Copper-Catalyzed Synthesis of 4-CF3-1,2,3-Triazoles: An Efficient and Facile Approach via Click Reaction
Abstract
1. Introduction
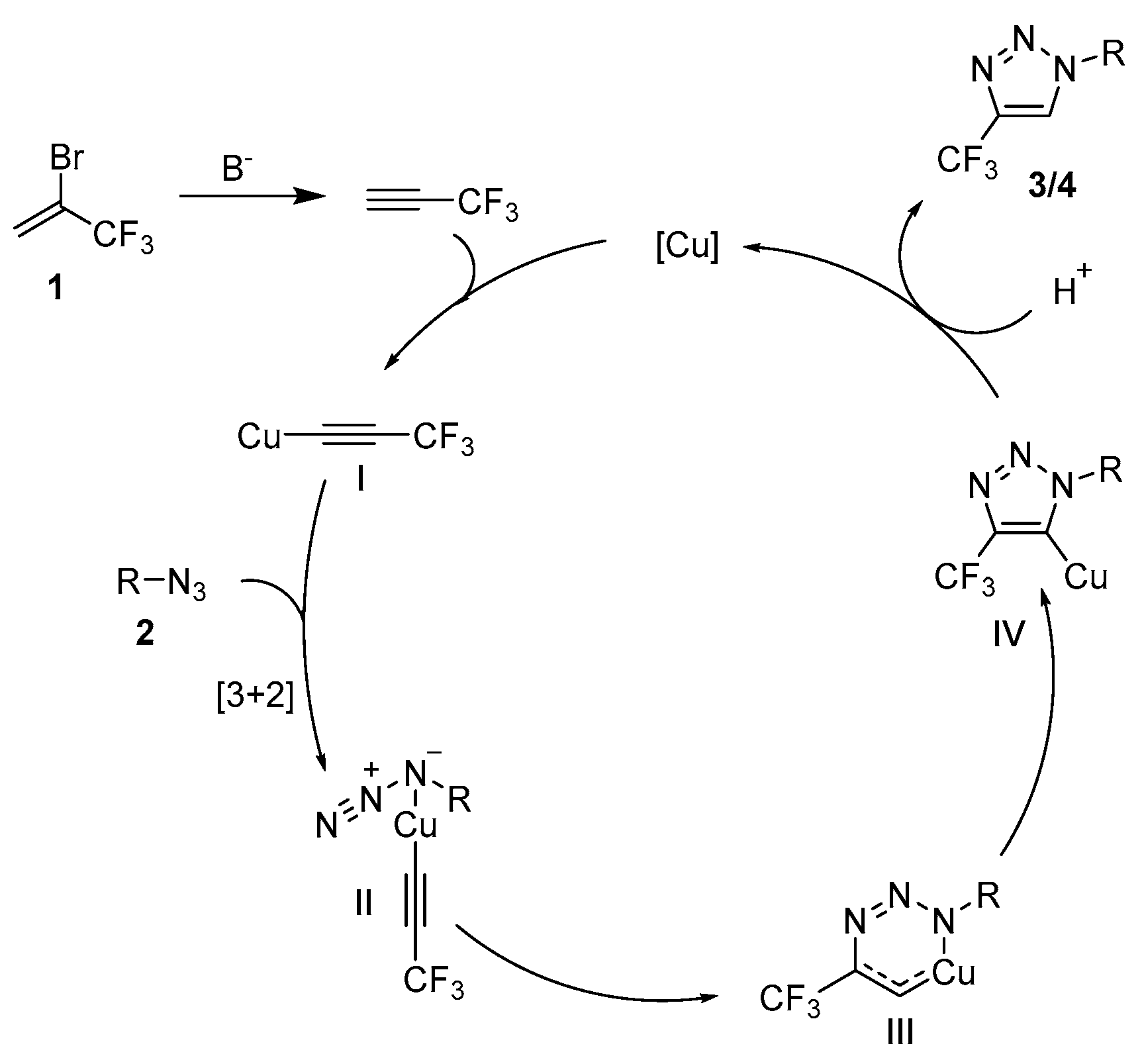
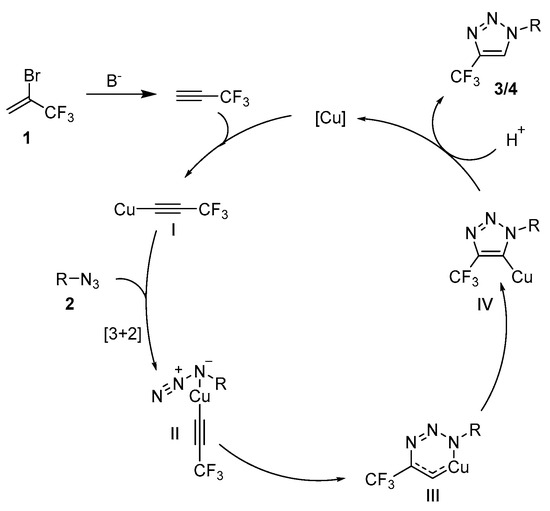
2. Results
3. Materials and Methods
3.1. General Information
3.2. General Procedure for the Synthesis of Triazoles 3 and 4
3.3. Data for Compounds of 4-Trifluoromethyl-1,2,3-Triazole
4. Conclusions
Supplementary Materials
Author Contributions
Funding
Data Availability Statement
Acknowledgments
Conflicts of Interest
References
- Yale, H.L. The Trifluoromethyl Group in Medical Chemistry. J. Med. Chem. 1958, 1, 121–133. [Google Scholar] [CrossRef]
- Nair, A.S.; Singh, A.K.; Kumar, A.; Kumar, S.; Sukumaran, S.; Koyiparambath, V.P.; Pappachen, L.K.; Rangarajan, T.M.; Kim, H.; Mathew, B. FDA-Approved Trifluoromethyl Group-Containing Drugs: A Review of 20 Years. Processes 2022, 10, 2054. [Google Scholar] [CrossRef]
- Abula, A.; Xu, Z.; Zhu, Z.; Peng, C.; Chen, Z.; Zhu, W.; Aisa, H.A. Substitution Effect of the Trifluoromethyl Group on the Bioactivity in Medicinal Chemistry: Statistical Analysis and Energy Calculations. J. Chem. Inf. Model. 2020, 60, 6242–6250. [Google Scholar] [CrossRef] [PubMed]
- Wang, J.; Sánchez-Roselló, M.; Aceña, J.L.; del Pozo, C.; Sorochinsky, A.E.; Fustero, S.; Soloshonok, V.A.; Liu, H. Fluorine in Pharmaceutical Industry: Fluorine-Containing Drugs Introduced to the Market in the Last Decade (2001–2011). Chem. Rev. 2014, 114, 2432–2506. [Google Scholar] [CrossRef] [PubMed]
- Zheng, Z.; Dai, A.; Jin, Z.; Chi, Y.R.; Wu, J. Trifluoromethylpyridine: An Important Active Fragment for the Discovery of New Pesticides. J. Agric. Food Chem. 2022, 70, 11019–11030. [Google Scholar] [CrossRef] [PubMed]
- Zhou, Y.; Wang, J.; Gu, Z.; Wang, S.; Zhu, W.; Aceña, J.L.; Soloshonok, V.A.; Izawa, K.; Liu, H. Next Generation of Fluorine-Containing Pharmaceuticals, Compounds Currently in Phase II–III Clinical Trials of Major Pharmaceutical Companies: New Structural Trends and Therapeutic Areas. Chem. Rev. 2016, 116, 422–518. [Google Scholar] [CrossRef]
- Gakh, A.A.; Shermolovich, Y. Trifluoromethylated Heterocycles. Top. Med. Chem. 2014, 14, 952–965. [Google Scholar] [CrossRef] [PubMed]
- Schiesser, S.; Chepliaka, H.; Kollback, J.; Quennesson, T.; Czechtizky, W.; Cox, R.J. N-Trifluoromethyl Amines and Azoles: An Underexplored Functional Group in the Medicinal Chemist’s Toolbox. J. Med. Chem. 2020, 63, 13076–13089. [Google Scholar] [CrossRef]
- Alonso, C.; Marigorta, E.M.; Rubiales, G.; Palacios, F. Carbon Trifluoromethylation Reactions of Hydrocarbon Derivatives and Heteroarenes. Chem. Rev. 2015, 115, 1847–1935. [Google Scholar] [CrossRef]
- Liu, X.; Xu, C.; Wang, M.; Liu, Q. Trifluoromethyltrimethylsilane: Nucleophilic Trifluoromethylation and Beyond. Chem. Rev. 2015, 115, 683–730. [Google Scholar] [CrossRef]
- Xiao, H.W.; Zhang, Z.Z.; Fang, Y.W.; Zhu, L.; Li, C.Z. Radical trifluoromethylation. Chem. Soc. Rev. 2021, 50, 6308–6319. [Google Scholar] [CrossRef] [PubMed]
- Kawamura, S.; Barrio, P.; Fustero, S.; Escorihuela, J.; Han, J.; Soloshonok, V.A.; Sodeoka, M. Evolution and Future of Hetero- and Hydro-Trifluoromethylations of Unsaturated C−C Bonds. Adv. Synth. Catal. 2023, 365, 398–462. [Google Scholar] [CrossRef]
- Aradi, K.; Kiss, L. Carbotrifluoromethylations of C−C Multiple Bonds (Excluding Aryl- and Alkynyltrifluoromethylations). Chem. Eur. J. 2023, 29, e202203499. [Google Scholar] [CrossRef]
- Koike, T.; Akita, M. Fine Design of Photoredox Systems for Catalytic Fluoromethylation of Carbon–Carbon Multiple Bonds. Acc. Chem. Res. 2016, 49, 1937–1945. [Google Scholar] [CrossRef] [PubMed]
- Remete, A.M.; Nonn, M.; Novák, T.T.; Csányi, D.; Kiss, L. Recent Progress in Aryltrifluoromethylation Reactions of Carbon-Carbon Multiple Bonds. Chem. Asian J. 2022, 17, e202200395. [Google Scholar] [CrossRef] [PubMed]
- Liu, X.; Liu, L.; Huang, T.Z.; Zhang, J.J.; Tang, Z.; Li, C.Y.; Chen, T.Q. Trifluoromethylation of Benzoic Acids: An Access to Aryl Trifluoromethyl Ketones. Org. Lett. 2021, 23, 4930–4934. [Google Scholar] [CrossRef] [PubMed]
- Kumar, A.; Dhami, A.; Fairoosa, J.; Kant, R.; Mohanan, K. Silver-Catalyzed Direct Synthesis of Trifluoromethylated Enaminopyridines and Isoquinolinones Employing Trifluorodiazoethane. Org. Lett. 2021, 23, 5815–5820. [Google Scholar] [CrossRef] [PubMed]
- Kawamoto, T.; Sasaki, R.; Kamimura, A. Synthesis of α-Trifluoromethylated Ketones from Vinyl Triflates in the Absence of External Trifluoromethyl Sources. Angew. Chem. Int. Ed. 2017, 56, 1342–1345. [Google Scholar] [CrossRef]
- Duan, Y.; Lin, J.-H.; Xiao, J.-C.; Gu, Y.-C. A Trifluoromethylcarbene Source. Org. Lett. 2016, 18, 2471–2474. [Google Scholar] [CrossRef]
- Ye, F.; Berger, F.; Jia, H.; Ford, J.; Wortman, A.; Börgel, J.; Genicot, C.; Ritter, T. Aryl Sulfonium Salts for Site-Selective Late-Stage Trifluoromethylation. Angew. Chem. Int. Ed. 2019, 58, 14615–14619. [Google Scholar] [CrossRef]
- Wang, X.; Zhou, W.; Xie, W.; Chen, Q.; Wu, J. Generation of (E)-β-trifluoromethyl vinylsulfonohydrazides under photocatalysis and their anti-bacteria activity. Chin. Chem. Lett. 2023, 34, 107984. [Google Scholar] [CrossRef]
- Zhu, C.; Zhang, H.; Liu, Q.; Chen, K.; Liu, Z.-Y.; Feng, C. Nickel-Catalyzed anti-Markovnikov Hydroalkylation of Trifluoromethylalkenes. ACS Catal. 2022, 12, 9410–9417. [Google Scholar] [CrossRef]
- Chen, K.; Liu, Q.; Wan, J.Y.; Zhu, C.; Zhu, C. Ni-Catalyzed Reductive Dibenzylation of Trifluoromethylalkenes for CF3-Containing All-Carbon Quaternary Center Construction. Org. Lett. 2023, 25, 5995–6000. [Google Scholar] [CrossRef]
- Lu, D.; Li, S.; Yang, X.; Yin, S.-F.; Kambe, N.; Qiu, R. Copper-Catalyzed Regioselective Olefination and Trifluoromethylation of Carboxylic Acids To Give (Z)-Trifluoromethyl Enol Esters. Org. Lett. 2022, 24, 5197–5202. [Google Scholar] [CrossRef]
- Zhao, Y.; Wang, X.; Yao, R.; Li, C.; Xu, Z.; Zhang, L.; Han, G.; Hou, J.; Liu, Y.; Song, Y. Iron-Catalyzed Alkene Trifluoromethylation in Tandem with Phenol Dearomatizing Spirocyclization: Regioselective Construction of Trifluoromethylated Spirocarbocycles. Adv. Synth. Catal. 2022, 364, 637–642. [Google Scholar] [CrossRef]
- Huang, Y.; Hong, H.; Zou, Z.; Liao, C.; Lu, J.; Qin, Y.; Li, Y.; Chen, L. Electrochemical vicinal aminotrifluoromethylation of alkenes: High regioselective acquisition of β-trifluoromethylamines. Org. Biomol. Chem. 2019, 17, 5014–5020. [Google Scholar] [CrossRef]
- Nguyen, T.T. Silver-Catalyzed Trifluoromethylation of ortho CH Bonds in Anilines. ChemistrySelect 2020, 5, 12148–12150. [Google Scholar] [CrossRef]
- Yang, X.; Sun, R.; Li, S.; Zheng, X.; Yuan, M.; Xu, B.; Jiang, W.; Chen, H.; Fu, H.; Li, R. Regioselective Direct C–H Trifluoromethylation of Pyridine. Org. Lett. 2020, 22, 7108–7112. [Google Scholar] [CrossRef] [PubMed]
- Liu, G.; Kuang, G.; Zhang, X.; Lu, N.; Fu, Y.; Peng, Y.; Zhou, Y. Iridium-Catalyzed Regioselective Synthesis of Trifluoromethylated Isocoumarins through Annulation of Benzoic Acids with Trifluoromethylated Alkynes. Org. Lett. 2019, 21, 3043–3047. [Google Scholar] [CrossRef] [PubMed]
- Chen, Y.J.; Zhang, F.G.; Ma, J.A. Zinc-Enabled Annulation of Trifluorodiazoethane with 2H-Azirines to Construct Trifluoromethyl Pyrazolines, Pyrazoles, and Pyridazines. Org. Lett. 2021, 23, 6062–6066. [Google Scholar] [CrossRef] [PubMed]
- Zhang, Y.; Yang, Z.G.; Chen, Z.K.; Liu, L.F.; Wu, X.F. Copper-Catalyzed Decarbonylative Cyclization of Isatins and Trifluoroacetimidohydrazides for the Synthesis of 2-(5-Trifluoromethyl-1,2,4-triazol-3-yl)anilines. Adv. Synth. Catal. 2022, 364, 1044–1049. [Google Scholar] [CrossRef]
- Zhang, Y.; Ling, S.H.; Li, P.Y.; Chen, Z.K.; Wu, X.F. Rh(III)-Catalyzed Dual C–H Activation/Cascade Annulation of Benzimidates and CF3-Imidoyl Sulfoxonium Ylides for the Synthesis of Trifluoromethyl-Decorated Benzo[de][1,8]naphthyridines. Org. Lett. 2022, 24, 8864–8869. [Google Scholar] [CrossRef] [PubMed]
- Zhang, Y.; Wei, G.M.; Qiu, S.Q.; Chen, Z.K.; Wu, X.F. Heating-induced decarboxylative cyclization for the synthesis of 5-trifluoromethyl-1,2,4-triazoles from trifluoroacetimidohydrazides and α-oxocarboxylic acids. Green Synth. Catal. 2023, 4, 177–180. [Google Scholar] [CrossRef]
- Liu, J.; Xiao, Y.S.; Hao, J.; Shen, Q.L. Copper-Catalyzed Trifluoromethylation of (Hetero)aryl Boronic Acid Pinacol Esters with YlideFluor. Org. Lett. 2023, 25, 1204–1208. [Google Scholar] [CrossRef]
- Ye, Y.; Cheung, K.P.S.; He, L.; Tsui, G.C. Synthesis of 2-(Trifluoromethyl)indoles via Domino Trifluoromethylation/Cyclization of 2-Alkynylanilines. Org. Lett. 2018, 20, 1676–1679. [Google Scholar] [CrossRef] [PubMed]
- Rostovtsev, V.V.; Green, L.G.; Fokin, V.V.; Sharpless, K.B. A Stepwise Huisgen Cycloaddition Process: Copper(I)-Catalyzed Regioselective “Ligation” of Azides and Terminal Alkynes. Angew. Chem. Int. Ed. 2002, 41, 2596–2599. [Google Scholar] [CrossRef]
- Tornøe, C.W.; Christensen, C.; Meldal, M. Peptidotriazoles on Solid Phase: [1,2,3]-Triazoles by Regiospecific Copper(I)-Catalyzed 1,3-Dipolar Cycloadditions of Terminal Alkynes to Azides. J. Org. Chem. 2002, 67, 3057–3064. [Google Scholar] [CrossRef] [PubMed]
- Agard, N.J.; Prescher, J.A.; Bertozzi, C.R. A Strain-Promoted [3 + 2] Azide−Alkyne Cycloaddition for Covalent Modification of Biomolecules in Living Systems. J. Am. Chem. Soc. 2004, 126, 15046–15047. [Google Scholar] [CrossRef]
- Vala, D.P.; Vala, R.M.; Patel, H.M. Versatile Synthetic Platform for 1,2,3-Triazole Chemistry. Acs Omega 2022, 7, 36945–36987. [Google Scholar] [CrossRef]
- Wei, F.; Wang, W.; Ma, Y.; Tung, C.-H.; Xu, Z. Regioselective synthesis of multisubstituted 1,2,3-triazoles: Moving beyond the copper-catalyzed azide–alkyne cycloaddition. Chem. Commun. 2016, 52, 14188–14199. [Google Scholar] [CrossRef]
- Opsome, T.; Dehaen, W. Metal-free syntheses of N-functionalized and NH-1,2,3-triazoles: An update on recent developments. Chem. Commun. 2021, 57, 1568–1590. [Google Scholar] [CrossRef]
- Usachev, B.I. Chemistry of fluoroalkyl-substituted 1,2,3-triazoles. J. Fluor. Chem. 2018, 210, 6–45. [Google Scholar] [CrossRef]
- Zhang, R.Z.; Zhang, R.X.; Wang, S.; Xu, C.; Guan, W.; Wang, M. An N-Trifluoromethylation/Cyclization Strategy for Accessing Diverse N-Trifluoromethyl Azoles from Nitriles and 1,3-Dipoles. Angew. Chem. Int. Ed. 2022, 61, e202110749. [Google Scholar] [CrossRef] [PubMed]
- Fu, D.; Zhang, J.; Cao, S. Copper-mediated trifluoromethylation of 5-iodotriazole with (trifluoromethyl)trimethylsilane promoted by silver carbonate. J. Fluor. Chem. 2013, 156, 170–176. [Google Scholar] [CrossRef]
- Yuan, F.; Sun, H.; Yang, C.; Yang, H.; Pan, L.; Zhang, X.; Tian, R.; Li, L.; Chen, W.; Wu, X.; et al. Difluorocarbene-derived rapid late-stage trifluoromethylation of 5-iodotriazoles for the synthesis of 18F-labeled radiotracers. Chin. Chem. Lett. 2023, 34, 107960. [Google Scholar] [CrossRef]
- Wei, F.; Zhou, T.; Ma, Y.; Tung, C.-H.; Xu, Z. Bench-Stable 5-Stannyl Triazoles by a Copper(I)-Catalyzed Interrupted Click Reaction: Bridge to Trifluoromethyltriazoles and Trifluoromethylthiotriazoles. Org. Lett. 2017, 19, 2098–2101. [Google Scholar] [CrossRef]
- Cheung, K.P.S.; Tsui, G.C. Copper(I)-Catalyzed Interrupted Click Reaction with TMSCF3: Synthesis of 5-Trifluoromethyl 1,2,3-Triazoles. Org. Lett. 2017, 19, 2881–2884. [Google Scholar] [CrossRef]
- Zhu, A.; Xing, X.; Wang, S.; Yuan, D.; Zhu, G.; Geng, M.; Guo, Y.; Zhang, G.; Li, L. Multi-component syntheses of diverse 5-fluoroalkyl-1,2,3-triazoles facilitated by air oxidation and copper catalysis. Green Chem. 2019, 21, 3407–3412. [Google Scholar] [CrossRef]
- Ning, Y.; Wang, H.; Sivaguru, P.; Li, S.; Zanoni, G.; Nolanc, S.P.; Bi, X. Defluorinative [4 + 1] annulation of perfluoroalkyl N-mesylhydrazones with primary amines provides 5-fluoroalkyl 1,2,3-triazoles. Green Chem. 2021, 23, 7976–7981. [Google Scholar] [CrossRef]
- Yang, H.; Xu, T.-H.; Lu, S.-N.; Chen, Z.; Wu, X.-F. Synthesis of 5-trifluoromethyl-1,2,3-triazoles via base-mediated cascade annulation of diazo compounds with trifluoroacetimidoyl chlorides. Org. Chem. Front. 2021, 8, 3440–3445. [Google Scholar] [CrossRef]
- Rozin, Y.A.; Leban, J.; Dehaen, W.; Nenajdenko, V.G.; Muzalevskiy, V.M.; Eltsov, O.S.; Bakulev, V.A. Regioselective synthesis of 5-trifluoromethyl-1,2,3-triazoles via CF3-directed cyclization of 1-trifluoromethyl-1,3-dicarbonyl compounds with azides. Tetrahedron 2012, 68, 614–618. [Google Scholar] [CrossRef]
- Iminov, R.T.; Mashkov, A.V.; Chalyk, B.A.; Mykhailiuk, P.K.; Tverdokhlebov, A.V.; Tolmachev, A.A.; Volovenko, Y.M.; Shishkin, O.V.; Shishkina, S.V. A Convenient Route to 1-Alkyl-5-trifluoromethyl-1,2,3-triazole-4-carboxylic Acids Employing a Diazo Transfer Reaction. Eur. J. Org. Chem. 2013, 2013, 2891–2987. [Google Scholar] [CrossRef]
- Xiong, Z.; Qiu, X.-L.; Huang, Y.; Qing, F.-L. Regioselective synthesis of 5-trifluoromethyl-1,2,3-triazole nucleoside analogues via TBS-directed 1,3-dipolar cycloaddition reaction. J. Fluor. Chem. 2011, 132, 166–174. [Google Scholar] [CrossRef]
- Wang, S.; Yang, L.-J.; Zeng, J.-L.; Zheng, Y.; Ma, J.-A. Silver-catalyzed [3 + 2] cycloaddition of isocyanides with diazo compounds: New regioselective access to 1,4-disubstituted-1,2,3-triazoles. Org. Chem. Front. 2015, 2, 1468–1474. [Google Scholar] [CrossRef]
- Panish, R.; Thieu, T.; Balsells, J. Copper-Catalyzed Synthesis of 5-Carboxyl-4-perfluoroalkyl Triazoles. Org. Lett. 2021, 23, 5937–5941. [Google Scholar] [CrossRef]
- Sibgatulin, D.A.; Bezdudny, A.V.; Mykhailiuk, P.K.; Voievoda, N.M.; Kondratov, I.S.; Volochnyuk, D.M.; Tolmachev, A.A. Novel Synthetic Approaches to (Trifluoromethyl)triazoles. Synthesis 2010, 2010, 1075–1077. [Google Scholar]
- Kumar, A.; Ahamad, S.; Kant, R.; Mohanan, K. Silver-Catalyzed Three-Component Route to Trifluoromethylated 1,2,3-Triazolines Using Aldehydes, Amines, and Trifluorodiazoethane. Org. Lett. 2019, 21, 2962–2965. [Google Scholar] [CrossRef]
- Ayothiraman, R.; Gangu, A.S.; Bandaru, D.; Guturi, S.K.; Lakshminarasimhan, T.; Jaleel, M.; Kanagavel, K.; Rangaswamy, S.; Cuniere, N.L.; Zaretsky, S.; et al. Two Approaches to a Trifluoromethyl Triazole: A Fit-for-Purpose Trifluoromethylation in Flow-Mode and a Long-Term Decarboxylative Click Approach. Org. Process. Res. Dev. 2020, 24, 207–215. [Google Scholar] [CrossRef]
- Panja, C.; Puttaramu, J.V.; Chandran, T.K.; Nimje, R.Y.; Kumar, H.; Gupta, A.; Arunachalam, P.N.; Corte, J.R.; Mathur, A. Methyl-2,2-difluoro-2-(fluorosulfonyl) acetate (MDFA)/copper (I) iodide mediated and tetrabutylammonium iodide promoted trifluoromethylation of 1-aryl-4-iodo-1,2,3-triazoles. J. Fluor. Chem. 2020, 236, 109516. [Google Scholar] [CrossRef]
- Devaraj, N.K.; Finn, M.G. Introduction: Click Chemistry. Chem. Rev. 2021, 121, 6697–6698. [Google Scholar] [CrossRef]
- Finn, M.G.; Kolb, H.C.; Sharpless, K.B. Click chemistry connections for functional discovery. Nat. Synth. 2022, 1, 8–10. [Google Scholar] [CrossRef]
- Bertozzi, C. A Special Virtual Issue Celebrating the 2022 Nobel Prize in Chemistry for the Development of Click Chemistry and Bioorthogonal Chemistry. ACS Cent. Sci. 2023, 9, 558–559. [Google Scholar] [CrossRef]
- Li, D.; Qiu, S.; Wei, Y.; Zhao, Y.; Wu, L. Ligand Control of Copper-Mediated Cycloadditions of Acetylene to Azides: Chemo- and Regio-Selective Formation of Deutero- and Iodo-Substituted 1,2,3-Triazoles. J. Org. Chem. 2024, 89, 825–834. [Google Scholar] [CrossRef]
- Qiu, S.; Chen, W.; Li, D.; Chen, Y.; Niu, Y.; Wu, Y.; Lei, Y.; Wu, L.; He, W. The Use of Propargylamines to Synthesize Amino-1,2,3-triazoles via Cycloaddition of Azides with Allenamines. Synthesis 2022, 54, 2175–2184. [Google Scholar]
- Qiu, S.; Chen, Y.; Song, X.; Liu, L.; Liu, X.; Wu, L. Potassium tert-Butoxide Promoted Synthesis of 4,5-Diaryl-2H-1,2,3-triazoles from Tosylhydrazones and Nitriles. Synlett 2020, 32, 86–90. [Google Scholar]
- Wu, L.; Wang, X.; Chen, Y.; Huang, Q.; Lin, Q.; Wu, M. 4-Aryl-NH-1,2,3-Triazoles via Multicomponent Reaction of Aldehydes, Nitroalkanes, and Sodium Azide. Synlett 2016, 27, 437–441. [Google Scholar] [CrossRef]
- Wu, L.-Y.; Xie, Y.-X.; Chen, Z.-S.; Niu, Y.-N.; Liang, Y.-M. A Convenient Synthesis of 1-Substituted 1,2,3-Triazoles via CuI/Et3N Catalyzed ‘Click Chemistry’ from Azides and Acetylene Gas. Synlett 2009, 2009, 1453–1456. [Google Scholar] [CrossRef]
- Zhou, Q.; Bao, Y.; Yan, G. 2-Bromo-3,3,3-Trifluoropropene: A Versatile Reagent for the Synthesis of Fluorinated Compounds. Adv. Synth. Catal. 2022, 364, 1371–1387. [Google Scholar] [CrossRef]
- Guo, P.; Tao, M.; Xu, W.-W.; Wang, A.-J.; Li, W.; Yao, Q.; Tong, J.; He, C.-Y. Synthesis of Secondary Trifluoromethylated Alkyl Bromides Using 2-Bromo-3,3,3-trifluoropropene as a Radical Acceptor. Org. Lett. 2022, 24, 2143–2148. [Google Scholar] [CrossRef]
- Wen, X.R.; Zhu, W.Q.; Zhang, C.L.; Li, H.; Zhang, J.; Yang, M.G.; Kou, Y.L.; Liu, Y.X.; Li, Y. Synthesis of α-CF3 Amides via Palladium-Catalyzed Carbonylation of 2-Bromo-3,3,3-trifluoropropene. ACS Omega 2023, 8, 7128–7134. [Google Scholar] [CrossRef]
- Cai, Y.; Jiang, H.; Zhu, C. α-Trifluoromethyl Carbanion-catalyzed Intermolecular Stetter Reaction of Aromatic Aldehydes with 2-Bromo-3,3,3-trifluoropropene: Synthesis of β-Alkoxyl-β-trifluoromethylated Ketones. Org. Lett. 2022, 24, 33–37. [Google Scholar] [CrossRef] [PubMed]
- Li, W.; Mao, T.; Yang, J.-J.; Shang, M.-C.; Li, X.; Wang, A.-J.; Wang, P.; Zhao, L. Synthesis of Secondary Trifluoromethylated Alkyl Bromides with Further Conversion to Boronic Esters and Alcohols. Asian J. Org. Chem. 2023, 12, e202300329. [Google Scholar] [CrossRef]
- Zhu, C.; Zeng, H.; Liu, C.; Cai, Y.; Fang, X.; Jiang, H. Regioselective Synthesis of 3-Trifluoromethylpyrazole by Coupling of Aldehydes, Sulfonyl Hydrazides, and 2-Bromo-3,3,3-trifluoropropene. Org. Lett. 2020, 22, 809–813. [Google Scholar] [CrossRef]
- Zeng, H.; Fang, X.; Yang, Z.; Zhu, C.; Jiang, H. Regioselective Synthesis of 5-Trifluoromethylpyrazoles by [3 + 2] Cycloaddition of Nitrile Imines and 2-Bromo-3,3,3-trifluoropropene. J. Org. Chem. 2021, 86, 2810–2819. [Google Scholar] [CrossRef] [PubMed]
- Lu, J.; Man, Y.; Zhang, Y.; Lin, B.; Lin, Q.; Weng, Z. Copper-catalyzed chemoselective synthesis of 4-trifluoromethyl pyrazoles. RSC Adv. 2019, 9, 30952–30956. [Google Scholar] [CrossRef]
- Zhang, X.; Wang, H.; Xie, L.; You, C.; Han, X.; Weng, Z. Copper-Catalyzed Synthesis of 5-Aryl-6-(Trifluoromethyl)-2,3-Dihydropyrazolo [1,2-a]Pyrazol-1(5H)-One. Chem. Asian J. 2021, 16, 2669–2673. [Google Scholar] [CrossRef]
- Chalyk, B.A.; Hrebeniuk, K.V.; Fil, Y.V.; Gavrilenko, K.S.; Rozhenko, A.B.; Vashchenko, B.V.; Borysov, O.V.; Biitseva, A.V.; Lebed, P.S.; Bakanovych, I.; et al. Synthesis of 5-(Fluoroalkyl)isoxazole Building Blocks by Regioselective Reactions of Functionalized Halogenoximes. J. Org. Chem. 2019, 84, 15877–15899. [Google Scholar] [CrossRef]
- Zeng, W.; Li, H.; Wang, D.; Zhou, L. Regioselective Synthesis of 3-Trifluoromethylpyrroles by [3 + 2] Cycloaddition of N-Acyl α-Amino Acids and 2-Bromo-3,3,3-trifluoropropene. J. Org. Chem. 2023, 88, 14088–14095. [Google Scholar] [CrossRef]
- Yamazaki, T.; Mizutani, K.; Kitazume, T. Modified Preparation Method of Trifluoromethylated Propargylic Alcohols and Its Application to Chiral 2,6-Dideoxy-6,6,6-trifluoro sugars. J. Org. Chem. 1995, 60, 6046–6056. [Google Scholar] [CrossRef]
- Konno, T.; Chae, J.; Kanda, M.; Nagai, G.; Tamura, K.; Ishihara, T.; Yamanaka, H. Facile syntheses of various per- or polyfluoroalkylated internal acetylene derivatives. Tetrahedron 2003, 59, 7571–7580. [Google Scholar] [CrossRef]
- Vuagnat, M.; Tognetti, V.; Jubault, P.; Besset, T. Ru(II)-Catalyzed Hydroarylation of in situ Generated 3,3,3-Trifluoro-1-propyne by C−H Bond Activation: A Facile and Practical Access to β-Trifluoromethylstyrenes. Chem. Eur. J. 2022, 28, e202201928. [Google Scholar] [CrossRef]
- Li, Z.Y.; Dong, J.N.; Wang, J.W.; Yang, D.-Y.; Weng, Z.Q. Elemental sulfur-promoted one-pot synthesis of 2-(2,2,2-trifluoroethyl)benzoxazoles and their derivatives. Chem. Commun. 2019, 55, 13132–13135. [Google Scholar] [CrossRef] [PubMed]
- Wu, W.; Luo, B.; You, Y.; Weng, Z.Q. Copper-catalyzed one-pot synthesis of 2-(2,2,2-trifluoroethyl)-substituted benzofused heterocycles. Org. Chem. Front. 2021, 8, 1997–2001. [Google Scholar] [CrossRef]
- Nolte, C.; Mayer, P.; Straub, B.F. Isolation of a Copper(I) Triazolide: A “Click” Intermediate. Angew. Chem. Int. Ed. 2007, 46, 2101–2103. [Google Scholar] [CrossRef] [PubMed]
- Benati, L.; Bencivenni, G.; Leardini, R.; Minozzi, M.; Nanni, D.; Scialpi, R.; Spagnolo, P.; Zanardi, G. Radical Reduction of Aromatic Azides to Amines with Triethylsilane. J. Org. Chem. 2006, 71, 5822–5825. [Google Scholar] [CrossRef]
- Zeng, L.; Li, J.; Cui, S. Rhodium-Catalyzed Atroposelective Click Cycloaddition of Azides and Alkynes. Angew. Chem. Int. Ed. 2022, 61, e202205037. [Google Scholar] [CrossRef]
- Alvarez, S.G.; Alvarez, M.T. A Practical Procedure for the Synthesis of Alkyl Azides at Ambient Temperature in Dimethyl Sulfoxide in High Purity and Yield. Synthesis 1997, 1997, 413–414. [Google Scholar] [CrossRef]
- Barbosa, F.C.; Oliveira RN, D. Synthesis of a new class of triazole-linked benzoheterocycles via 1,3-dipolar cycloaddition. J. Braz. Chem. Soc. 2011, 22, 592–597. [Google Scholar] [CrossRef]
- Sallustrau, A.; Bregant, S.; Chollet, C.; Audisio, D.; Taran, F. Scalable and practical synthesis of clickable Cu-chelating azides. Chem. Comm. 2017, 53, 7890–7893. [Google Scholar] [CrossRef]
- Piccinno, M.; Aragay, G.; Mihan, F.Y.; Ballester, P.; Dalla Cort, A. Unexpected Emission Properties of a 1,8-Naphthalimide Unit Covalently Appended to a Zn–Salophen. Eur. J. Inorg. Chem. 2015, 2015, 2664–2670. [Google Scholar] [CrossRef]
- Wu, X.; Wu, W.; Cui, X.; Zhao, J.; Wu, M. Preparation of Bodipy–ferrocene dyads and modulation of the singlet/triplet excited state of bodipy via electron transfer and triplet energy transfer. J. Mater. Chem. C. 2016, 4, 2843–2853. [Google Scholar] [CrossRef]
- Añón, E.; Costero, A.M.; Gaviña, P.; Parra, M.; El Haskouri, J.; Amorós, P.; Martínez-Máñez, R.; Sancenón, F. Not always what closes best opens better: Mesoporous nanoparticles capped with organic gates. Sci. Technol. Adv. Mat. 2019, 20, 699–709. [Google Scholar] [CrossRef] [PubMed]
- Siles, R.; Kawasaki, Y.; Ross, P.; Freire, E. Synthesis and biochemical evaluation of triazole/tetrazole-containing sulfonamides against thrombin and related serine proteases. Bioorg. Med. Chem. Lett. 2011, 21, 5305–5309. [Google Scholar] [CrossRef] [PubMed]
- Peroković, V.P.; Car, Ž.; Draženović, J.; Stojković, R.; Milković, L.; Antica, M.; Škalamera,, Đ.; Tomić, S.; Ribić, R. Design, Synthesis, and Biological Evaluation of Desmuramyl Dipeptides Modified by Adamantyl-1,2,3-triazole. Molecules 2021, 26, 6352. [Google Scholar] [CrossRef]



![]() | ||||||
|---|---|---|---|---|---|---|
| Entry | CuI | Ligand 2 | Solvent | Temp. (°C) | Time (h) | Yield 3 |
| 1 | none | none | DMF | 100 | 16 | n.d. |
| 2 | 10 mol% | none | DMF | 80 | 16 | 47 |
| 3 | 10 mol% | Phen | CH3CN | 35 | 4 | 37 |
| 4 | 10 mol% | Phen | CH3CN | 50 | 4 | 76 |
| 5 | 10 mol% | Phen | CH3CN | 50 | 10 | 87 |
| 6 | 10 mol% | Phen | CH3CN | 65 | 4 | 95 |
| 7 | 10 mol% | Phen | CH3CN | 75 | 4 | 92 |
| 8 | 10 mol% | Phen | CH3CN | 65 | 3 | 93 |
| 9 | 10 mol% | Phen | CH3CN | 65 | 2 | 79 |
| 10 | 10 mol% | Phen | DMF | 65 | 4 | 94 |
| 11 | 10 mol% | Phen | DMSO | 65 | 4 | 51 |
| 12 4 | 10 mol% | L1 | CH3CN | 65 | 4 | 93 |
| 13 5 | 10 mol% | L2 | CH3CN | 65 | 4 | 93 |
| 14 | 10 mol% | Phen | CH3CN | 65 | 4 | 69 |
| 15 | 10 mol% | Phen | CH3CN | 65 | 4 | 95 |
| 16 6 | 5 mol% | Phen | CH3CN | 65 | 4 | 87 |
![]() |
|---|
![]() |
![]() |
|---|
![]() |
Disclaimer/Publisher’s Note: The statements, opinions and data contained in all publications are solely those of the individual author(s) and contributor(s) and not of MDPI and/or the editor(s). MDPI and/or the editor(s) disclaim responsibility for any injury to people or property resulting from any ideas, methods, instructions or products referred to in the content. |
© 2024 by the authors. Licensee MDPI, Basel, Switzerland. This article is an open access article distributed under the terms and conditions of the Creative Commons Attribution (CC BY) license (https://creativecommons.org/licenses/by/4.0/).
Share and Cite
Tang, T.; Chen, C.; Fu, X.; Xu, H.; Wu, L.; Chen, W. Copper-Catalyzed Synthesis of 4-CF3-1,2,3-Triazoles: An Efficient and Facile Approach via Click Reaction. Molecules 2024, 29, 1191. https://doi.org/10.3390/molecules29061191
Tang T, Chen C, Fu X, Xu H, Wu L, Chen W. Copper-Catalyzed Synthesis of 4-CF3-1,2,3-Triazoles: An Efficient and Facile Approach via Click Reaction. Molecules. 2024; 29(6):1191. https://doi.org/10.3390/molecules29061191
Chicago/Turabian StyleTang, Tinghong, Cuiting Chen, Xin Fu, Huilan Xu, Luyong Wu, and Wenhao Chen. 2024. "Copper-Catalyzed Synthesis of 4-CF3-1,2,3-Triazoles: An Efficient and Facile Approach via Click Reaction" Molecules 29, no. 6: 1191. https://doi.org/10.3390/molecules29061191
APA StyleTang, T., Chen, C., Fu, X., Xu, H., Wu, L., & Chen, W. (2024). Copper-Catalyzed Synthesis of 4-CF3-1,2,3-Triazoles: An Efficient and Facile Approach via Click Reaction. Molecules, 29(6), 1191. https://doi.org/10.3390/molecules29061191






