A Review on the Use of Deep Eutectic Solvents in Protection Reactions
Abstract
1. Introduction
2. Green Solvents in Green Chemistry
2.1. Protection Reactions Using Deep Eutectic Solvents
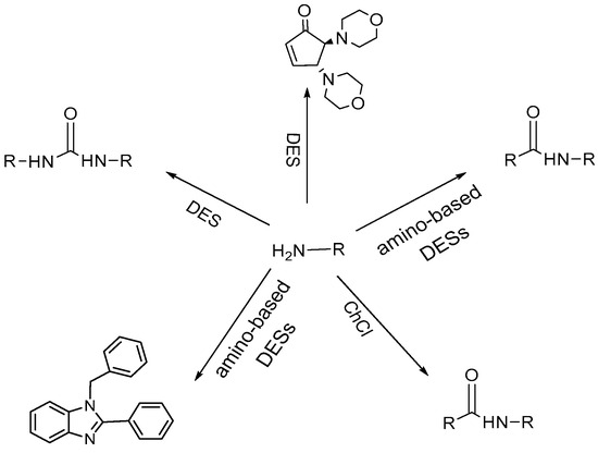
2.1.1. Amine Protection Using Deep Eutectic Solvents
2.1.2. Derivatization of Alcohol Using DESs
2.1.3. Synthesis of Acetals Using DESs
3. Conclusions
Author Contributions
Funding
Conflicts of Interest
References
- Isidro-Llobet, A.; Alvarez, M.; Albericio, F. Amino acid-protecting groups. Chem. Rev. 2009, 109, 2455–2504. [Google Scholar] [CrossRef] [PubMed]
- Wuts, P.G.; Greene, T.W. Greene’s Protective Groups in Organic Synthesis, 4th ed.; John Wiley & Sons: Hoboken, NJ, USA, 2006; pp. 1–4. [Google Scholar]
- Hoffmann, R.W. Protecting-group-free synthesis. Synthesis 2006, 21, 3531–3541. [Google Scholar] [CrossRef]
- Clark, J.H.; Tavener, S.J. Alternative solvents: Shades of green. Org. Process. Res. Dev. 2007, 11, 149–155. [Google Scholar] [CrossRef]
- Samper, J.A.; Schockling, A.; Islar, M. Climate politics in green deals: Exposing the political frontiers of the European Green Deal. Politics Gov. 2021, 9, 8–16. [Google Scholar] [CrossRef]
- Pleissner, D.; Kümmerer, K. Green Chemistry and Its Contribution to Industrial Biotechnology. Adv. Biochem. Eng. Biotechnol. 2020, 173, 281–298. [Google Scholar] [CrossRef] [PubMed]
- Anastas, P.T.; Warner, J.C. Green Chemistry Theory and Practice; Oxford University Press: Oxford, UK, 1999; p. 160. [Google Scholar]
- Winterton, N. The green solvent: A critical perspective. Clean Technol. Environ. Policy 2021, 23, 2499–2522. [Google Scholar] [CrossRef] [PubMed]
- Halios, C.H.; Landeg-Cox, C.; Lowther, S.D.; Middleton, A.; Marczylo, T.; Dimitroulopoulou, S. Chemicals in European residences–Part I: A review of emissions, concentrations and health effects of volatile organic compounds (VOCs). Sci. Total Environ. 2022, 839, 156201. [Google Scholar] [CrossRef] [PubMed]
- Nejrotti, S.; Antenucci, A.; Pontremoli, C.; Gontrani, L.; Barbero, N.; Carbone, M.; Bonomo, M. Critical Assessment of the Sustainability of Deep Eutectic Solvents: A Case Study on Six Choline Chloride-Based Mixtures. ACS Omega 2022, 7, 47449–47461. [Google Scholar] [CrossRef]
- El Achkar, T.; Greige-Gerges, H.; Fourmentin, S. Basics and properties of deep eutectic solvents: A review. Environ. Chem. Lett. 2021, 19, 3397–3408. [Google Scholar] [CrossRef]
- Zhang, Q.; De Oliveira, V.K.; Royer, S.; Jérôme, F. Deep eutectic solvents: Syntheses, properties and applications. Chem. Soc. Rev. 2012, 41, 7108–7146. [Google Scholar] [CrossRef]
- Bonacci, S.; Di Gioia, M.L.; Costanzo, P.; Maiuolo, L.; Tallarico, S.; Nardi, M. Natural Deep Eutectic Solvent as Extraction Media for the Main Phenolic Compounds from Olive Oil Processing Wastes. Antioxidants 2020, 9, 513. [Google Scholar] [CrossRef]
- García, G.; Aparicio, S.; Ullah, R.; Atilhan, M. Deep Eutectic Solvents: Physicochemical Properties and Gas Separation Applications. Energy Fuels 2015, 29, 2616–2644. [Google Scholar] [CrossRef]
- Coscarella, M.; Nardi, M.; Alipieva, K.; Bonacci, S.; Popova, M.; Procopio, A.; Scarpelli, R.; Simeonov, S. Alternative Assisted Extraction Methods of Phenolic Compounds Using NaDESs. Antioxidants 2024, 13, 62. [Google Scholar] [CrossRef]
- Omprakash Rathi, J.; Subray Shankarling, G. Recent advances in the protection of amine functionality: A review. Chem. Select 2020, 5, 6861–6893. [Google Scholar] [CrossRef]
- Young, I.S.; Baran, P.S. Protecting-group-free synthesis as an opportunity for invention. Nat. Chem. 2009, 1, 193–205. [Google Scholar] [CrossRef] [PubMed]
- Nardi, M.; Herrera Cano, N.; Costanzo, P.; Oliverio, M.; Sindona, G.; Procopio, A. Aqueous MW eco-friendly protocol for amino group protection. RSC Adv. 2015, 5, 18751–18760. [Google Scholar] [CrossRef]
- Nardi, M.; Costanzo, P.; De Nino, A.; Di Gioia, M.L.; Olivito, F.; Sindona, G.; Procopio, A. Water excellent solvent for the synthesis of bifunctionalized cyclopentenones from furfural. Green Chem. 2017, 19, 5403–5411. [Google Scholar] [CrossRef]
- Estevão, M.S.; Afonso, C.A.M. Synthesis of trans-4,5-diaminocyclopent-2-enones from furfural catalyzed by Er(III) immobilized on silica. Tetrahedron Lett. 2017, 58, 302–304. [Google Scholar] [CrossRef]
- Bonacci, S.; Nardi, M.; Costanzo, P.; De Nino, A.; Di Gioia, M.L.; Oliverio, M.; Procopio, A. Montmorillonite K10-Catalyzed Solvent-Free Conversion of Furfural into Cyclopentenones. Catalysts 2019, 9, 301. [Google Scholar] [CrossRef]
- Gomes, R.F.A.; Coelho, J.A.S.; Afonso, C.A.M. Direct Conversion of Activated 5-Hydroxymethylfurfural into δ-Lactone-Fused Cyclopentenones. ChemSusChem 2019, 12, 420–425. [Google Scholar] [CrossRef]
- Di Gioia, M.L.; Nardi, M.; Costanzo, P.; De Nino, A.; Maiuolo, L.; Oliverio, M.; Procopio, A. Biorenewable Deep Eutectic Solvent for Selective and Scalable Conversion of Furfural into Cyclopentenone Derivatives. Molecules 2018, 23, 1891. [Google Scholar] [CrossRef]
- Karimi, F.; Shariatipour, M.; Heydari, A. Deep Eutectic Solvent Mediated Carbonylation of Amines and Alcohols by Using Dimethyl Carbonate: Selective Symmetrical Urea and Organic Carbonate Synthesis. Chem. Select 2021, 6, 11453–11459. [Google Scholar] [CrossRef]
- Di Gioia, M.L.; Cassano, R.; Costanzo, P.; Herrera Cano, N.; Maiuolo, L.; Nardi, M.; Nicoletta, F.P.; Oliverio, M.; Procopio, A. Green Synthesis of Privileged Benzimidazole Scaffolds Using Active Deep Eutectic Solvent. Molecules 2019, 24, 2885. [Google Scholar] [CrossRef]
- Romano, S.; Rescifina, A.; De Luca, G.; Nardi, M.; Oliverio, M.; Procopio, A. New Insights on Choline Chloride Role in Synthesis: The Case of Direct Amidation. ACS Sustain. Chem. Eng. 2023, 11, 11668–11680. [Google Scholar] [CrossRef]
- Nardi, M.; De Luca, G.; Novelli, P.; Oliverio, M.; Romano, S.; Procopio, A. Amine protection by in situ formation of choline chloride-based deep eutectic solvents. Green Chem. 2023, 25, 3208–3213. [Google Scholar] [CrossRef]
- Sunitha, S.; Kanjilal, S.; Reddy, P.S.; Prasad, R.B.N. Liquid–liquid biphasic synthesis of long chain wax esters using the Lewis acidic ionic liquid choline chloride·2ZnCl2. Tetrahedron Lett. 2007, 48, 6962–6965. [Google Scholar] [CrossRef]
- Sharma, A.; Ramos-Tomillero, I.; El-Faham, A.; Nicolas, E.; Rodriguez, H.; De la Torre, B.G.; Albericio, F. Understanding Tetrahydropyranyl as a Protecting Group in Peptide Chemistry. ChemistryOpen 2017, 6, 168–177. [Google Scholar] [CrossRef] [PubMed]
- Litjens, R.E.; Bos, L.J.v.D.; Codée, J.D.; Overkleeft, H.S.; van der Marel, G.A. The use of cyclic bifunctional protecting groups in oligosaccharide synthesis—An overview. Carbohydr. Res. 2007, 342, 419–429. [Google Scholar] [CrossRef] [PubMed]
- Govindarajan, M. Protecting group migrations in carbohydrate chemistry. Carbohydr. Res. 2020, 497, 108151. [Google Scholar] [CrossRef]
- Li, W.; Yu, B. Advances in Carbohydrate Chemistry and Biochemistry, 77; Baker, D.C., Ed.; Academic Press: Cambridge, MA, USA, 2020; pp. 1–69. [Google Scholar]
- Dimakos, V.; Taylor, M.S. Site-Selective Functionalization of Hydroxyl Groups in Carbohydrate Derivatives. Chem. Rev. 2018, 118, 11457–11517. [Google Scholar] [CrossRef] [PubMed]
- Prasad, A.K.; Wengel, J. Enzyme-mediated protecting group chemistry on the hydroxyl groups of nucleosides. Nucleosides Nucleotides Nucleic Acids 1996, 15, 1347–1359. [Google Scholar] [CrossRef]
- Somoza, Á. Protecting groups for RNA synthesis: An increasing need for selective preparative methods. Chem. Soc. Rev. 2008, 37, 2668–2675. [Google Scholar] [CrossRef] [PubMed]
- Cramer, J.; Sager, C.P.; Ernst, B. Hydroxyl groups in synthetic and natural-product-derived therapeutics: A perspective on a common functional group. J. Med. Chem. 2019, 62, 8915–8930. [Google Scholar] [CrossRef] [PubMed]
- Abbott, A.P.; Harris, R.C.; Ryder, K.S.; D’Agostino, C.; Gladden, L.F.; Mantle, M.D. Glycerol eutectics as sustainable solvent systems. Green Chem. 2011, 13, 82–90. [Google Scholar] [CrossRef]
- Abbott, A.P.; Bell, T.J.; Handa, S.; Stoddart, B. O-Acetylation of cellulose and monosaccharides using a zinc based ionic liquid. Green Chem. 2005, 7, 705–707. [Google Scholar] [CrossRef]
- Rokade, S.M.; Bhate, P.M. One-pot synthesis of per-O-acetylated hemiacetals from free sugars in a deep eutectic solvent. Carbohydr. Res. 2015, 416, 21–23. [Google Scholar] [CrossRef] [PubMed]
- De Santi, V.; Cardellini, F.; Brinchi, L.; Germani, R. Novel Brønsted acidic deep eutectic solvent as reaction media for esterification of carboxylic acid with alcohols. Tetrahedron Lett. 2012, 53, 5151–5155. [Google Scholar] [CrossRef]
- Singh, A.S.; Shendage, S.S.; Nagarkar, J.M. Choline chloride based deep eutectic solvent as an efficient solvent for the benzylation of phenols. Tetrahedron Lett. 2014, 55, 7243–7246. [Google Scholar] [CrossRef]
- Fink, J.K. Chemicals and Methods for Conservation and Restoration: Paintings, Textiles, Fossils, Wood, Stones, Metals and Glas; John Wiley & Sons: Hoboken, NJ, USA, 2017; pp. 113–147. [Google Scholar]
- He, H.; Tao, Q.; Zhu, J.; Yuan, P.; Shen, W.; Yang, S. Silylation of clay mineral surfaces. Appl. Clay Sci. 2013, 71, 15–20. [Google Scholar] [CrossRef]
- Mohammed-Ziegler, I.; Marosi, G.; Matko, S.; Zoltan, H.; Toth, A. Silylation of wood for potential protection against Biodegradation. An ATR-FTIR, ESCA and contactangle study. Polym. Adv. Technol. 2003, 14, 790–795. [Google Scholar] [CrossRef]
- Mahkam, M.; Assadi, M.; Golipour, N. PH-sensitive hydrogel containing acetaminophen silyl ethers for colon-specific drug delivery. J. Des. Monomers Polym. 2006, 6, 607–615. [Google Scholar] [CrossRef]
- Galehassadi, M.; Pourreza, S. Base and Catalyst-Free Preparation of Silyl Ethers in the Choline Chloride/Urea Deep Eutectic Solvent (DES). J. Inorg. Organomet. Polym. Mater. 2019, 29, 541–549. [Google Scholar] [CrossRef]
- Taysun, M.B.; Sert, E.; Atalay, F.S. Effect of hydrogen bond donor on the physical properties of benzyltriethylammonium chloride based deep eutectic solvents and their usage in 2-ethyl-hexyl acetate synthesis as a catalyst. J. Chem. Eng. Data 2017, 62, 1173–1181. [Google Scholar] [CrossRef]
- Thompson, M.; Peñafiel, I.; Cosgrove, S.C.; Turner, N.J. Biocatalysis using immobilized enzymes in continuous flow for the synthesis of fine chemicals. Org. Process Res. Dev. 2019, 23, 9–18. [Google Scholar] [CrossRef]
- Zhao, H. What do we learn from enzyme behaviors in organic solvents?–Structural functionalization of ionic liquids for enzyme activation and stabilization. Biotechnol. Adv. 2020, 45, 107638. [Google Scholar] [CrossRef] [PubMed]
- Gorke, J.T.; Srienc, F.; Kazlauskas, R.J. Hydrolase-catalyzed biotransformations in deep eutectic solvents. Chem. Commun. 2008, 10, 1235–1237. [Google Scholar] [CrossRef]
- Cao, S.L.; Deng, X.; Xu, P.; Huang, Z.X.; Zhou, J.; Li, X.H.; Lou, W.Y. Highly efficient enzymatic acylation of dihydromyricetin by the imobilized lipase with deep eutectic solvents as cosolvent. J. Agric. Food Chem. 2017, 65, 2084–2088. [Google Scholar] [CrossRef]
- Arnodo, D.; De Nardo, E.; Ghinato, S.; Baldino, S.; Blangetti, M.; Prandi, C. A Mild, Efficient and Sustainable Tetrahydropyranylation of Alcohols Promoted by Acidic Natural Deep Eutectic Solvents. ChemSusChem 2023, 16, e202202066. [Google Scholar] [CrossRef]
- Tamaddon, F.; Rashidi, H. ZnCl2:2HOAc: A deep eutectic solvent for the Friedel–Crafts acetylation of poly-phenols and chemo-selective protection of alcohols. Res. Chem. Intermed. 2023, 49, 3589–3603. [Google Scholar] [CrossRef]
- Mills, J.A. The stereochemistry of cyclic derivatives of carbohydrates. Adv. Carbohydr. Chem. 1955, 10, 1–53. [Google Scholar] [CrossRef]
- De Belder, A.N. Cyclic acetals of the aldoses and aldosides. Adv. Carbohydr. Chem. 1965, 20, 219–302. [Google Scholar] [CrossRef]
- Rokade, S.M.; Bhate, P.M. Ferrier reaction in a deep eutectic solvent. Carbohydr. Res. 2015, 415, 28–30. [Google Scholar] [CrossRef]
- Rokade, S.M.; Bhate, P.M. Practical preparation of mono- and di-O-isopropylidene derivatives of monosaccharides and methyl 4,6-O-benzylidene glycosides from free sugars in a deep eutectic solvent. J. Carbohydr. Chem. 2017, 36, 20–30. [Google Scholar] [CrossRef]
- Arnodo, D.; Meazzo, C.; Baldino, S.; Blangetti, M.; Prandi, C. Efficient and Low-Impact Acetalization Reactions in Deep Eutectic Solvents. Chem. Eur. J. 2023, 29, e202300820. [Google Scholar] [CrossRef] [PubMed]
















Disclaimer/Publisher’s Note: The statements, opinions and data contained in all publications are solely those of the individual author(s) and contributor(s) and not of MDPI and/or the editor(s). MDPI and/or the editor(s) disclaim responsibility for any injury to people or property resulting from any ideas, methods, instructions or products referred to in the content. |
© 2024 by the authors. Licensee MDPI, Basel, Switzerland. This article is an open access article distributed under the terms and conditions of the Creative Commons Attribution (CC BY) license (https://creativecommons.org/licenses/by/4.0/).
Share and Cite
Scarpelli, R.; Bence, R.; Cano, N.C.H.; Procopio, A.; Wunderlin, D.; Nardi, M. A Review on the Use of Deep Eutectic Solvents in Protection Reactions. Molecules 2024, 29, 818. https://doi.org/10.3390/molecules29040818
Scarpelli R, Bence R, Cano NCH, Procopio A, Wunderlin D, Nardi M. A Review on the Use of Deep Eutectic Solvents in Protection Reactions. Molecules. 2024; 29(4):818. https://doi.org/10.3390/molecules29040818
Chicago/Turabian StyleScarpelli, Rosa, Renata Bence, Natividad Carolina Herrera Cano, Antonio Procopio, Daniel Wunderlin, and Monica Nardi. 2024. "A Review on the Use of Deep Eutectic Solvents in Protection Reactions" Molecules 29, no. 4: 818. https://doi.org/10.3390/molecules29040818
APA StyleScarpelli, R., Bence, R., Cano, N. C. H., Procopio, A., Wunderlin, D., & Nardi, M. (2024). A Review on the Use of Deep Eutectic Solvents in Protection Reactions. Molecules, 29(4), 818. https://doi.org/10.3390/molecules29040818

