Abstract
The pyrimidine ring is present in various biomolecules such as DNA and RNA bases, aminoacids, vitamins, etc. Additionally, many clinically used drugs including methotrexate and risperidone contain the pyrimidine heterocyclic scaffold as well. Pyrimidine derivatives present diverse biological activities including antioxidant and anticancer activities and can be considered as privileged scaffolds in drug discovery for the treatment of various diseases. Piperidine pyrimidine amides have gained significant attention due to their enzymatic inhibitory activity. Based on our experience and ongoing investigation on cinnamic acid derivatives, their hybrids and substituted pteridines acting as lipoxygenase inhibitors, antioxidants, anti-cancer, and anti-inflammatory agents a series of novel piperidine pyrimidine cinnamic acids amides have been designed and synthesized. The novel hybrids were studied for their antioxidant and anti-inflammatory potential. They exhibit moderate antioxidant activity in the DPPH assay which may be related to their bulkiness. Moreover, moderate to good lipid peroxidation inhibition potential was measured. With regards to their lipoxygenase inhibitory activity, however, two highly potent inhibitors out of the nine tested derivatives were identified, demonstrating IC50 values of 10.7 μM and 1.1 μM, respectively. Molecular docking studies to the target enzyme lipoxygenase support the experimental results.
1. Introduction
Oxidative stress is a disturbance in the balance between reactive oxygen species (ROS) production and their deactivation [1,2]. This imbalance provokes tissue damage and induces inflammation [3]. Moreover, ROS including superoxide anion, hydroxyl radical and hydrogen peroxide and their reactive products can damage biological macromolecules, resulting in DNA mutations, lipid peroxidation and protein oxidation [4]. Additionally, they are implicated in arachidonic acid metabolism through cyclooxygenase (COX) and lipoxygenase (LOX) [5,6,7,8]. The latter enzymes catalyze the oxidation of polyunsaturated fatty acids (PUFAs) to the corresponding hydroperoxides, various bioregulatory molecules such as leukotrienes, lipoxins and hepoxylins, hence mediating a variety of pathophysiological diseases such as rheumatoid arthritis, bronchial asthma, psoriasis, cancer and other inflammatory disorders [6,9,10,11].
Heterocyclic compounds, due to their structural diversity, play a pivotal role in a range of fields, including agrochemical, veterinary and medicinal chemistry [12]. In particular, nitrogen containing heterocyclics such as pyrimidines present exceptional biopharmacological activities [13]. A considerable number of clinically used drugs such as minoxidil, phenobarbital, primidone, zidovudine, stavudine, 5-flurouracil, methotrexate, imatinib, dasatinib, pazopanib, nilotinib, cytarabine, uramustine, tegafur, risperidone, sulfamethazine and trimethoprim contain the pyrimidine heterocyclic scaffold [14,15]. In recent years, diverse biological activities of pyrimidine derivatives, including anticancer [16,17], antibacterial [18,19,20], antifungal [21], antitubercular [21,22], antimalarial [23], antiviral [24,25,26], analgesic [27], antioxidant [28,29], anti-lipoxygenase [30,31] and anti-inflammatory activities have been reported [32,33]. Thus, the pyrimidine ring can be considered as a promising pharmacophoric scaffold for the synthesis of novel bioactive molecules for the treatment of various diseases.
The group of cinnamic acids (CAs) such as ferulic, caffeic and other phenolic CAs are known to also exert important biological properties including anti-inflammatory and antioxidant [34,35,36], anti-microbial [37,38], anti-tumor [39,40,41], cytoprotective activities ameliorating neuro inflammation in neurogenerative diseases [42,43] and anti-hyperlipidemic activities [44]. They are widely used either as single molecules or in combination with other drugs such as hybrids for improving human health.
In recent years, piperidine pyrimidine amides are an emerging category of heterocyclic derivatives that have attracted the attention of the scientific community [45,46]. Researchers have focused on piperidine pyrimidine amides due to their various biological activities and potential therapeutic applications. These compounds have been shown to act characterized as inhibitors both for enzymic and non-enzymic targets, making them promising drug candidates (Figure 1) [47,48,49,50,51,52,53]. The combination of these structural features results in chemical properties that make them potentially useful in a variety of applications.
Figure 1.
Examples of piperidine pyrimidine amides with inhibitory activity: Inhibitor of sodium hydrogen exchanger-1 (I) [49], Inhibitor of in vivo PCA (passive cutaneous anaphylaxis) (II) [50], Inhibitor of LIM (Lin-11/Isl-1/Mec-3 domain-containing protein) kinase 1 and LIM kinase 2 (III) [51], and Inhibitor of the CCR5 (C-C Chemokine Receptor type 5) (IV) [52].
Hybrid drugs incorporate two different pharmacophores in a single molecule, interacting simultaneously with multiple targets [54,55]. During the last decade, several cinnamic acid derivatives [36,40] and their hybrids (amides combined with different pharmacophores) have been designed and synthesized as potent lipoxygenase inhibitors, antioxidant, anti-cancer and anti-inflammatory agents [56]. Recently our group reported a series of appropriately chemically substituted pteridines exerting antioxidant and anti-inflammatory activities [4] and pyrimidine derivatives as antioxidant and anticancer agents [31].
Based on the aforementioned studies, a series of novel hybrid piperidine pyrimidine amides with cinnamic acids has been designed, synthesized and studied as possible antioxidant and anti-inflammatory agents (Figure 2). Molecular docking studies to the target enzyme lipoxygenase have been performed.
Figure 2.
General structure of the newly synthesized hybrids. The encircled portions represent the: (a) the cinnamic acid (red), (b) the pyrimidine (green) and (c) the piperidine (purple) moiety accordingly.
2. Results and Discussion
2.1. Chemistry
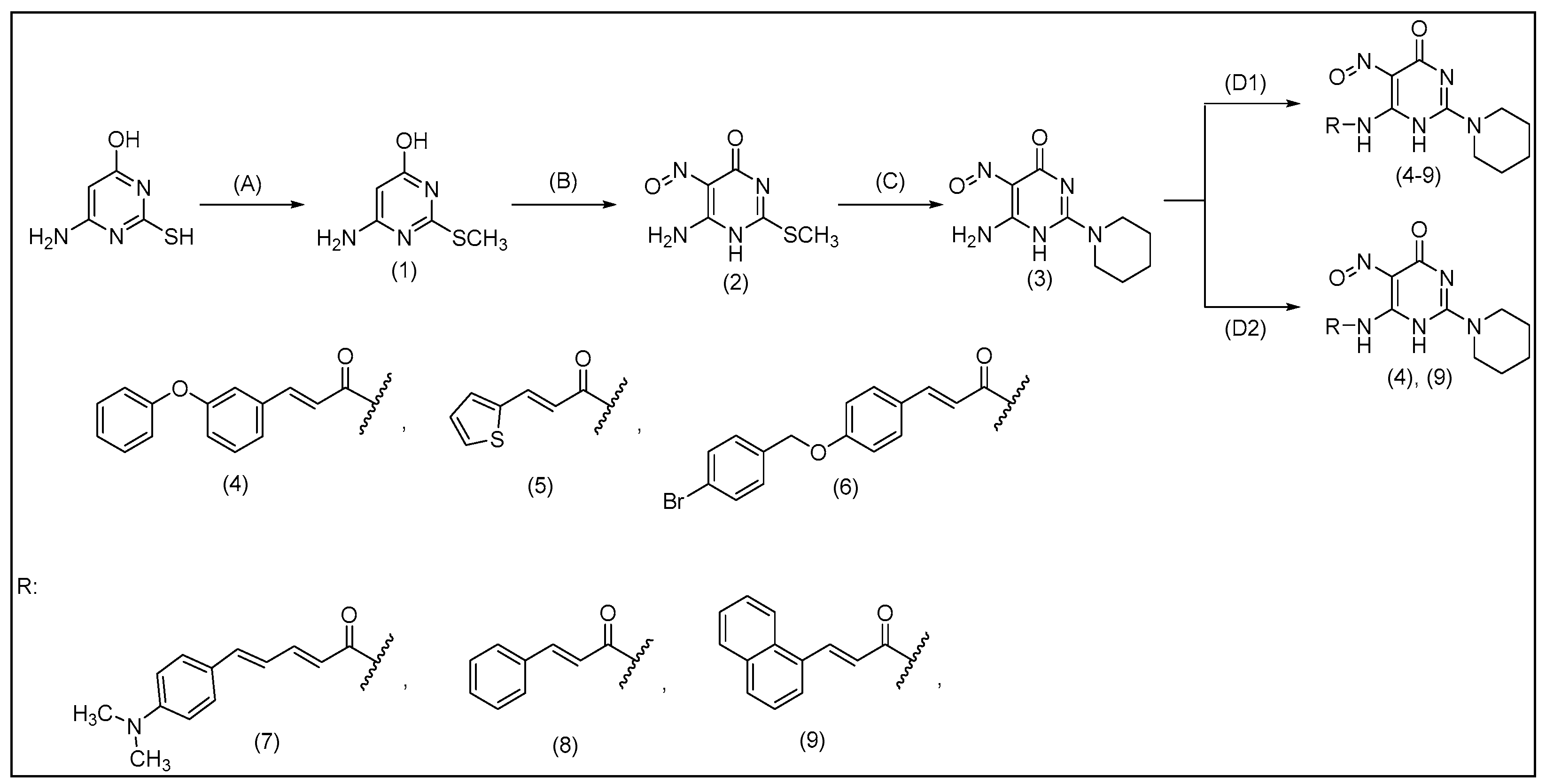
The synthesis of pyrimidine acrylamides was accomplished by an N-acylation reaction between 6-amino-5-nitroso-2-(piperidin-1-yl)-pyrimidin-4(1H)-one (3) and six different carboxylic acids as it is depicted in Figure 3. Two different N-acylation methods were used (Figure 3). The first one involved the use of the peptide coupling reagent (dimethylamino)phosphonium hexafluorophosphate (BOP) (Figure 3(D1)) and the second synthetic route proceeded through the formation of the N-hydroxysuccinimide active ester which can consequently react very quickly with amines in the presence of 1-Ethyl-3-(3-dimethylaminopropyl)carbodiimide hydrochloride (EDCI∙HCl) (Figure 3(D2)).
Figure 3.
Synthesis of pyrimidine acrylamides (4)–(9). Reagents and conditions used: (A): 6-amino-2-sylfanyl-4(3H)-pyrimidone monohydrate, EtOH, Et3N, MeI, 1 h, r.t.; (B): 6-amino-(2-methylthio)pyrimidin-4(3H)-one (1), NaOH/H2O, NaNO2, gl. CH3COOH, 2–3 h, r.t.; (C): 6-amino-(2-methylthio) nitrosopyrimidin-4(3H)-one (2), EtOH, piperidine, H2O, reflux, 6 h; (D1): RCOOH, DMF, Et3N, 6-amino-5-nitroso-2-(piperidin-1-yl)-pyrimidin-4(1H)-one (3), BOP/CH2Cl2, 30 min-0 °C, 72 h-r.t.; (D2): RCOOH, DMF, NHS, EDCI∙HCl, 6-amino-5-nitroso-2-(piperidin-1-yl)-pyrimidin-4(1H)-one (3), Et3N, 72 h, r.t.
Both routes were used to prepare compounds (4)–(9), whereas only the second method was used to afford compounds (4) and (9). All compounds are new and they have not been synthesized previously and their structural characterization was based on 1H-NMR, 13C-NMR, IR, MS (ESI) and elemental analysis data. The most characteristic 1H-NMR signals of all compounds are the ones which correspond to the α,β -double bond protons (one doublet signal below δ 7 ppm and second doublet signal above δ 7 ppm with a characteristic coupling constant at approximate 15 Hz), while, on the 13C-NMR spectra, the presence of the second carbonyl signal around δ 160 ppm confirms the newly formed amide bond.
2.2. In Silico Physicochemical Studies—Computational Analysis
Drug-likeness estimates in a qualitative mode whether a compound can be administered orally with respect to its bioavailability profile. The calculation of properties was carried out through the online Molinspiration software [57]. Molecular weight, topological polar surface area (TPSA), hydrogen-bond donors and acceptors and number of rotational bonds are calculated in order to evaluate the drug-likeness of the compounds and the violation of “Rule of five” (“Lipinski’s rule”) [58]. The calculation of properties includes all the novel hybrids (4)–(9) and the intermediate compounds (1), (2) and (3), as well, to investigate the role of the amide group on the drug-likeness.
As it is represented in Table 1, only compound (6) violates both molecular weight and LogP properties, which is over 500 and 5 respectively, whereas none of the rest of the compounds present any violation [58]. Compounds (4)–(9) generally have higher LogP values, indicating their hydrophobic nature. Regarding the antioxidant and anti-inflammatory activity, hydrophobic compounds are more likely to readily cross cell membranes and reach the target site [59]. Oral bioavailability after per os administration is closely related with TPSA and the number of rotatable bonds. None of the tested compounds exhibit TPSA values above 140 Å2 and number of rotatable bonds more than 10, suggesting a satisfactory per os bioavailability [60]. Moreover, the fact that all the compounds have relatively low TPSA values (well below 140 Å2), indicate limited polar interactions. However, restricted Blood Brain Barrier (BBB) passage was predicted for all compounds, except (1) since for sufficient BBB permeability the TPSA values should be less than 90 [61]. Moreover, the compounds (4)–(9) have a higher number of rotatable bonds, affecting the molecular flexibility and as a result the possible interaction with the target [62].
Table 1.
Drug-likeness/physicochemical properties of the synthesized compounds (1)–(9).
2.3. Biological Evaluation
Oxidative stress is defined as the imbalance between formation of reactive oxygen species (ROS) and the antioxidant defense mechanisms. There is also an appreciation that increased ROS including superoxide anion, hydroxyl radical, hydrogen peroxide and their reactive products are associated with the pathogenesis of numerous chronic inflammatory conditions including diabetes, cancer, Parkinson’s and Alzheimer’s disease, cardiovascular disease, rheumatoid arthritis and immune dysregulation. Antioxidants are compounds that can prevent or delay oxidation and cell damage, mainly through their ability to scavenge free radicals usually occurring as autoxidation. Antioxidants can be exogenous or naturally occurring and enzymatic or non-enzymatic [63].
Τhe synthesized compounds were studied in vitro to assess: (a) interaction with the stable free radical 2,2-diphenyl-1-picrylhydrazyl radical (DPPH), (b) inhibition of the 2,2′-azobis (2-amidinopropane) dihydrochloride (AAPH)-induced linoleic acid peroxidation and (c) inhibition of soybean lipoxygenase.
The DPPH assay is employed to evaluate the antioxidant capacity using free radicals for assessing the ability of the synthesized hybrids to serve as hydrogen providers or free-radical scavengers. The DPPH assay is associated with the elimination of DPPH, which would be a stabilized free radical appearing as a lower absorption at 517 nm. The interaction of all the synthesized hybrids with the stable free DPPH was examined at a concentration of 100 μM, both at 20 min and 60 min (Table 2). As a reference compound nordihydroguaretic acid (NDGA), a phenolic lignan strong antioxidant was used [36]. We observed limited reducing ability of the compounds. DPPH reduction activity depends on the ability of the compounds to access the radical site rather than from their chemical properties. The bulkier the compounds are the more difficult to reach into the radical site center. Thus, it is possible that our derivatives due to the substituted pyrimidine ring do not manage to enter the radical center [64].
Table 2.
Antioxidant and Anti-inflammatory activity of the developed compounds based on DDPH, APPH and soybean LOX inhibition in vitro assays.
Oxidative stress has been induced for a variety of antioxidant compounds through redox degradation of hydrogen peroxide or hydroperoxides by metal ions and thermal decomposition of free radical initiators, including hyponitrites, peroxides and azo compounds [65,66]. In this assay, AAPH was selected as the inducer of peroxy radicals and sodium linoleate was utilized as substrate to peroxidation. AAPH is a water-soluble azo compound having the ability to directly generate peroxyl radicals at room temperature and at a constant and reproducible rate without generating H2O2 (hydrogen pexoxide) as an intermediate [67,68,69]. During this experiment, sodium linoleate was transformed into 13-hydroperoxy-linoleic acid, and this transformation was measured at 234 nm. Consequently, any variation in absorbance indicates the possible antioxidant effect of the synthesized derivatives compared to the reference compound, Trolox (Table 2). According to the biological evaluation, the tested compounds (4–7) showed high activity (71–82%) apart from compound (6) which presented medium activity 30%. Compounds (8) and (9) were found to be inactive. Compound (7), the pyrimidine derivative of (2E,4E)-5-(4-(dimethylamino)phenyl)penta-2,4-dienoic acid, exhibited the highest activity (82%) followed by compound (5), the pyrimidine derivative of 3-(2-thienyl)acrylic acid (78%). It may be deduced that the presence of an additional double bond favors the activity due to the resemblance to the natural substrate.
Lipoxygenases (LOX) play a pivotal role in the regulation of inflammatory responses by generating potent proinflammatory mediators such as leukotrienes or anti-inflammatory substances known as lipoxins. The plant derived LOX (soybean) has been extensively utilized in a variety of studies [41] and could be characterized as a representative analogous model to human 5-LOX due to its satisfactory homology [42]. Plant LOX has linoleic acid as a substrate. As an indicative study for anti-inflammatory activity, the synthesized compounds were tested for their ability to inhibit soybean lipoxygenase (Table 2). The most potent pyrimidine derivatives proved to be compound (9) presenting an IC50 = 1.1 μM and compound (5) presenting an IC50 = 10.7 μM. Compound (9) is a promising lipoxygenase inhibitor and its calculated IC50 value is close to the activity to NDGA, a well-known lipoxygenase inhibitor, used in this study as reference compound. The other final pyrimidine derivatives (4, 6–8) presented moderate activity (35–49%) while the starting material and the intermediates did not present any activity.
2.4. Computational Analysis—Molecular Docking on Soybean Lipoxygenase
Docking studies were performed for the intermediates as well for the final acrylamides. Soybean lipoxygenase-1 (PDB ID: 3PZW) was chosen to comply with the biological protocol. It is well known that lipoxygenases are hyperoxidases containing a ‘‘non-heme’’ iron per molecule. They catalyze the reaction of molecular oxygen with free and esterified polyunsaturated fatty acids containing a (1Z,4Z)-penta-1,4-diene system turning them into the corresponding hydroperoxides. According to recent literature, lipoxygenases in addition to the substrate compass other possible allosteric binding sites [70,71,72]. Docking studies have been conducted to investigate potential binding modes to both the active site and the entire protein encompassing all other sites. The synthesized compounds do not appear to have the ability to enter into the binding site of the enzyme. These findings are supported by previous publications [71,73,74]. Table 3 presents the binding affinity values for all the compounds, expressed in kcal/mol. A lower docking score indicates a more favorable binding affinity.
Table 3.
Binding affinity values (kcal/mol) for blind docking for all the synthesized compounds.
The intermediate compounds (1), (2) and (3) did not exhibit good docking scores following the experimental results. From the biological evaluation, it can be concluded that the most active derivatives are compounds (5) and (9), presenting AutoDock Vina scores of −8.7 and −10.6 kcal/mol, respectively. There is not 100% correlation between docking scores and IC50 values. Docking affinity values are based on algorithms and scoring function calculations while on the other hand IC50 values are calculated experimentally. Docking provides putative binding mode of the ligand with the protein instead IC50 provides the value for inhibitory activity.
Compound (5) seems to interact with soybean lipoxygenase with hydrophobic interactions with Phe144 and Val520 and hydrogen bonds with Arg141, Arg182, and Tyr525 residues (Figure 4). Compound (9), being the most active, develops hydrogen bonds with Asn128 and Tyr525, hydrophobic contacts with Leu20, Trp130, Leu246, Lys526, Pro530, Trp772 and π-stacking with Phe108 (Figure 5). Figure 6 describes the binding mode of the two novel derivatives with the enzyme. They seem to interact in a different mode but the hydrogen bond with Tyr525 seems to be important for their binding mode. It is well known that a significant number of LOX inhibitors act as antioxidants or scavengers of free radicals [36] and lipoxygenase reaction takes place through a carbon-centered radical on a lipid chain. Probably, compounds (5) and (9) interact with SLOX by expanding into the hydrophobic pocket, hindering natural substrates from reaching the active site and hence inhibiting the oxidation cycle by soybean lipoxygenase.
Figure 4.
Preferred docking pose of compound (5) bound to soybean lipoxygenase (PDB ID: 3PZW).
Figure 5.
Preferred docking pose of compound (9) bound to soybean lipoxygenase (PDB ID: 3PZW).
Figure 6.
Preferred binding poses of compounds (5) and (9) bound to soybean lipoxygenase (PDB ID: 3PZW). The catalytic and the allosteric sites are highlighted with grey dashed lines. The orange sphere at the catalytic site represents the iron atom.
3. Experimental Section
3.1. Materials and Instruments
Analytical grade chemical and biochemical reagents have been utilized and solvents were supplied from commercial sources (Sigma, St. Louis, MO, USA, Merck, Merck KGaA, Darmstadt, Germany, Fluka Sigma–Aldrich Laborchemikalien GmbH, Hannover, Germany, Alfa Aesar, Karlsruhe, Germany) and used without further purification. Sodium linoleate, soybean lipoxygenase and 2,2-azobis-(2- amidinopropane) dihydrochloride (AAPH) were obtained from Sigma Chemical, Co. (St. Louis, MO, USA). Also, the 1,1-diphenyl-2-picrylhydrazyl (DPPH) and Nordihydroguairetic acid (NDGA) were acquired from the Aldrich Chemical Co. (Milwaukee, WI, USA).
A MEL-Temp II (Lab. Devic-es, Holliston, MA, USA) was used to determine the melting points of the solid compounds. The in vitro tests have been carried out using UV–VIS spectra and were recorded on a Perkin-Elmer 554 double-beam spectrophotometer (Perkin-Elmer Corporation Ltd., Lane Beaconsfield, Bucks, UK) and UV-1700 UV-Visible spectrophotometer PharmaSpec (Shimadzu, Duisburg, Germany). Infrared spectra were obtained with Perkin-Elmer 597 spectrophotometer (Perkin-Elmer Corporation Ltd., Lane Beaconsfield, Bucks, UK). The spectra were recorded using either Nujol or KBr pellets.
A Bruker AM 300 spectrometer (Bruker Analytische Messtechnik GmbH, Rheinstetten, Germany) was used to record the 1H Nucleic Magnetic Resonance (NMR) spectra at 300 MHz and the 13C-NMR spectra at 75.5 MHz either in CDCl3 or DMSO using tetramethylsilane as an internal standard unless otherwise stated. Chemical shifts are denoted in parts per million (ppm), while the coupling constants (J values) are expressed in Hz. Mass spectra were acquired using a LC-MS 2010 EV Shimadzu (Shimadzu, Kiyoto, Japan), with MeOH as the solvent. The elemental analyses for carbon (C) and hydrogen (H) resulted in values that closely matched the theoretical values within an acceptable range of ±0.4%. The above analyses were conducted using a Perkin-Elmer 240B CHN analyzer, provided by Perkin-Elmer Corporation Ltd., located in Lane Beaconsfield, Bucks, UK. The progress of the reactions was monitored by thin layer chromatography on 5554 F254 silica gel/TLC cards, which were purchased from Merck and Fluka Chemie GmbH (Buchs, Steinheim, Switzerland).
3.2. Chemistry General Procedure
3.2.1. Synthesis of 6-amino-2-(methylthio)-pyrimidin-4-ol (1)
6-amino-2-sylfanyl-4 (3H)-pyrimidone monohydrate (1 eq.) was suspended in a mixture of water and ethanol (7 mL). Triethylamine (d = 0.725 g/mL) (2 eq.) was added and the solution became clear. Methyliodide (d = 2.28 g/mL) (1.1 eq.) was added to the stirring solution. Within a few minutes an exothermic reaction started with formation of a colourless precipitate. Stirring was continued for 30 min–1 h. The progress of the reaction was monitored with TLC. The mixture was cooled to 4 °C (overnight) and the precipitate was filtered, washed with water and diethylether to afford the title compound. The compound was collected, dried in vacuum and characterized.
Yield: 83.4%, Rf (20% Methanol/Chloroform) = 0.61, Melting point: 267–268 °C.
The compound is mentioned in the bibliography, following the procedure outlined in reference [75].
3.2.2. Synthesis of 6-amino-2-(methylthio)-5-nitrosopyrimidin-4(3H)-one (2)
6-amino-(2-methylthio)pyrimidin-4(3H)-one (1) (1 eq.) was dissolved in a solution of sodium hydroxide (1 eq.) in water at room temperature. Additional sodium hydroxide was added till complete dissolution. Then, a solution of sodium nitrite (1.5 eq.) was added. The yellow solution was acidified by the gradual addition of glacial acetic acid (2.2 eq.). A white precipitate formed almost immediately. The progress of the reaction was monitored with TLC. Stirring was continued for 2–3 h, till starting material disappeared. The mixture was filtrated, washed with water and diethylether and the precipitate was collected, dried in vacuum and characterized spectroscopically.
Yield: 65%. Rf (20% Methanol/Chloroform) = 0.66. Melting point: 247–248 °C. 1H NMR (300 MHz, DMSO): δ 2.54 ppm (s, 3H), 9.00 ppm (brs, 1H), 11.26 ppm (brs, 1H), 12.67 ppm (brs, 1H).
The compound is mentioned in the bibliography, following the procedure outlined in reference [76].
3.2.3. Synthesis of 6-amino-5-nitroso-2-(piperidin-1-yl)-pyrimidin-4(1H)-one (3)
To 6-amino-(2-methylthio) nitrosopyrimidin-4(3H)-one (2) (1 eq.) in absolute ethanol (1.5 mL), piperidine (d = 0.862 g/mL) (4 eq.) was added. The mixture was heated under reflux for 5 h. Water (1.5 mL) was then added and the mixture was heated under reflux for a further 1 h. The progress of the reaction was monitored with TLC. The solution was immediately and rapidly cooled. No formation of precipitate, so the solution was evaporated and recrystallized from ethanol. By leaving overnight a reddish precipitate was formed, which was collected with filtration, dried in vacuum and characterized spectroscopically.
Yield: 78.3%. Rf (20% Methanol/Chloroform) = 0.83. Melting point: 241–243 °C. 1H NMR (300 MHz, CDCl3): δ 1.79–1.87 ppm (m, 6H), 3.06–3.10 ppm (m, 4H), 5.56 ppm (d, J = 5.6 Hz, 1H) 10.88 ppm (s, 1H).
The compound is mentioned in the bibliography, following the procedure outlined in reference [77].
3.2.4. Synthesis of Substituted Acrylamides
Method A: The acid (0.5 eq.) was dissolved in 1 mL of Dimethylformamide (DMF) and 0.5 eq. of triethylamine. The solution was cooled in an ice-water bath and 0.5 eq. of 6-amino-5-nitroso-2-(piperidin-1-yl)-pyrimidin-4(1H)-one (3) was added, followed by a solution of 0.5 eq. of benzotriazol-1-yloxytris(dimethylamino)phosphonium hexafluorophosphate (BOP) in 1 mL of dichloromethane. The mixture was stirred at 0 °C for 30 min and then at room temperature for 72 h. The progress of the reaction was monitored with TLC. Dichloromethane was removed under reduced pressure and 8 mL of water was added in the solution. The products were extracted with ethylacetate and the combined organic layers were washed with 1N HCl acid (2 times), water, 1M NaHCO3 (2 times) and water. The organic extract dried over Magnesium Sulfate, filtered and evaporated under vacuum. Each compound was purified either by recrystallization or column chromatography and characterized spectroscopically (Supplementary Information).
Method B: The acid (1 eq.) was dissolved in 1.5 mL of Dimethylformamide (DMF). N-hydroxysuccinimide (NHS) (1.7 eq.) and 1-Ethyl-3-(3-dimethylaminopropyl)carbodiimide hydrochloric (EDCI∙HCl) (1.7 eq.) were added to the above solution and the reaction mixture was stirred at room temperature and was monitored by TLC until the formation of the activated ester intermediate. Then, 6-amino-5-nitroso-2-(piperidin-1-yl)-pyrimidin-4(1H)-one (3) (1 eq.) and Triethylamine (d = 0.73 g/mL) (0.4 eq.) were added to the reaction mixture and was stirred at room temperature for 72 h. The progress of the reaction was monitored with TLC till the starting materials were consumed. This was followed by quenching with Water (10 mL) and the mixture was extracted with Ethylacetate (3 × 10 mL). The combined organic layers were washed with Water (3 × 20 mL) and brine, dried over Magnesium Sulfate, filtered off and concentrated under vacuum and characterized spectroscopically (Supplementary Information).
(E)-N-(5-nitroso-6-oxo-2-(piperidin-1-yl)-3,6-dihydropyrimidin-4-yl)-3-(3-phenoxyphenyl)acrylamide (4)
The compound (4) was recrystallized from Ethylacetate/Petroleum Ether (EA/PE). Yield (Method A): 55%, Yield (Method B): 53%. Rf (10% Methanol/Chloroform) = 0.79. Melting Point: 193–195 °C. 1H NMR (300 MHz, CDCl3): δ 1.53–1.63 ppm (m, 6H), 3.54–3.57 ppm (m, 4H), 6.79 ppm (d, J = 15.5 Hz, 1H), 6.89–6.97 ppm (m, 4H), 7.08 ppm (dt, J = 14.8, 4.7 Hz, 2H), 7.20 ppm (t, J = 9.7 Hz, 2H), 7.29 ppm (s, 1H), 7.53 ppm (d, J = 15.5 Hz, 1H). 13C NMR (75 MHz, CDCl3): δ 24.8 ppm, 26.3 ppm, 29.8 ppm, 43.8 ppm, 117.8 ppm, 118.6 ppm, 119.0 ppm, 119.4 ppm, 119.6 ppm, 119.9 ppm, 123.1 ppm, 123.6 ppm, 130.0 ppm, 130.1 ppm, 130.2 ppm, 137.5 ppm, 141.7 ppm, 157.1 ppm, 157.7 ppm, 163.6 ppm, 165.3 ppm. ESI-MS m/z (positive): [M + H + Na + MeOH + Pyrimidinone]+ calculated for C29H28N9O7Na 637; found 637, [M + H − Piperidine]+ calculated for C19H14N4O4 362; found 362, [Μ + H − Pyrimidinone]+ calculated for C20H22NO2 308; found 308. IR (KBr) (cm−1): 3050–2940, 1720, 1640, 1460, 1280. Anal. C, H, N. Calc %: (C24H23N5O4) C: 64.71, H: 5.20, N: 15.72, Found %: C: 64.78, H: 5.31, N: 15.65.
(E)-N-(5-nitroso-6-oxo-2-(piperidin-1-yl)-3,6-dihydropyrimidin-4-yl)-3-(thiophen-2-yl)acrylamide (5)
The compound (5) was separated by Column Chromatography (50% Petroleum Ether/Ethylacetate). Yield (Method A): 84%. Rf (20% Methanol/Chloroform) = 0.77. Melting Point: 106–108 °C. 1H NMR (300 MHz, CDCl3): δ 1.56–1.71 ppm (m, 6H), 3.57–3.61 ppm (m, 4H), 6.69 ppm (d, J = 15.1 Hz, 1H), 7.01 ppm (dd, J = 5.0, 3.5 Hz, 1H), 7.18 ppm (d, J = 3.5 Hz, 1H), 7.28 ppm (d, J = 5.1 Hz, 1H), 7.76 ppm (d, J = 15.1 Hz, 1H). 13C NMR (75 MHz, CDCl3): δ 24.7 ppm, 26.2 ppm, 29.7 ppm, 45.2 ppm, 116.5 ppm, 120.3 ppm, 126.9 ppm, 127.9 ppm, 129.8 ppm, 135.1 ppm, 140.7 ppm, 148.8 ppm, 153.8 ppm, 163.8 ppm, 165.2 ppm. ESI-MS m/z (positive): [M + Na + piperidine]+ calculated for C21H26N6O3SNa 465; found 465, [M + H − piperidine]+ calculated for C11H8N4O3S 276; found 276, [M + H − pyrimidinone]+ calculated for C12H16NOS 222; found 222. IR (KBr) (cm−1): 3245, 3010, 1715, 1680, 1260. Anal. C, H, N. Calc %: (C16H17N5O3S) C: 53.47, H: 4.77, N: 19.49, Found %: C: 53.60, H: 4.70, N: 19.65.
(E)-3-(4-((4-bromobenzyl)oxy)phenyl)-N-(5-nitroso-6-oxo-2-(piperidin-1-yl)-3,6-dihydropyrimidin-4-yl)acrylamide (6)
The compound (6) was recrystallized twice from Ethylacetate/Petroleum Ether. Yield (Method A): 22%. Rf (Petroleum Ether/Ethylacetate 1:1) = 0.56. Melting Point: 130–132 °C. 1H NMR (300 MHz, CDCl3): δ 1.59–1.68 ppm (m, 6H), 3.57–3.66 ppm (m, 4H), 5.03 ppm (s, 2H), 6.78 ppm (d, J = 15.3 Hz, 1H), 6.93 ppm (d, J = 8.4 Hz, 2H), 7.30 ppm (d, J = 7.8 Hz, 2H), 7.46 ppm (d, J = 8.1 Hz, 2H), 7.51 ppm (d, J = 7.8 Hz, 2H) 7.60 ppm (d, J = 15.3 Hz, 1H). 13C NMR (75 MHz, CDCl3): δ 24.8 ppm, 26.4 ppm, 45.6 ppm, 69.6 ppm, 115.4 ppm, 115.8 ppm, 122.2 ppm, 124.9 ppm, 129.2 ppm, 129.4 ppm, 132.0 ppm, 133.5 ppm, 136.0 ppm, 142.1 ppm, 144.2 ppm, 146.0 ppm, 155.6 ppm, 159.9 ppm, 165.9 ppm. ESI-MS m/z (positive): [M + H − pyrimidinone]+ calculated for C21H23BrNO2 400; found 400. IR (KBr) (cm−1): 3050–2940, 1730, 1610, 1515, 1250, 1230. Anal. C, H, N. Calc %: (C25H24BrN5O4) C: 55.77, H: 4.49, N: 13.01, Found %: C: 55.69, H: 4.57, N: 13.12.
(2E,4E)-5-(4-(dimethylamino)phenyl)-N-(5-nitroso-6-oxo-2-(piperidin-1-yl)-3,6-dihydropyrimidin-4-yl)penta-2,4-dienamide (7)
The compound (7) was recrystallized twice from Ethylacetate/Petroleum Ether. Yield (Method A): 24%. Rf (Petroleum Ether/Ethylacetate 1:1) = 0.74. Melting Point: 175–177 °C. 1H NMR (300 MHz, CDCl3): δ 1.67–1.77 ppm (m, 6H), 3.12 ppm (s, 6H), 3.89–3.98 ppm (m, 4H), 7.54–7.59 ppm (m, 3H), 7.79 ppm (t, J = 7.9 Hz, 1H), 8.05 ppm (dd, J = 20.3, 8.4 Hz, 3H), 8.59 ppm (d, J = 16.6 Hz, 1H). 13C NMR (75 MHz, CDCl3): δ 24.3 ppm, 25.8 ppm, 31.1 ppm, 43.4 ppm, 45.6 ppm, 114.7 ppm, 115.9 ppm, 117.1 ppm, 125.4 ppm, 126.5 ppm, 129.1 ppm, 132.7 ppm, 133.4 ppm, 143.7 ppm, 152.9 ppm, 160.5 ppm, 163.0 ppm, 165.3 ppm. ESI-MS m/z (positive): [M + H + Na + piperidine + pyrimidinone]+ calculated for C31H38N11O5Na 667; found 667, [M + H − NO]+ calculated for C22H27N5O2 393; found 393, [M+K-piperidine]+ calculated for C17H16N5O3K 377; found 377, [M + Na − piperidine]+ calculated for C17H16N5O3Na 361; found 361, [M + K − pyrimidinone]+ calculated for C18H25N2OK 324; found 324. IR (KBr) (cm−1): 3270, 3050–2940, 1705, 1615, 1520, 1210. Anal. C, H, N. Calc %: (C22H26N6O3) C: 62.54, H: 6.2, N: 19.89, Found %: C: 62.6, H: 6.26, N: 19.92.
N-(5-nitroso-6-oxo-2-(piperidin-1-yl)-3,6-dihydropyrimidin-4-yl)-3-phenylacrylamide (8)
Yield (Method A): 22%. Rf (Petroleum Ether/Ethylacetate 1:1) = 0.57. Melting Point: 104–106 °C. 1H NMR (300 MHz, CDCl3): δ 1.60–1.69 ppm (m, 6H), 3.63 ppm (t, J = 1.5 Hz, 4H), 6.89 ppm (d, J = 15.5 Hz, 1H), 7.34–7.38 ppm (m, 3H), 7.52 ppm (d, J = 7.5 Hz, 2H), 7.65 ppm (d, J = 15.5 Hz, 1H). 13C NMR (75 MHz, DMSO): δ 24.2 ppm, 25.5 ppm, 26.6 ppm, 42.7 ppm, 46.2 ppm, 118.6 ppm, 119.9 ppm, 125.5 ppm, 128.0 ppm, 128.8 ppm, 129.5 ppm, 135.3 ppm, 141.2 ppm, 144.8 ppm, 164.3 ppm, 179.3 ppm. ESI-MS m/z (positive): [M + H − piperidine]+ calculated for C13H10N4O3 270; found 270. IR (KBr) (cm−1): 3250, 3050–2940, 1740, 1620, 1505, 1280. Anal. C, H, N. Calc %: (C18H19N5O3) C: 61.18, H: 5.42, N: 19.82, Found %: C: 61.06, H: 5.50, N: 19.94.
(E)-3-(naphthalen-1-yl)-N-(5-nitroso-6-oxo-2-(piperidin-1-yl)-3,6-dihydropyrimidin-4-yl)acrylamide (9)
The compound (9) was isolated by Preparative Chromatography with the use of Ethylacetate/Petroleum ether 2:1 (EA/PE 2:1). Yield (Method A): 15%, Yield (Method B): 38%. Rf (30% Petroleum Ether/Ethylacetate) = 0.78. Melting Point:—(Oil). 1H NMR (300 MHz, CDCl3): δ 1.62–1.71 ppm (m, 6H), 3.67–3.72 ppm (m, 4H), 6.96 ppm (d, J = 15.8 Hz, 1H), 7.45–7.57 ppm (m, 3H), 7.71 ppm (d, J = 6.4 Hz, 1H), 7.86 ppm (d, J = 8.2 Hz, 2H), 8.24 ppm (d, J = 7.8 Hz, 1H), 8.50 ppm (d, J = 16.2 Hz, 1H). 13C NMR (75 MHz, CDCl3): δ 24.8 ppm, 29.8 ppm, 43.6 ppm, 47.2 ppm, 120.9 ppm, 124.0 ppm, 124.6 ppm, 125.5 ppm, 126.3 ppm, 126.7 ppm, 128.7 ppm, 129.8 ppm, 131.6 ppm, 133.4 ppm, 133.7 ppm, 137.9 ppm, 139.7 ppm, 148.6 ppm, 152.0 ppm, 162.1 ppm, 165.4 ppm. ESI-MS m/z (positive): [2 × M − piperidinepyrimidinone − NO]+ calculated for C35H29N4O3 553; found 553, [M + H − piperidine]+ calculated for C13H10N4O3 352; found 352. IR (KBr) (cm−1): 3370, 3100, 1710, 1660, 1555, 1240. Anal. C, H, N. Calc %: (C22H21N5O3) C: 65.50, H: 5.25, N: 17.36, Found %: C: 65.62, H: 5.38, N: 17.22.
3.3. Biological Assays
Each in vitro assay was carried out at least three times and the standard deviation of absorbance observed to be less than 10% of the mean. A stock solution (1% of tested compound diluted in DMSO under sonification) was prepared in order to take place the in vitro assays.
3.3.1. Interaction of the Novel Compounds with the Stable Radical 1,1-diphenyl-picrylhydrazyl (DPPH)
A particular volume of the tested compounds (0.05 mM and 0.1 mM final concentrations) dissolved in DMSO and they were incubated with a solution of DPPH in absolute ethanol in absence of light. The absorbance was recorded at 517 nm after 20 and 60 min at room temperature (Table 2). The test follows our previous published methods [31,73].
3.3.2. Inhibition of Linoleic Acid Lipid Peroxidation
The water-soluble compound 2,2’-azobis(2-amidinopropane) dihydrochloride (AAPH) was used as a free radicals initiator in order to start the lipid peroxidation of sodium linoleate. A total of 930 μL of a phosphate buffer solution (0.05 M, pH = 7.4), 10 μL of the sodium linolate solution (16 mM in a buffer solution of Tris-HCl pH = 9) and 10 μL of the tested compounds (stock solutions 100 μΜ) were mixed and the oxidative procedure started after the addition of 50 μL AAPH at 37 °C under air conditions. The conjugated diene was monitored at 234 nm. Compounds with antioxidant properties decrease the rate of oxidation (Table 2). The assay was performed in accordance with previous published methods. Trolox was used as a reference compound [36].
3.3.3. Soybean Lipoxygenase Inhibition Assay
Sodium linoleate (0.1 mM), 0.2 mL of soybean lipoxygenase solution (1/9 × 10−4 w/v in saline) and 10 μL from a stock solution (10 mM) of tested compounds in DMSO were incubated at room temperature. The conjugated diene was monitored at 234 nm. Nor-dihydroguaretic acid (NDGA) was used as a reference compound. Several concentrations were used for the determination of IC50 values (Table 2). The experiment was performed according to previous publications [36].
3.4. Computational Analysis—Molecular Docking on Soybean Lipoxygenase
The visualization and preprocessing of the protein (PDB ID: 3PZW) was conducted using UCSF Chimera (version 1.15) [78]. Water molecules and extraneous crystallographic material were removed with Chimera. Modeller (v. 10.3) [79] was applied to add missing residues (Met1-Phe2-Ser3-Ala4-Gly5, Glu21-Val22-Asn23-Pro24-Asp25-Gly26-Ser27-Ala28-Val28-Asp29, Ile117-Ser118-Asn119-Gln120). Hydrogen atoms and charges were added with AmberTools [80,81]. The charge on iron was adjusted to +2.0 applying the 12–6 LJ nonbonded model [82]. Histidines His499, His504 and His690 coordinating iron were set neutral (δ-nitrogen protonated state). TIP3P explicit water model was used. The size of the box has a minimal distance of 12 Å between the solute and the edge of the box.
Furthermore, the generation and minimization of ligand 3D coordinates were carried out using Open Babel (version 3.1.1) [83] with the MMFF94 force field [84]. ACPYPE [85] was utilized to produce the ligand topologies and parameters using AnteChamber (AmberTools v. 22.10) [86]. The energy minimization of the protein was performed using GROMACS (v. 4.6.5) [87]. AutoDock Vina (v. 1.2.3) [88,89] was used to dock the ligands into the protein. This was achieved by configuring a grid box center x = 1.35 Å, y = 14.3 Å and z = −34.60 Å and size of x = 100 Å, y = 70 Å and z = 70 Å. Moreover, the exhaustiveness parameter was configured with the value of 10 and 20 docking modes were generated as maximum output. UCSF Chimera utilized to analyze the docking results.
4. Conclusions
Six novel pyrimidine acrylamides were designed, synthesized and evaluated for their antioxidant and anti-inflammatory activities. The majority of the synthesized compounds (except from compound 6) followed the Lipinski rule of five; thus, the compounds may have good oral bioavailability. Half of the newly synthesized compounds, (4), (5) and (7), are potent lipid peroxidation inhibitors. However, in the DPPH assay, the majority of the compounds presented limited reducing activity (2–25%). Furthermore, the most potent LOX inhibitors proved to be the derivatives (9) and (5) with an IC50 value equal to 1.1 μM and 10.7 μM respectively, while most of the compounds (4, 6–8) presented moderate inhibitory activity. Docking studies of the most active derivatives showed that development of hydrogen bond with Tyr525 seems to be important. Compound (9) is a promising lipoxygenase inhibitor presenting IC50 value close to NDGA a well-known lipoxygenase inhibitor. Compound (9) could be used in the future as lead compound for the synthesis of novel antioxidant derivatives with anti-lipoxygenase activity.
Supplementary Materials
The following supporting information can be downloaded at: https://www.mdpi.com/article/10.3390/molecules29061189/s1, 1H-NMR, 13C-NMR and Mass spectra of all the synthesized derivatives.
Author Contributions
Conceptualization, E.P.; methodology, docking studies, E.P.; writing—original draft preparation, M.S. and E.P.; writing—review and editing, E.P.; supervision, E.P.; data curation, E.P. and M.S.; validation, E.P. All authors have read and agreed to the published version of the manuscript.
Funding
This research received no external funding.
Institutional Review Board Statement
Not applicable.
Informed Consent Statement
Not applicable.
Data Availability Statement
Data are contained within the article and Supplementary Materials.
Acknowledgments
E.P. would like to acknowledge D. Hadjipavlou-Litina, School of Pharmacy, Aristotle University of Thessaloniki for her guidance and useful advice. The authors are grateful to E. Maniati, Queen Mary University of London and M. Sagnou, National Center for Scientific Research “Demokritos”, Institute of Biosciences and Applications for the final proof editing of the manuscript.
Conflicts of Interest
The authors declare no conflicts of interest.
References
- Uttara, B.; Singh, V.A.; Zamboni, P.; Mahajan, T.R. Oxidative Stress and Neurodegenerative Diseases: A Review of Upstream and Downstream Antioxidant Therapeutic Options. Curr. Neuropharmacol. 2009, 7, 65–74. [Google Scholar] [CrossRef]
- Waris, G.; Ahsan, H. Reactive Oxygen Species: Role in the Development of Cancer and Various Chronic Conditions. J. Carcinog. 2006, 5, 1–8. [Google Scholar] [CrossRef] [PubMed]
- Vera-Ramirez, L.; Sanchez-Rovira, P.; Ramirez-Tortosa, M.C.; Ramirez-Tortosa, C.L.; Granados-Principal, S.; Lorente, J.A.; Quiles, J.L. Free Radicals in Breast Carcinogenesis, Breast Cancer Progression and Cancer Stem Cells. Biological Bases to Develop Oxidative-Based Therapies. Crit. Rev. Oncol. Hematol. 2011, 80, 347–368. [Google Scholar] [CrossRef] [PubMed]
- Pontiki, E.; Hadjipavlou-Litina, D.; Patsilinakos, A.; Tran, T.M.; Marson, C.M. Pteridine-2,4-Diamine Derivatives as Radical Scavengers and Inhibitors of Lipoxygenase That Can Possess Anti-Inflammatory Properties. Future Med. Chem. 2015, 7, 1937–1951. [Google Scholar] [CrossRef]
- Pontiki, E.; Hadjipavlou-Litina, D. Lipoxygenases (LOs): An Heterogenous Family of Lipid Peroxidizing Enzymes Implicated in Cell Differentiation, Inflammation, Asthma, Carcinogenesis, Atherogenesis-An Interesting Target for the Development of Promising Drugs. Curr. Enzym. Inhib. 2005, 1, 309–327. [Google Scholar] [CrossRef]
- Pontiki, E.; Hadjipavlou–Litina, D. Targeting Lipoxygenases (LOs): Drug Design And Discovery. Curr. Enzym. Inhib. 2013, 9, 89–105. [Google Scholar] [CrossRef]
- Garrido, G.; Gonzalez, D.; Delporte, C.; Backhouse, N.; Quintero, G.; Nunez-Selles, A.J.; Morales, M.A. Analgesic and Anti-Inflammatory Effects of Mangifera indica L. Extract (Vimang). Phytother. Res. 2001, 15, 18–21. [Google Scholar] [CrossRef] [PubMed]
- Weber, V.; Rubat, C.; Duroux, E.; Lartigue, C.; Madesclaire, M.; Coudert, P. New 3- and 4-Hydroxyfuranones as Anti-Oxidants and Anti-Inflammatory Agents. Bioorg. Med. Chem. 2005, 13, 4552–4564. [Google Scholar] [CrossRef]
- Merchant, N.; Bhaskar, L.V.K.S.; Momin, S.; Sujatha, P.; Reddy, A.B.M.; Nagaraju, G.P. 5-Lipoxygenase: Its Involvement in Gastrointestinal Malignancies. Crit. Rev. Oncol. Hematol. 2018, 127, 50–55. [Google Scholar] [CrossRef]
- Lötzer, K.; Funk, C.D.; Habenicht, A.J.R. The 5-Lipoxygenase Pathway in Arterial Wall Biology and Atherosclerosis. Biochim. Biophys. Acta Mol. Cell Biol. Lipids 2005, 1736, 30–37. [Google Scholar] [CrossRef]
- Kim, W.; Son, B.; Lee, S.; Do, H.; Youn, B.H. Targeting the Enzymes Involved in Arachidonic Acid Metabolism to Improve Radiotherapy. Cancer Metastasis Rev. 2018, 37, 213–225. [Google Scholar] [CrossRef] [PubMed]
- Sunderhaus, J.D.; Dockendorff, C.; Martin, S.F. Synthesis of Diverse Heterocyclic Scaffolds via Tandem Additions to Imine Derivatives and Ring-Forming Reactions. Tetrahedron 2009, 65, 6454–6469. [Google Scholar] [CrossRef]
- Natarajan, R.; Anthoni Samy, H.N.; Sivaperuman, A.; Subramani, A. Structure-Activity Relationships of Pyrimidine Derivatives and Their Biological Activity—A Review. Med. Chem. 2022, 19, 10–30. [Google Scholar] [CrossRef] [PubMed]
- Mohana Roopan, S.; Sompalle, R. Synthetic Chemistry of Pyrimidines and Fused Pyrimidines: A Review. Synth. Commun. 2016, 46, 645–672. [Google Scholar] [CrossRef]
- Prachayasittikul, S.; Pingaew, R.; Worachartcheewan, A.; Sinthupoom, N.; Prachayasittikul, V.; Ruchirawat, S.; Prachayasittikul, V. Roles of Pyridine and Pyrimidine Derivatives as Privileged Scaffolds in Anticancer Agents. Mini-Rev. Med. Chem. 2016, 17, 869–901. [Google Scholar] [CrossRef] [PubMed]
- Cocco, M.T.; Congiu, C.; Onnis, V.; Piras, R. Synthesis and Antitumor Evaluation of 6-Thioxo-, 6-Oxo- and 2,4-Dioxopyrimidine Derivatives. IL Farmaco 2001, 56, 741–748. [Google Scholar] [CrossRef]
- Omar, A.M.; Abd El Razik, H.A.; Hazzaa, A.A.; El-Attar, M.A.Z.; El Demellawy, M.A.; Abdel Wahab, A.E.; El Hawash, S.A.M. New Pyrimidines and Triazolopyrimidines as Antiproliferative and Antioxidants with Cyclooxygenase-1/2 Inhibitory Potential. Future Med. Chem. 2019, 11, 1585–1603. [Google Scholar] [CrossRef]
- Goßnitzer, E.; Feierl, G.; Wagner, U. Synthesis, Structure Investigations, and Antimicrobial Activity of Selected s-Trans-6-Aryl-4-Isopropyl-2-{2-[(E)-1-Phenylalkylidene]-(E)-Hydrazino}-1,4-Dihydropyrimidine Hydrochlorides. Eur. J. Pharm. Sci. 2002, 15, 49–61. [Google Scholar] [CrossRef]
- Sedaghati, B.; Fassihi, A.; Arbabi, S.; Ranjbar, M.; Memarian, H.R.; Saghaie, L.; Omidi, A.; Sardari, A.; Jalali, M.; Abedi, D. Synthesis and Antimicrobial Activity of Novel Derivatives of Biginelli Pyrimidines. Med. Chem. Res. 2012, 21, 3973–3983. [Google Scholar] [CrossRef]
- Devi, K.; Narayanaswamy, V.K.; Rao, G.K. Synthesis of Substituted 3,4-Dihydropyrlmidine-2(1h)-Thiones and Their Biological Activity. Indian. J. Heterocycl. Chem. 2009, 18, 305–306. [Google Scholar]
- Mohamed, M.S.; Youns, M.M.; Ahmed, N.M. Synthesis, Antimicrobial, Antioxidant Activities of Novel 6-Aryl-5-Cyano Thiouracil Derivatives. Eur. J. Med. Chem. 2013, 69, 591–600. [Google Scholar] [CrossRef]
- Narayanaswamy, V.K.; Nayak, S.K.; Pillay, M.; Prasanna, R.; Coovadia, Y.M.; Odhav, B. Synthesis and Antitubercular Activity of 2-(Substituted Phenyl/Benzyl-Amino)-6-(4-Chlorophenyl)-5-(Methoxycarbonyl)-4-Methyl-3,6-Dihydropyrimidin-1-Ium Chlorides. Chem. Biol. Drug Des. 2013, 81, 219–227. [Google Scholar] [CrossRef] [PubMed]
- Chan, D.C.M.; Laughton, C.A.; Queener, S.F.; Stevens, M.F.G. Structural Studies on Bioactive Compounds. Part 36: Design, Synthesis and Biological Evaluation of Pyrimethamine-Based Antifolates against Pneumocystis Carinii. Bioorg. Med. Chem. 2002, 10, 3001–3010. [Google Scholar] [CrossRef] [PubMed]
- Martin, J.A.; Bushnell, D.J.; Duncan, I.B.; Dunsdon, S.J.; Hall, M.J.; Machin, P.J.; Merrett, J.H.; Parkes, K.E.B.; Roberts, N.A.; Thomas, G.J.; et al. Synthesis and Antiviral Activity of Monofluoro and Difluoro Analogues of Pyrimidine Deoxyribonucleosides against Human Immunodeficiency Virus (HIV-1) Joseph. J. Med. Chem. 1990, 33, 2137–2145. [Google Scholar] [CrossRef]
- Guillemont, J.; Pasquier, E.; Palandjian, P.; Vernier, D.; Gaurrand, S.; Lewi, P.J.; Heeres, J.; De Jonge, M.R.; Koymans, L.M.H.; Daeyaert, F.F.D.; et al. Synthesis of Novel Diarylpyrimidine Analogues and Their Antiviral Activity against Human Immunodeficiency Virus Type 1. J. Med. Chem. 2005, 48, 2072–2079. [Google Scholar] [CrossRef] [PubMed]
- Lachhab, S.; El Mansouri, A.E.; Mehdi, A.; Dennemont, I.; Neyts, J.; Jochmans, D.; Andrei, G.; Snoeck, R.; Sanghvi, Y.S.; Ait Ali, M.; et al. Synthesis of New 3-Acetyl-1,3,4-Oxadiazolines Combined with Pyrimidines as Antileishmanial and Antiviral Agents. Mol. Divers. 2022, 27, 2147–2159. [Google Scholar] [CrossRef]
- Ashour, H.M.; Shaaban, O.G.; Rizk, O.H.; El-Ashmawy, I.M. Synthesis and Biological Evaluation of Thieno [2′,3′:4,5] Pyrimido [1,2-b][1,2,4]Triazines and Thieno[2,3-d][1,2,4]Triazolo[1,5-a] Pyrimidines as Anti-Inflammatory and Analgesic Agents. Eur. J. Med. Chem. 2013, 62, 341–351. [Google Scholar] [CrossRef]
- Bhalgat, C.M.; Irfan Ali, M.; Ramesh, B.; Ramu, G. Novel Pyrimidine and Its Triazole Fused Derivatives: Synthesis and Investigation of Antioxidant and Anti-Inflammatory Activity. Arab. J. Chem. 2014, 7, 986–993. [Google Scholar] [CrossRef]
- Kumar, S.; Narasimhan, B. Therapeutic Potential of Heterocyclic Pyrimidine Scaffolds. Chem. Cent. J. 2018, 12, 38. [Google Scholar] [CrossRef]
- Venugopala, K.N.; Govender, R.; Khedr, M.A.; Venugopala, R.; Aldhubiab, B.E.; Harsha, S.; Odhav, B. Design, Synthesis, and Computational Studies on Dihydropyrimidine Scaffolds as Potential Lipoxygenase Inhibitors and Cancer Chemopreventive Agents. Drug Des. Devel Ther. 2015, 9, 911–921. [Google Scholar] [CrossRef]
- Myriagkou, M.; Papakonstantinou, E.; Deligiannidou, G.E.; Patsilinakos, A.; Kontogiorgis, C.; Pontiki, E. Novel Pyrimidine Derivatives as Antioxidant and Anticancer Agents: Design, Synthesis and Molecular Modeling Studies. Molecules 2023, 28, 3913. [Google Scholar] [CrossRef] [PubMed]
- Tale, R.H.; Rodge, A.H.; Hatnapure, G.D.; Keche, A.P.; Patil, K.M.; Pawar, R.P. The Synthesis, Anti-Inflammatory and Antimicrobial Activity Evaluation of Novel Thioanalogs of 3,4-Dihydrothiopyrimidin-2(1H)-One Derivatives of N-Aryl Urea. Med. Chem. Res. 2012, 21, 4252–4260. [Google Scholar] [CrossRef]
- Tozkoparan, B.; Ertan, M.; Kelicen, P.; Demirdamar, R. Synthesis and Anti-Inflammatory Activities of Some Thiazolo[3,2-a]Pyrimidine Derivatives. IL Farmaco 1999, 54, 588–593. [Google Scholar] [CrossRef] [PubMed]
- Pontiki, E.; Hadjipavlou-Litina, D. Antioxidant and Anti-Inflammatory Activity of Aryl-Acetic and Hydroxamic Acids as Novel Lipoxygenase Inhibitors. Med. Chem. 2006, 2, 251–264. [Google Scholar] [CrossRef] [PubMed]
- Pontiki, E.; Hadjipavlou-Litina, D.; Litinas, K.; Nicolotti, O.; Carotti, A. Design, Synthesis and Pharmacobiological Evaluation of Novel Acrylic Acid Derivatives Acting as Lipoxygenase and Cyclooxygenase-1 Inhibitors with Antioxidant and Anti-Inflammatory Activities. Eur. J. Med. Chem. 2011, 46, 191–200. [Google Scholar] [CrossRef]
- Pontiki, E.; Hadjipavlou-Litina, D. Multi-Target Cinnamic Acids for Oxidative Stress and Inflammation: Design, Synthesis, Biological Evaluation and Modeling Studies. Molecules 2018, 24, 12. [Google Scholar] [CrossRef] [PubMed]
- Yasuko, K.; Tomohiro, N.; Sei-Itsu, M.; Ai-Na, L.; Yasuo, F.; Takashi, T. Caffeic Acid Is a Selective Inhibitor for Leukotriene Biosynthesis. Biochim. Biophys. Acta Lipids Lipid Metabol. 1984, 792, 92–97. [Google Scholar] [CrossRef]
- Tiwari, A.; Bendi, A.; Bhathiwal, A.S. An Overview on Synthesis and Biological Activity of Chalcone Derived Pyrazolines. ChemistrySelect 2021, 6, 12757–12795. [Google Scholar] [CrossRef]
- Nardini, M.; D’Aquino, M.; Tomassi, G.; Gentili, V.; Di Felice, M.; Scaccini, C. Inhibition of Human Low-Density Lipoprotein Oxidation by Caffeic Acid and Other Hydroxycinnamic Acid Derivatives. Free Radic. Biol. Med. 1995, 19, 541–552. [Google Scholar] [CrossRef]
- Pontiki, E.; Hadjipavlou-Litina, D.; Geromichalos, G.; Papageorgiou, A. Anticancer Activity and Quantitative-Structure Activity Relationship (QSAR) Studies of a Series of Antioxidant/Anti-Inflammatory Aryl-Acetic and Hydroxamic Acids. Chem. Biol. Drug Des. 2009, 74, 266–275. [Google Scholar] [CrossRef]
- Feng, L.-S.; Cheng, J.-B.; Su, W.-Q.; Li, H.-Z.; Xiao, T.; Chen, D.-A.; Zhang, Z.-L. Cinnamic Acid Hybrids as Anticancer Agents: A Mini-Review. Arch. Pharm. 2022, 355, e2200052. [Google Scholar] [CrossRef]
- Szwajgier, D.; Borowiec, K.; Pustelniak, K. The Neuroprotective Effects of Phenolic Acids: Molecular Mechanism of Action. Nutrients 2017, 9, 477. [Google Scholar] [CrossRef]
- Ruwizhi, N.; Aderibigbe, B.A. Cinnamic Acid Derivatives and Their Biological Efficacy. Int. J. Mol. Sci. 2020, 21, 5712. [Google Scholar] [CrossRef]
- Zang, L.Y.; Cosma, G.; Gardner, H.; Shi, X.; Castranova, V.; Vallyathan, V. Effect of Antioxidant Protection by P-Coumaric Acid on Low-Density Lipoprotein Cholesterol Oxidation. Am. J. Physiol. Cell Physiol. 2000, 279, 954–960. [Google Scholar] [CrossRef]
- Ma, W.F.; Yang, H.K.; Hu, M.J.; Li, Q.; Ma, T.Z.; Zhou, Z.Z.; Liu, R.Y.; You, W.W.; Zhao, P.L. One-Pot Synthesis and Antiproliferative Activity of Novel 2,4-Diaminopyrimidine Derivatives Bearing Piperidine and Piperazine Moieties. Eur. J. Med. Chem. 2014, 84, 127–134. [Google Scholar] [CrossRef]
- Rostom, S.A.F.; Badr, M.H.; Abd El Razik, H.A.; Ashour, H.M.A.; Abdel Wahab, A.E. Synthesis of Some Pyrazolines and Pyrimidines Derived from Polymethoxy Chalcones as Anticancer and Antimicrobial Agents. Arch. Pharm. 2011, 344, 572–587. [Google Scholar] [CrossRef] [PubMed]
- Varano, F.; Catarzi, D.; Vigiani, E.; Vincenzi, F.; Pasquini, S.; Varani, K.; Colotta, V. Piperazine-and Piperidine-Containing Thiazolo[5,4-d]Pyrimidine Derivatives as New Potent and Selective Adenosine A2a Receptor Inverse Agonists. Pharmaceuticals 2020, 13, 161. [Google Scholar] [CrossRef] [PubMed]
- McHardy, T.; Caldwell, J.J.; Cheung, K.M.; Hunter, L.J.; Taylor, K.; Rowlands, M.; Ruddle, R.; Henley, A.; De Brandon, A.H.; Valenti, M.; et al. Discovery of 4-Amino-l-(7H-Pyrrolo[2,3-d]Pyrimidin-4-Yl)Piperidine-4-Carboxamides as Selective, Orally Active Inhibitors of Protein Kinase B (Akt). J. Med. Chem. 2010, 53, 2239–2249. [Google Scholar] [CrossRef] [PubMed]
- Atwal, K.S.; O’Neil, S.V.; Ahmad, S.; Doweyko, L.; Kirby, M.; Dorso, C.R.; Chandrasena, G.; Chen, B.C.; Zhao, R.; Zahler, R. Synthesis and Biological Activity of 5-Aryl-4-(4-(5-Methyl-1H-Imidazol-4-Yl)Piperidin-1-Yl)Pyrimidine Analogs as Potent, Highly Selective, and Orally Bioavailable NHE-1 Inhibitors. Bioorg. Med. Chem. Lett. 2006, 16, 4796–4799. [Google Scholar] [CrossRef] [PubMed]
- Ban, M.; Taguchi, H.; Katsushima, T.; Aoki, S.; Watanabe, A. Novel Antiallergic Agents. Part I: Synthesis and Pharmacology of Pyrimidine Amide Derivatives. Bioorg. Med. Chem. 1998, 6, 1057–1067. [Google Scholar] [CrossRef] [PubMed]
- Boland, S.; Bourin, A.; Alen, J.; Geraets, J.; Schroeders, P.; Castermans, K.; Kindt, N.; Boumans, N.; Panitti, L.; Vanormelingen, J.; et al. Design, Synthesis and Biological Characterization of Selective LIMK Inhibitors. Bioorg. Med. Chem. Lett. 2015, 25, 4005–4010. [Google Scholar] [CrossRef]
- Palani, A.; Shapiro, S.; Clader, J.W.; Greenlee, W.J.; Vice, S.; McCombie, S.; Cox, K.; Strizki, J.; Baroudy, B.M. Oximino-Piperidino-Piperidine-Based CCR5 Antagonists. Part 2: Synthesis, SAR and Biological Evaluation of Symmetrical Heteroaryl Carboxamides. Bioorg. Med. Chem. Lett. 2003, 13, 709–712. [Google Scholar] [CrossRef] [PubMed]
- Imaeda, Y.; Tawada, M.; Suzuki, S.; Tomimoto, M.; Kondo, M.; Tarui, N.; Sanada, T.; Kanagawa, R.; Snell, G.; Behnke, C.A.; et al. Structure-Based Design of a New Series of N-(Piperidin-3-Yl)Pyrimidine-5-Carboxamides as Renin Inhibitors. Bioorg. Med. Chem. 2016, 24, 5771–5780. [Google Scholar] [CrossRef]
- Sova, M. Antioxidant and Antimicrobial Activities of Cinnamic Acid Derivatives. Mini-Rev. Med. Chem. 2012, 12, 749–767. [Google Scholar] [CrossRef] [PubMed]
- Bernini, R.; Mincione, E.; Barontini, M.; Provenzano, G.; Setti, L. Obtaining 4-Vinylphenols by Decarboxylation of Natural 4-Hydroxycinnamic Acids under Microwave Irradiation. Tetrahedron 2007, 63, 9663–9667. [Google Scholar] [CrossRef]
- Peperidou, A.; Kapoukranidou, D.; Kontogiorgis, C.; Hadjipavlou-Litina, D. Multitarget Molecular Hybrids of Cinnamic Acids. Molecules 2014, 19, 20197–20226. [Google Scholar] [CrossRef] [PubMed]
- Molinspiration Cheminformatics. Available online: www.molinspiration.com (accessed on 5 September 2023).
- Lipinski, C.A.; Lombardo, F.; Dominy, B.W.; Feeney, P.J. Experimental and Computational Approaches to Estimate Solubility and Permeability in Drug Discovery and Development Settings. Adv. Drug Deliv. Rev. 1997, 3, 3–25. [Google Scholar] [CrossRef]
- Gacche, R.; Khsirsagar, M.; Kamble, S.; Bandgar, B.; Dhole, N.; Shisode, K.; Chaudhari, A. Antioxidant and Anti-Inflammatory Related Activities of Selected Synthetic Chalcones: Structure-Activity Relationship Studies Using Computational Tools. Chem. Pharm. Bull. 2008, 56, 897–901. [Google Scholar] [CrossRef]
- Veber, D.; Johnson, S.R.; Cheng, H.-Y.; Smith, B.R.; Ward, K.W.; Kopple, K.D. Molecular Properties That Influence the Oral Bioavailability of Drug Candidates. J. Med. Chem. 2002, 45, 2615–2623. [Google Scholar] [CrossRef]
- Rishton, G.; LaBonte, K.; Williams, A.; Kassam, K.; Kolovanov, E. Computational Approaches to the Prediction of Blood-Brain Barrier Permeability: A Comparative Analysis of Central Nervous System Drugs versus Secretase Inhibitors for Alzheimer’s Disease. Curr. Opin. Drug Discov. Dev. 2006, 9, 303–313. [Google Scholar]
- Cazacu, N.; Chilom, C.G. TolC Protein from Outer Membrane of Escherichia Coli Targeted by Polyphenolic Compounds. Rom. Rep. Phys. 2023, 75, 603. [Google Scholar]
- Lobo, V.; Patil, A.; Phatak, A.; Chandra, N. Free Radicals, Antioxidants and Functional Foods: Impact on Human Health. Pharmacogn. Rev. 2010, 4, 118–126. [Google Scholar] [CrossRef]
- Gulcin, İ.; Alwasel, S.H. DPPH Radical Scavenging Assay. Processes 2023, 11, 2248. [Google Scholar] [CrossRef]
- Dooley, M.M.; Sano, N.; Kawashima, H.; Nakamura, T. Effects of 2,2′-Azobis (2-Amidinopropane) Hydrochloride in Vivo and Protection by Vitamin E. Free Radic. Biol. Med. 1990, 9, 199–204. [Google Scholar] [CrossRef] [PubMed]
- Yokozawa, T.; Eun Ju Cho; Hara, Y.; Kitani, K. Antioxidative Activity of Green Tea Treated with Radical Initiator 2,2′-Azobis(2-Amidinopropane) Dihydrochloride. J. Agric. Food Chem. 2000, 48, 5068–5073. [Google Scholar] [CrossRef] [PubMed]
- Fiorentini, D.; Hakim, G.; Zambonin, L.; Landi, L. The Effect of Oxygen Radicals on Rat Thymocyte Glucose Transport Is Independent of the Site of Their Generation. Free Radic. Biol. Med. 1999, 26, 661–668. [Google Scholar] [CrossRef] [PubMed]
- Musialik, M.; Kita, M.; Litwinienko, G. Initiation of Lipid Autoxidation by ABAP at PH 4-10 in SDS Micelles. Org. Biomol. Chem. 2008, 6, 677–681. [Google Scholar] [CrossRef] [PubMed]
- Krainev, A.G.; Bigelow, D.J. Comparison of 2,2′-Azobis(2-Amidinopropane) Hydrochloride (AAPH) and 2,2′-Azobis(2,4-Dimethylvaleronitrile) (AMVN) as Free Radical Initiators: A Spin-Trapping Study. J. Chem. Soc. Perkin Trans. 1996, 2, 747–754. [Google Scholar] [CrossRef]
- Kasthuri, J.K.; Singh Jadav, S.; Thripuram, V.D.; Gundabolu, U.R.; Ala, V.B.; Kolla, J.N.; Jayaprakash, V.; Ahsan, M.J.; Bollikolla, H.B. Synthesis, Characterization, Docking and Study of Inhibitory Action of Some Novel C-Alkylated Chalcones on 5-LOX Enzyme. ChemistrySelect 2017, 2, 8771–8778. [Google Scholar] [CrossRef]
- Mavridis, E.; Bermperoglou, E.; Pontiki, E.; Hadjipavlou-Litina, D. 5-(4H)-Oxazolones and Their Benzamides as Potential Bioactive Small Molecules. Molecules 2020, 25, 3173. [Google Scholar] [CrossRef]
- Kostopoulou, I.; Tzani, A.; Polyzos, N.I.; Karadendrou, M.A.; Kritsi, E.; Pontiki, E.; Liargkova, T.; Hadjipavlou-Litina, D.; Zoumpoulakis, P.; Detsi, A. Exploring the 2′-Hydroxy-Chalcone Framework for the Development of Dual Antioxidant and Soybean Lipoxygenase Inhibitory Agents. Molecules 2021, 2, 2777. [Google Scholar] [CrossRef]
- Kouzi, O.; Pontiki, E.; Hadjipavlou-Litina, D. 2-Arylidene-1-Indandiones as Pleiotropic Agents with Antioxidant and Inhibitory Enzymes Activities. Molecules 2019, 24, 4411. [Google Scholar] [CrossRef]
- Mantzanidou, M.; Pontiki, E.; Hadjipavlou-Litina, D. Pyrazoles and Pyrazolines as Anti-Inflammatory Agents. Molecules 2021, 26, 3439. [Google Scholar] [CrossRef] [PubMed]
- Gibson, C.L.; La Rosa, S.; Ohta, K.; Boyle, P.H.; Leurquin, F.; Lemaçon, A.; Suckling, C.J. The Synthesis of 7-Deazaguanines as Potential Inhibitors of Guanosine Triphosphate Cyclohydrolase I. Tetrahedron 2004, 60, 943–959. [Google Scholar] [CrossRef]
- Baddiley, J.; Lythgoe, B.; McNeil, D.; Todd, A.R. Experiments on the Synthesis of Purine Nucleosides. Part I. Model Experiments on the Synthesis of 9-Alkylpurines. J. Chem. Soc. 1943, 383–386. [Google Scholar] [CrossRef]
- Cresswell, R.M.; Strauss, T. Displacement of the 2-Methylmercapto Group in Pyrimidines Bearing a 5-Nitroso Substituent. J. Org. Chem. 1963, 28, 2563–2564. [Google Scholar] [CrossRef]
- Pettersen, E.F.; Goddard, T.D.; Huang, C.C.; Couch, G.S.; Greenblatt, D.M.; Meng, E.C.; Ferrin, T.E. UCSF Chimera—A Visualization System for Exploratory Research and Analysis. J. Comput. Chem. 2004, 25, 1605–1612. [Google Scholar] [CrossRef] [PubMed]
- Fiser, A.; Šali, A. MODELLER: Generation and Refinement of Homology-Based Protein Structure Models. Methods Enzymol. 2003, 374, 461–491. [Google Scholar] [CrossRef] [PubMed]
- Case, D.A.; Aktulga, H.M.; Belfon, K.; Cerutti, D.S.; Cisneros, G.A.; Cruzeiro, V.W.D.; Forouzesh, N.; Giese, T.J.; Götz, A.W.; Gohlke, H.; et al. AmberTools. J. Chem. Inf. Model. 2023, 63, 6183–6191. [Google Scholar] [CrossRef]
- Lindorff-Larsen, K.; Piana, S.; Palmo, K.; Maragakis, P.; Klepeis, J.L.; Dror, R.O.; Shaw, D.E. Improved Side-Chain Torsion Potentials for the Amber Ff99SB Protein Force Field. Proteins Struct. Funct. Bioinform. 2010, 78, 1950–1958. [Google Scholar] [CrossRef]
- Li, P.; Roberts, B.P.; Chakravorty, D.K.; Merz, K.M.J. Rational Design of Particle Mesh Ewald Compatible Lennard-Jones Parameters for +2 Metal Cations in Explicit Solvent. J. Chem. Theory Comput. 2013, 9, 2733–2748. [Google Scholar] [CrossRef]
- O’Boyle, N.M.; Banck, M.; James, C.A.; Morley, C.; Vandermeersch, T.; Hutchison, G.R. Open Babel: An Open Chemical Toolbox. J. Cheminform. 2011, 3, 33. [Google Scholar] [CrossRef]
- Halgren, T.A. Merck Molecular Force Field. I. Basis, Form, Scope, Parameterization, and Performance of MMFF94. J. Comput. Chem. 1996, 17, 490–519. [Google Scholar] [CrossRef]
- Sousa Da Silva, A.W.; Vranken, W.F. ACPYPE—AnteChamber PYthon Parser InterfacE. BMC Res. Notes 2012, 5, 367. [Google Scholar] [CrossRef] [PubMed]
- Wang, J.; Wang, W.; Kollman, P.A.; Case, D.A. Automatic Atom Type and Bond Type Perception in Molecular Mechanical Calculations. J. Mol. Graph. Model. 2006, 25, 247–260. [Google Scholar] [CrossRef] [PubMed]
- Hess, B.; Kutzner, C.; Van Der Spoel, D.; Lindahl, E. GROMACS 4: Algorithms for Highly Efficient, Load-Balanced, and Scalable Molecular Simulation. J. Chem. Theory Comput. 2008, 4, 435–447. [Google Scholar] [CrossRef] [PubMed]
- Trott, O.; Olson, A.J. AutoDock Vina: Improving the Speed and Accuracy of Docking with a New Scoring Function, Efficient Optimization, and Multithreading. J. Comput. Chem. 2010, 31, 455–461. [Google Scholar] [CrossRef] [PubMed]
- Center for Computational Structural Biology Autodock Vina. Available online: https://vina.scripps.edu/ (accessed on 10 September 2023).
Disclaimer/Publisher’s Note: The statements, opinions and data contained in all publications are solely those of the individual author(s) and contributor(s) and not of MDPI and/or the editor(s). MDPI and/or the editor(s) disclaim responsibility for any injury to people or property resulting from any ideas, methods, instructions or products referred to in the content. |
© 2024 by the authors. Licensee MDPI, Basel, Switzerland. This article is an open access article distributed under the terms and conditions of the Creative Commons Attribution (CC BY) license (https://creativecommons.org/licenses/by/4.0/).





