Medicinal and Biological Potential. J. Mol. Struct. 2021, 1246, 131168. [Google Scholar] [CrossRef]
- Price, L.S.; Price, S.L. Packing Preferences of Chalcones: A Model Conjugated Pharmaceutical Scaffold. Cryst. Growth Des. 2022, 22, 1801–1816. [Google Scholar] [CrossRef]
- Huang, L.; Huang, R.; Pang, F.; Li, A.; Huang, G.; Zhou, X.; Li, Q.; Li, F.; Ma, X. Synthesis and Biological Evaluation of Dehydroabietic Acid-Pyrimidine Hybrids as Antitumor Agents. RSC Adv. 2020, 10, 18008–18015. [Google Scholar] [CrossRef]
- Eksi, G.; Kurbanoglu, S.; Erdem, S.A. Analysis of Diterpenes and Diterpenoids. In Recent Advances in Natural Products Analysis; Elsevier: Amsterdam, The Netherlands, 2020; pp. 313–345. ISBN 978-0-12-816455-6. [Google Scholar]
- Docherty, J.H.; Lister, T.M.; Mcarthur, G.; Findlay, M.T.; Domingo-Legarda, P.; Kenyon, J.; Choudhary, S.; Larrosa, I. Transition-Metal-Catalyzed C–H Bond Activation for the Formation of C–C Bonds in Complex Molecules. Chem. Rev. 2023, 123, 7692–7760. [Google Scholar] [CrossRef]
- Abolibda, T.Z.; El-Sayed, A.-A.A.A.; Farag, B.; Zaki, M.E.A.; Alrehaily, A.; Elbadawy, H.M.; Al-Shahri, A.A.; Alsenani, S.R.; Gomha, S.M. Novel Thiazolyl-Pyrimidine Derivatives as Potential Anticancer Agents: Synthesis, Biological Evaluation, and Molecular Docking Studies. Results Chem. 2025, 13, 102008. [Google Scholar] [CrossRef]
- Cornea, A.C.; Marc, G.; Ionuț, I.; Moldovan, C.; Fizeșan, I.; Petru, A.-E.; Creștin, I.-V.; Pîrnău, A.; Vlase, L.; Oniga, O. Synthesis, Cytotoxicity and Antioxidant Activity Evaluation of Some Thiazolyl–Catechol Compounds. Antioxidants 2024, 13, 937. [Google Scholar] [CrossRef]
- Glyn, R.J.; Pattison, G. The Effects on Lipophilicity of Replacing Oxygenated Functionality with Their Fluorinated Bioisosteres. J. Med. Chem. 2021, 64. [Google Scholar] [CrossRef]
- Shtefan, E.D.; Vvedenskii, V.Y. The Tautomerism of Heterocyclic Thiols. Five-Membered Heterocycles. Russ. Chem. Rev. 1996, 65, 307–314. [Google Scholar] [CrossRef]
- Mohamed, A.R.; El Kerdawy, A.M.; George, R.F.; Georgey, H.H.; Abdel Gawad, N.M. Design, Synthesis and in Silico Insights of New 7,8-Disubstituted-1,3-Dimethyl-1H-Purine-2,6(3H,7H)-Dione Derivatives with Potent Anticancer and Multi-Kinase Inhibitory Activities. Bioorg. Chem. 2021, 107, 104569. [Google Scholar] [CrossRef] [PubMed]
- Yu, S.; Jiang, C.; Yang, Y.; Cheng, F.; Liu, F.; Liu, C.; Gong, X. Purine-Rich Element Binding Protein Alpha: A DNA/RNA Binding Protein with Multiple Roles in Cancers. Mol. Med. 2025, 31, 20. [Google Scholar] [CrossRef] [PubMed]
- Zagórska, A.; Czopek, A.; Jaromin, A.; Mielczarek-Puta, M.; Struga, M.; Stary, D.; Bajda, M. Design, Synthesis, and In Vitro Antiproliferative Activity of Hydantoin and Purine Derivatives with the 4-Acetylphenylpiperazinylalkyl Moiety. Materials 2021, 14, 4156. [Google Scholar] [CrossRef]
- Biswas, S.; Sen, S.; Im, J.; Biswas, S.; Krstic, P.; Ashcroft, B.; Borges, C.; Zhao, Y.; Lindsay, S.; Zhang, P. Universal Readers Based on Hydrogen Bonding or π–π Stacking for Identification of DNA Nucleotides in Electron Tunnel Junctions. ACS Nano 2016, 10, 11304–11316. [Google Scholar] [CrossRef]
- Zugazagoitia, J.; Guedes, C.; Ponce, S.; Ferrer, I.; Molina-Pinelo, S.; Paz-Ares, L. Current Challenges in Cancer Treatment. Clin. Ther. 2016, 38, 1551–1566. [Google Scholar] [CrossRef]
- Verma, V.A.; Halu, B.; Saundane, A.R.; Meti, R.S. Synthesis, Biological Validation, and Docking Studies of Novel Purine Derivatives Containing Pyridopyrimidine, Pyrazolopyridine, and Pyranonapthyridine Rings†. Polycycl. Aromat. Compd. 2022, 42, 3694–3716. [Google Scholar] [CrossRef]
- Stępień, M.; Gońka, E.; Żyła, M.; Sprutta, N. Heterocyclic Nanographenes and Other Polycyclic Heteroaromatic Compounds: Synthetic Routes, Properties, and Applications. Chem. Rev. 2017, 117, 3479–3716. [Google Scholar] [CrossRef]
- Kapadiya, K.M.; Khunt, R.C. Discovery of Hybrid Purine-Quinoline Molecules and Their Cytotoxic Evaluation. Lett. Drug Des. Discov. 2018, 16, 21–28. [Google Scholar] [CrossRef]
- Afifi, O.S.; Shaaban, O.G.; Abd El Razik, H.A.; Shams El-Dine, S.E.-D.A.; Ashour, F.A.; El-Tombary, A.A.; Abu-Serie, M.M. Synthesis and Biological Evaluation of Purine-Pyrazole Hybrids Incorporating Thiazole, Thiazolidinone or Rhodanine Moiety as 15-LOX Inhibitors Endowed with Anticancer and Antioxidant Potential. Bioorg. Chem. 2019, 87, 821–837. [Google Scholar] [CrossRef]
- Al-Duhaidahawi, D.L. Synthesis and Preliminary Anticancer Activity Study of New 6-Mercaptopurine Derivatives. Asian J. Chem. 2018, 30, 2603–2607. [Google Scholar] [CrossRef]
- Hei, Y.-Y.; Shen, Y.; Wang, J.; Zhang, H.; Zhao, H.-Y.; Xin, M.; Cao, Y.-X.; Li, Y.; Zhang, S.-Q. Synthesis and Evaluation of 2,9-Disubstituted 8-Phenylthio/Phenylsulfinyl-9H-Purine as New EGFR Inhibitors. Bioorg. Med. Chem. 2018, 26, 2173–2185. [Google Scholar] [CrossRef] [PubMed]
- Vanda, D.; Jorda, R.; Lemrová, B.; Volná, T.; Kryštof, V.; McMaster, C.; Soural, M. Synthesis of Novel N9-Substituted Purine Derivatives from Polymer Supported α-Amino Acids. ACS Comb. Sci. 2015, 17, 426–432. [Google Scholar] [CrossRef] [PubMed]
- Gawande, M.B.; Shelke, S.N.; Zboril, R.; Varma, R.S. Microwave-Assisted Chemistry: Synthetic Applications for Rapid Assembly of Nanomaterials and Organics. Acc. Chem. Res. 2014, 47, 1338–1348. [Google Scholar] [CrossRef]
- Alsolami, E.S.; Alorfi, H.S.; Alamry, K.A.; Hussein, M.A. One-Pot Multicomponent Polymerization towards Heterocyclic Polymers: A Mini Review. RSC Adv. 2024, 14, 1757–1781. [Google Scholar] [CrossRef]
- Kurul, F.; Doruk, B.; Topkaya, S.N. Principles of Green Chemistry: Building a Sustainable Future. Discov. Chem. 2025, 2, 68. [Google Scholar] [CrossRef]
- García-Serna, J.; Piñero-Hernanz, R.; Durán-Martín, D. Inspirational Perspectives and Principles on the Use of Catalysts to Create Sustainability. Catal. Today 2022, 387, 237–243. [Google Scholar] [CrossRef]
- Marinescu, M. Biginelli Reaction Mediated Synthesis of Antimicrobial Pyrimidine Derivatives and Their Therapeutic Properties. Molecules 2021, 26, 6022. [Google Scholar] [CrossRef]
- Sahrapeyma, S.; Farhad; Mamaghani, M. One-Pot Synthesis of Pyrimido[4,5-d]Pyrimidine Derivatives Using a New DABCO-Based Ionic Liquid Catalyst. Iran. J. Catal. 2024, 14. [Google Scholar] [CrossRef]
- Alnaja, A.M.A.; Farghaly, T.A.; El-Zahabi, H.S.A.; Shaaban, M.R. Cytotoxicity, Docking Study of New Fluorinated Fused Pyrimidine Scaffold: Thermal and Microwave Irradiation Synthesis. Med. Chem. 2021, 17, 501–518. [Google Scholar] [CrossRef]
- Katiya, M.M.; Dhonde, M.G.; Ganorkar, K.S.; Gajbhiye, J.M. Synthesis of Various Pyrimidines and Fused Pyrimidines Derivatives by Telescopic Reactions. Results Chem. 2025, 15, 102261. [Google Scholar] [CrossRef]













| Drug | Structure | Mechanism of Action | Clinical Indication | Refs. |
|---|---|---|---|---|
| 5-flourouracil | ![]() | 5-FU is metabolized intracellularly to 5-fluoro-2′-deoxyuridine monophosphate (FdUMP), which inhibits thymidylate synthase (TS), leading to disruption of DNA synthesis. | Colorectal, breast, gastric, head and neck cancers | [42,43,44,45,46] |
| Capecitabine | ![]() | Capecitabine is enzymatically converted to 5-FU in tumor tissues. The resulting 5-FU then inhibits thymidylate synthase and incorporates into RNA and DNA, disrupting their synthesis and function. | Metastatic colorectal cancer, breast cancer | [47,48] |
| Gemcitabine | ![]() | Gemcitabine is phosphorylated to its active diphosphate and triphosphate forms. The diphosphate inhibits ribonucleotide reductase, reducing deoxynucleotide pools, while the triphosphate incorporates into DNA, causing chain termination and apoptosis. | Pancreatic, non-small cell lung, bladder and breast cancers | [49,50,51,52] |
| Cytarabine | ![]() | Cytarabine is converted to ara-CTP, which inhibits DNA polymerase and incorporates into DNA, leading to chain termination and inhibition of DNA synthesis. | Acute myeloid leukemia (AML) | [53,54] |
| Azacitidine | ![]() | Azacitidine incorporates into RNA and DNA, inhibiting DNA methyltransferase, leading to hypomethylation of DNA and reactivation of tumor suppressor genes. | Myelodysplastic syndromes (MDS), acute myeloid leukemia (AML) | [55,56] |
| Trifluridine | ![]() | Trifluridine is incorporated into DNA, leading to DNA dysfunction and strand breaks. While it also inhibits thymidylate synthase, its primary cytotoxic effect is through DNA incorporation. | Metastatic colorectal cancer refractory to standard therapies | [57,58] |
| Drug | Structure | Mechanism of Action | Clinical Indication | Refs. |
|---|---|---|---|---|
| Mercaptopurine | ![]() | Mercaptopurine is converted intracellularly to thioinosinic acid, which inhibits several enzymes involved in purine metabolism. This inhibition disrupts DNA and RNA synthesis, leading to cytotoxicity. | Acute lymphoblastic leukemiaAcute myeloid leukemia | [68,69] |
| Cladribine | ![]() | Cladribine is phosphorylated intracellularly to its active form, which inhibits DNA synthesis and repair by incorporating into DNA and inhibiting enzymes involved in DNA metabolism. | Hairy cell leukemiaNon-Hodgkin lymphoma | [70,71,72] |
| Clofarabine | ![]() | Clofarabine inhibits DNA polymerases and ribonucleotide reductase. It induces apoptosis in both cycling and non-cycling cells by disrupting DNA synthesis and repair mechanisms. | Treatment of pediatric relapsed or refractory acute lymphoblastic leukemia after at least two prior chemotherapy regimens | [73,74] |
| Fludarabine | ![]() | Fludarabine inhibits DNA polymerase, ribonucleotide reductase, and DNA primase. It is phosphorylated intracellularly to its active form, which incorporates into DNA, leading to chainTermination and apoptosis. | Chronic lymphocytic leukemia (CLL)Non-Hodgkinlymphoma | [75,76,77] |
| Nelarabine | ![]() | Nelarabine is a prodrug of 9-β-D-arabinofuranosylguanine which is phosphorylated intracellularly to its active form, ara-GTP. Ara-GTP incorporates into DNA, inhibiting DNA synthesis and inducing apoptosis in T-cells. | Treatment of relapsed or refractory T-cell acute lymphoblastic leukemia and T-cell lymphoblastic lymphoma | [78,79,80] |
| Feature | Purine | Pyrimidine | Refs. |
|---|---|---|---|
| Structure | ![]() | ![]() | |
| Aromaticity and Planarity | Fused bicyclic aromatic system; planar | Monocyclic aromatic; planar | [90,91] |
| H-Bonding Sites | Multiple donors/acceptors (N1, N3, N7, N9) | Donors/acceptors at N1, N3 and C2/C4 substituents | |
| Electron Density Hotspots | C2 and C6 are reactive sites for substitution | C5 and C4 are typical modification points | [92] |
| Tautomerism | Yes—imidazole and pyrimidine ring tautomers | Yes—less pronounced than purines | [93,94] |
| Basicity/Acidity | Weakly basic (pKa ~ 2–4) | Neutral to weakly acidic | |
| Preferred Substitution Sites | C2, C6, N9 | C2, C4, C5 | |
| Molecular Geometry | Three-dimensional vector potential | Linear, compact structure | [95,96] |
| Interaction with DNA/Enzymes | Strong stacking with DNA bases; enzyme binding | Binds DNA/RNA via base mimicry; TS, DHFR targets | [97,98] |
Disclaimer/Publisher’s Note: The statements, opinions and data contained in all publications are solely those of the individual author(s) and contributor(s) and not of MDPI and/or the editor(s). MDPI and/or the editor(s) disclaim responsibility for any injury to people or property resulting from any ideas, methods, instructions or products referred to in the content. |
© 2025 by the authors. Licensee MDPI, Basel, Switzerland. This article is an open access article distributed under the terms and conditions of the Creative Commons Attribution (CC BY) license (https://creativecommons.org/licenses/by/4.0/).
Share and Cite
Iacob, S.; Stefan, C.-S.; Nechita, A.; Matei, M.-N.; Lisa, E.-L.; Tutunaru, D.; Fulga, I.; Fulga, A.; Cristea, A.-G.; Dragostin, O.-M. Hybrid Molecules with Purine and Pyrimidine Derivatives for Antitumor Therapy: News, Perspectives, and Future Directions. Molecules 2025, 30, 2707. https://doi.org/10.3390/molecules30132707
Iacob S, Stefan C-S, Nechita A, Matei M-N, Lisa E-L, Tutunaru D, Fulga I, Fulga A, Cristea A-G, Dragostin O-M. Hybrid Molecules with Purine and Pyrimidine Derivatives for Antitumor Therapy: News, Perspectives, and Future Directions. Molecules. 2025; 30(13):2707. https://doi.org/10.3390/molecules30132707
Chicago/Turabian StyleIacob (Ciobotaru), Simona, Claudia-Simona Stefan, Aurel Nechita, Madalina-Nicoleta Matei, Elena-Lacramioara Lisa, Dana Tutunaru, Iuliu Fulga, Ana Fulga, Alina-Georgiana Cristea (Hohota), and Oana-Maria Dragostin. 2025. "Hybrid Molecules with Purine and Pyrimidine Derivatives for Antitumor Therapy: News, Perspectives, and Future Directions" Molecules 30, no. 13: 2707. https://doi.org/10.3390/molecules30132707
APA StyleIacob, S., Stefan, C.-S., Nechita, A., Matei, M.-N., Lisa, E.-L., Tutunaru, D., Fulga, I., Fulga, A., Cristea, A.-G., & Dragostin, O.-M. (2025). Hybrid Molecules with Purine and Pyrimidine Derivatives for Antitumor Therapy: News, Perspectives, and Future Directions. Molecules, 30(13), 2707. https://doi.org/10.3390/molecules30132707














