In Vitro Anti-Toxoplasma Activity of Extracts Obtained from Tabebuia rosea and Tabebuia chrysantha: The Role of β-Amyrin
Abstract
1. Introduction
2. Results
2.1. Preliminary Phytochemical Analysis
2.2. Effect of Extracts on Cell Viability
2.3. Screening of Extracts with Anti-Toxoplasma Activity
2.4. Determination of Anti-Toxoplasma Activity by Flow Cytometry
2.5. Determination of the Effect of a Fraction and Pure Compound on Cell Viability
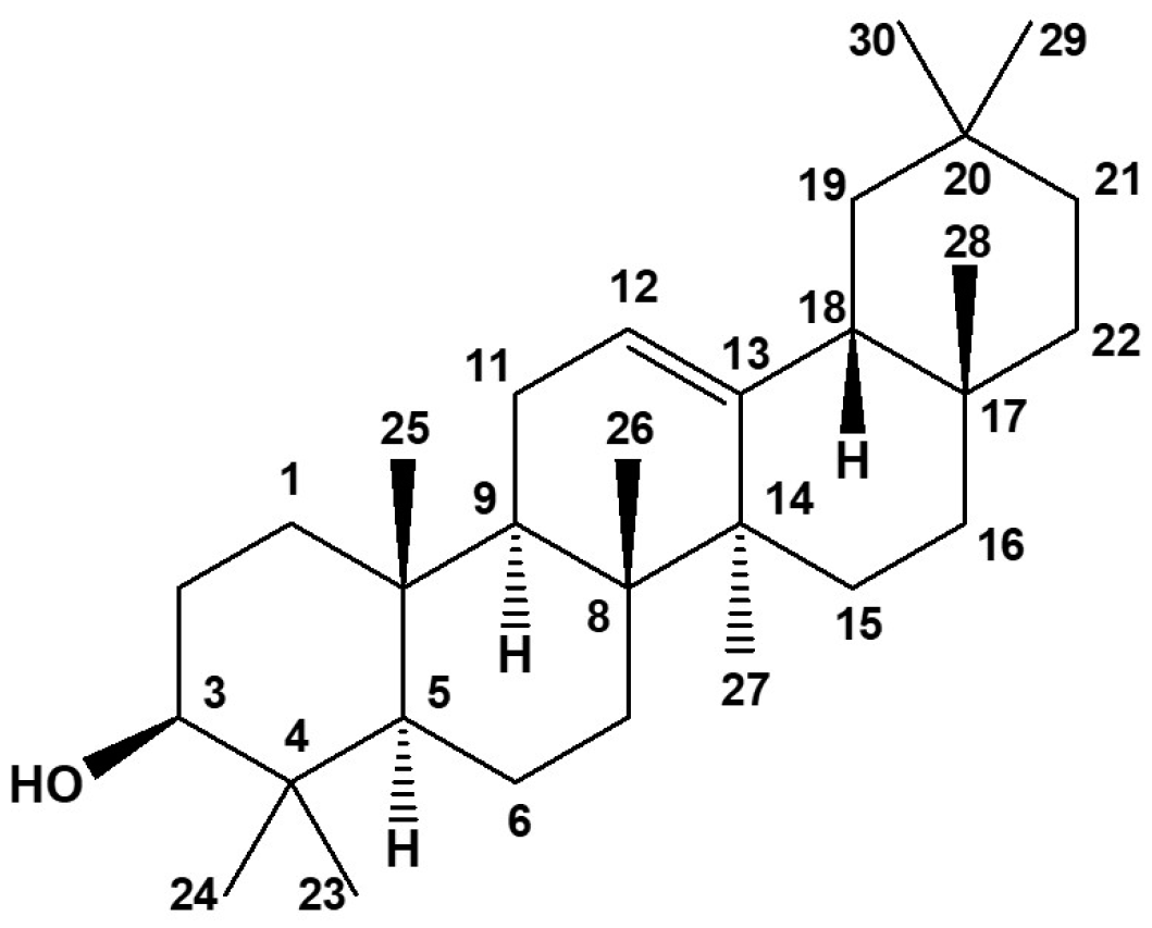
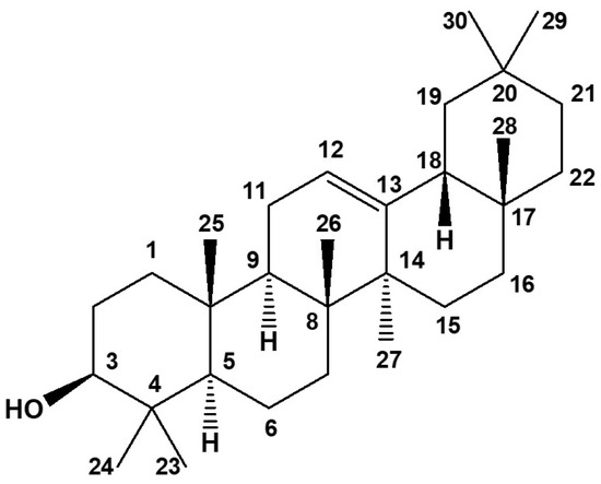
2.6. Determination of the Anti-Toxoplasma Activity of the Fraction and Pure Compounds by Flow Cytometry
3. Discussion
4. Materials and Methods
4.1. Reagents
4.2. Plant Material and Preparation of Extracts
4.3. Preliminary Phytochemical Analysis
4.4. Fractionation and Isolation of β-Amyrin
4.5. Cell Culture
4.6. Parasites
4.7. Cell Viability Assay
4.8. Screening of Extracts with Potential Anti-Toxoplasma Activity
4.9. Determination of Anti-Toxoplasma Activity by Flow Cytometry
4.10. Statistical Analysis
5. Conclusions
Supplementary Materials
Author Contributions
Funding
Institutional Review Board Statement
Informed Consent Statement
Data Availability Statement
Acknowledgments
Conflicts of Interest
References
- Dubey, J.P. Toxoplasmosis of Animals and Humans; CRC Press: Boca Raton, FL, USA, 2010. [Google Scholar]
- Sepulveda-Arias, J.C.; Gomez-Marin, J.E.; Bobic, B.; Naranjo-Galvis, C.A.; Djurkovic-Djakovic, O. Toxoplasmosis as a travel risk. Travel. Med. Infect. Dis. 2014, 12, 592–601. [Google Scholar] [CrossRef]
- Hadfield, S.J.; Guy, E.C. Toxoplasmosis. Medicine 2021, 49, 770–773. [Google Scholar] [CrossRef]
- Dubey, J.P.; Cerqueira-Cezar, C.K.; Murata, F.H.A.; Kwok, O.C.H.; Yang, Y.R.; Su, C. All about toxoplasmosis in cats: The last decade. Vet. Parasitol. 2020, 283, 109145. [Google Scholar] [CrossRef] [PubMed]
- Almeria, S.; Dubey, J.P. Foodborne transmission of Toxoplasma gondii infection in the last decade. An overview. Res. Vet. Sci. 2021, 135, 371–385. [Google Scholar] [CrossRef]
- Al-Malki, E.S. Toxoplasmosis: Stages of the protozoan life cycle and risk assessment in humans and animals for an enhanced awareness and an improved socio-economic status. Saudi J. Biol. Sci. 2021, 28, 962–969. [Google Scholar] [CrossRef]
- Dubey, J.P.; Jones, J.L. Toxoplasma gondii infection in humans and animals in the United States. Int. J. Parasitol. 2008, 38, 1257–1278. [Google Scholar] [CrossRef]
- Ahmed, M.; Sood, A.; Gupta, J. Toxoplasmosis in pregnancy. Eur. J. Obstet. Gynecol. Reprod. Biol. 2020, 255, 44–50. [Google Scholar] [CrossRef]
- Sepulveda-Arias, J.C.; Veloza, L.A.; Mantilla-Muriel, L.E. Anti-Toxoplasma activity of natural products: A review. Recent. Pat. Antiinfect. Drug Discov. 2014, 9, 186–194. [Google Scholar] [CrossRef]
- Alavi, S.M.; Alavi, L. Treatment of toxoplasmic lymphadenitis with co-trimoxazole: Double-blind, randomized clinical trial. Int. J. Infect. Dis. 2010, 14 (Suppl. S3), e67–e69. [Google Scholar] [CrossRef]
- O’Connor, G.R.; Frenkel, J.K. Editorial: Dangers of steroid treatment in toxoplasmosis. Periocular injections and systemic therapy. Arch. Ophthalmol. 1976, 94, 213. [Google Scholar] [CrossRef]
- Meneceur, P.; Bouldouyre, M.A.; Aubert, D.; Villena, I.; Menotti, J.; Sauvage, V.; Garin, J.F.; Derouin, F. In vitro susceptibility of various genotypic strains of Toxoplasma gondii to pyrimethamine, sulfadiazine, and atovaquone. Antimicrob. Agents Chemother. 2008, 52, 1269–1277. [Google Scholar] [CrossRef]
- Lilue, J.; Muller, U.B.; Steinfeldt, T.; Howard, J.C. Reciprocal virulence and resistance polymorphism in the relationship between Toxoplasma gondii and the house mouse. Elife 2013, 2, e01298. [Google Scholar] [CrossRef]
- Deng, Y.; Wu, T.; Zhai, S.Q.; Li, C.H. Recent progress on anti-Toxoplasma drugs discovery: Design, synthesis and screening. Eur. J. Med. Chem. 2019, 183, 111711. [Google Scholar] [CrossRef]
- Jiménez-González, F.J.; Veloza, L.A.; Sepúlveda-Arias, J.C. Anti-infectious activity in plants of the genus Tabebuia. Univ. Sci. 2013, 18, 257–267. [Google Scholar] [CrossRef]
- Hamed, A.N.E.; Mahmoud, B.K.; Samy, M.N.; Kamel, M.S. An extensive review on genus “Tabebuia”, family bignoniaceae: Phytochemistry and biological activities (1967 to 2018). J. Herb. Med. 2020, 24, 100410. [Google Scholar] [CrossRef]
- Vega Orcasitas, M. Etnobotánica de la Amazonia Peruana, 1st ed.; Abya Yala: Quito, Ecuador, 2001; pp. 9–166. [Google Scholar]
- Gomez-Estrada, H.; Diaz-Castillo, F.; Franco-Ospina, L.; Mercado-Camargo, J.; Guzman-Ledezma, J.; Medina, J.D.; Gaitan-Ibarra, R. Folk medicine in the northern coast of Colombia: An overview. J. Ethnobiol. Ethnomed. 2011, 7, 27. [Google Scholar] [CrossRef] [PubMed]
- Panda, S.P.; Panigrahy, U.P.; Panda, S.; Jena, B.R. Stem extract of Tabebuia chrysantha induces apoptosis by targeting sEGFR in Ehrlich Ascites Carcinoma. J. Ethnopharmacol. 2019, 235, 219–226. [Google Scholar] [CrossRef] [PubMed]
- Garzon-Castano, S.C.; Jimenez-Gonzalez, F.J.; Veloza, L.A.; Sepulveda-Arias, J.C. Activation of the Keap1-Nrf2 pathway by specioside and the n-butanol extract from the inner bark of Tabebuia rosea (Bertol) DC. F1000Research 2020, 9, 1262. [Google Scholar] [CrossRef]
- Khamesipour, F.; Pourmohammad, A.; Jafarian-Dehkordi, M. Anti-Toxoplasma Effects of Dracocephalum Polychaetum Essential Oil. Interdiscip. Perspect. Infect. Dis. 2022, 6091834. [Google Scholar] [CrossRef]
- Abdou, A.M.; Seddek, A.S.; Abdelmageed, N.; Badry, M.O.; Nishikawa, Y. Extracts of wild Egyptian plants from the desert inhibit the growth of Toxoplasma gondii and Neospora caninum in vitro. J. Vet. Med. Sci. 2022, 84, 1034–1040. [Google Scholar] [CrossRef]
- Souza, L.V.; Almeida, M.P.O.; Silva, N.M.; de Miranda, N.C.; Nebo, L.; da Silva, C.A.; Moraes, D.; Rodrigues, R.M. Siparuna guianensis Controls Toxoplasma gondii Infection In Vitro. Rev. Bras. Farmacogn. 2021, 31, 741–749. [Google Scholar] [CrossRef]
- Miranda, N.C.; Araujo, E.C.B.; Justino, A.B.; Cariaco, Y.; Mota, C.M.; Costa-Nascimento, L.A.; Espindola, F.S.; Silva, N.M. Anti-parasitic activity of Annona muricata L. leaf ethanolic extract and its fractions against Toxoplasma gondii in vitro and in vivo. J. Ethnopharmacol. 2021, 273, 114019. [Google Scholar] [CrossRef]
- Garzón-Castaño, S.; Lopera-Castrillón, I.; Jiménez-González, F.; Siller-López, F.; Veloza, L.; Sepúlveda-Arias, J. Nrf2-Mediated Antioxidant Activity of the inner bark extracts obtained from Tabebuia rosea (Bertol) DC and Tabebuia chrysantha (JACQ) G. Nicholson. [version 2; peer review: 2 approved]. F1000Research 2019, 7, 1937. [Google Scholar] [CrossRef]
- Jiménez-González, F.; Vélez-Gómez, J.; Melchor-Moncada, J.; Veloza, L.; Sepúlveda-Arias, J. Antioxidant, anti-inflammatory, and antiproliferative activity of extracts obtained from Tabebuia Rosea (Bertol.) DC. Phcog Mag. 2018, 14, 25. [Google Scholar] [CrossRef]
- Gentry, A.H. A Synopsis of Bignoniaceae Ethnobotany and Economic Botany. Ann. Mo. Bot. Gard. 1992, 79, 53–64. [Google Scholar] [CrossRef]
- El-Hawary, S.S.; Taher, M.A.; Amin, E.; Fekry AbouZid, S.; Mohammed, R. Genus Tabebuia: A comprehensive review journey from past achievements to future perspectives. Arab. J. Chem. 2021, 14, 103046. [Google Scholar] [CrossRef]
- Kunle, O.F.; Egharevba, H.O.; Ahmadu, P.O. Standardization of herbal medicines—A review. Int. J. Biodivers. Conserv. 2012, 4, 101–112. [Google Scholar] [CrossRef]
- Liu, S.; Wu, M.; Hua, Q.; Lu, D.; Tian, Y.; Yu, H.; Cheng, L.; Chen, Y.; Cao, J.; Hu, X.; et al. Two old drugs, NVP-AEW541 and GSK-J4, repurposed against the Toxoplasma gondii RH strain. Parasit. Vectors 2020, 13, 242. [Google Scholar] [CrossRef]
- Kamau, E.T.; Srinivasan, A.R.; Brown, M.J.; Fair, M.G.; Caraher, E.J.; Boyle, J.P. A focused small-molecule screen identifies 14 compounds with distinct effects on Toxoplasma gondii. Antimicrob. Agents Chemother. 2012, 56, 5581–5590. [Google Scholar] [CrossRef] [PubMed][Green Version]
- da Silva, L.L.; Portes Jde, A.; de Araujo, M.H.; Silva, J.L.; Renno, M.N.; Netto, C.D.; da Silva, A.J.; Costa, P.R.; De Souza, W.; Seabra, S.H.; et al. Further evidence that naphthoquinone inhibits Toxoplasma gondii growth in vitro. Parasitol. Int. 2015, 64, 622–631. [Google Scholar] [CrossRef] [PubMed]
- Docampo, R.; Cruz, F.S.; Boveris, A.; Muniz, R.P.; Esquivel, D.M. Lipid peroxidation and the generation of free radicals, superoxide anion, and hydrogen peroxide in beta-lapachone-treated Trypanosoma cruzi epimastigotes. Arch. Biochem. Biophys. 1978, 186, 292–297. [Google Scholar] [CrossRef]
- Kumar, M.R.; Aithal, K.; Rao, B.N.; Udupa, N.; Rao, B.S. Cytotoxic, genotoxic and oxidative stress induced by 1,4-naphthoquinone in B16F1 melanoma tumor cells. Toxicol. Vitr. 2009, 23, 242–250. [Google Scholar] [CrossRef]
- Ferreira, R.A.; de Oliveira, A.B.; Gualberto, S.A.; Miguel Del Corral, J.M.; Fujiwara, R.T.; Gazzinelli Guimaraes, P.H.; de Almeida Vitor, R.W. New naphthoquinones and an alkaloid with in vitro activity against Toxoplasma gondii RH and EGS strains. Exp. Parasitol. 2012, 132, 450–457. [Google Scholar] [CrossRef]
- Díaz, F.; Medina, J.D. Furanonaphthoquinones from Tabebuia ochracea ssp. neochrysanta. J. Nat. Prod. 1996, 59, 423–424. [Google Scholar] [CrossRef]
- Gonzalez-Coloma, A.; Reina, M.; Saenz, C.; Lacret, R.; Ruiz-Mesia, L.; Aran, V.J.; Sanz, J.; Martinez-Diaz, R.A. Antileishmanial, antitrypanosomal, and cytotoxic screening of ethnopharmacologically selected Peruvian plants. Parasitol. Res. 2012, 110, 1381–1392. [Google Scholar] [CrossRef]
- Zani, C.L.; De Oliveira, A.B.; De Oliviera, G.G. Furanonaphthoquinones from Tabebuia ochracea. Phytochemistry 1991, 30, 2379–2381. [Google Scholar] [CrossRef]
- Cipriani, F.A.; Figueiredo, M.R.; Soares, G.L.G.; Kaplan, M.A.C. Implicações químicas na sistemática e filogenia de Bignoniaceae. Quím Nova 2012, 35, 2125–2131. [Google Scholar] [CrossRef][Green Version]
- Salas, C.O.; Faundez, M.; Morello, A.; Maya, J.D.; Tapia, R.A. Natural and synthetic naphthoquinones active against Trypanosoma cruzi: An initial step towards new drugs for Chagas disease. Curr. Med. Chem. 2011, 18, 144–161. [Google Scholar] [CrossRef]
- Araujo, I.A.C.; de Paula, R.C.; Alves, C.L.; Faria, K.F.; Oliveira, M.M.; Mendes, G.G.; Dias, E.; Ribeiro, R.R.; Oliveira, A.B.; Silva, S.M.D. Efficacy of lapachol on treatment of cutaneous and visceral leishmaniasis. Exp. Parasitol. 2019, 199, 67–73. [Google Scholar] [CrossRef]
- Ali, A.; Assimopoulou, A.N.; Papageorgiou, V.P.; Kolodziej, H. Structure/antileishmanial activity relationship study of naphthoquinones and dependency of the mode of action on the substitution patterns. Planta Med. 2011, 77, 2003–2012. [Google Scholar] [CrossRef]
- Costa, E.V.; Brigido, H.P.; Silva, J.V.; Coelho-Ferreira, M.R.; Brandao, G.C.; Dolabela, M.F. Antileishmanial Activity of Handroanthus serratifolius (Vahl) S. Grose (Bignoniaceae). Evid. Based Complement. Alternat. Med. 2017, 8074275. [Google Scholar] [CrossRef]
- Lima, N.M.; Correia, C.S.; Leon, L.L.; Machado, G.M.; Madeira Mde, F.; Santana, A.E.; Goulart, M.O. Antileishmanial activity of lapachol analogues. Mem. Inst. Oswaldo Cruz 2004, 99, 757–761. [Google Scholar] [CrossRef]
- Odonne, G.; Houel, E.; Bourdy, G.; Stien, D. Treating leishmaniasis in Amazonia: A review of ethnomedicinal concepts and pharmaco-chemical analysis of traditional treatments to inspire modern phytotherapies. J. Ethnopharmacol. 2017, 199, 211–230. [Google Scholar] [CrossRef]
- Passero, L.F.; Laurenti, M.D.; Santos-Gomes, G.; Soares Campos, B.L.; Sartorelli, P.; Lago, J.H. Plants used in traditional medicine: Extracts and secondary metabolites exhibiting antileishmanial activity. Curr. Clin. Pharmacol. 2014, 9, 187–204. [Google Scholar] [CrossRef]
- Rocha, M.N.; Nogueira, P.M.; Demicheli, C.; de Oliveira, L.G.; da Silva, M.M.; Frezard, F.; Melo, M.N.; Soares, R.P. Cytotoxicity and In Vitro Antileishmanial Activity of Antimony (V), Bismuth (V), and Tin (IV) Complexes of Lapachol. Bioinorg. Chem. Appl. 2013, 961783. [Google Scholar] [CrossRef]
- Teixeira, M.J.; de Almeida, Y.M.; Viana, J.R.; Holanda Filha, J.G.; Rodrigues, T.P.; Prata, J.R., Jr.; Coelho, I.C.; Rao, V.S.; Pompeu, M.M. In vitro and in vivo Leishmanicidal activity of 2-hydroxy-3-(3-methyl-2-butenyl)-1,4-naphthoquinone (lapachol). Phytother. Res. 2001, 15, 44–48. [Google Scholar] [CrossRef]
- Hussain, H.; Green, I.R. Lapachol and lapachone analogs: A journey of two decades of patent research (1997–2016). Expert. Opin. Ther. Pat. 2017, 27, 1111–1121. [Google Scholar] [CrossRef]
- Isah, M.B.; Tajuddeen, N.; Umar, M.I.; Alhafiz, Z.A.; Mohammed, A.; Ibrahim, M.A. Chapter 7—Terpenoids as Emerging Therapeutic Agents: Cellular Targets and Mechanisms of Action against Protozoan Parasites. In Studies in Natural Products Chemistry; Attaur, R., Ed.; Elsevier: Amsterdam, The Netherlands, 2018; Volume 59, pp. 227–250. [Google Scholar]
- Zhang, L.H.; Jin, L.L.; Liu, F.; Jin, C.; Jin, C.M.; Wei, Z.Y. Evaluation of ursolic acid derivatives with potential anti-Toxoplasma gondii activity. Exp. Parasitol. 2020, 216, 107935. [Google Scholar] [CrossRef] [PubMed]
- Wang, Y.-L.; Jin, L.-L.; Cheng, X.; Yan, W.-F.; Deng, H.; Shen, Q.-K.; Quan, Z.-S.; Jin, C.-M.; Zhang, C.-H. Synthesis and evaluation of in vitro and in vivo anti-Toxoplasma gondii activity of tetraoxane-substituted ursolic acid derivatives. Nat. Prod. Res. 2022, 37, 3654–3662. [Google Scholar] [CrossRef]
- Gregori-Puigjane, E.; Setola, V.; Hert, J.; Crews, B.A.; Irwin, J.J.; Lounkine, E.; Marnett, L.; Roth, B.L.; Shoichet, B.K. Identifying mechanism-of-action targets for drugs and probes. Proc. Natl. Acad. Sci. USA 2012, 109, 11178–11183. [Google Scholar] [CrossRef]
- Isah, M.B.; Ibrahim, M.A.; Mohammed, A.; Aliyu, A.B.; Masola, B.; Coetzer, T.H. A systematic review of pentacyclic triterpenes and their derivatives as chemotherapeutic agents against tropical parasitic diseases. Parasitology 2016, 143, 1219–1231. [Google Scholar] [CrossRef]
- van Agtmael, M.A.; Eggelte, T.A.; van Boxtel, C.J. Artemisinin drugs in the treatment of malaria: From medicinal herb to registered medication. Trends Pharmacol. Sci. 1999, 20, 199–205. [Google Scholar] [CrossRef]
- Jiang, Z.Y.; Dong, K.; Huang, Z.S.; Yuan, C.C.; Liu, B.; Chen, Q.W.; Chen, J.P. Evaluation of the inhibitory effects and the mechanism of terpenoids on Toxoplasma gondii tachyzoites. Acta Trop. 2023, 237, 106741. [Google Scholar] [CrossRef]
- Mosmann, T. Rapid colorimetric assay for cellular growth and survival: Application to proliferation and cytotoxicity assays. J. Immunol. Methods 1983, 65, 55–63. [Google Scholar] [CrossRef] [PubMed]
- Singh, D.; Arya, P.V.; Sharma, A.; Dobhal, M.P.; Gupta, R.S. Modulatory potential of α-amyrin against hepatic oxidative stress through antioxidant status in Wistar albino rats. J. Ethnopharmacol. 2015, 161, 186–193. [Google Scholar] [CrossRef]
- McFadden, D.C.; Seeber, F.; Boothroyd, J.C. Use of Toxoplasma gondii expressing beta-galactosidase for colorimetric assessment of drug activity in vitro. Antimicrob. Agents Chemother. 1997, 41, 1849–1853. [Google Scholar] [CrossRef]
- Borges, I.P.; Castanheira, L.E.; Barbosa, B.F.; de Souza, D.L.; da Silva, R.J.; Mineo, J.R.; Tudini, K.A.; Rodrigues, R.S.; Ferro, E.A.; de Melo Rodrigues, V. Anti-parasitic effect on Toxoplasma gondii induced by BnSP-7, a Lys49-phospholipase A2 homologue from Bothrops pauloensis venom. Toxicon 2016, 119, 84–91. [Google Scholar] [CrossRef]










| Part of the Plant | Extract | Percentage of Viable Cells (Mean ± SEM) | |||
|---|---|---|---|---|---|
| 6.25 µg/mL | 12.5 µg/mL | 25 µg/mL | 50 µg/mL | ||
| Inner bark | Methanol | 101.1 ± 3.2 | 98.8 ± 4.6 | 96.9 ± 3.0 | 92.5 ± 2.8 |
| n-hexane | 99.2 ± 2.7 | 95.6 ± 1.9 | 89.6 ± 2.4 | 84.2 ± 2.7 | |
| Chloroform | 93.1 ± 2.5 | 83.3 ± 2.3 | 68.1 ± 4.3 | 31.7 ± 9.5 | |
| Insoluble ethyl acetate | 104.0 ± 2.6 | 100.5 ± 2.2 | 102.0 ± 1.6 | 99.3 ± 2.1 | |
| Soluble ethyl acetate | 99.3 ± 2.7 | 101.8 ± 2.9 | 101.9 ± 3.3 | 102.5 ± 3.2 | |
| n-butanol | 90.7 ± 1.9 | 90.4 ± 2.5 | 92.1 ± 2.2 | 97.0 ± 3.0 | |
| Aqueous | 88.4 ± 1.5 | 89.9 ± 1.7 | 86.3 ± 5.2 | 94.4 ± 3.2 | |
| Leaves | Methanol | 106.7 ± 1.3 | 102.8 ± 1.8 | 105.3 ± 1.9 | 107.9 ± 1.3 |
| n-hexane | 106.9 ± 3.4 | 98.5 ± 2.2 | 95.7 ± 2.5 | 99.3 ± 4.1 | |
| Chloroform | 113.1 ± 2.0 | 109.5 ± 1.8 | 130.0 ± 3.1 | 58.8 ± 8.3 | |
| Ethyl acetate 1 | 105.2 ± 2.8 | 105.2 ± 2.0 | 111.1 ± 1.9 | 113.5 ± 1.9 | |
| Ethyl acetate 2 | 98.3 ± 2.9 | 98.6 ± 2.4 | 102.0 ± 2.1 | 107.2 ± 1.0 | |
| n-butanol | 95.5 ± 1.5 | 96.9 ± 1.0 | 103.6 ± 1.7 | 104.7 ± 2.8 | |
| Aqueous | 93.2 ± 1.4 | 95.5 ± 1.4 | 96.6 ± 2.1 | 100.2 ± 1.4 | |
| Part of the Plant | Extract | Percentage of Viable Cells (Mean ± SEM) | |||
|---|---|---|---|---|---|
| 6.25 µg/mL | 12.5 µg/mL | 25 µg/mL | 50 µg/mL | ||
| Inner bark | Methanol | 98.3 ± 2.2 | 102.3 ± 3.1 | 99.1 ± 1.1 | 103.3 ± 2.0 |
| n-hexane | 105.4 ± 2.2 | 109.3 ± 2.3 | 108.4 ± 2.1 | 106.1 ± 4.1 | |
| Chloroform | 102.7 ± 2.4 | 96.8 ± 1.7 | 92.0 ± 1.1 | 66.3 ± 2.8 | |
| Soluble ethyl acetate | 96.4 ± 2.0 | 99.1 ± 1.7 | 100.0 ± 3.7 | 102.5 ± 3.1 | |
| Insoluble ethyl acetate | 95.4 ± 1.8 | 94.6 ± 1.6 | 101.3 ± 1.5 | 107.9 ± 1.5 | |
| n-butanol | 100.3 ± 4.5 | 95.6 ± 1.2 | 94.0 ± 2.4 | 100.5 ± 1.9 | |
| Aqueous | 97.1 ± 2.5 | 98.0 ± 1.5 | 96.6 ± 1.5 | 96.8 ± 1.2 | |
| Leaves | Methanol | 105.3 ± 3.2 | 98.8 ± 3.5 | 100.6 ± 2.9 | 129.1 ± 4.3 |
| Chloroform | 98.2 ± 3.2 | 98.5 ± 1.9 | 112.6 ± 4.5 | 123.0 ± 2.9 | |
| Ethyl acetate | 105.9 ± 5.4 | 99.3 ± 2.7 | 100.8 ± 4.0 | 100.0 ± 3.4 | |
| n-butanol | 97.4 ± 4.1 | 91.6 ± 2.7 | 92.2 ± 2.6 | 101.5 ± 1.9 | |
| Aqueous | 96.4 ± 3.3 | 89.7 ± 3.1 | 93.1 ± 4.8 | 88.8 ± 4.7 | |
| Part of the Plant | Extract | Percentage of Proliferation (Mean ± SEM) | |||
|---|---|---|---|---|---|
| 1 µg/mL | 5 µg/mL | 10 µg/mL | 20 µg/mL | ||
| Inner bark | Methanol | 85.4 ± 8.8 | 98.2 ± 5.7 | 104.5 ± 8.9 | 106.4 ± 9.8 |
| n-hexane | 103.0 ± 11.1 | 108.4 ± 7.3 | 94.6 ± 5.9 | 61.7 ± 10.0 | |
| Chloroform | 103.5 ± 17.3 | 40.5 ± 9.0 | 4.0 ± 0.8 | 1.3 ± 0.4 | |
| Insoluble ethyl acetate | 110.6 ± 13.7 | 125.1 ± 15.9 | 115.5 ± 13.3 | 121.3 ± 14.2 | |
| Soluble ethyl acetate | 108.3 ± 12.5 | 113.8 ± 13.8 | 121.9 ± 12.7 | 99.7 ± 15.6 | |
| n-butanol | 107.3 ± 11.9 | 120.8 ± 10.3 | 119.3 ± 12.3 | 113.6 ± 14.0 | |
| Aqueous | 45.9 ± 7.7 | 41.4 ± 7.8 | 48.8 ± 7.5 | 62.0 ± 7.9 | |
| Leaves | Methanol | 84.8 ± 8.4 | 111.5 ± 4.3 | 115.6 ± 8.1 | 91.6 ± 6.3 |
| n-hexane | 119.7 ± 3.6 | 129.0 ± 5.5 | 125.5 ± 7.9 | 121.4 ± 4.7 | |
| Chloroform | 89.0 ± 9.5 | 36.9 ± 8.3 | 1.1 ± 0.2 | 2.4 ± 0.5 | |
| Ethyl acetate 1 | 115.5 ± 7.2 | 120.9 ± 8.0 | 113.5 ± 7.0 | 87.5 ± 6.1 | |
| Ethyl acetate 2 | 65.5 ± 14.9 | 89.3 ± 15.9 | 105.2 ± 10.8 | 103.1 ± 6.9 | |
| n-butanol | 94.6 ± 11.8 | 93.4 ± 13.7 | 100.7 ± 13.4 | 110.0 ± 13.2 | |
| Aqueous | 56.1 ± 12.4 | 63.6 ± 11.4 | 61.4 ± 12.8 | 81.3 ± 10.6 | |
| Part of the Plant | Extract | Percentage of Viability (Mean ± SEM) | |||
|---|---|---|---|---|---|
| 1 µg/mL | 5 µg/mL | 10 µg/mL | 20 µg/mL | ||
| Inner bark | Methanol | 95.8 ± 5.2 | 125.4 ± 6.6 | 139.3 ± 10.6 | 132.2 ± 9.2 |
| n-hexane | 109.2 ± 3.3 | 115.1 ± 3.3 | 106.5 ± 5.9 | 70.1 ± 8.9 | |
| Chloroform | 129.1 ± 2.5 | 100.8 ± 2.2 | 48.8 ± 8.8 | 6.9 ± 0.7 | |
| Soluble ethyl acetate | 110.9 ± 10.8 | 136.2 ± 15.6 | 127.6 ± 13.5 | 99.9 ± 13.6 | |
| Insoluble ethyl acetate | 98.1 ± 11.6 | 126.4 ± 12.1 | 141.0 ± 14.3 | 138.9 ± 13.4 | |
| n-butanol | 65.6 ± 8.1 | 98.6 ± 13.4 | 100.0 ± 15.5 | 97.7 ± 14.7 | |
| Aqueous | 89.0 ± 14.0 | 97.0 ± 11.9 | 98.6 ± 12.7 | 82.6 ± 8.4 | |
| Leaves | Methanol | 82.8 ± 6.8 | 106.8 ± 10.1 | 82.3 ± 5.2 | 41.2 ± 7.4 |
| Chloroform | 93.3 ± 5.2 | 57.9 ± 9.8 | 23.5 ± 7.3 | 3.6 ± 0.4 | |
| Ethyl acetate | 93.2 ± 12.0 | 112.9 ± 8.1 | 116.6 ± 8.5 | 113.2 ± 9.2 | |
| n-butanol | 104.4 ± 14.0 | 91.0 ± 11.4 | 101.5 ± 8.7 | 85.4 ± 12.3 | |
| Aqueous | 60.4 ± 9.1 | 79.2 ± 7.3 | 88.4 ± 8.6 | 86.3 ± 8.8 | |
| Treatment | CC50 a (μ g/mL) | IC50 b (μ g/mL) | TI c |
|---|---|---|---|
| Chloroform extract of T. rosea leaves | 50 | 8.15 | 6.13 |
| Chloroform extract of T. rosea inner bark | >50 | 2.91 | >17.18 |
| Chloroform extract of T. chrysantha leaves | >50 | 7.92 | >6.31 |
| β-amyrin | 15.1 | 4.75 | 3.18 |
Disclaimer/Publisher’s Note: The statements, opinions and data contained in all publications are solely those of the individual author(s) and contributor(s) and not of MDPI and/or the editor(s). MDPI and/or the editor(s) disclaim responsibility for any injury to people or property resulting from any ideas, methods, instructions or products referred to in the content. |
© 2024 by the authors. Licensee MDPI, Basel, Switzerland. This article is an open access article distributed under the terms and conditions of the Creative Commons Attribution (CC BY) license (https://creativecommons.org/licenses/by/4.0/).
Share and Cite
Cardona-Trujillo, M.C.; Jiménez-González, F.J.; Veloza, L.A.; Sepúlveda-Arias, J.C. In Vitro Anti-Toxoplasma Activity of Extracts Obtained from Tabebuia rosea and Tabebuia chrysantha: The Role of β-Amyrin. Molecules 2024, 29, 920. https://doi.org/10.3390/molecules29050920
Cardona-Trujillo MC, Jiménez-González FJ, Veloza LA, Sepúlveda-Arias JC. In Vitro Anti-Toxoplasma Activity of Extracts Obtained from Tabebuia rosea and Tabebuia chrysantha: The Role of β-Amyrin. Molecules. 2024; 29(5):920. https://doi.org/10.3390/molecules29050920
Chicago/Turabian StyleCardona-Trujillo, Maria Camila, Francisco Javier Jiménez-González, Luz Angela Veloza, and Juan Carlos Sepúlveda-Arias. 2024. "In Vitro Anti-Toxoplasma Activity of Extracts Obtained from Tabebuia rosea and Tabebuia chrysantha: The Role of β-Amyrin" Molecules 29, no. 5: 920. https://doi.org/10.3390/molecules29050920
APA StyleCardona-Trujillo, M. C., Jiménez-González, F. J., Veloza, L. A., & Sepúlveda-Arias, J. C. (2024). In Vitro Anti-Toxoplasma Activity of Extracts Obtained from Tabebuia rosea and Tabebuia chrysantha: The Role of β-Amyrin. Molecules, 29(5), 920. https://doi.org/10.3390/molecules29050920

