Reflections on a Copenhagen–Minneapolis Axis in Bioorganic Chemistry
Abstract
1. Introduction
2. Motivations
3. Orthogonal Chemistry
4. Dithiasuccinoyl (Dts) Chemistry: Synthesis and Mechanisms
5. Dithiasuccinoyl (Dts) Chemistry: Thiolytic Deprotection and Applications to SPPS
6. Invention of PEG–PS Graft Resin Supports for SPPS and Other Applications
7. A Watershed Visit
8. Invention of PEGA Resin for SPPS and Other Applications31
9. Dts Chemistry in the Service of Glycopeptide Synthesis
10. Additional Results in Glycopeptide Synthesis (Minneapolis)34
11. Invention of Further PEG-Based Supports for SPPS and Other Applications
12. Dts Chemistry in the Service of PNA Synthesis
13. Peptides for the New Millennium: Minneapolis 1999
14. Summary and Conclusions
Author Contributions
Funding
Institutional Review Board Statement
Informed Consent Statement
Data Availability Statement
Acknowledgments
Conflicts of Interest
Abbreviations
References
- The Nobel Foundation: Morten Meldal Biographical. Available online: https://www.nobelprize.org/prizes/chemistry/2022/meldal/biographical/ (accessed on 29 October 2023).
- The Royal Swedish Academy of Sciences: The Nobel Prize in Chemistry 2022. Available online: https://www.nobelprize.org/prizes/chemistry/2022/summary/ (accessed on 24 October 2023).
- Tornøe, C.W.; Meldal, M. Peptidotriazoles: Copper(I)-Catalyzed 1,3-Dipolar Cycloadditions on Solid-Phase. In Peptides: The Wave of the Future. Proceedings of the Seventeenth American Peptide Symposium; Lebl, M., Houghten, R.A., Eds.; American Peptide Society and Kluwer: Dordrecht, The Netherlands, 2001; pp. 263–264. [Google Scholar]
- Tornøe, C.W.; Christensen, C.; Meldal, M. Peptidotriazoles on Solid Phase: [1,2,3]-Triazoles by Regiospecific Copper(I)-Catalyzed 1,3-Dipolar Cycloadditions of Terminal Alkynes to Azides. J. Org. Chem. 2002, 67, 3057–3064. [Google Scholar] [CrossRef] [PubMed]
- Meldal, M.; Tornøe, C.W.; Nielsen, T.E.; Diness, F.; Le Quement, S.T.; Christensen, C.A.; Jensen, J.F.; Worm-Leonhard, K.; Groth, T.; Bouakaz, L.; Wu, B.; Hagel, G.; Keinicke, L. Ralph F. Hirschmann Award Address 2009: Merger of Organic Chemistry with Peptide Diversity. Pept. Sci. 2010, 94, 161–182. [Google Scholar] [CrossRef] [PubMed]
- The Royal Swedish Academy of Sciences: The Nobel Prize in Chemistry 1984. Available online: https://www.nobelprize.org/prizes/chemistry/1984/press-release/ (accessed on 24 October 2023).
- Merrifield, R.B. Solid Phase Synthesis (Nobel Lecture). Angew. Chem. Int. Ed. Engl. 1985, 24, 799–810. [Google Scholar] [CrossRef]
- Merrifield, R.B. Solid Phase Synthesis. Science 1986, 232, 341–347. [Google Scholar] [CrossRef]
- Barany, G.; Merrifield, R.B. A New Amino Protecting Group Removable by Reduction. Chemistry of the Dithiasuccinoyl (Dts) Function. J. Am. Chem. Soc. 1977, 99, 7363–7365. [Google Scholar] [CrossRef] [PubMed]
- Merrifield, R.B.; Barany, G.; Cosand, W.L.; Engelhard, M.; Mojsov, S. Some Recent Developments in Solid Phase Peptide Synthesis. In Peptides: Proceedings of the Fifth American Peptide Symposium; Goodman, M., Meienhofer, J., Eds.; John Wiley and Sons: New York, NY, USA, 1977; pp. 488–502. [Google Scholar]
- Kemp, D.S.; Roberts, D.; Hoyng, C.; Grattan, J.; Vellaccio, F.; Reczek, J. New Approaches to Peptide Synthesis. In Peptides: Chemistry, Structure and Biology. Proceedings of the Fourth American Peptide Symposium; Walter, R., Meienhofer, J., Eds.; Ann Arbor Science Publishers: Ann Arbor, MI, USA, 1975; pp. 295–305. [Google Scholar]
- Barany, G.; Merrifield, R.B. Solid-Phase Peptide Synthesis. In The Peptides; Gross, E., Meienhofer, J., Eds.; Academic Press: New York, NY, USA, 1979; Volume 2, pp. 1–284. [Google Scholar]
- Barany, G.; Albericio, F. A Three-Dimensional Orthogonal Protection Scheme for Solid-Phase Peptide Synthesis under Mild Conditions. J. Am. Chem. Soc. 1985, 107, 4936–4942. [Google Scholar] [CrossRef]
- The Royal Swedish Academy of Sciences: The Nobel Prize in Chemistry 1961. Available online: https://www.nobelprize.org/prizes/chemistry/1961/summary/ (accessed on 24 October 2023).
- Calvin, M. The Path of Carbon in Photosynthesis (Nobel Lecture, December 11, 1961). In Nobel Lectures–Chemistry–Including Presentation Speeches and Laureates’ Biographies, 1942–1962; Elsevier: Amsterdam, The Netherlands, 1964; pp. 618–644. [Google Scholar]
- Larsen, B.D.; Christensen, D.H.; Holm, A.; Zillmer, R.; Faurskov Nielsen, O. The Merrifield Synthesis Studied by Near-Infrared Fourier-Transform Raman Spectroscopy. J. Am. Chem. Soc. 1993, 115, 6247–6253. [Google Scholar] [CrossRef]
- Høeg-Jensen, T.; Olsen, C.E.; Holm, A. Thioacylation Achieved by Activation of Monothiocarboxylic Acid with Phosphorus Reagents. J. Org. Chem. 1994, 59, 1257–1263. [Google Scholar] [CrossRef]
- Larsen, B.D.; Holm, A. Incomplete Fmoc Deprotection in Solid-Phase Peptide Synthesis. Int. J. Pept. Prot. Res. 1994, 43, 1–9. [Google Scholar] [CrossRef]
- Østergaard, S.; Holm, A. Peptomers: A Versatile Approach for the Preparation of Diverse Combinatorial Peptidomimetic Bead Libraries. Mol. Div. 1997, 3, 17–27. [Google Scholar] [CrossRef]
- Rønn, L.C.; Olsen, M.; Østergaard, S.; Kiselyov, V.; Berezin, V.; Mortensen, M.T.; Lerche, M.H.; Jensen, P.H.; Soroka, V.; Saffell, J.L.; Doherty, P.; Poulsen, F.M.; Bock, E.; Holm, A. Identification of a Neuritogenic Ligand of the Neural Cell Adhesion Molecule Using A Combinatorial Library of Synthetic Peptides. Nat. Biotech. 1999, 17, 1000–1005. [Google Scholar] [CrossRef] [PubMed]
- Berg, R.H.; Amdal, K.; Pedersen, W.B.; Holm, A.; Tam, J.P.; Merrifield, R.B. Long-Chain Polystyrene-Grafted Polyethylene Film Matrix: A New Support for Solid-Phase Peptide Synthesis. J. Am. Chem. Soc. 1989, 111, 8024–8026. [Google Scholar] [CrossRef]
- Holm, A.; Meldal, M. Multiple Column Peptide Synthesis. In Peptides 1988: Proceedings of the 20th European Peptide Symposium; Jung, G., Bayer, E., Eds.; Walter de Gruyter & Co.: Berlin, Germany, 1989; pp. 208–210. [Google Scholar]
- Meldal, M.; Holm, B.C.; Bojesen, G.; Jakobsen, M.H.; Holm, A. Multiple Column Peptide Synthesis, Part 2. Int. J. Pept. Prot. Res. 1993, 41, 250–260. [Google Scholar] [CrossRef] [PubMed]
- Oddo, A.; Münzker, L.; Hansen, P.R. Peptide Macrocycles Featuring a Backbone Secondary Amine: A Convenient Strategy for the Synthesis of Lipidated Cyclic and Bicyclic Peptides on Solid Support. Org. Lett. 2015, 17, 2502–2505. [Google Scholar] [CrossRef] [PubMed]
- Oddo, A.; Thomsen, T.T.; Kjelstrup, S.; Gorey, C.; Franzyk, H.; Frimodt-Møller, N.; Løbner-Olesen, A.; Hansen, P.R. An Amphipathic Undecapeptide with All-d Amino Acids Shows Promising Activity against Colistin-Resistant Strains of Acinetobacter baumannii and a Dual Mode of Action. Antimicrob. Agents Chemother. 2016, 60, 592–599. [Google Scholar] [CrossRef]
- Molchanova, N.; Wang, H.; Hansen, P.R.; Høiby, N.; Nielsen, H.M.; Franzyk, H. Antimicrobial Activity of α-Peptide/β-Peptoid Lysine-Based Peptidomimetics Against Colistin-Resistant Pseudomonas aeruginosa Isolated from Cystic Fibrosis Patients. Front. Microbiol. 2019, 10, 275. [Google Scholar] [CrossRef]
- Thomsen, T.T.; Mendel, H.C.; Al-Mansour, W.; Oddo, A.; Løbner-Olesen, A.; Hansen, P.R. Analogues of a Cyclic Antimicrobial Peptide with a Flexible Linker Show Promising Activity against Pseudomonas aeruginosa and Staphylococcus aureus. Antibiotics 2020, 9, 366. [Google Scholar] [CrossRef]
- Andersen, I.K.L.; Thomsen, T.T.; Rashid, J.; Bobak, T.R.; Oddo, A.; Franzyk, H.; Løbner-Olesen, A.; Hansen, P.R. C-Locked Analogs of the Antimicrobial Peptide BP214. Antibiotics 2022, 11, 1080. [Google Scholar] [CrossRef]
- Trier, N.; Hansen, P.; Houen, G. Peptides, Antibodies, Peptide Antibodies and More. Int. J. Mol. Sci. 2019, 20, 6289. [Google Scholar] [CrossRef]
- Fanelli, I.; Rovero, P.; Hansen, P.R.; Frederiksen, J.; Houen, G.; Trier, N.H. Specificity of Anti-Citrullinated Protein Antibodies to Citrullinated α-Enolase Peptides as a Function of Epitope Structure and Composition. Antibodies 2021, 10, 27. [Google Scholar] [CrossRef]
- Franzyk, H.; Meldal, M.; Paulsen, H.; Bock, K. Synthesis of aliphatic O-dimannosyl amino acid building blocks for solid-phase assembly of glycopeptide libraries. J. Chem. Soc. Perkin Trans. 1 1995, 2883–2898. [Google Scholar] [CrossRef]
- Franzyk, H.; Meldal, M.; Paulsen, H.; Thiel, S.; Jensenius, J.C.; Bock, K. Glycopeptide mimics of mammalian Man9GlcNAc2. Ligand binding to mannan-binding proteins (MBPs). Bioorg. Med. Chem. 1996, 4, 1881–1899. [Google Scholar] [CrossRef] [PubMed]
- Franzyk, H.; Christensen, M.K.; Jørgensen, R.M.; Meldal, M.; Cordes, H.; Mouritsen, S.; Bock, K. Constrained glycopeptide ligands for MPRs. Limitations of unprotected phosphorylated building blocks. Bioorg. Med. Chem. 1997, 5, 21–40. [Google Scholar] [CrossRef]
- Gutte, B.; Merrifield, R.B. The Synthesis of Ribonuclease A. J. Biol. Chem. 1971, 246, 1922–1941. [Google Scholar] [CrossRef] [PubMed]
- Merrifield, R.B. Solid Phase Peptide Synthesis. I. The Synthesis of a Tetrapeptide. J. Am. Chem. Soc. 1963, 85, 2149–2154. [Google Scholar] [CrossRef]
- Barany, G.; Merrifield, R.B. An ATP-Binding Peptide. Cold Spring Harb. Symp. Quant. Biol. 1973, 37, 121–125. [Google Scholar] [CrossRef]
- Hughes, L. Harlem (Dream Deferred). Available online: https://poets.org/poem/harlem-0 (accessed on 26 October 2023).
- Carpino, L.A. Oxidative Reactions of Hydrazines. II. Isophthalimides. New Protective Groups on Nitrogen. J. Am. Chem. Soc. 1957, 79, 98–101. [Google Scholar] [CrossRef]
- McKay, F.C.; Albertson, N.F. New Amine-masking Groups for Peptide Synthesis. J. Am. Chem. Soc. 1957, 79, 4686–4690. [Google Scholar] [CrossRef]
- Anderson, G.W.; McGregor, A.C. t-Butyloxycarbonylamino Acids and Their Use in Peptide Synthesis. J. Am. Chem. Soc. 1957, 79, 6180–6183. [Google Scholar] [CrossRef]
- Mitchell, A.R.; Erickson, B.W.; Ryabtsev, M.N.; Hodges, R.S.; Merrifield, R.B. tert-Butoxycarbonylaminoacyl-4-(oxymethyl)phenylacetamidomethyl-resin, a More Acid-Resistant Support for Solid-Phase Peptide Synthesis. J. Am. Chem. Soc. 1976, 98, 7357–7362. [Google Scholar] [CrossRef]
- Barany, G.; Knieb-Cordonier, N.; Mullen, D.G. Solid-Phase Peptide Synthesis: A Silver Anniversary Report. Int. J. Pept. Prot. Res. 1987, 30, 705–739. [Google Scholar] [CrossRef]
- Barany, G.; Merrifield, R.B. Kinetics and Mechanism of the Thiolytic Removal of the Dithiasuccinoyl (Dts) Amino Protecting Group. J. Am. Chem. Soc. 1980, 102, 3084–3095. [Google Scholar] [CrossRef]
- Albericio, F.; Barany, G. Mild, orthogonal solid-phase peptide synthesis: Use of Na-dithiasuccinoyl (Dts) amino acids and N-(iso-propyldithio)carbonylproline, together with p-alkoxybenzyl ester anchoring linkages. Int. J. Pept. Prot. Res. 1987, 30, 177–205. [Google Scholar] [CrossRef]
- Barany, G. The Explicit Analysis of Consecutive Pseudo-First-Order Reactions: Application to Kinetics of Thiolysis of Dithiasuccinoyl (Dts) Amino Acids. Anal. Biochem. 1980, 109, 114–122. [Google Scholar] [CrossRef]
- Barany, G.; Merrifield, R.B. A Chromatographic Method for the Quantitative Analysis of the Deprotection of Dithiasuccinoyl (Dts) Amino Acids. Anal. Biochem. 1979, 95, 160–170. [Google Scholar] [CrossRef]
- Rich, D.H.; Gurwara, S.K. Preparation of a New o-Nitrobenzyl Resin for Solid-Phase Synthesis of tert-Butyloxycarbonyl-Protected Peptide Acids. J. Am. Chem. Soc. 1975, 97, 1575–1579. [Google Scholar] [CrossRef] [PubMed]
- Hammer, R.P.; Albericio, F.; Gera, L.; Barany, G. Practical approach to solid-phase synthesis of C-terminal peptide amides under mild conditions based on a photolysable anchoring linkage. Int. J. Pept. Prot. Res. 1990, 36, 31–45. [Google Scholar] [CrossRef] [PubMed]
- Carpino, L.A.; Han, G.Y. The 9-Fluorenylmethoxycarbonyl Function, a New Base Sensitive Amino-Protecting Group. J. Am. Chem. Soc. 1970, 92, 5748–5749. [Google Scholar] [CrossRef]
- Carpino, L.A.; Han, G.Y. The 9-Fluorenylmethoxycarbonyl Amino-Protecting Group. J. Org. Chem. 1972, 37, 3404–3409. [Google Scholar] [CrossRef]
- Atherton, E.; Sheppard, R.C. Solid Phase Peptide Synthesis: A Practical Approach; IRL Press: Oxford, UK, 1989. [Google Scholar]
- Loffet, A.; Zhang, H.X. New Side-Chain Protection of Amino-Acids: Potential Use in SPPS. In Innovations and Perspectives in Solid Phase Synthesis and Related Technologies: Peptides, Polypeptides and Oligonucleotides 1992; Epton, R., Ed.; Intercept: Andover, UK, 1992; pp. 77–82. [Google Scholar]
- Kates, S.A.; Solé, N.A.; Johnson, C.R.; Hudson, D.; Barany, G.; Albericio, F. A Novel Convenient, Three-Dimensional Orthogonal Strategy for Solid-Phase Synthesis of Cyclic Peptides. Tetrahedron Lett. 1993, 34, 1549–1552. [Google Scholar] [CrossRef]
- Schroll, A.L.; Barany, G. A New Protecting Group for the Sulfhydryl Function of Cysteine. J. Org. Chem. 1989, 54, 244–247. [Google Scholar] [CrossRef]
- Chen, L.; Zoulíková, I.; Slaninová, J.; Barany, G. Synthesis and Pharmacology of Novel Analogues of Oxytocin and Deamiooxytocin: Directed Methods for the Construction of Disulfide and Trisulfide Bridges in Peptides. J. Med. Chem. 1997, 40, 864–876. [Google Scholar] [CrossRef]
- Veber, D.F.; Milkowski, J.D.; Varga, S.L.; Denkewalter, R.G.; Hirschmann, R. Acetamidomethyl. A Novel Protection Group for Cysteine. J. Am. Chem. Soc. 1972, 94, 5456–5461. [Google Scholar] [CrossRef]
- Albericio, F.; Barany, G. An acid-labile anchoring linkage for solid-phase synthesis of C-terminal peptide amides under mild conditions. Int. J. Pept. Prot. Res. 1987, 30, 206–216. [Google Scholar] [CrossRef]
- Albericio, F.; Kneib-Cordonier, N.; Biancalana, S.; Gera, L.; Masada, R.I.; Hudson, D.; Barany, G. Preparation and application of the 5-(4-(9-fluorenylmethyloxycarbonyl)aminomethyl-3,5-dimethoxyphenoxy)-valeric acid (PAL) handle for the solid-phase synthesis of C-terminal peptide amides under mild conditions. J. Org. Chem. 1990, 55, 3730–3743. [Google Scholar] [CrossRef]
- Jensen, K.J.; Alsina, J.; Songster, M.F.; Vágner, J.; Albericio, F.; Barany, G. Backbone Amide Linker (BAL) Strategy for Solid-Phase Synthesis of C-Terminal-Modified and Cyclic Peptides. J. Am. Chem. Soc. 1998, 120, 5441–5452. [Google Scholar] [CrossRef]
- Alsina, J.; Yokum, T.S.; Albericio, F.; Barany, G. Backbone Amide Linker (BAL) Strategy for Na-9-Fluorenylmethoxycarbonyl (Fmoc) Solid-Phase Synthesis of Unprotected Peptide p-Nitroanilides and Thioesters. J. Org. Chem. 1999, 64, 8761–8769. [Google Scholar] [CrossRef] [PubMed]
- Alsina, J.; Jensen, K.J.; Albericio, F.; Barany, G. Solid-Phase Synthesis with Tris(alkoxy)benzyl Backbone Amide Linkage (BAL). Chem. A Eur. J. 1999, 5, 2787–2795. [Google Scholar] [CrossRef]
- Alsina, J.; Yokum, T.S.; Albericio, F.; Barany, G. A modified Backbone Amide Linker (BAL) solid-phase peptide synthesis strategy accommodating prolyl, N-alkylamino acyl, or histidyl derivatives at the C-Terminus. Tetrahedron Lett. 2000, 41, 7277–7280. [Google Scholar] [CrossRef]
- Kent, S.B.H. Chemical Synthesis of Peptides and Proteins. Ann. Rev. Biochem. 1988, 57, 957–989. [Google Scholar] [CrossRef] [PubMed]
- Chan, W.C.; White, P.E. (Eds.) Fmoc Solid Phase Peptide Synthesis: A Practical Approach; Oxford University Press: New York, NY, USA, 2000. [Google Scholar]
- Fields, G.B.; Lauer-Fields, J.L.; Liu, R.; Barany, G. Principles and Practice of Solid-Phase Peptide Synthesis. In Synthetic Peptides: A User’s Guide (G.A. Grant, ed.), 2nd ed.; Invited Review Article (Update of 1992 Chapter); W.H. Freeman & Co.: New York, NY, USA, 2002; pp. 93–219. [Google Scholar]
- Jensen, K.J.; Shelton, P.T.; Pedersen, S.L. (Eds.) Peptide Synthesis and Applications, 2nd ed.; Humana Press: Totowa, NJ, USA, 2013; Volume 1047. [Google Scholar]
- Hansen, P.R.; Oddo, A. Fmoc Solid-Phase Peptide Synthesis. In Peptide Antibodies: Methods and Protocols; Houen, G., Ed.; Humana Press: Totowa, NJ, USA, 2015; pp. 33–50. [Google Scholar]
- Albericio, F.; Barany, G. Application of N,N-dimethylformamide dineopentyl acetal for efficient anchoring of Nα-9-fluorenylmethyloxycarbonylamino acids as p-alkoxybenzyl esters in solid-phase peptide synthesis. Int. J. Pept. Prot. Res. 1984, 23, 342–349. [Google Scholar] [CrossRef]
- Albericio, F.; Barany, G. Improved approach for anchoring Nα-9-fluorenylmethyloxycarbonylamino acids as p-alkoxybenzyl esters in solid-phase peptide synthesis. Int. J. Pept. Prot. Res. 1985, 26, 92–97. [Google Scholar] [CrossRef]
- Albericio, F.; Van Abel, R.; Barany, G. Solid-Phase Synthesis of peptides with C-terminal asparagine or glutamine. An effective, mild procedure based on Nα-fluorenylmethyloxycarbonyl (Fmoc) protection and side-chain anchoring to a tris(alkoxy)benzylamide (PAL) handle. Int. J. Pept. Prot. Res. 1990, 35, 284–286. [Google Scholar] [CrossRef]
- Kneib-Cordonier, N.; Albericio, F.; Barany, G. Orthogonal solid-phase synthesis of human gastrin-I under mild conditions. Int. J. Pept. Prot. Res. 1990, 35, 527–538. [Google Scholar] [CrossRef]
- Albericio, F.; Barany, G. Hypersensitive Acid-Labile (HAL) Tris(alkoxy)Benzyl Ester Anchoring for Solid-Phase Synthesis of Protected Peptide Segments. Tetrahedron Lett. 1991, 32, 1015–1018. [Google Scholar] [CrossRef]
- Solé, N.A.; Barany, G. Optimization of Solid-Phase Peptide Synthesis of [Ala8]-dynorphin A. J. Org. Chem. 1992, 57, 5399–5403. [Google Scholar] [CrossRef]
- Ferrer, M.; Woodward, C.; Barany, G. Solid-phase synthesis of bovine pancreatic trypsin inhibitor (BPTI) and two analogues. A chemical approach for evaluating the role of disulfide bridges in protein folding and stability. Int. J. Pept. Prot. Res. 1992, 40, 194–207. [Google Scholar] [CrossRef]
- Barany, G. Orthogonal Solid-Phase Peptide Synthesis. In Peptides 2015: Proceedings of the Twenty-Fourth American Peptide Symposium; Srivastava, V., Yudin, A.M., Lebl, M., Eds.; Prompt Scientific Publishing: San Diego, CA, USA, 2015; pp. 1–8. [Google Scholar]
- Corey, E.J.; Venkateswarlu, A. Protection of Hydroxyl Groups as tert-Butyldimethylsilyl Derivatives. J. Am. Chem. Soc. 1972, 94, 6190–6191. [Google Scholar] [CrossRef]
- The Royal Swedish Academy of Sciences: The Nobel Prize in Chemistry 1972. Available online: https://www.nobelprize.org/prizes/chemistry/1972/summary/ (accessed on 25 October 2023).
- Brown, J.M. Ronald Charles David Breslow. 14 March 1931—25 October 2017. Biogr. Mem. Fellows R. Soc. 2019, 66, 53–77. [Google Scholar] [CrossRef]
- Wong, C.-H.; Zimmerman, S.C. Orthogonality in Organic, Polymer, and Supramolecular Chemistry: From Merrifield to Click Chemistry. Chem. Commun. 2013, 49, 1679–1695. [Google Scholar] [CrossRef] [PubMed]
- Kolb, H.C.; Finn, M.G.; Sharpless, K.B. Click Chemistry: Diverse Chemical Function from a Few Good Reactions. Angew. Chem. Int. Ed. Engl. 2001, 40, 2004–2021. [Google Scholar] [CrossRef] [PubMed]
- Sletten, E.M.; Bertozzi, C.R. Bioorthogonal Chemistry: Fishing for Selectivity in a Sea of Functionality. Angew. Chem. Int. Ed. Engl. 2009, 48, 6974–6998. [Google Scholar] [CrossRef] [PubMed]
- Dawson, P.E.; Muir, T.W.; Clark-Lewis, I.; Kent, S.B.H. Synthesis of Proteins by Native Chemical Ligation. Science 1994, 266, 776–779. [Google Scholar] [CrossRef] [PubMed]
- Rose, K. Facile Synthesis of Homogenous Artificial Proteins. J. Am. Chem. Soc. 1994, 116, 30–33. [Google Scholar] [CrossRef]
- Liu, C.F.; Tam, J.P. Chemical Ligation Approach to Form a Peptide Bond between Unprotected Peptide Segments. Concept and Model Study. J. Am. Chem. Soc. 1994, 116, 4149–4153. [Google Scholar] [CrossRef]
- Carulla, N.; Woodward, C.; Barany, G. Toward New Designed Proteins Derived from Bovine Pancreatic Trypsin Inhibitor (BPTI): Covalent Cross-Linking of Two ‘Core Modules’ by Oxime-Forming Ligation. Bioconjug. Chem. 2001, 12, 726–741. [Google Scholar] [CrossRef]
- Bednarek, C.; Wehl, I.; Jung, N.; Schepers, U.; Bräse, S. The Staudinger Ligation. Chem. Rev. 2020, 120, 4301–4354. [Google Scholar] [CrossRef]
- Means, G.E.; Feeny, R.E. Chemical Modification of Proteins; Holden Day: San Francisco, CA, USA, 1971. [Google Scholar]
- Means, G.E.; Feeney, R.E. Chemical Modifications of Proteins: History and Applications. Bioconjug. Chem. 1990, 1, 2–12. [Google Scholar] [CrossRef]
- Zumach, G.; Kühle, E. Chlorosulfenylated Carbonic Acid Derivatives. Angew. Chem. Int. Ed. Engl. 1970, 9, 54–63. [Google Scholar] [CrossRef]
- Cros, E.; Planas, M.; Barany, G.; Bardají, E. N-Tetrachlorophthaloyl (TCP) Protection for Solid-Phase Peptide Synthesis. Eur. J. Org. Chem. 2004, 3633–3642. [Google Scholar] [CrossRef]
- Kocieński, P.J. Protecting Groups, 3rd ed.; Georg Thieme Verlag: Stuttgart, Germany, 2005. [Google Scholar]
- Isidro-Llobet, A.; Álvarez, M.; Albericio, F. Amino Acid-Protecting Groups. Chem. Rev. 2009, 109, 2455–2504. [Google Scholar] [CrossRef]
- Wuts, P.G.M. Greene’s Protective Groups in Organic Synthesis; John Wiley & Sons, Inc.: Hobooken, NJ, USA, 2014. [Google Scholar]
- Barany, G.; Fulpius, B.W.; King, T.P. Convenient New Procedures for the Synthesis of Ethoxythiocarbonyl Derivatives of Amino Acids. J. Org. Chem. 1978, 43, 2930–2932. [Google Scholar] [CrossRef]
- Chen, L.; Thompson, T.R.; Hammer, R.P.; Barany, G. Synthetic, Mechanistic, and Structural Studies Related to 1,2,4-Dithiazolidine-3,5-dione. J. Org. Chem. 1996, 61, 6639–6645. [Google Scholar] [CrossRef] [PubMed]
- Wood, M.E.; Cane-Honeysett, D.J.; Dowle, M.D.; Coles, S.J.; Hursthouse, M.B. Synthetic and Structural Studies on 1,2,4-Dithiazolidine-3,5-Dione Derivatives. Org. Biomol. Chem. 2003, 1, 3015–3023. [Google Scholar] [CrossRef] [PubMed]
- Barany, M.J.; Hammer, R.P.; Merrifield, R.B.; Barany, G. Efficient Synthesis of 1,2,4-Dithiazolidine-3,5-diones [Dithiasuccinoyl-Amines] from Bis(chlorocarbonyl)disulfane Plus Bis(trimethylsilyl)amines. J. Am. Chem. Soc. 2005, 127, 508–509. [Google Scholar] [CrossRef] [PubMed]
- Kobayashi, N.; Osawa, A.; Fujisawa, T. Synthesis and Some Reactions of Dithiobis(Carbonyl Chloride). Chem. Lett. 1973, 2, 1315–1318. [Google Scholar] [CrossRef]
- Barany, G.; Schroll, A.L.; Mott, A.W.; Halsrud, D.A. A General Strategy for Elaboration of the Dithiocarbonyl Functionality, –(C=O)SS–: Application to the Synthesis of Bis(Chlorocarbonyl)Disulfane and Related Derivatives of Thiocarbonic Acids. J. Org. Chem. 1983, 48, 4750–4761. [Google Scholar] [CrossRef]
- Słomczyńska, U.; Barany, G. Efficient Synthesis of 1,2,4-Dithiazolidine-3,5-diones (Dithiasuccinoyl-amines) and Observations on Formation of 1,2,4-Thiadiazolidine-3,5-Diones by Related Chemistry. J. Het. Chem. 1984, 21, 241–246. [Google Scholar] [CrossRef]
- Zalipsky, S.; Albericio, F.; Słomczyńska, U.; Barany, G. A convenient general method for synthesis of Nα- or Nω-dithiasuccinoyl (Dts) amino acids and dipeptides: Application of polyethylene glycol as a carrier for functional purification. Int. J. Pept. Protein Res. 1987, 30, 740–783. [Google Scholar] [CrossRef]
- Barany, G.; Britton, D.; Chen, L.; Hammer, R.P.; Henley, M.J.; Schrader, A.M.; Young, V.G., Jr. Unexpectedly Stable (Chlorocarbonyl)(N-ethoxycarbonylcarbamoyl)disulfane, and Related Compounds That Model the Zumach–Weiss–Kühle (ZWK) Reaction for Synthesis of 1,2,4-Dithiazolidine-3,5-diones. J. Org. Chem. 2015, 80, 11313–11321. [Google Scholar] [CrossRef]
- Barany, G.; Mott, A.W. Chemistry of Bis(alkoxycarbonyl)polysulfanes and Related Compounds. J. Org. Chem. 1984, 49, 1043–1051. [Google Scholar] [CrossRef]
- Denkewalter, R.G.; Schwam, H.; Strachan, R.G.; Beesley, T.E.; Veber, D.F.; Schoenewaldt, E.F.; Barkemeyer, H.; Paleveda, W.J., Jr.; Jacob, T.A.; Hirschmann, R. The Controlled Synthesis of Peptides in Aqueous Medium. I. The Use of α-Amino Acid N-Carboxyanhydrides. J. Am. Chem. Soc. 1966, 88, 3163–3164. [Google Scholar] [CrossRef]
- Blacklock, T.J.; Hirschmann, R.; Veber, D.F. The Preparation and Use of N-Carboxyanhydrides and N-Thicarboxyanhydrides for Peptide Bond Formation. In Peptides; Udenfriend, S., Meienhofer, J., Eds.; Academic Press: New York, NY, USA, 1987; Volume 9, pp. 39–102. [Google Scholar]
- Dewey, R.S.; Schoenewaldt, E.F.; Joshua, H.; Paleveda, W.J., Jr.; Schwam, H.; Barkemeyer, H.; Arison, B.H.; Veber, D.F.; Denkewalter, R.G.; Hirschmann, R. Synthesis of Peptides in Aqueous Medium. V. Preparation and Use of 2,5-Thiazolidinediones (NTA’s). Use of the 13C–H Nuclear Magnetic Resonance Signal as Internal Standard for Quantitative Studies. J. Am. Chem. Soc. 1968, 90, 3254–3255. [Google Scholar] [CrossRef]
- Barany, G. Chemistry of carbamoyl disulfide protected derivatives of proline. Int. J. Pept. Prot. Res. 1982, 19, 321–324. [Google Scholar] [CrossRef]
- Barany, G. Nα-Dithiasuccinoyl (Dts)-L-Phenylalanine. C11H9NO4S2. Cryst. Struct. Comm. 1982, 11, 913–928. [Google Scholar]
- Humphrey, R.E.; Potter, J.L. Reduction of Disulfides with Tributylphosphine. Anal. Chem. 1965, 37, 164–165. [Google Scholar] [CrossRef]
- Sweetman, B.J.; Maclaren, J.A. The Reduction of Wool Keratin by Tertiary Phosphines. Aust. J. Chem. 1966, 19, 2347–2354. [Google Scholar] [CrossRef]
- Levison, M.E.; Josephson, A.S.; Kirschenbaum, D.M. Reduction of Biological Substances by Water-Soluble Phosphines: Gamma-Globulin (Igg). Experientia 1969, 25, 126–127. [Google Scholar] [CrossRef] [PubMed]
- Rüegg, U.T.; Rudinger, J. Reduction of Insulin with Tributylphosphine. Isr. J. Chem. 1974, 12, 391–401. [Google Scholar] [CrossRef]
- Xu, Q.; Musier-Forsyth, K.; Hammer, R.P.; Barany, G. Use of 1,2,4-dithiazolidine-3,5-dione (DtsNH) and 3-ethoxy-1,2,4-dithiazoline-5-one (EDITH) for synthesis of phosphorothioate-containing oligodeoxyribonucleotides. Nucleic Acids Res. 1996, 24, 1602–1607. [Google Scholar] [CrossRef] [PubMed]
- Xu, Q.; Barany, G.; Hammer, R.P.; Musier-Forsyth, K. Efficient introduction of phosphorothioates into RNA oligonucleotides by 3-ethoxy-1,2,4-dithiazoline-5-one (EDITH). Nucleic Acids Res. 1996, 24, 3643–3644. [Google Scholar] [CrossRef]
- Chen, L.; Barany, G. N-Dithiasuccinoyl (Dts)-glycine: A novel oxidation reagent for the formation of intramolecular disulfide bridges under mild conditions. Lett. Pept. Sci. 1996, 3, 283–292. [Google Scholar] [CrossRef]
- Kaiser, E.; Colescott, R.L.; Bossinger, C.D.; Cook, P.I. Color Test for Detection of Free Terminal Amino Groups in the Solid-Phase Synthesis of Peptides. Anal. Biochem. 1970, 34, 595–598. [Google Scholar] [CrossRef]
- Kent, S.B.H.; Mitchell, A.R.; Barany, G.; Merrifield, R.B. Test for Racemization in Model Peptide Synthesis by Direct Chromatographic Separation of Diastereomers of the Tetrapeptide Leucylalanylglycylvaline. Anal. Chem. 1978, 50, 155–159. [Google Scholar] [CrossRef]
- Wünsch, E.; Moroder, L.; Nyfeler, R.; Jaeger, E. (Alkyldithio)carbonyl groups for protection of amino functions in peptide synthesis. Hoppe Seylers Z. Physiol. Chem. 1982, 363, 197–202. [Google Scholar]
- Meister, S.M.; Kent, S.B.H. Sequence-Dependent Coupling Problems in Stepwise Solid Phase Peptide Synthesis: Occurence, Mechanism, and Correction. In Peptides–Structure and Function: Proceedings of the Eighth American Peptide Symposium; Hruby, V.J., Rich, D.H., Eds.; Pierce Chemical Co.: Rockford, IL, USA, 1983; pp. 103–106. [Google Scholar]
- Dryland, A.; Sheppard, R.C. Peptide Synthesis. Part 8. A System for Solid-Phase Synthesis Under Low Pressure Continuous Flow Conditions. J. Chem. Soc. Perkin Trans. 1 1986, 125–137. [Google Scholar] [CrossRef]
- Merrifield, R.B.; Singer, J.; Chait, B.T. Mass Spectrometric Evaluation of Synthetic Peptides for Deletions and Insertions. Anal. Biochem. 1988, 174, 399–414. [Google Scholar] [CrossRef] [PubMed]
- Deber, C.M.; Lutek, M.K.; Heimer, E.P.; Felix, A.M. Conformational Origin of a Difficult Coupling in a Human Growth Hormone Releasing Factor Analog. Pept. Res. 1989, 2, 184–188. [Google Scholar] [PubMed]
- Bedford, J.; Hyde, C.; Johnson, T.; Jun, W.; Owen, D.; Quibell, M.; Sheppard, R.C. Amino acid structure and “difficult sequences” in solid phase peptide synthesis. Int. J. Pept. Prot. Res. 1992, 40, 300–307. [Google Scholar] [CrossRef] [PubMed]
- Coin, I.; Beyermann, M.; Bienert, M. Solid-phase peptide synthesis: From standard procedures to the synthesis of difficult sequences. Nat. Protoc. 2007, 2, 3247–3256. [Google Scholar] [CrossRef] [PubMed]
- Barany, G.; Albericio, F.; Kates, S.A.; Kempe, M. Poly(ethylene Glycol)-Containing Supports for Solid-Phase Synthesis of Peptides and Combinatorial Organic Libraries. In ACS Symposium Series 680. Poly(ethylene glycol): Chemistry and Biological Applications; Harris, J.M., Zalipsky, S., Eds.; American Chemical Society Books; American Chemical Society: Washington, DC, USA, 1997; pp. 239–264. [Google Scholar]
- Zalipsky, S.; Albericio, F.; Barany, G. Preparation and Use of an Aminoethyl Polyethylene Glycol-Crosslinked Polystyrene Graft Resin Support for Solid-Phase Peptide Synthesis. In Peptides-Structure and Function: Proceedings of the Ninth American Peptide Symposium; Deber, C.M., Hruby, V.J., Kopple, K.D., Eds.; Pierce Chemical Co.: Rockford, IL, USA, 1985; pp. 257–260. [Google Scholar]
- Butler, P.J.G.; Harris, J.I.; Hartley, B.S.; Leberman, R. The Use of Maleic Anhydride for the Reversible Blocking of Amino Groups in Polypeptide Chains. Biochem. J. 1969, 112, 679–689. [Google Scholar] [CrossRef]
- Zalipsky, S.; Barany, G. Preparation of Polyethylene Glycol Derivatives with Two Different Functional Groups at the Termini. Polym. Prepr. Am. Chem. Soc. Div. Polym. Chem. 1986, 27, 1–2. [Google Scholar]
- Zalipsky, S.; Chang, J.; Albericio, F.; Barany, G. Preparation and applications of polyethylene glycol-polystyrene graft resin supports for solid-phase peptide synthesis. React. Polym. 1994, 22, 243–258. [Google Scholar] [CrossRef]
- Gross, C.M.; Woodward, C.; Barany, G. Surveying the protein folding landscape: Equilibrium models for partially folded intermediates of bovine pancreatic trypsin inhibitor (BPTI). In Peptides–Frontiers of Peptide Science: Proceedings of the Fifteenth American Peptide Symposium; Tam, J.P., Kaumaya, P.T.P., Eds.; Springer: Dordrecht, The Netherlands, 1999; pp. 495–496. [Google Scholar]
- Bayer, E.; Hemmasi, B.; Albert, K.; Rapp, W.; Dengler, M. Immobilized Polyoxyethylene, a New Support for Peptide Synthesis, In Peptides: Structure and Function: Proceedings of the Eighth American Peptide Symposium; Hruby, V.J., Rich, D.H., Eds.; Pierce Chemical Co.: Rockford, IL, USA, 1983; pp. 87–90. [Google Scholar]
- Bayer, E.; Rapp, W. New Polymer Supports for Solid-Liquid-Phase Peptide Synthesis. In Chemistry of Peptides and Proteins; Voelter, W., Bayer, E., Ovchinikov, Y.A., Ivanov, V.T., Eds.; Walter de Gruyter & Co.: Berlin, Germany, 1986; Volume 3, pp. 3–8. [Google Scholar]
- Vágner, J.; Barany, G.; Lam, K.S.; Krchňák, V.; Sepetov, N.F.; Ostrem, J.A.; Štrop, P.; Lebl, M. Enzyme-mediated spatial segregation on individual polymeric support beads: Application to generation and screening of encoded combinatorial libraries. Proc. Natl. Acad. Sci. USA 1996, 93, 8194–8199. [Google Scholar] [CrossRef]
- Holter, H.; Max Møller, K. The Carlsberg Laboratory, 1876–1976; Carlsberg Foundation: Copenhagen, Denmark, 1976. [Google Scholar]
- Edsall, J.T. Researches in Denmark. Science 1978, 200, 669–670. [Google Scholar] [CrossRef] [PubMed]
- Meldal, M. PEGA: A Flow Stable Polyethylene Glycol Dimethyl Acrylamide Copolymer for Solid Phase Synthesis. Tetrahedron Lett. 1992, 33, 3077–3080. [Google Scholar] [CrossRef]
- Renil, M.; Meldal, M. Synthesis and Application of a PEGA Polymeric Support for High Capacity Continuous Flow Solid-Phase Peptide Synthesis. Tetrahedron Lett. 1995, 36, 4647–4650. [Google Scholar] [CrossRef]
- Rink, H. Solid-Phase Synthesis of Protected Peptide Fragments Using a Trialkoxy-Diphenyl-Methylester Resin. Tetrahedron Lett. 1987, 28, 3787–3790. [Google Scholar] [CrossRef]
- Cameron, L.; Meldal, M.; Sheppard, R.C. Feedback control in organic synthesis. A system for solid phase peptide synthesis with true automation. J. Chem. Soc. Chem. Commun. 1987, 270–272. [Google Scholar] [CrossRef]
- Meldal, M.; Auzanneau, F.-I.; Hindsgaul, O.; Palcic, M.M. A PEGA Resin for use in the Solid-phase Chemical-Enzymatic Synthesis of Glycopeptides. J. Chem. Soc. Chem. Commun. 1994, 1849–1850. [Google Scholar] [CrossRef]
- Meldal, M.; Svendsen, I.; Breddam, K.; Auzanneau, F.-I. Portion-Mixing Peptide Libraries of Quenched Fluorogenic Substrates for Complete Subsite Mapping of Endoprotease Specificity. Proc. Natl. Acad. Sci. USA. 1994, 91, 3314–3318. [Google Scholar] [CrossRef]
- Meinjohanns, E.; Meldal, M.; Paulsen, H.; Bock, K. Dithiasuccinoyl (Dts) Amino-protecting Group used in Syntheses of 1,2-trans-Amino Sugar Glycosides. J. Chem. Soc. Perkin Trans. 1995, 1, 405–415. [Google Scholar] [CrossRef]
- Jensen, K.J.; Hansen, P.R.; Venugopal, D.; Barany, G. Synthesis of 2-Acetamido-2-deoxy-β-d-glucopyranose O-Glycopeptides from N-Dithiasuccinoyl-Protected Derivatives. J. Am. Chem. Soc. 1996, 118, 3148–3155. [Google Scholar] [CrossRef]
- Meinjohanns, E.; Meldal, M.; Schleyer, A.; Paulsen, H.; Bock, K. Efficient Syntheses of Core 1, Core 2, Core 3 and Core 4 building blocks for SPS of mucin O-Glycopeptides Based on the N-Dts-Method. J. Chem. Soc. Perkin Trans. 1996, 1, 985–993. [Google Scholar] [CrossRef]
- Meinjohanns, E.; Vargas-Berenguel, A.; Meldal, M.; Paulsen, H.; Bock, K. Comparison of N-Dts and N-Aloc in the solid-phase synthesis of O-GlcNAc glycopeptide fragments of RNA-polymerase II and mammalian neurofilaments. J. Chem. Soc. Perkin Trans. 1995, 1, 2165–2175. [Google Scholar] [CrossRef]
- Meinjohanns, E.; Meldal, M.; Jensen, T.; Werdelin, O.; Galli-Stampino, L.; Mouritsen, S.; Bock, K. Versatile Solid-Phase Thiolytic Reduction of Azido and N-Dts Groups in the Synthesis of Haemoglobin (67–76) O-Glycopeptides and Photoaffinity Labelled Analogues to Study Glycan T-Cell Specificity. J. Chem. Soc. Perkin Trans. 1997, 1, 871–884. [Google Scholar] [CrossRef]
- Brockhausen, I.; Melamed, J. Mucins as Anti-Cancer Targets: Perspectives of the Glycobiologist. Glycoconj. J. 2021, 38, 459–474. [Google Scholar] [CrossRef] [PubMed]
- Meldal, M. Recent Developments in Glycopeptide and Oligosaccharide synthesis. Curr. Opion. Struct. Biol. 1994, 4, 710–718. [Google Scholar] [CrossRef]
- Meldal, M.; St Hilaire, P.M. Synthetic Methods of Glycopeptide Assembly and Biological Analysis of Glycopeptide Products. Curr. Opin. Chem. Biol. 1997, 1, 552–563. [Google Scholar] [CrossRef] [PubMed]
- St. Hilaire, P.M.; Lowary, T.L.; Meldal, M.; Bock, K. Oligosaccharide Mimetics Obtained by Novel, Rapid Screening of Carboxylic Acid Encoded Glycopeptide Libraries. J. Am. Chem. Soc. 1998, 120, 13312–13320. [Google Scholar] [CrossRef]
- Jensen, K.J.; Barany, G. Carbopeptides: Carbohydrates as potential templates for de novo design of protein models. J. Pept. Res. 2000, 56, 3–11. [Google Scholar] [CrossRef] [PubMed]
- Brask, J.; Jensen, K.J. Carboproteins: A 4-Helix Bundle Protein Model Assembled on α-Galactopyranoside Template. Bioorg. Med. Chem. Lett. 2001, 11, 697–700. [Google Scholar] [CrossRef] [PubMed]
- Jensen, K.J.; Brask, J. Carbohydrates as Templates for Control of Distance-Geometry in De Novo-Designed Proteins. Cell. Mol. Life Sci. 2002, 59, 859–869. [Google Scholar] [CrossRef] [PubMed]
- Brask, J.; Dideriksen, J.M.; Nielsen, J.; Jensen, K.J. Monosaccharide Templates for De Novo Designed 4-α-Helix Bundle Proteins: Template Effects in Carboproteins. Org. Biomol. Chem. 2003, 1, 2247–2252. [Google Scholar] [CrossRef]
- Jensen, K.J.; Brask, J. Carbohydrates in Peptide and Protein Design. Pept. Sci. 2005, 80, 747–761. [Google Scholar] [CrossRef] [PubMed]
- Liu, M.; Live, D.; Barany, G. Solid-Phase Synthesis of Mucin Glycopeptides. Chim. Oggi/Chem. Today 2004, 22, 30–34. [Google Scholar] [CrossRef]
- Liu, M.; Young, V.G., Jr.; Lohani, S.; Live, D.; Barany, G. Syntheses of TN Building Blocks Nα-(9-fluorenylmethoxycarbonyl)-O-(3,4,6-tri-O-acetyl-2-azido-2-deoxy-α-d-galactopyranosyl)-l-Serine/l-Threonine Pentafluorophenyl Esters: Comparison of Protocols and Elucidation of Side Reactions. Carbohydr. Res. 2005, 340, 1273–1285. [Google Scholar] [CrossRef]
- Liu, M.; Barany, G.; Live, D. Parallel Solid-Phase Synthesis of Mucin-Like Glycopeptides. Carbohydr. Res. 2005, 340, 2111–2122. [Google Scholar] [CrossRef]
- Liu, M.; Borgert, A.; Barany, G.; Live, D. Conformational Consequences of Protein Glycosylation: Preparation of O-Mannosyl Serine and Threonine Building Blocks, and Their Incorporation into Glycopeptide Sequences Derived from α-Dystroglycan. Pept. Sci. 2008, 90, 358–368. [Google Scholar] [CrossRef]
- Liu, M.; Hamilton, D.W.; Barany, G. Solid-Phase Synthesis and Evaluation of Glycopeptide Fragments from Rat Epididymal Cysteine-Rich Secretory Protein-1 (Crisp-1). Molecules 2010, 15, 6399–6410. [Google Scholar] [CrossRef]
- Bardají, E.; Torres, J.L.; Clapés, P.; Albericio, F.; Barany, G.; Valencia, G. Solid-Phase Synthesis of Glycopeptide Amides under Mild Conditions: Morphiceptin Analogues. Angew. Chem. Int. Ed. Engl. 1990, 29, 291–292. [Google Scholar] [CrossRef]
- Chen, L.; Jensen, K.J.; Tejbrant, J.; Taylor, J.E.; Morgan, B.A.; Barany, G. Chemical Synthesis and Receptor Binding of Catfish Somatostatin: A Disulfide-Bridged β-d-Galp–(1→3)–α–d-GalpNAc O-Glycopeptide. J. Pept. Res. 2000, 55, 81–91. [Google Scholar] [CrossRef]
- Furka, A.; Sebestyén, F.; Asgedom, M.; Dibó, G. General Method for Rapid Synthesis of Multicomponent Peptide Mixtures. Int. J. Pept. Prot. Res. 1991, 37, 487–493. [Google Scholar] [CrossRef]
- Lam, K.S.; Salmon, S.E.; Hersh, E.M.; Hruby, V.J.; Kazmierski, W.M.; Knapp, R.J. A New Type of Synthetic Peptide Library for Identifying Ligand-Binding Activity. Nature 1991, 354, 82–84. [Google Scholar] [CrossRef] [PubMed]
- Lam, K.S.; Lebl, M.; Krchňák, V. The “One-Bead One-Compound” Combinatorial Library Method. Chem. Rev. 1997, 97, 411–448. [Google Scholar] [CrossRef] [PubMed]
- Furka, Á. Forty Years of Combinatorial Technology. Drug Discov. Today 2022, 27, 103308. [Google Scholar] [CrossRef] [PubMed]
- Kempe, M.; Barany, G. CLEAR: A Novel Family of Highly Cross-linked Polymeric Supports for Solid-Phase Peptide Synthesis. J. Am. Chem. Soc. 1996, 118, 7083–7093. [Google Scholar] [CrossRef]
- Renil, M.; Meldal, M. POEPOP and POEPS: Inert polyethylene glycol crosslinked polymeric supports for solid synthesis. Tetrahedron Lett. 1996, 37, 6185–6188. [Google Scholar] [CrossRef]
- Buchardt, J.; Meldal, M. A Chemically Inert Hydrophilic Resin for Solid Phase Organic Synthesis. Tetrahedron Lett. 1998, 39, 8695–8698. [Google Scholar] [CrossRef]
- Rademann, J.; Grøtli, M.; Meldal, M.; Bock, K. SPOCC: A Resin for Solid-Phase Organic Chemistry and Enzymatic Reactions on Solid Phase. J. Am. Chem. Soc. 1999, 121, 5459–5466. [Google Scholar] [CrossRef]
- García-Martín, F.; Quintanar-Audelo, M.; García-Ramos, Y.; Cruz, L.J.; Gravel, C.; Furic, R.; Côté, S.; Tulla-Puche, J.; Albericio, F. ChemMatrix, a Poly(ethylene glycol)-Based Support for the Solid-Phase Synthesis of Complex Peptides. J. Comb. Chem. 2006, 8, 213–220. [Google Scholar] [CrossRef] [PubMed]
- Frutos, S.; Tulla-Puche, J.; Albericio, F.; Giralt, E. Chemical Synthesis of 19F-labeled HIV-1 Protease using Fmoc-Chemistry and ChemMatrix Resin. Int. J. Pept. Res. Ther. 2007, 13, 221–227. [Google Scholar] [CrossRef]
- Garcia-Martin, F.; White, P.; Steinauer, R.; Côté, S.; Tulla-Puche, J.; Albericio, F. The Synergy of Chemmatrix Resin and Pseudoproline Building Blocks Renders RANTES, a Complex Aggregated Chemokine. Pept. Sci. 2006, 84, 566–575. [Google Scholar] [CrossRef] [PubMed]
- García-Ramos, Y.; Giraud, M.; Tulla-Puche, J.; Albericio, F. Optimized Fmoc Solid-Phase Synthesis of Thymosin α1 by Side-Chain Anchoring onto A PEG Resin. Pept. Sci. 2009, 92, 565–572. [Google Scholar] [CrossRef]
- García-Ramos, Y.; Paradís-Bas, M.; Tulla-Puche, J.; Albericio, F. ChemMatrix for Complex Peptides and Combinatorial Chemistry. J. Pept. Sci. 2010, 16, 675–678. [Google Scholar] [CrossRef]
- Nilsson, C.; Hansen, T.K.; Rosenquist, C.; Hartmann, B.; Kodra, J.T.; Lau, J.F.; Clausen, T.R.; Raun, K.; Sams, A. Long Acting Analogue of the Calcitonin Gene-Related Peptide Induces Positive Metabolic Effects and Secretion of the Glucagon-like Peptide-1. Eur. J. Pharm. 2016, 773, 24–31. [Google Scholar] [CrossRef]
- Zhu, J.; Pedersen, M.D.; Ahmed, L.S.; Abdolalizadeh, B.; Grell, A.-S.; Berg, J.O.; Thulstrup, P.W.; Franzyk, H.; Edvinsson, L.; Sams, A.; Sheykhzade, M.; Hansen, P.R. Fluorescent Analogues of Human α-Calcitonin Gene-Related Peptide with Potent Vasodilator Activity. Int. J. Mol. Sci. 2020, 21, 1343. [Google Scholar] [CrossRef]
- Pipkorn, R.; Wiessler, M.; Waldeck, W.; Hennrich, U.; Nokihara, K.; Beining, M.; Braun, K. Improved synthesis strategy for peptide nucleic acids (PNA) appropriate for cell-specific fluorescence imaging. Int. J. Med. Sci. 2012, 9, 1–10. [Google Scholar] [CrossRef][Green Version]
- Nielsen, P.E.; Egholm, M.; Berg, R.H.; Buchardt, O. Sequence-Selective Recognition of DNA by Strand Displacement with a Thymine-Substituted Polyamide. Science 1991, 254, 1497–1500. [Google Scholar] [CrossRef]
- Angell, Y.M.; Jensen, K.J.; Gross, C.M.; Barany, G. Solid-Phase Synthesis of Peptide Nucleic Analogue (PNA) Sequences Taken to New Lengths. In Innovation and Perspectives in Solid Phase Synthesis & Combinatorial Libraries, 1998: Proceedings of the Fifth International Symposium; Epton, R., Ed.; Mayflower Scientific Ltd.: Birmingham, UK, 1998; pp. 59–62. [Google Scholar]
- Egholm, M.; Buchardt, O.; Nielsen, P.E.; Berg, R.H. Peptide Nucleic Acids (PNA). Oligonucleotide Analogues with an Achiral Peptide Backbone. J. Am. Chem. Soc. 1992, 114, 1895–1897. [Google Scholar] [CrossRef]
- Cherny, D.Y.; Belotserkovskii, B.P.; Frank-Kamentskii, M.D.; Egholm, M.; Buchardt, O.; Berg, R.H.; Nielsen, P.E. DNA Unwinding Upon Strand-Displacement Binding of a Thymine-Substituted Polyamide to Double-Stranded DNA. Proc. Natl. Acad. Sci. USA 1993, 90, 1667–1670. [Google Scholar] [CrossRef] [PubMed]
- Egholm, M.; Behrens, C.; Christensen, L.; Berg, R.H.; Nielsen, P.E.; Buchardt, O. Peptide Nucleic Acids Containing Adenine or Guanine Recognize Thymine and Cytosine in Complementary DNA Sequences. J. Chem. Soc. Chem. Commun. 1993, 800–801. [Google Scholar] [CrossRef]
- Egholm, M.; Buchardt, O.; Christensen, L.; Behrens, C.; Freier, S.M.; Driver, D.A.; Berg, R.H.; Kim, S.K.; Norden, B.; Nielsen, P.E. PNA hybridizes to complementary oligonucleotides obeying the Watson-Crick hydrogen-bonding rules. Nature 1993, 365, 566–568. [Google Scholar] [CrossRef] [PubMed]
- Dueholm, K.L.; Egholm, M.; Behrens, C.; Christensen, L.; Hansen, H.F.; Vulpius, T.; Petersen, K.H.; Berg, R.H.; Nielsen, P.E.; Buchardt, O. Synthesis of Peptide Nucleic Acid Monomers Containing the Four Natural Nucleobases: Thymine, Cytosine, Adenine, and Guanine and Their Oligomerization. J. Org. Chem. 1994, 59, 5767–5773. [Google Scholar] [CrossRef]
- Hyrup, B.; Egholm, M.; Nielsen, P.E.; Wittung, P.; Norden, B.; Buchardt, O. Strucure-Activity Studies of Modified Peptide Nucleic Acids (PNAs) to DNA. J. Am. Chem. Soc. 1994, 116, 7964–7970. [Google Scholar] [CrossRef]
- Nandhini, K.P.; Shaer, D.A.; Albericio, F.; de la Torre, B.G. The challenge of peptide nucleic acid synthesis. Chem. Soc. Rev. 2023, 52, 2764–2789. [Google Scholar] [CrossRef]
- Gerry, N.P.; Witowski, N.E.; Day, J.; Hammer, R.P.; Barany, G.; Barany, F. Universal DNA Microarray Method for Multiplex Detection of Low Abundance Point Mutations. J. Mol. Biol. 1999, 292, 251–262. [Google Scholar] [CrossRef]
- Seitz, O.; Bergmann, F.; Heindl, D. A Convergent Strategy for the Modification of Peptide Nucleic Acids: Novel Mismatch-Specific PNA-Hybridization Probes. Angew. Chem. Int. Ed. Engl. 1999, 38, 2203–2206. [Google Scholar] [CrossRef]
- Shaikh, A.Y.; Björkling, F.; Nielsen, P.E.; Franzyk, H. Optimized Synthesis of Fmoc/Boc-Protected PNA Monomers and their Assembly into PNA Oligomers. Eur. J. Org. Chem. 2021, 2792–2801. [Google Scholar] [CrossRef]
- Periyalagan, A.; Hong, I.S. A novel synthetic method of peptide nucleic acid (PNA) oligomers using Boc/Cbz-protected PNA trimer blocks in the solution phase. Bull. Korean Chem. Soc. 2022, 43, 714–723. [Google Scholar] [CrossRef]
- Planas, M.; Bardají, E.; Jensen, K.J.; Barany, G. Use of the Dithiasuccinoyl (Dts) Amino Protecting Group for Solid-Phase Synthesis of Protected Peptide Nucleic Acid (PNA) Oligomers. J. Org. Chem. 1999, 64, 7281–7289. [Google Scholar] [CrossRef]
- Fields, G.B.; Tam, J.P.; Barany, G. (Eds.) Peptides for the New Millennium: Proceedings of the Sixteenth American Peptide Symposium; Kluwer Academic Publishers: Dordrecht, The Netherlands, 2000. [Google Scholar]
- Gisselman, G.; Barany, G. Peptide Ångst: La Triviata. 1999. Available online: http://www1.chem.umn.edu/16aps/opera.html (accessed on 29 October 2023).
- Peptide Ångst: La Triviata. Available online: https://youtu.be/v0QcIKsA22o?si=yeBemtxRFX1d1y2A (accessed on 29 October 2023).
- Groth, T.; Meldal, M. N-Terminal Peptide Aldehydes as Electrophiles in Combinatorial Solid Phase Synthesis of Novel Peptide Isosteres. J. Comb. Chem. 2001, 3, 45–63. [Google Scholar] [CrossRef]
- Nielsen, T.E.; Meldal, M. Solid-Phase Intramolecular N-Acyliminium Pictet–Spengler Reactions as Crossroads to Scaffold Diversity. J. Org. Chem. 2004, 69, 3765–3773. [Google Scholar] [CrossRef] [PubMed]
- Worm-Leonhard, K.; Meldal, M. Green Catalysts: Solid-Phase Peptide Carbene Ligands in Aqueous Transition-Metal Catalysis. Eur. J. Org. Chem. 2008, 5244–5253. [Google Scholar] [CrossRef]
- Meldal, M. Organozymes: Molecular Engineering and Combinatorial Selection of Peptidic Organo- and Transition-Metal Catalysts. In Organic Synthesis and Molecular Engineering; Nielsen, M.B., Ed.; John Wiley & Sons, Inc.: Hoboken, NJ, USA, 2013; pp. 333–360. [Google Scholar]
- Barany, G.; Felix, A.M. Editorial: Bruce Merrifield at the “Crossroads of Chemistry and Biology”. Pept. Sci. 2001, 60, 169–170. [Google Scholar] [CrossRef]
| 1 | By necessity, the literature cited herein cannot be comprehensive, and is skewed considerably to refereed papers reported out of Copenhagen (Meldal) and Minneapolis (Barany). For more details on the backgrounds and prior investigations—including preliminary results communicated at scientific meetings—in areas of interest to us, please refer to our original publications and review articles, in which we have tried to be conscientious and comprehensive with respect to proper attributions to precedents and/or independently pursued similar lines of inquiry. |
| 2 | “An orthogonal system is defined as a set of completely independent classes of protecting groups. In a system of this kind, each class of groups can be removed in any order and in the presence of all other classes” (verbatim footnote 4 from ref. [9]). |
| 3 | GB’s mentor, R. B. Merrifield, used the word “orthogonal” in a lecture at the 5th American Peptide Symposium in 1977 in San Diego; a “note added in proof” to our proceedings report [10] states “During the discussion period for this paper we learned that the term ‘orthogonal’ has been used in a similar way in the laboratory of Dr. D. S. Kemp”. GB recalls being electrified by Dan Kemp’s lecture at the 4th American Peptide Symposium in 1975 in New York City, but does not believe the word came up then, nor does it appear anywhere in Kemp’s proceedings report [11]. |
| 4 | The anecdote that follows was recently confirmed by GB’s long-time friend and scientific confidante, Jed Fisher, who was in the conference room at the same time. |
| 5 | |
| 6 | While carrying out his first-ever SPPS in 1971, as part of the 6-week independent project phase of the legendary Rockefeller University summer biochemistry course, GB had the privilege to be informally mentored by Bernd Gutte, who was then wrapping up his postdoctoral studies. The resultant peptide proved to bind adenosine triphosphate (ATP), as reported at the 1972 Cold Spring Harbor Symposium on Muscle Contraction [36]. |
| 7 | In a recent search (accessed 26 October 2023) of the Web of Science database (https://www.webofscience.com/), the word “orthogonal” appeared over 3400 times in the titles of chemistry articles. |
| 8 | |
| 9 | |
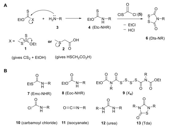
| 10 | Because this compound (1) is formally a thioanhydride of O-ethyl xanthate (the product of ethanol and carbon disulfide), we refer to it colloquially as “ethyl xanthic anhydride” (EXA). |
| 11 | An alternative to the ZWK reaction starts with 1,2,4-dithiazolidine-3,5-dione (DtsNH) [89,95], which reacts with alkyl halides in the presence of base to provide Dts-amines. This Dts variation of the classical Gabriel synthesis was elegantly pioneered by Wood and coworkers [96], although it should be noted that GB pursued such approaches (never published) while still at The Rockefeller University and later with undergraduates carrying out directed studies at the University of Minnesota. |
| 12 | In 2005, we finally achieved [97] a long-elusive goal [9] to introduce the Dts group in a single step by reaction of bis(chlorocarbonyl)disulfane [Cl(C=O)SS(C=O)Cl] [9,98,99] with bis(trimethylsilyl)amines [TMS2NR]. For this method, the TMS group acts as a “large proton”, in the sense that two equiv of TMSCl are formed as co-products, rather than HCl (or HCl salts, if the reactions are carried out in the presence of base). |
| 13 | Point of personal privilege: The first author (MJB) of our 2005 J. Am. Chem. Soc. communication [97], currently an eminent historian of mathematics at the University of Edinburgh in Scotland, was at the time a Minnesota high school student competing in the nationwide Intel Science Talent Search. The two enabling ideas, namely the use of Cl(C=O)SS(C=O)Cl and the use of TMS2NR, date back respectively to GB’s graduate studies with RBM in the mid-1970s and to RPH’s graduate studies with GB in the late 1980s. The Nobel laureate coauthor (RBM) enthusiastically signed off on the manuscript, which turned out to be the final one of his illustrious career. |
| 14 | To the best of our knowledge, the first examples for conversion of R’O(C=S)NHR to their thermodynamically more stable R’S(C=O)NHR isomers were discovered toward the end of the 19th century. Experienced organosulfur chemists are well familiar with this transformation, which can occur spontaneously, or upon heating, or with catalysis, all depending on the precise nature of the substrate. In the "name game" of organic chemistry, the rearrangement is variously associated with Alexander Schönberg, or Melvin Newman with Howard Kwart, or (tangentially) Derek Barton with Stewart McCombie. |
| 15 | Specifically, “when you are on the ground, pick something up”. |
| 16 | Aqueous hydroxide under ambient conditions removes primary and secondary alkyl esters, although not tertiary alkyl esters—these latter require TFA (or moderate acids of comparable strength) under mostly anhydrous conditions (sometimes, a relatively small amount of water is added as a carbocation scavenger). |
| 17 | An anecdote from the 1970s might be instructive to young scientists nowadays. As a graduate student learning about peptide synthesis, GB admired the work of the Merck group on the “controlled polymerization” of N-carboxyanhydrides (NCAs) [104,105] for stepwise synthesis of small peptide fragments. The NCA approach is uniquely problematic with respect to the amino acid glycine (equilibration with its isocyanate isomer), so the sulfur analogue N-thiocarboxyanhydride (NTA) has to be applied to incorporate this residue [105,106]. Just as the Dts group is established in one more step beyond creating an Etc-amine derivative, so too are NTAs. Upon re-reading the classic review by Zumach and Kühle [89] in which he had first encountered a drawing of the lead heterocycle that he was to later reconfigure to Dts, GB realized that it was inevitable that the Merck group would also be aware of that same heterocyle—this realization resulted in several years of low-level anxiety and worrying about being “scooped”. GB’s preliminary Dts work was presented for the very first time in 1975 as a poster at the 4th American Peptide Symposium in New York City [a crosstown bus ride away from the Rockefeller campus]. Dan Veber of Merck visited the poster, and was gracious with his praise. As an aside, he remarked, “…you know, we actually made Dts-Gly-OEt and had it sitting in a vial in the laboratory, but were unable to proceed further because nobody could figure out how to remove the ester without destroying the heterocycle” (paraphrased, not exact quote). GB concluded that certain scientific problems succumb only to a single-minded focus, and that even outstanding and experienced scientists can miss something that is entirely obvious in hindsight. |
| 18 | Later, when Dts-amino acid derivatives were needed for SPPS (next section of this perspective), the free acids were released in situ from their DCHA salts by brief but vigorous agitation of the latter, dissolved or suspended in CH2Cl2, with Dowex 50 (hydrogen form) ion-exchange resin, followed by filtration. |
| 19 | As a counterpoint that directly ties in with our concept of orthogonality, Dts-amines are unusually stable under acidic conditions. We believe that this is due to the planarity of the heterocyclic ring, which allows for electron delocalization (evidenced by shorter bond lengths), and imparts a certain level of aromatic stabilization. |
| 20 | Use of trialkyl- and triarylphosphines [109,110,111,112] in the presence of water is a well-known method to reduce disulfides to the corresponding thiols. When we carried out the obvious control experiment under anhydrous conditions, we discovered that Dts-amines were converted to the corresponding isocyanates, along with COS and the appropriate phosphine sulfide. This observation led directly to novel and highly efficient procedures for the generation of phosphorothioates using first 1,2,4-dithiazolidine-3,5-dione (DtsNH) and then later 3-ethoxy-1,2,4-dithiazoline-5-one (EDITH) [113,114]. |
| 21 | A somewhat surprising way to achieve Dts removal is under the acidic reductive conditions (pH 5.2) of color development in a standard amino acid analyzer. Specifically, the hydrindantin removes Dts, at least partially, and the ninhydrin reacts with the released amines to provide the purple chromophore (570 nm) that allows detection and quantification of the parent compounds [43,46]. |
| 22 | Application of MAc exemplifies a more “potent” thiol balanced by NMM, which is a weaker base. Interestingly, MAc is a “high κ” thiol, insofar as Dts cleavage is rate-limiting and no carbamoyl disulfide intermediate was ever isolated (see Scheme 4 as well as ref. [43]). In the more polar solvent DMF, no base is needed, and in fact the reaction is rapid in the presence of HOBt [which is a weak acid; it is included in the deprotection cocktail so as to neutralize any trace of amine impurities in DMF]. |
| 23 | The adjective “difficult” gained traction in the 1980s through the work of Charles Deber, Stephen Kent, and Bob Sheppard [119,120,121,122,123,124], who documented that some couplings during stepwise SPPS, regardless of protecting group (Boc, Fmoc, or Dts), were reproducibly slow and/or did not go to completion despite lengthier coupling times, higher temperatures, microwave irradiation, more reactive activation methods, and/or addition of chaotropic agents to the coupling milieus. The consensus view, developed by the aforementioned pioneers and still held today, is that these couplings are difficult due to the formation of secondary structure (aggregation) in the resin-bound peptides. |
| 24 | The preceding paragraph used the “Achilles heel” metaphor from Greek mythology. In a different vein, GB recalls being admonished by his mother with words to the effect “Dts may have started out as your brainchild, but it has now grown into an unruly teenager!” |
| 25 | This approach accepts a modest level of additional crosslinking, readily quantified, whenever a bifunctional diacid is coupled on both sides to the resin-bound amines. Typically, about two-thirds of the PEG chains retain an accessible end group that can be modified further to eventually initiate SPPS or SPOS. The ultimate properties of such statistically hetero-diverse PEG–PS do not appear to be adversely affected by the added crosslinking. |
| 26 | When the starting PS component of commercial PEG–PS is MBHA–PS, the resin material is labile to anhydrous HF, and therefore not suitable for stepwise SPPS by Boc chemistry. However, PEG–PS is easily reformulated starting from aminomethyl–PS, whereupon it is entirely suitable for Boc chemistry with a final HF cleavage step. |
| 27 | The Twins were on their way to their second World Series championship in four years. A box score for this particular game can be found at https://www.baseball-reference.com/boxes/MIN/MIN199110090.shtml. |
| 28 | GB’s opening joke was a tongue-in-cheek apology for appearing tired, on account of not being accustomed to staying up so late. |
| 29 | See: https://www.facebook.com/abeautifulequation/photos/a.632898940054321/5368004756543692/ For more about Bohr, see: https://www.nobelprize.org/prizes/physics/1922/bohr/biographical/ To celebrate the 100th anniversary of the Bohr model of the atom, GB collaborated with Alex Vratsanos on “Great Dane”, a crossword puzzle published in the 20 September 2013 issue of The Chronicle of Higher Education, as reproduced and discussed at: http://www1.chem.umn.edu/groups/baranygp/puzzles/greatdane/. |
| 30 | Live broadcast of a Joe Biden-led committee hearing of the United States Senate concerning confirmation of Clarence Thomas in light of explosive allegations of sexual harassment from Professor Anita Hill. |
| 31 | In the section that follows, as well as a later section entitled “Invention of Further PEG-based Supports …”, we highlight novel support materials (PEGA, POEPS, POEPOP, POEPS-3, and SPOCC) invented by Meldal and coworkers. No attempt has been made to name the monomers leading to these materials in a manner entirely consistent with how we have described the chemistry leading to various generations of PEG–PS and CLEAR supports. |
| 32 | Shortly after PRH presented preliminary findings from Minneapolis in 1994 at the 23rd European Peptide Symposium in Braga, Portugal, Morten Meldal let us know that work along the same lines was already underway in Copenhagen and had been presented seven weeks earlier at the XVIIth International Carbohydrate Symposium in Ottawa, Canada. In a cordial conversation, GB suggested that the first full paper on this topic should be submitted by the Copenhagen group, followed soon thereafter by a paper from Minneapolis. |
| 33 | The auxiliary nucleophile forms a yellow ion-pair with unreacted amino groups on the resin, thereby allowing visual monitoring of the progress of the reaction. In addition, the active species for coupling is likely to be the more reactive Dhbt ester, formed in situ by transesterification that displaces the pentafluorophenyl (Pfp) ester. |
| 34 | In keeping with the title of this perspective, we have already described innovative work in the field of glycopeptide synthesis where there was some synergy or overlap from the efforts in Copenhagen and Minneapolis. Meldal’s many additional contributions and successes in the field fall outside our scope, but the interested reader can easily find them summarized elsewhere [148,149]. Methodologies developed at Carlsberg were readily extended to combinatorial libraries, for example in a paper by St. Hilaire et al. [150] which described carboxylic acid-encoded glycopeptide libraries. |
| 35 | This perspective will not delve into Knud Jensen’s highly creative independent idea of carbopeptides, which he brought with him to Minneapolis and devoted considerable time and effort to achieving proof-of-concept results. The goal was to use a sugar (specifically, d-galactopyranose) as a template to start four identical peptide strands (initially, six amino acid residues each, plus β-alanine “spacers”) that might interact with each other to achieve stable secondary or tertiary structures as protein models (4-helix bundles) or multiple antigenic peptides (MAPs). Because the expertise and resources of his laboratory facilitated progress towards this ambitious goal, GB was delighted to coauthor the first report in 2000 in the J. Pept. Sci. [151] but he then encouraged KJJ to elaborate on this work on his own to launch his independent academic career in the Department of Chemistry at the University of Copenhagen. Follow-up papers from Jensen and coworkers ultimately came out in the first few years of the 21st century [152,153,154,155]. |
| 36 | CLEAR supports are explained in a later section of this perspective. |
| 37 | Sweden and Denmark are close enough that people headed to the south of Sweden often fly into the Copenhagen airport, and then take a train or automobile across the Øresund Bridge. In the framing of this perspective’s title, one might say that Maria Kempe was an “honorary” member of Copenhagen’s scientific circle. |
| 38 | We may write about the “Barcelona–Minneapolis connection” at a different time for a different venue. For now, we interpret the title “Copenhagen–Minneapolis axis” of this perspective generously, so as to include Fernando Albericio’s important work on ChemMatrix. |
| 39 | This section deviates somewhat from our overall framing for this perspective, since to the best of our knowledge, Morten Meldal’s research programs never tackled PNA. Nonetheless, we include it because PNA originated from Copenhagen, and Meldal-trained Knud Jensen was one of the leaders of the Minneapolis effort in this area. Our discussion here is focused only on Dts chemistry; separate efforts from Minneapolis using Fmoc chemistry have been communicated elsewhere [180]. |
| 40 | If the end goal for the synthetic PNA is hybridization to target genomic DNA for mutational analysis, diagnostics, and myriad additional applications, then PNA that is assembled by a segment approach is far less likely to lead to false positive results, which would otherwise be a distinct risk whenever there are single-deletion “failure” sequences due to stepwise synthesis. In collaboration with Francis Barany and Robert Hammer, we began discussing these concepts in 1993; there is a straight line from those discussions to our invention of “universal zip-code arrays” which were first filed to the United States Patent and Trademark Office (USPTO) in 1997 and disclosed in a 2001 Journal of Molecular Biology paper [188]. |
| 41 | The previous footnote mentions a PNA segment approach. We began working toward this goal around 1996 under a grant from the National Institute of Science and Technology (NIST), in collaboration with Robert Hammer, who had graduated from our Minneapolis laboratory in 1990 and was by then an independent Assistant Professor at Louisiana State University (LSU) in Baton Rouge. In never-published work, Bob’s LSU postdoctoral fellow Kristofer Moffett used chemistry with three degrees of orthogonality [Nω-Fmoc/side-chain Z/Cω-allyl ester] to synthesize all 16 suitably protected Fmoc-PNA dimers, and made some progress towards combining these to create a few PNA tetramers. Since then, there have been several literature reports on short PNA oligomers [189,190,191]. |
| 42 | The two co-Chairs had been colleagues for several years at the University of Minnesota, respectively in the Department of Chemistry in the Institute of Technology (since renamed College of Science and Engineering) and the Department of Laboratory Medicine and Pathology in the Medical School. About a year before the 16th American Peptide Symposium, GBF moved to Florida Atlantic University. |
| 43 | A full photo gallery from the meeting can be found at http://www1.chem.umn.edu/16aps/Photoindex.html. |
| 44 | These various activities are outside of the scope of the present perspective, but may be the subject of future writings. |



























Disclaimer/Publisher’s Note: The statements, opinions and data contained in all publications are solely those of the individual author(s) and contributor(s) and not of MDPI and/or the editor(s). MDPI and/or the editor(s) disclaim responsibility for any injury to people or property resulting from any ideas, methods, instructions or products referred to in the content. |
© 2024 by the authors. Licensee MDPI, Basel, Switzerland. This article is an open access article distributed under the terms and conditions of the Creative Commons Attribution (CC BY) license (https://creativecommons.org/licenses/by/4.0/).
Share and Cite
Barany, G.; Hansen, P.R. Reflections on a Copenhagen–Minneapolis Axis in Bioorganic Chemistry. Molecules 2024, 29, 1317. https://doi.org/10.3390/molecules29061317
Barany G, Hansen PR. Reflections on a Copenhagen–Minneapolis Axis in Bioorganic Chemistry. Molecules. 2024; 29(6):1317. https://doi.org/10.3390/molecules29061317
Chicago/Turabian StyleBarany, George, and Paul R. Hansen. 2024. "Reflections on a Copenhagen–Minneapolis Axis in Bioorganic Chemistry" Molecules 29, no. 6: 1317. https://doi.org/10.3390/molecules29061317
APA StyleBarany, G., & Hansen, P. R. (2024). Reflections on a Copenhagen–Minneapolis Axis in Bioorganic Chemistry. Molecules, 29(6), 1317. https://doi.org/10.3390/molecules29061317

