Phytochemical Profiling and Biological Activities of Pericarps and Seeds Reveal the Controversy on “Enucleation” or “Nucleus-Retaining” of Cornus officinalis Fruits
Abstract
1. Introduction
2. Results and Discussion
2.1. Phytochemical Profiling of C. officinalis Fruits
2.1.1. Total Flavonoid, Phenolic, and Alkaloid Content
2.1.2. Secondary Metabolite Profiling
2.2. In Vitro Bioactivities of Cornus officinalis Fruits
2.2.1. In Vitro Antioxidant Activities of Extracts
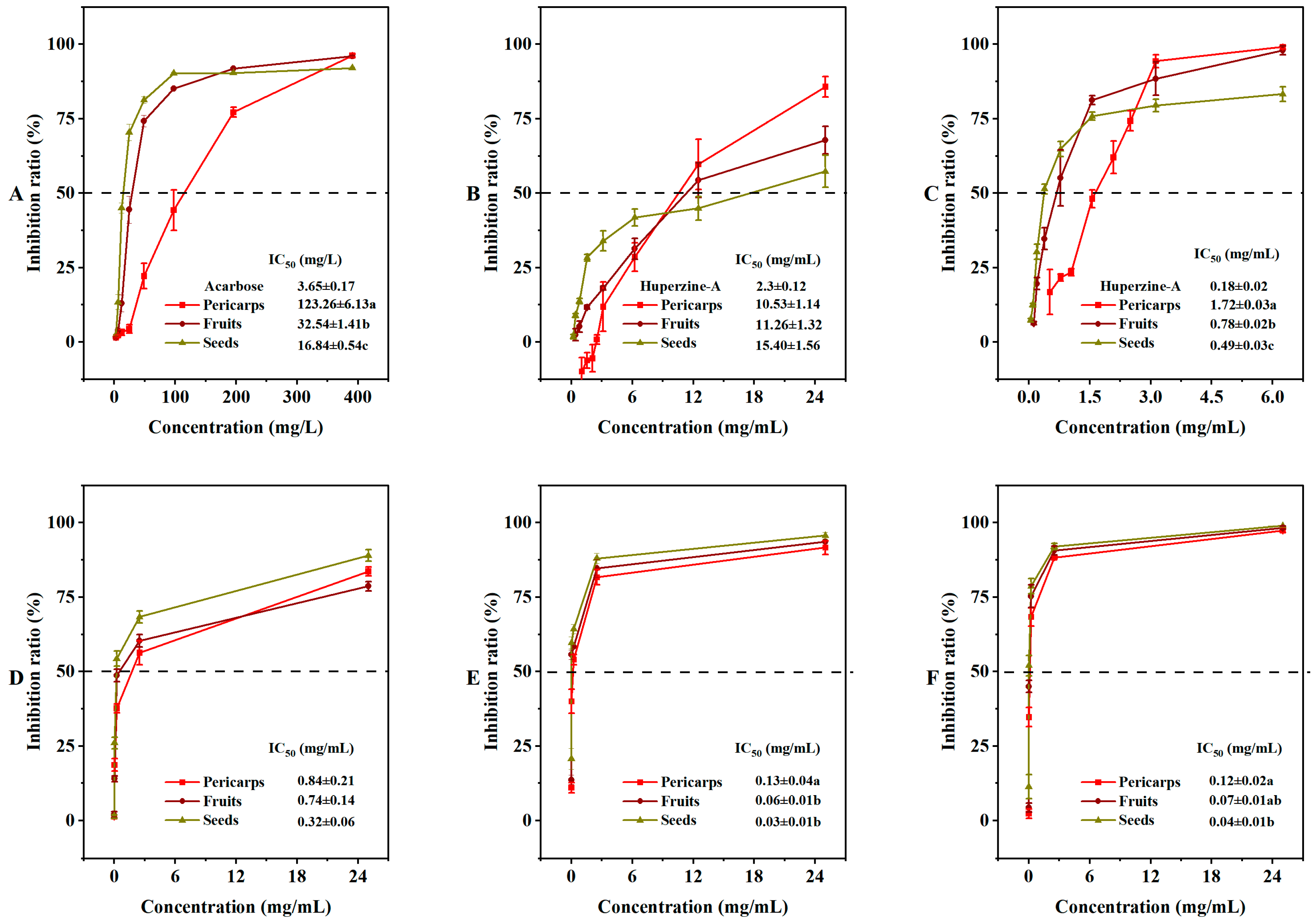
2.2.2. Enzyme Inhibition Assay of Extracts
2.2.3. Cytotoxicity of Extracts
3. Materials and Methods
3.1. Sample Collection and Preparation
3.2. Sample Extraction
3.3. Phytochemistry Profiling of Cornus officinalis Fruits
3.3.1. Determination of Total Flavonoids, Phenolics, and Alkaloids
3.3.2. Identify and Quantify Determination of Secondary Metabolites
3.3.3. Determination and Annotation of Differential Metabolites
3.3.4. Determination of the Key Health-Promoting Constituents
3.4. Determination of In Vitro Bioactivities of Cornus officinalis Fruits
3.4.1. Determination of In Vitro Antioxidant Assays
3.4.2. Enzyme Inhibition Assay
3.4.3. Determination of Cytotoxicity
3.4.4. Determination of the Half Maximal Inhibitory Concentration
3.5. Statistical Analyses
4. Conclusions
Supplementary Materials
Author Contributions
Funding
Institutional Review Board Statement
Informed Consent Statement
Data Availability Statement
Acknowledgments
Conflicts of Interest
References
- Chinese Pharmacopoeia Commission. Chinese Pharmacopoeia (Volume I); China Medical Science and Technology Press: Beijing, China, 2020; p. 29. [Google Scholar]
- Gao, X.; Liu, Y.; An, Z.C.; Ni, J. Active Components and Pharmacological Effects of Cornus officinalis: Literature Review. Front. Pharmacol. 2021, 12, 633447. [Google Scholar] [CrossRef] [PubMed]
- Han, B.K.; Niu, D.; Wang, T.; An, S.J.; Wang, Y.Z.; Chen, X.; Bi, H.L.; Xue, X.C.; Kang, J.F. Ultrasonic-microwave assisted extraction of total triterpenoid acids from Corni Fructus and hypoglycemic and hypolipidemic activities of the extract in mice. Food Funct. 2020, 11, 10709–10723. [Google Scholar] [CrossRef]
- Wang, W.S.; Long, H.P.; Huang, W.; Zhang, T.; Xie, L.H.; Chen, C.; Liu, J.H.; Xiong, D.; Hu, W. Bu-Shen-Huo-Xue Decoction Ameliorates Diabetic Nephropathy by Inhibiting Rac1/PAK1/p38MAPK Signaling Pathway in High-Fat Diet/Streptozotocin-Induced Diabetic Mice. Front. Pharmacol. 2020, 11, 587663. [Google Scholar] [CrossRef] [PubMed]
- Dong, Y.; Feng, Z.L.; Chen, H.B.; Wang, F.S.; Lu, J.H. Corni Fructus: A review of chemical constituents and pharmacological activities. Chin. Med. 2018, 13, 34. [Google Scholar] [CrossRef]
- Jang, S.E.; Jeong, J.J.; Hyam, S.R.; Han, M.J.; Kim, D.H. Ursolic acid isolated from the seed of Cornus officinalis ameliorates colitis in mice by inhibiting the binding of lipopolysaccharide to Toll-like receptor 4 on macrophages. J. Agric. Food Chem. 2014, 62, 9711–9721. [Google Scholar] [CrossRef] [PubMed]
- Czerwinska, M.E.; Melzig, M.F. Cornus mas and Cornus officinalis-Analogies and Differences of Two Medicinal Plants Traditionally Used. Front. Pharmacol. 2018, 9, 894. [Google Scholar] [CrossRef] [PubMed]
- Bai, C.K.; Gao, P.F.; Cao, B.; Zhao, N.I.; Zhang, M.; Lu, Y.M.; Zhao, P.T.; Zhang, B.S.; Xue, Y.; Yang, J.J.; et al. Development and optimization of novel processing methods of fruit extracts of medicinal crop Cornus officinalis. Ind. Crop. Prod. 2021, 174, 114177. [Google Scholar] [CrossRef]
- Yang, J.J.; Cao, B.; Xue, Y.; Liang, H.; Wu, Y.M.; Zhao, N.P.; Hu, D.N.; Gao, P.F.; Li, G.S.; Bai, C.K. The medicinal active ingredients and their associated key enzyme genes are differentially regulated at different growth stages in Cornus officinalis and Cornus controversa. Ind. Crop. Prod. 2019, 142, 111858. [Google Scholar] [CrossRef]
- Zhang, N.N.; Yang, L.L.; Ma, Y.P.; Huang, J.Y.; Zhu, S.X.; Dong, H.; Zhao, Z.; Lu, Y. Morphological, chemical and genetic analyses reveal high diversity and blurred genetic boundaries in Cornus offcinalis Siebold & Zucc. in China. Ind. Crop. Prod. 2024, 209, 117941. [Google Scholar] [CrossRef]
- Tang, Y.Y.; He, X.M.; Liu, G.M.; Wei, Z.; Sheng, J.F.; Sun, J.; Li, C.B.; Xin, M.; Li, L.; Yi, P. Effects of different extraction methods on the structural, antioxidant and hypoglycemic properties of red pitaya stem polysaccharide. Food Chem. 2023, 405, 134804. [Google Scholar] [CrossRef]
- Ali, I.B.; Tajini, F.; Boulila, A.; Jebri, M.A.; Boussaid, M.; Messaoud, C.; Sebaï, H. Bioactive compounds from Tunisian Pelargonium graveolens (L’Hér.) essential oils and extracts: α-amylase and acethylcholinesterase inhibitory and antioxidant, antibacterial and phytotoxic activities. Ind. Crop. Prod. 2020, 158, 112951. [Google Scholar] [CrossRef]
- Ma, Y.; Li, X.; Hou, L.X.; Wei, A.Z. Extraction solvent affects the antioxidant, antimicrobial, cholinesterase and HepG2 human hepatocellular carcinoma cell inhibitory activities of Zanthoxylum bungeanum pericarps and the major chemical components. Ind. Crop. Prod. 2019, 142, 111872. [Google Scholar] [CrossRef]
- An, S.J.; Niu, D.; Wang, T.; Han, B.K.; He, C.F.; Yang, X.L.; Sun, H.Q.; Zhao, K.; Kang, J.F.; Xue, X.C. Total Saponins Isolated from Corni Fructus via Ultrasonic Microwave-Assisted Extraction Attenuate Diabetes in Mice. Foods. 2021, 10, 670. [Google Scholar] [CrossRef] [PubMed]
- Klymenko, S.; Kucharska, A.Z.; Sokol-Letowska, A.; Piorecki, N.; Przybylska, D.; Grygorieva, O. Iridoids, Flavonoids, and Antioxidant Capacity of Cornus mas, C. officinalis, and C. mas × C. officinalis Fruits. Biomolecules 2021, 11, 776. [Google Scholar] [CrossRef] [PubMed]
- Shi, R.; Han, Y.; Yan, Y.; Qiao, H.Y.; He, J.; Lian, W.W.; Xia, C.Y.; Li, T.L.; Zhang, W.K.; Xu, J.K. Loganin Exerts Sedative and Hypnotic Effects via Modulation of the Serotonergic System and GABAergic Neurons. Front. Pharmacol. 2019, 10, 409. [Google Scholar] [CrossRef] [PubMed]
- Yu, H.; Yao, S.; Zhou, C.C.; Fu, F.D.; Luo, H.; Du, W.B.; Jin, H.T.; Tong, P.J.; Chen, D.; Wu, C.L.; et al. Morroniside attenuates apoptosis and pyroptosis of chondrocytes and ameliorates osteoarthritic development by inhibiting NF-κB signaling. J. Ethnopharmacol. 2021, 266, 113447. [Google Scholar] [CrossRef] [PubMed]
- Zhang, X.W.; Sui, Y.; Liu, X.X.; Fu, C.Y.; Qiao, Y.H.; Liu, W.J.; Li, Z.Z.; Li, X.Q.; Cao, W. Structures and anti-atherosclerotic effects of 1,6-alpha-glucans from Fructus Corni. Int. J. Biol. Macromol. 2020, 161, 1346–1357. [Google Scholar] [CrossRef] [PubMed]
- Zhang, Q.Q.; Li, B.Z.; Chen, Q.; Su, Y.L.; Wang, R.J.; Liu, Z.H.; Chen, G.L. Non-targeted metabolomic analysis of the variations in the metabolites of two genotypes of Glycyrrhiza uralensis Fisch. under drought stress. Ind. Crop. Prod. 2022, 176, 114402. [Google Scholar] [CrossRef]
- Zou, S.C.; Wu, J.C.; Shahid, M.Q.; He, Y.H.; Lin, S.Q.; Liu, Z.; Yang, X.H. Identification of key taste components in loquat using widely targeted metabolomics. Food Chem. 2020, 323, 126822. [Google Scholar] [CrossRef] [PubMed]
- Han, B.K.; Sun, H.Q.; Yang, X.L.; Wang, T.; He, C.F.; Zhao, K.; An, S.J.; Guo, C.; Niu, D.; Xue, X.C.; et al. Ultrasound-assisted enzymatic extraction of Corni Fructus alpha-glucosidase inhibitors improves insulin resistance in HepG2 cells. Food Funct. 2021, 12, 9808–9819. [Google Scholar] [CrossRef]
- Zengin, G.; Atasagun, B.; Aumeeruddy, Z.M.; Saleem, H.; Mollica, A.; Bahadori, M.B.; Mahomoodally, M.F. Phenolic profiling and in vitro biological properties of two Lamiaceae species (Salvia modesta and Thymus argaeus): A comprehensive evaluation. Ind. Crop. Prod. 2019, 128, 308–314. [Google Scholar] [CrossRef]
- Ali, A.; Cottrell, J.J.; Dunshea, F.R. Characterization, Antioxidant Potential, and Pharmacokinetics Properties of Phenolic Compounds from Native Australian Herbs and Fruits. Plants 2023, 12, 993. [Google Scholar] [CrossRef] [PubMed]
- Zhang, L.L.; Wang, Y.M.; Xu, M.; Wu, D.M.; Chen, J.H. Quantification of gallic acid and ellagic acid from the seed of Cornus officinalis by UHPLC method and their antioxidant activity. Chem. Eng. Commun. 2014, 201, 545–556. [Google Scholar] [CrossRef]
- Zhang, N.; Li, J.; Jiang, H. Cornus officinalis Sieb. et Zucc. Seeds as a Dietary Source of Ellagic Acid. Nat. Prod. Commun. 2022, 17, 1934578X221080342. [Google Scholar] [CrossRef]
- Park, C.H.; Sathasivam, R.; Kim, T.J.; Park, B.B.; Kim, J.K.; Park, S.U. Metabolic profiling and secondary metabolite accumulation during fruit development of Cornus officinalis Sieb. et Zucc. Ind. Crop. Prod. 2022, 189, 115779. [Google Scholar] [CrossRef]
- Li, Q.L.; Hu, S.Q.; Huang, L.C.; Zhang, J.D.; Cao, G. Evaluating the Therapeutic Mechanisms of Selected Active Compounds in Cornus officinalis and Paeonia lactiflora in Rheumatoid Arthritis via Network Pharmacology Analysis. Front. Pharmacol. 2021, 12, 648037. [Google Scholar] [CrossRef]
- Aćimović, M.; Šeregelj, V.; Šovljanski, O.; Saponjac, V.T.; Gajic, J.S.; Brezo-Borjan, T.; Pezo, L. In vitro antioxidant, antihyperglycemic, anti-inflammatory, and antimicrobial activity of Satureja kitaibelii Wierzb. ex Heuff. subcritical water extract. Ind. Crop. Prod. 2021, 169, 113672. [Google Scholar] [CrossRef]
- Lu, X.Y.; Gu, X.L.; Shi, Y.J. A review on lignin antioxidants: Their sources, isolations, antioxidant activities and various applications. Int. J. Biol. Macromol. 2022, 210, 716–741. [Google Scholar] [CrossRef]
- Wen, C.T.; Zhang, J.X.; Zhang, H.H.; Duan, Y.Q.; Ma, H.L. Plant protein-derived antioxidant peptides: Isolation, identification, mechanism of action and application in food systems: A review. Trends Food Sci. Technol. 2020, 105, 308–322. [Google Scholar] [CrossRef]
- Xie, G.Y.; Jin, S.Y.; Li, H.T.; Ai, M.K.; Han, F.; Dai, Y.Q.; Tao, W.; Zhu, Y.; Zhao, Y.C.; Qin, M.J. Chemical constituents and antioxidative, anti-inflammatory and anti-proliferative activities of wild and cultivated Corydalis saxicola. Ind. Crop. Prod. 2021, 169, 113647. [Google Scholar] [CrossRef]
- Ge, X.Z.; Jing, L.Z.; Zhao, K.; Su, C.Y.; Zhang, B.; Zhang, Q.; Han, L.H.; Yu, X.Z.; Li, W.H. The phenolic compounds profile, quantitative analysis and antioxidant activity of four naked barley grains with different color. Food Chem. 2021, 335, 127655. [Google Scholar] [CrossRef] [PubMed]
- Zaharudin, N.; Staerk, D.; Dragsted, L.O. Inhibition of alpha-glucosidase activity by selected edible seaweeds and fucoxanthin. Food Chem. 2019, 270, 481–486. [Google Scholar] [CrossRef] [PubMed]
- Wang, X.; Deng, Y.J.; Xie, P.J.; Liu, L.J.; Zhang, C.H.; Cheng, J.; Zhang, Y.; Liu, Y.; Huang, L.X.; Jiang, J.X. Novel bioactive peptides from ginkgo biloba seed protein and evaluation of their alpha-glucosidase inhibition activity. Food Chem. 2023, 404, 134481. [Google Scholar] [CrossRef]
- Hong, Y.; Liao, X.Y.; Chen, Z.L. Screening and characterization of potential alpha-glucosidase inhibitors from Cercis chinensis Bunge fruits using ultrafiltration coupled with HPLC-ESI-MS/MS. Food Chem. 2022, 372, 131316. [Google Scholar] [CrossRef]
- Ye, C.Y.; Zhang, R.F.; Dong, L.M.; Chi, J.W.; Huang, F.; Dong, L.H.; Zhang, M.W.; Jia, X.C. Alpha-Glucosidase inhibitors from brown rice bound phenolics extracts (BRBPE): Identification and mechanism. Food Chem. 2022, 372, 131306. [Google Scholar] [CrossRef]
- Yang, L.H.; Liu, J.; Xia, X.W.; Wong, I.N.; Chung, S.K.; Xu, B.J.; El-Seedi, H.R.; Wang, B.; Huang, R.M. Sulfated heteropolysaccharides from Undaria pinnatifida: Structural characterization and transcript-metabolite profiling of immunostimulatory effects on RAW264.7 cells. Food Chem. X 2022, 13, 100251. [Google Scholar] [CrossRef]
- Sharma, R.; Kumar, S.; Kapoor, S.; Padwad, Y.; Kumar, D. Nuclear magnetic resonance-based metabolomics and cytotoxicity (HT-29 and HCT-116 cell lines) studies insight the potential of less utilized parts of Camellia sinensis (Kangra tea). Food Chem. 2022, 373, 131561. [Google Scholar] [CrossRef] [PubMed]
- Li, J.W.; Zhang, Z.B.; Zhang, S.B. Widely targeted metabolic, physical and anatomical analyses reveal diverse defensive strategies for pseudobulbs and succulent roots of orchids with industrial value. Ind. Crop. Prod. 2022, 177, 114510. [Google Scholar] [CrossRef]
- Li, H.Y.; Lv, Q.Y.; Liu, A.; Wang, J.R.; Sun, X.Q.; Deng, J.; Chen, Q.F.; Wu, Q. Comparative metabolomics study of Tartary (Fagopyrum tataricum (L.) Gaertn) and common (Fagopyrum esculentum Moench) buckwheat seeds. Food Chem. 2022, 371, 131125. [Google Scholar] [CrossRef]
- Chen, F.; Deng, Z.Y.; Zhang, B.; Xiong, Z.X.; Zheng, S.L.; Tan, C.L.; Hu, J.N. Esterification of Ginsenoside Rh2 Enhanced Its Cellular Uptake and Antitumor Activity in Human HepG2 Cells. J. Agric. Food Chem. 2016, 64, 253–261. [Google Scholar] [CrossRef]





Disclaimer/Publisher’s Note: The statements, opinions and data contained in all publications are solely those of the individual author(s) and contributor(s) and not of MDPI and/or the editor(s). MDPI and/or the editor(s) disclaim responsibility for any injury to people or property resulting from any ideas, methods, instructions or products referred to in the content. |
© 2024 by the authors. Licensee MDPI, Basel, Switzerland. This article is an open access article distributed under the terms and conditions of the Creative Commons Attribution (CC BY) license (https://creativecommons.org/licenses/by/4.0/).
Share and Cite
Zhang, J.; Niu, P.; Li, M.; Wang, Y.; Ma, Y.; Wang, P. Phytochemical Profiling and Biological Activities of Pericarps and Seeds Reveal the Controversy on “Enucleation” or “Nucleus-Retaining” of Cornus officinalis Fruits. Molecules 2024, 29, 1473. https://doi.org/10.3390/molecules29071473
Zhang J, Niu P, Li M, Wang Y, Ma Y, Wang P. Phytochemical Profiling and Biological Activities of Pericarps and Seeds Reveal the Controversy on “Enucleation” or “Nucleus-Retaining” of Cornus officinalis Fruits. Molecules. 2024; 29(7):1473. https://doi.org/10.3390/molecules29071473
Chicago/Turabian StyleZhang, Jinyi, Po Niu, Mingjie Li, Yuan Wang, Yao Ma, and Pan Wang. 2024. "Phytochemical Profiling and Biological Activities of Pericarps and Seeds Reveal the Controversy on “Enucleation” or “Nucleus-Retaining” of Cornus officinalis Fruits" Molecules 29, no. 7: 1473. https://doi.org/10.3390/molecules29071473
APA StyleZhang, J., Niu, P., Li, M., Wang, Y., Ma, Y., & Wang, P. (2024). Phytochemical Profiling and Biological Activities of Pericarps and Seeds Reveal the Controversy on “Enucleation” or “Nucleus-Retaining” of Cornus officinalis Fruits. Molecules, 29(7), 1473. https://doi.org/10.3390/molecules29071473
