Rapid Detection of the Anti-Tumor Drug Etoposide in Biological Samples by Using a Nanoporous-Gold-Based Electrochemical Sensor
Abstract
1. Introduction
2. Results and Discussion
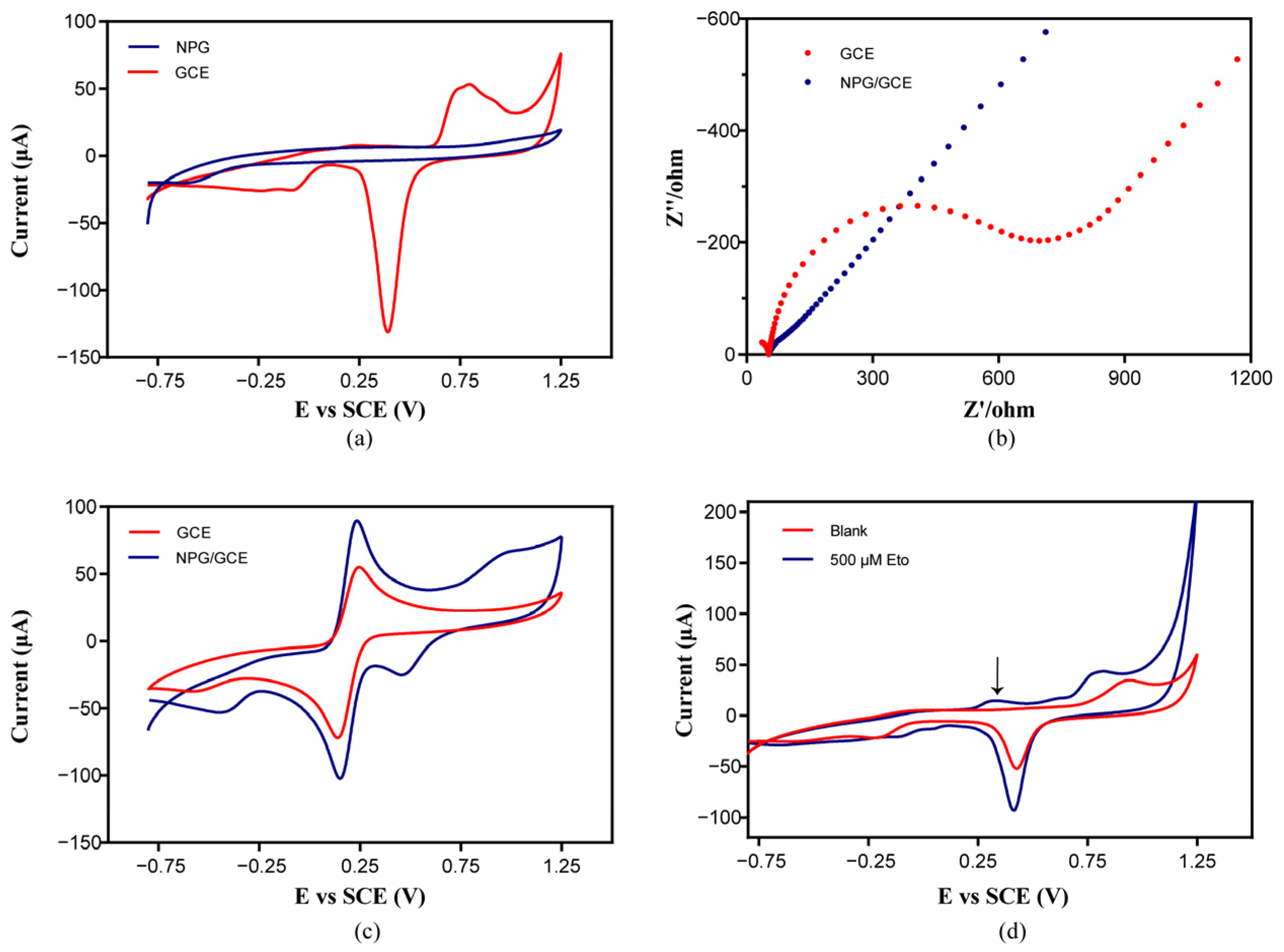
2.1. Construction and Characterization of NPG/GCE
2.2. Characterization of NPG/GCE and the Feasibility of Etoposide Detection Using NPG/GCE
2.3. Effect of Electrolyte pH on Etoposide Oxidation
2.4. Electrochemical Detection of Etoposide by NPG/GCE
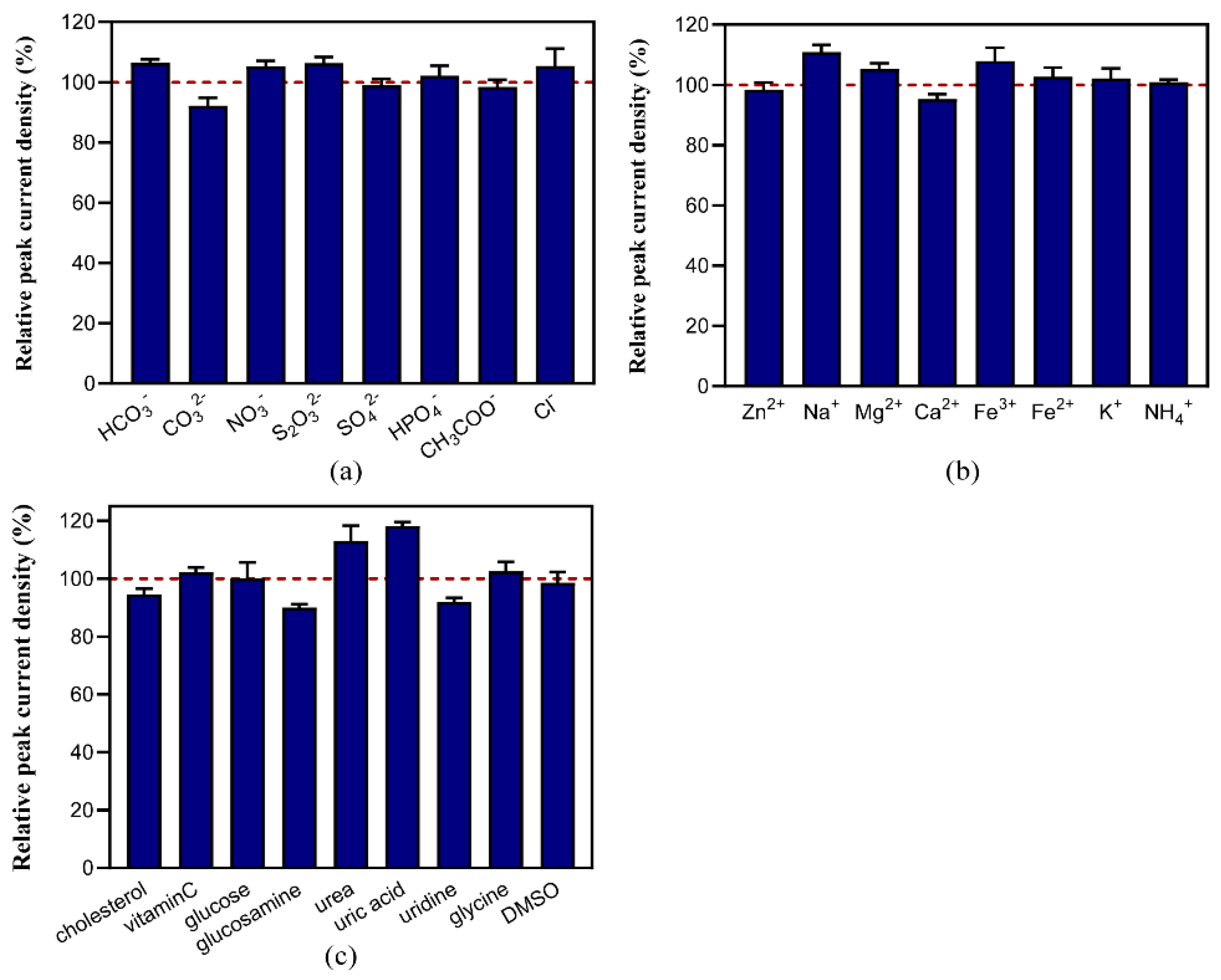
2.5. Anti-Interference of Etoposide Detection
2.6. The Detection of Etoposide in Biological Samples
3. Materials and Methods
3.1. Chemical and Materials
3.2. Preparation of NPG/GCEs
3.3. Electrochemical Analysis
3.4. Actual Sample Detection
3.5. HPLC Analysis
4. Conclusions
5. Patents
Supplementary Materials
Author Contributions
Funding
Institutional Review Board Statement
Informed Consent Statement
Data Availability Statement
Conflicts of Interest
References
- Hahn, L.; Lim, H.; Dusyk, T.; Sabry, W.; Elemary, M.; Stakiw, J.; Danyluk, P.; Bosch, M. BeEAM conditioning regimen is a safe, efficacious and economical alternative to BEAM chemotherapy. Sci. Rep. 2021, 11, 14071. [Google Scholar] [CrossRef]
- Henwood, J.M.; Brogden, R.N. Etoposide. Drugs 1990, 39, 438–490. [Google Scholar] [CrossRef]
- Pommier, Y.; Nussenzweig, A.; Takeda, S.; Austin, C. Human topoisomerases and their roles in genome stability and organization. Nat. Rev. Mol. Cell Biol. 2022, 23, 407–427. [Google Scholar] [CrossRef]
- Bailly, C. Etoposide: A rider on the cytokine storm. Cytokine 2023, 168, 156234. [Google Scholar] [CrossRef]
- Patel, M.; Dominguez, E.; Sacher, D.; Desai, P.; Chandar, A.; Bromberg, M.; Caricchio, R.; Criner, G.J. Etoposide as Salvage Therapy for Cytokine Storm due to Coronavirus Disease 2019. Chest 2021, 159, e7–e11. [Google Scholar] [CrossRef]
- Lovetrue, B. The AI-discovered aetiology of COVID-19 and rationale of the irinotecan plus etoposide combination therapy for critically ill COVID-19 patients. Med. Hypotheses 2020, 144, 110180. [Google Scholar] [CrossRef]
- Kajita, N.; Saito, Y.; Makimoto, A.; Miyahara, S.; Yuza, Y. Double recurrence of double cancers: Rhabdomyosarcoma and secondary AML. Pediatr. Int. 2020, 62, 742–744. [Google Scholar] [CrossRef]
- Režonja Kukec, R.; Grabnar, I.; Mrhar, A.; Čebron Lipovec, N.; Čufer, T.; Vovk, T. A simple dried blood spot method for clinical pharmacological analyses of etoposide in cancer patients using liquid chromatography and fluorescence detection. Clin. Chim. Acta 2016, 452, 99–105. [Google Scholar] [CrossRef]
- Liliemark, E.; Pettersson, B.; Peterson, C.; Liliemark, J. High-performance liquid chromatography with fluorometric detection for monitoring of etoposide and its cis-isomer in plasma and leukaemic cells. J. Chromatogr. B Biomed. Sci. Appl. 1995, 669, 311–317. [Google Scholar] [CrossRef] [PubMed]
- Soetebeer, U.B.; Schierenberg, M.O.; Schulz, H.; Hempel, G.; Andresen, P.; Blaschke, G. Simultaneous quantification of etoposide and etoposide phosphate in human plasma by capillary electrophoresis using laser-induced native fluorescence detection. Anal. Chem. 2001, 73, 2178–2182. [Google Scholar] [CrossRef] [PubMed]
- Ragozina, N.Y.; Pütz, M.; Heissler, S.; Faubel, W.; Pyell, U. Quantification of etoposide and etoposide phosphate in human plasma by micellar electrokinetic chromatography and near-field thermal lens detection. Anal. Chem. 2004, 76, 3804–3809. [Google Scholar] [CrossRef]
- Özkan, A.; Atar, N.; Yola, M.L. Enhanced surface plasmon resonance (SPR) signals based on immobilization of core-shell nanoparticles incorporated boron nitride nanosheets: Development of molecularly imprinted SPR nanosensor for anticancer drug, etoposide. Biosens. Bioelectron. 2019, 130, 293–298. [Google Scholar] [CrossRef] [PubMed]
- Li, F.Q.; Yu, Z.G.; Han, X.D.; Lai, R.Y. Electrochemical aptamer-based sensors for food and water analysis: A review. Anal. Chim. Acta 2019, 1051, 1–23. [Google Scholar] [CrossRef] [PubMed]
- Negahdary, M.; Azeredo, N.F.B.; Santos, B.G.; de Oliveira, T.G.; de Oliveira Lins, R.S.; dos Santos Lima, I.; Angnes, L. Electrochemical Nanomaterial-based Sensors/Biosensors for Drug Monitoring. Curr. Top. Med. Chem. 2023, 23, 295–315. [Google Scholar] [CrossRef] [PubMed]
- Zhu, Z.; Wu, H.; Wu, S.; Huang, Z.; Zhu, Y.; Xi, L. Determination of methotrexate and folic acid by ion chromatography with electrochemical detection on a functionalized multi-wall carbon nanotube modified electrode. J. Chromatogr. A 2013, 1283, 62–67. [Google Scholar] [CrossRef]
- Zhang, W.; Lu, R.; Fan, X.; Weng, Y. An electrochemical sensor based on graphene nanoribbon nano-catalyst for determination of etoposide as an approved drug in lung cancer. Alex. Eng. J. 2023, 77, 247–254. [Google Scholar] [CrossRef]
- Temerk, Y.; Ibrahim, M.; Ibrahim, H.; Kotb, M. Adsorptive stripping voltammetric determination of anticancer drug lomustine in biological fluids using in situ mercury film coated graphite pencil electrode. J. Electroanal. Chem. 2016, 760, 135–142. [Google Scholar] [CrossRef]
- Radhapyari, K.; Khan, R. Biosensor for detection of Selective Anticancer Drug Gemcitabine Based on Polyaniline-gold Nanocomposite. Adv. Mater. Lett. 2015, 6, 13–18. [Google Scholar] [CrossRef]
- Hatamluyi, B.; Lorestani, F.; Es’haghi, Z. Au/Pd@rGO nanocomposite decorated with poly (L-Cysteine) as a probe for simultaneous sensitive electrochemical determination of anticancer drugs, Ifosfamide and Etoposide. Biosens. Bioelectron. 2018, 120, 22–29. [Google Scholar] [CrossRef]
- Shumba, M.; Nyokong, T. Characterization and Electrocatalytic Activity of Nanocomposites Consisting of Nanosized Cobalt Tetraaminophenoxy Phthalocyanine, Multi-walled Carbon Nanotubes and Gold Nanoparticles. Electroanalysis 2016, 28, 1478–1488. [Google Scholar] [CrossRef]
- Maringa, A.; Nyokong, T. The influence of gold nanoparticles on the electroactivity of nickel tetrasulfonated phthalocyanine. J. Porphyr. Phthalocyanines 2014, 18, 642–651. [Google Scholar] [CrossRef]
- Liu, Z.; Ma, H.Y.; Sun, H.H.; Gao, R.; Liu, H.L.; Wang, X.; Xu, P.; Xun, L.Y. Nanoporous gold-based microbial biosensor for direct determination of sulfide. Biosens. Bioelectron. 2017, 98, 29–35. [Google Scholar] [CrossRef]
- Ji, C.X.; Searson, P.C. Synthesis and characterization of nanoporous gold nanowires. J. Phys. Chem. B 2003, 107, 4494–4499. [Google Scholar] [CrossRef]
- Zhang, W.S.; Cui, C.; Chen, H.S.; Zhang, X.C.; Du, J.H. Study on a nano-porous gold/polyamidoamine (NPG/PAMAM)-based electrochemical aptamer biosensor for the detection of ochratoxin a in the red wine. Food Addit. Contam. A 2023, 40, 1059–1073. [Google Scholar] [CrossRef]
- Shang, K.; Wang, S.; Chen, S.; Wang, X. Sensitivity Detection of Uric Acid and Creatinine in Human Urine Based on Nanoporous Gold. Biosensors 2022, 12, 588. [Google Scholar] [CrossRef] [PubMed]
- Fujita, T.; Guan, P.; McKenna, K.; Lang, X.; Hirata, A.; Zhang, L.; Tokunaga, T.; Arai, S.; Yamamoto, Y.; Tanaka, N.; et al. Atomic origins of the high catalytic activity of nanoporous gold. Nat. Mater. 2012, 11, 775–780. [Google Scholar] [CrossRef] [PubMed]
- Ayad, A.; Naimi, Y.; Bouet, J.; Fauvarque, J.F. Oxygen reduction on platinum electrode coated with Nafion®. J. Power Sources 2004, 130, 50–55. [Google Scholar] [CrossRef]
- Teker, T.; Aslanoglu, M. Development of a Dy2O3@Eu2O3-carbon nanofiber based electrode for highly sensitive detection of papaverine. Anal. Chim. Acta 2021, 1183, 338972. [Google Scholar] [CrossRef] [PubMed]
- Pajkossy, T.; Jurczakowski, R. Electrochemical impedance spectroscopy in interfacial studies. Curr. Opin. Electrochem. 2017, 1, 53–58. [Google Scholar] [CrossRef]
- Dorovskikh, S.I.; Klyamer, D.D.; Fedorenko, A.D.; Morozova, N.B.; Basova, T.V. Electrochemical Sensor Based on Iron(II) Phthalocyanine and Gold Nanoparticles for Nitrite Detection in Meat Products. Sensors 2022, 22, 5780. [Google Scholar] [CrossRef] [PubMed]
- Bard, A.J.; Inzelt, G.; Scholz, F.R. Electrochemical Dictionary; Bard, A.J., Inzelt, G., Scholz, F., Eds.; Springer: Berlin/Heidelberg, Germany, 2012; pp. 781–815. [Google Scholar]
- Zhang, M.; Li, Y.; Ma, F.; Niu, Y.; Chen, X.; Ye, B.-C. Metal-organic-framework-derived Ni3ZnC0.7 materials for highly sensitive electrochemical detection of catechol. Inorg. Chem. Commun. 2023, 149, 110419. [Google Scholar] [CrossRef]
- Zhao, X.; Zhang, L.; Chu, Z.; Wang, Q.; Cao, Y.; Cao, J.; Li, J.; Lei, W.; Zhang, B.; Si, W. Fe-Decorated Nitrogen-Doped Carbon Nanospheres as an Electrochemical Sensing Platform for the Detection of Acetaminophen. Molecules 2023, 28, 3006. [Google Scholar] [CrossRef]
- Zhang, M.; Ge, S.; Li, W.; Yan, M.; Song, X.; Yu, J.; Xu, W.; Huang, J. Ultrasensitive electrochemiluminescence immunoassay for tumor marker detection using functionalized Ru-silica@nanoporous gold composite as labels. Analyst 2012, 137, 680–685. [Google Scholar] [CrossRef]
- Li, L.; Li, W.; Ma, C.; Yang, H.; Ge, S.; Yu, J. Paper-based electrochemiluminescence immunodevice for carcinoembryonic antigen using nanoporous gold-chitosan hybrids and graphene quantum dots functionalized Au@Pt. Sens. Actuators B Chem. 2014, 202, 314–322. [Google Scholar] [CrossRef]
- Guntupalli, B.; Liang, P.; Lee, J.-H.; Yang, Y.; Yu, H.; Canoura, J.; He, J.; Li, W.; Weizmann, Y.; Xiao, Y. Ambient Filtration Method to Rapidly Prepare Highly Conductive, Paper-Based Porous Gold Films for Electrochemical Biosensing. ACS Appl. Mater. Interfaces 2015, 7, 27049–27058. [Google Scholar] [CrossRef]
- Soltani, N.; Khayatkashani, M.; Ebrahimian, J.; Tavakkoli, N.; Rezaei, A.; Ryadh, A.; Salavati-Niasari, M. A novel modified CPE using CE-Zno-Lapis lazuli nanocomposite as a sensitive electrochemical sensor for the determination of anti-cancer drug of etoposide. J. Alloys Compd. 2023, 968, 171900. [Google Scholar] [CrossRef]
- Nguyen, H.V.; Richtera, L.; Moulick, A.; Xhaxhiu, K.; Kudr, J.; Cernei, N.; Polanska, H.; Heger, Z.; Masarik, M.; Kopel, P.; et al. Electrochemical sensing of etoposide using carbon quantum dot modified glassy carbon electrode. Analyst 2016, 141, 2665–2675. [Google Scholar] [CrossRef] [PubMed]
- Vajedi, F.s.; Dehghani, H. A high-sensitive electrochemical DNA biosensor based on a novel ZnAl/layered double hydroxide modified cobalt ferrite-graphene oxide nanocomposite electrophoretically deposited onto FTO substrate for electroanalytical studies of etoposide. Talanta 2020, 208, 120444. [Google Scholar] [CrossRef] [PubMed]
- Bozal-Palabiyik, B.; Dogan-Topal, B.; Uslu, B.; Can, A.; Ozkan, S.A. Sensitive voltammetric assay of etoposide using modified glassy carbon electrode with a dispersion of multi-walled carbon nanotube. J. Solid State Electrochem. 2013, 17, 2815–2822. [Google Scholar] [CrossRef]
- Radi, A.-E.; Abd-Elghany, N.; Wahdan, T. Electrochemical Study of the Antineoplastic Agent Etoposide at Carbon Paste Electrode and Its Determination in Spiked Human Serum by Differential Pulse Voltammetry. Chem. Pharm. Bull. 2007, 55, 1379–1382. [Google Scholar] [CrossRef] [PubMed]
- Radi, A.-E.; Nassef, H.M.; Eissa, A. Voltammetric and ultraviolet–visible spectroscopic studies on the interaction of etoposide with deoxyribonucleic acid. Electrochim. Acta 2013, 113, 164–169. [Google Scholar] [CrossRef]
- Atay, B.; Önal, G.; Levent, A. Electrochemical investigations and determination of antineoplastic agent etoposide at single-use pencil graphite electrode: An eco-friendly and cost effective voltammetric method. Monatshefte Chem.-Chem. Mon. 2023, 154, 765–773. [Google Scholar] [CrossRef]
- Miya, T.; Goya, T.; Yanagida, O.; Nogami, H.; Koshiishi, Y.; Sasaki, Y. The influence of relative body weight on toxicity of combination chemotherapy with cisplatin and etoposide. Cancer Chemother. Pharmacol. 1998, 42, 386–390. [Google Scholar] [CrossRef] [PubMed]





| Electrodes | Linear Range (μM) | LOD (nM) | Sensitivity (μM μA−1) | Methods | References |
|---|---|---|---|---|---|
| CEZLNCs/CPE | 0.04–120 | 2.7 | 0.2933 | DPV | [37] |
| CQDs/GCE | 0.06–100 | 17 | 0.4376 | DPV | [38] |
| Au/Pd@rGO@p(L-Cys)/PGE | 0.01–40.0 | 0.718 | 1.1319 | DPV | [19] |
| GO/CoFe2O4/LDH/FTO | 0.2–10 | 1 | 63.408 | DPV | [39] |
| MWCNT/GCE | 0.02–2 | 5.4 | AdSDPV | [40] | |
| Carbon Paste (CPE) | 0.25–25 | 100 | 0.29436 | DPV | [41] |
| dsDNA/SPCE | 0.034–0.68 | 5 | DPV | [42] | |
| GNR/GCE | 0.4–150 | 100 | 0.1598 | CV | [16] |
| PG | 0.705–6.34 | 156 | 0.6621 | SWV | [43] |
| NPG/GCE | 0.1–150 | 20 | 0.4636 | DPV | This work |
| Samples | Spiked Etoposide (μM) | Detected by NPG/GCE (μM) | Recovery Rate (%) | Deviation Rate (%) | Detected by HPLC (μM) |
|---|---|---|---|---|---|
| Fetal Bovine Serum | 5 | 4.80 ± 0.38 | 96.00 | 7.91 | ND |
| 10 | 9.77 ± 0.41 | 97.70 | 4.20 | ND | |
| 20 | 19.36 ± 0.76 | 96.80 | 3.92 | 18.75 ± 1.12 | |
| Human Urine | 5 | 4.23 ± 0.26 | 84.60 | 6.15 | ND |
| 20 | 20.25 ± 0.77 | 101.25 | 3.80 | 25.36 ± 8.62 | |
| 100 | 103.88 ± 4.87 | 103.88 | 4.69 | 87.17 ± 1.03 | |
| Fermentation Broth | 10 | 10.50 ± 0.73 | 105.00 | 6.90 | |
| 50 | 45.66 ± 0.64 | 91.32 | 1.40 | ||
| 150 | 161.89 ± 1.58 | 107.93 | 0.98 |
Disclaimer/Publisher’s Note: The statements, opinions and data contained in all publications are solely those of the individual author(s) and contributor(s) and not of MDPI and/or the editor(s). MDPI and/or the editor(s) disclaim responsibility for any injury to people or property resulting from any ideas, methods, instructions or products referred to in the content. |
© 2024 by the authors. Licensee MDPI, Basel, Switzerland. This article is an open access article distributed under the terms and conditions of the Creative Commons Attribution (CC BY) license (https://creativecommons.org/licenses/by/4.0/).
Share and Cite
Yu, H.; Hu, M.; Wang, X.; Wang, X.; Xun, L.; Liu, H. Rapid Detection of the Anti-Tumor Drug Etoposide in Biological Samples by Using a Nanoporous-Gold-Based Electrochemical Sensor. Molecules 2024, 29, 1060. https://doi.org/10.3390/molecules29051060
Yu H, Hu M, Wang X, Wang X, Xun L, Liu H. Rapid Detection of the Anti-Tumor Drug Etoposide in Biological Samples by Using a Nanoporous-Gold-Based Electrochemical Sensor. Molecules. 2024; 29(5):1060. https://doi.org/10.3390/molecules29051060
Chicago/Turabian StyleYu, Huiyuan, Mengjie Hu, Xiaolei Wang, Xia Wang, Luying Xun, and Honglei Liu. 2024. "Rapid Detection of the Anti-Tumor Drug Etoposide in Biological Samples by Using a Nanoporous-Gold-Based Electrochemical Sensor" Molecules 29, no. 5: 1060. https://doi.org/10.3390/molecules29051060
APA StyleYu, H., Hu, M., Wang, X., Wang, X., Xun, L., & Liu, H. (2024). Rapid Detection of the Anti-Tumor Drug Etoposide in Biological Samples by Using a Nanoporous-Gold-Based Electrochemical Sensor. Molecules, 29(5), 1060. https://doi.org/10.3390/molecules29051060

