Free Fatty Acid Determination in Broccoli Tissues Using Liquid Chromatography–High-Resolution Mass Spectrometry
Abstract
1. Introduction
2. Results and Discussion
2.1. Plant Material
2.2. LC-ESI-HRMS Data
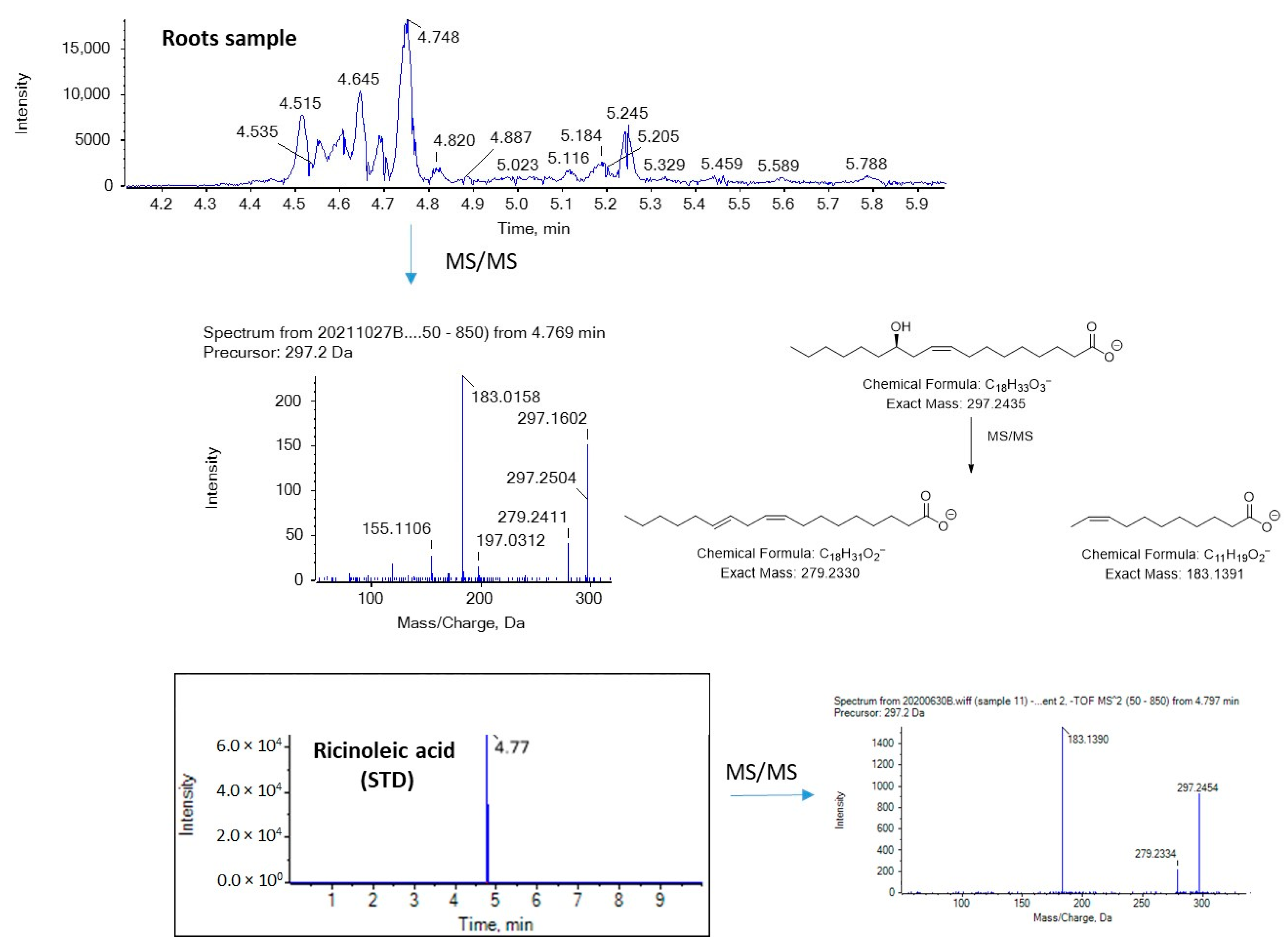
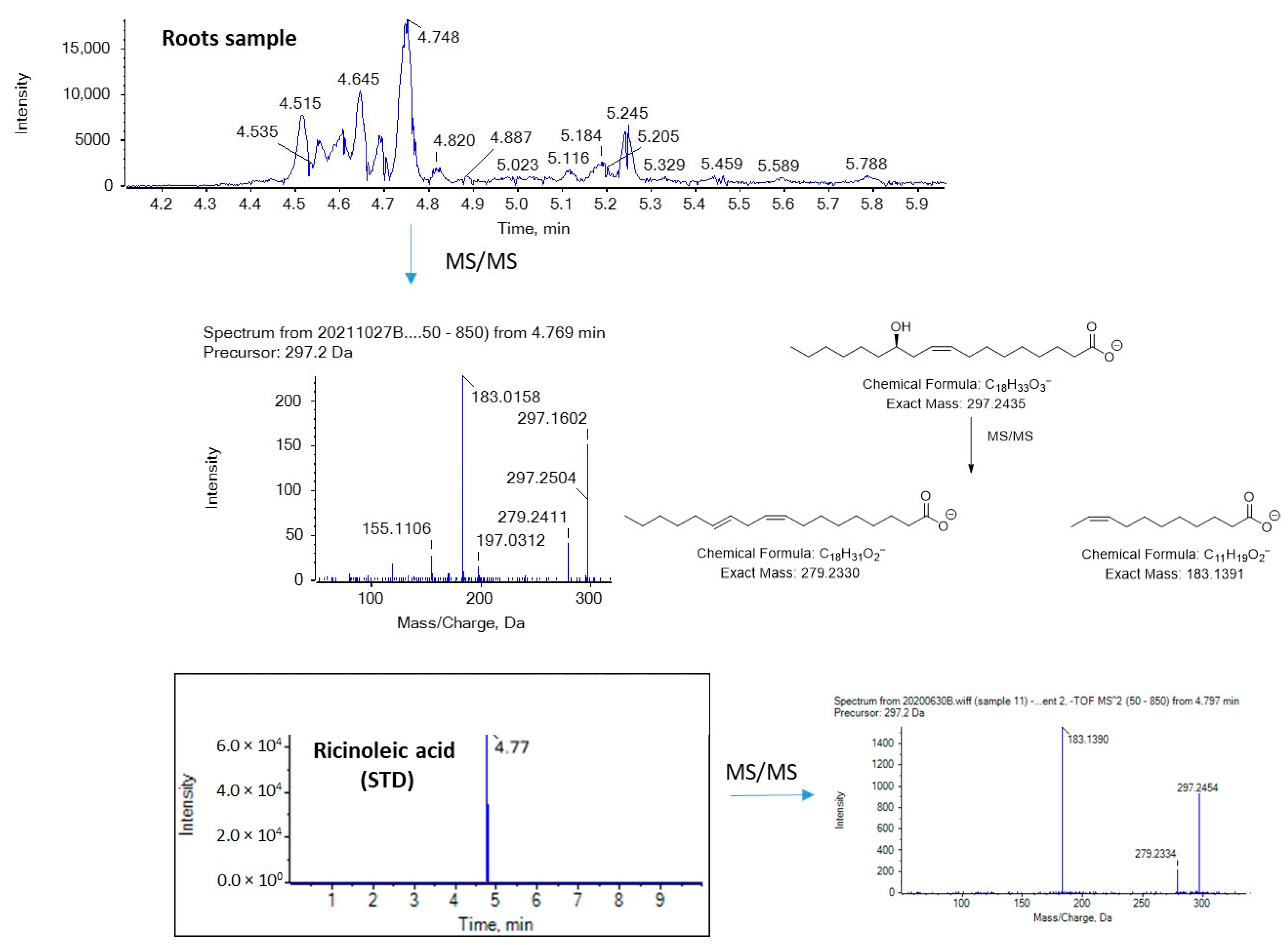
2.3. Analysis of Samples
3. Materials and Methods
3.1. Chemicals and Reagents
3.2. Stock and Working Solutions
3.3. Instrumentation
3.4. Sample Preparation
3.5. Sampling
3.6. Data Processing and Quantification
3.7. Method Validation
4. Conclusions
Supplementary Materials
Author Contributions
Funding
Institutional Review Board Statement
Informed Consent Statement
Data Availability Statement
Acknowledgments
Conflicts of Interest
References
- Owis, A.I. Broccoli; the green beauty: A review. J. Pharm. Sci. Res. 2015, 7, 696–703. [Google Scholar]
- Le, T.N.; Chiu, C.-H.; Hsieh, P.-C. Bioactive compounds and bioactivities of Brassica Oleracea, L. var. Italica sprouts and microgreens: An updated overview from a nutraceutical perspective. Plants 2020, 9, 946. [Google Scholar] [CrossRef] [PubMed]
- Li, H.; Xia, Y.; Liu, H.-Y.; Guo, H.; He, X.-Q.; Liu, Y.; Wu, D.-T.; Mai, Y.-H.; Li, H.-B.; Zou, L.; et al. Nutritional values, beneficial effects, and food applications of broccoli (Brassica Oleracea Var. italica Plenck). Trends Food Sci. Technol. 2022, 119, 288–308. [Google Scholar] [CrossRef]
- Syed, R.U.; Moni, S.S.; Break, M.K.B.; Khojali, W.M.A.; Jafar, M.; Alshammari, M.D.; Abdelsalam, K.; Taymour, S.; Alreshidi, K.S.M.; Elhassan Taha, M.M.; et al. Broccoli: A multi-faceted vegetable for health: An in-depth review of its nutritional attributes, antimicrobial abilities, and anti-inflammatory properties. Antibiotics 2023, 12, 1157. [Google Scholar] [CrossRef]
- Mahn, A.; Reyes, A. An overview of health-promoting compounds of broccoli (Brassica Oleracea var. Italica) and the effect of processing. Food Sci. Technol. Int. 2012, 18, 503–514. [Google Scholar] [CrossRef] [PubMed]
- Ares, A.M.; Nozal, M.J.; Bernal, J. Extraction, chemical characterization and biological activity determination of broccoli health promoting compounds. J. Chromatogr. A 2013, 1313, 78–95. [Google Scholar] [CrossRef]
- Kaiser, A.E.; Baniasadi, M.; Giansiracusa, D.; Giansiracusa, M.; Garcia, M.; Fryda, Z.; Wong, T.L.; Bishayee, A. Sulforaphane: A broccoli bioactive phytocompound with cancer preventive potential. Cancers 2021, 13, 4796. [Google Scholar] [CrossRef]
- Mahn, A.; Castillo, A. Potential of Sulforaphane as a natural immune system enhancer: A review. Molecules 2021, 26, 752. [Google Scholar] [CrossRef] [PubMed]
- Mangla, B.; Javed, S.; Sultan, M.H.; Kumar, P.; Kohli, K.; Najmi, A.; Alhazmi, H.A.; Al Bratty, M.; Ahsan, W. Sulforaphane: A review of its therapeutic potentials, advances in its nanodelivery, recent patents, and clinical trials. Phytother. Res. 2021, 35, 5440–5458. [Google Scholar] [CrossRef]
- Cambiaggi, L.; Chakravarty, A.; Noureddine, N.; Hersberger, M. The role of α-linolenic acid and its oxylipins in human cardiovascular diseases. Int. J. Mol. Sci. 2023, 24, 6110. [Google Scholar] [CrossRef]
- Sala-Vila, A.; Fleming, J.; Kris-Etherton, P.; Ros, E. Impact of α-linolenic acid, the vegetable ω-3 fatty acid, on cardiovascular disease and cognition. Adv. Nutr. 2022, 13, 1584–1602. [Google Scholar] [CrossRef] [PubMed]
- Naghshi, S.; Aune, D.; Beyene, J.; Mobarak, S.; Asadi, M.; Sadeghi, O. Dietary intake and biomarkers of alpha linolenic acid and risk of all cause, cardiovascular, and cancer mortality: Systematic review and dose-response meta-analysis of cohort studies. BMJ 2021, 375, n2213. [Google Scholar] [CrossRef]
- López-Pérez, L.; Martínez-Ballesta, M.D.C.; Maurel, C.; Carvajal, M. Changes in plasma membrane lipids, aquaporins and proton pump of broccoli roots, as an adaptation mechanism to salinity. Phytochemistry 2009, 70, 492–500. [Google Scholar] [CrossRef]
- Park, M.-Y.; Chae, W.B.; Kim, D.-Y.; Kwak, J.H. Seasonal variation in fatty acid composition in various parts of broccoli cultivars. Korean J. Agric. Sci. 2013, 40, 289–296. [Google Scholar] [CrossRef]
- West, L.; Tsui, I.; Balch, B.; Meyer, K.; Huth, P.J. Determination and health implication of the erucic acid content of broccoli florets, sprouts, and seeds. J. Food Sci. 2002, 67, 2641–2643. [Google Scholar] [CrossRef]
- Jahan, I.A.; Mostafa, M.; Nimmi, I.; Hossain, M.H.; Ahsan, M.; Chowdhury, J.U. Chemical and antioxidant properties of broccoli growing in Bangladesh. Dhaka Univ. J. Pharm. Sci 1970, 9, 31–37. [Google Scholar] [CrossRef]
- Arnáiz, E.; Bernal, J.; Martín, M.T.; García-Viguera, C.; Bernal, J.L.; Toribio, L. Supercritical fluid extraction of lipids from broccoli leaves. Eur. J. Lipid Sci. Technol. 2011, 113, 479–486. [Google Scholar] [CrossRef]
- Murcia, M.A.; López-Ayerra, B.; García-Carmona, F. Effect of processing methods and different blanching times on broccoli: Proximate composition and fatty acids. LWT Food Sci. Technol. 1999, 32, 238–243. [Google Scholar] [CrossRef]
- Li, M.-Y.; Liu, Y.; Kong, K.W.; Geng, F.; Liu, H.-Y.; Gan, R.-Y. Widely targeted metabolomic analysis and antioxidant properties of seeds and sprouts from different broccoli cultivars. LWT 2023, 182, 114859. [Google Scholar] [CrossRef]
- Manzano, P.; Arnáiz, E.; Diego, J.C.; Toribio, L.; García-Viguera, C.; Bernal, J.L.; Bernal, J. Comprehensive two-dimensional gas chromatography with capillary flow modulation to separate FAME isomers. J. Chromatogr. A 2011, 1218, 4952–4959. [Google Scholar] [CrossRef]
- Kimura, I.; Ichimura, A.; Ohue-Kitano, R.; Igarashi, M. Free fatty acid receptors in health and disease. Physiol. Rev. 2020, 100, 171–210. [Google Scholar] [CrossRef]
- Li, Z.; Xu, X.; Huang, W.; Qian, H. Free fatty acid receptor 1 (FFAR1) as an emerging therapeutic target for type 2 diabetes mellitus: Recent progress and prevailing challenges. Med. Res. Rev. 2018, 38, 381–425. [Google Scholar] [CrossRef] [PubMed]
- Ulven, T.; Christiansen, E. Dietary fatty acids and their potential for controlling metabolic diseases through activation of FFA4/GPR120. Annu. Rev. Nutr. 2015, 35, 239–263. [Google Scholar] [CrossRef] [PubMed]
- Moniri, N.H. Free-fatty acid receptor-4 (GPR120): Cellular and molecular function and its role in metabolic disorders. Biochem. Pharmacol. 2016, 110–111, 1–15. [Google Scholar] [CrossRef]
- Kokotou, M.G.; Mantzourani, C.; Kokotos, G. Development of a liquid chromatography—High resolution mass spectrometry method for the determination of free fatty acids in milk. Molecules 2020, 25, 1548. [Google Scholar] [CrossRef]
- Kokotou, M.G.; Mantzourani, C.; Batsika, C.S.; Mountanea, O.G.; Eleftheriadou, I.; Kosta, O.; Tentolouris, N.; Kokotos, G. Lipidomics analysis of free fatty acids in human plasma of healthy and diabetic subjects by liquid chromatography-high resolution mass spectrometry (LC-HRMS). Biomedicines 2022, 10, 1189. [Google Scholar] [CrossRef]
- Mantzourani, C.; Batsika, C.S.; Kokotou, M.G.; Kokotos, G. Free fatty acid profiling of Greek yogurt by liquid chromatography-high resolution mass spectrometry (LC-HRMS) analysis. Food Res. Int. 2022, 160, 111751. [Google Scholar] [CrossRef] [PubMed]
- Siroma, T.K.; Machate, D.J.; Zorgetto-Pinheiro, V.A.; Figueiredo, P.S.; Marcelino, G.; Hiane, P.A.; Bogo, D.; Pott, A.; Cury, E.R.J.; Guimarães, R.C.A.; et al. Polyphenols and ω-3 PUFAs: Beneficial outcomes to obesity and its related metabolic diseases. Front. Nutr. 2022, 8, 781622. [Google Scholar] [CrossRef]
- Blondeau, N.; Lipsky, R.H.; Bourourou, M.; Duncan, M.W.; Gorelick, P.B.; Marini, A.M. Alpha-linolenic acid: An omega-3 fatty acid with neuroprotective properties-ready for use in the stroke clinic? BioMed Res. Int. 2015, 2015, 519830. [Google Scholar] [CrossRef]
- Gudiño, I.; Martín, A.; Casquete, R.; Prieto, M.H.; Ayuso, M.C.; Córdoba, M.G. Evaluation of broccoli (Brassica Oleracea Var. italica) crop by-products as sources of bioactive compounds. Sci. Hortic. 2022, 304, 111284. [Google Scholar] [CrossRef]
- Liu, M.; Zhang, L.; Ser, S.; Cumming, J.; Ku, K.-M. Comparative phytonutrient analysis of broccoli by-products: The potentials for broccoli by-product utilization. Molecules 2018, 23, 900. [Google Scholar] [CrossRef]
- Campas-Baypoli, O.N.; Sánchez-Machado, D.I.; Bueno-Solano, C.; Núñez-Gastélum, J.A.; Reyes-Moreno, C.; López-Cervantes, J. Biochemical composition and physicochemical properties of broccoli flours. Int. J. Food Sci. Nutr. 2009, 60, 163–173. [Google Scholar] [CrossRef] [PubMed]
- Yan, L.; Zhou, G.; Shahzad, K.; Zhang, H.; Yu, X.; Wang, Y.; Yang, N.; Wang, M.; Zhang, X. Research progress on the utilization technology of broccoli stalk, leaf resources, and the mechanism of action of its bioactive substances. Front. Plant Sci. 2023, 14, 1138700. [Google Scholar] [CrossRef] [PubMed]
- Devi, M.; Soekopitojo, S.; Putri, A.; Pratikto, H.; Wibawa, A.P.; Hamid, M.A. The addition of dried broccoli (Brassica Oleacea, L.) leaves can improve the nutrition of noodles. IOP Conf. Ser. Earth Environ. Sci. 2022, 1116, 012024. [Google Scholar] [CrossRef]
- Drabińska, N.; Ciska, E.; Szmatowicz, B.; Krupa-Kozak, U. Broccoli by-products improve the nutraceutical potential of gluten-free mini sponge cakes. Food Chem. 2018, 267, 170–177. [Google Scholar] [CrossRef]
- Dominguez-Perles, R.; Moreno, D.A.; Carvajal, M.; Garcia-Viguera, C. Composition and antioxidant capacity of a novel beverage produced with green tea and minimally-processed byproducts of broccoli. Innov. Food Sci. Emerg. Technol. 2011, 12, 361–368. [Google Scholar] [CrossRef]
- Kokotou, M.G.; Mantzourani, C.; Bourboula, A.; Mountanea, O.G.; Kokotos, G. A liquid chromatography-high resolution mass spectrometry (LC-HRMS) method for the determination of free hydroxy fatty acids in cow and goat milk. Molecules 2020, 25, 3947. [Google Scholar] [CrossRef] [PubMed]
- Kokotou, M.G.; Batsika, C.S.; Mantzourani, C.; Kokotos, G. Free saturated oxo fatty acids (SOFAs) and ricinoleic acid in milk determined by a liquid chromatography-high-resolution mass spectrometry (LC-HRMS) method. Metabolites 2021, 11, 46. [Google Scholar] [CrossRef] [PubMed]
- Kokotou, M.G.; Kokotos, A.C.; Gkikas, D.; Mountanea, O.G.; Mantzourani, C.; Almutairi, A.; Lei, X.; Ramanadham, S.; Politis, P.K.; Kokotos, G. Saturated hydroxy fatty acids exhibit a cell growth inhibitory activity and suppress the cytokine-induced β-cell apoptosis. J. Med. Chem. 2020, 63, 12666–12681. [Google Scholar] [CrossRef]
- Batsika, C.S.; Mantzourani, C.; Gkikas, D.; Kokotou, M.G.; Mountanea, O.G.; Kokotos, C.G.; Politis, P.K.; Kokotos, G. Saturated oxo fatty acids (SOFAs): A previously unrecognized class of endogenous bioactive lipids exhibiting a cell growth inhibitory activity. J. Med. Chem. 2021, 64, 5654–5666. [Google Scholar] [CrossRef]
- Kokotou, M.G.; Revelou, P.-K.; Pappas, C.; Constantinou-Kokotou, V. High resolution mass spectrometry studies of sulforaphane and indole-3-carbinol in broccoli. Food Chem. 2017, 237, 566–573. [Google Scholar] [CrossRef] [PubMed]








| Root Samples (n = 5), Triplicates | Leaf Samples (n = 2), Triplicates | Floret Samples (n = 3), Triplicates | |||||||||||
|---|---|---|---|---|---|---|---|---|---|---|---|---|---|
| Free Fatty Acid | Minimum Value (mg/g) | Maximum Value (mg/g) | Mean Value ± SD (mg/g) | % | Minimum Value (mg/g) | Maximum Value (mg/g) | Mean Value ± SD (mg/g) | % | Minimum Value (mg/g) | Maximum Value (mg/g) | Mean Value ± SD (mg/g) | % | |
| C6:0 | 0.01 | 0.01 | 0.01 ± 0.001 | 0.8 | 0.01 | 0.02 | 0.01 ± 0.001 | 0.5 | 0.01 | 0.02 | 0.01 ± 0.001 | 1.0 | |
| C8:0 | 0.02 | 0.03 | 0.03 ± 0.001 | 1.9 | 0.03 | 0.03 | 0.03 ± 0.001 | 1.4 | 0.02 | 0.03 | 0.03 ± 0.001 | 1.9 | |
| C9:0 | 0.00 | 0.01 | 0.01 ± 0.000 | 0.5 | 0.01 | 0.01 | 0.01 ± 0.001 | 0.4 | 0.01 | 0.01 | 0.01 ± 0.001 | 0.5 | |
| C10:0 | 0.01 | 0.03 | 0.02 ± 0.001 | 1.5 | 0.02 | 0.02 | 0.02 ± 0.001 | 1.0 | 0.02 | 0.03 | 0.02 ± 0.001 | 1.5 | |
| C12:0 | 0.01 | 0.05 | 0.04 ± 0.002 | 2.4 | 0.01 | 0.01 | 0.01 ± 0.001 | 0.5 | 0.01 | 0.01 | 0.01 ± 0.001 | 0.9 | |
| C14:0 | 0.03 | 0.07 | 0.05 ± 0.003 | 3. 7 | 0.02 | 0.03 | 0.02 ± 0.001 | 1.2 | 0.02 | 0.03 | 0.03 ± 0.001 | 2.0 | |
| C14:1 | - | - | - | - | - | - | - | - | - | - | - | - | |
| C15:0 | 0.01 | 0.02 | 0.01 ± 0.001 | 1.0 | 0.01 | 0.01 | 0.01 ± 0.001 | 0.6 | 0.01 | 0.01 | 0.01 ± 0.001 | 0.8 | |
| C16:0 | 0.19 | 0.27 | 0.22 ± 0.018 | 15.0 | 0.17 | 0.24 | 0.21 ± 0.009 | 10.2 | 0.11 | 0.25 | 0.17 ± 0.011 | 12.1 | |
| C16:1 | 0.01 | 0.02 | 0.01 ± 0.001 | 0.9 | - | - | - | - | - | - | - | - | |
| C17:0 | 0.02 | 0.03 | 0.02 ± 0.001 | 1.5 | 0.02 | 0.02 | 0.02 ± 0.001 | 1.1 | 0.02 | 0.02 | 0.02 ± 0.001 | 1.2 | |
| C17:1 | - | - | - | - | - | - | - | - | - | - | - | - | |
| C18:0 | 0.07 | 0.10 | 0.08 ± 0.003 | 5.4 | 0.06 | 0.06 | 0.06 ± 0.001 | 2.8 | 0.05 | 0.06 | 0.05 ± 0.003 | 3.9 | |
| C18:1 Oleic acid | 0.07 | 0.14 | 0.10 ± 0.006 | 6.7 | 0.02 | 0.03 | 0.02 ± 0.001 | 1.2 | 0.01 | 0.06 | 0.04 ± 0.002 | 2.6 | |
| C18:1 Petroselinic acid | - | - | - | - | - | - | - | - | - | - | - | - | |
| C18:2 | 0.04 | 0.08 | 0.06 ± 0.004 | 4.5 | 0.04 | 0.11 | 0.08 ± 0.001 | 3.8 | 0.02 | 0.10 | 0.07 ± 0.001 | 4.9 | |
| C18:3 | 0.60 | 1.12 | 0.76 ± 0.032 | 52.2 | 1.24 | 1.68 | 1.46 ± 0.052 | 72.4 | 0.34 | 1.33 | 0.92 ± 0.047 | 64.94 | |
| C20:0 | 0.01 | 0.01 | 0.01 ± 0.001 | 0.4 | 0.01 | 0.01 | 0.01 ± 0.001 | 0.3 | - | - | - | - | |
| C20:3 Bishomo-γ-linolenic | 0.01 | 0.02 | 0.02 ± 0.001 | 1.2 | 0.01 | 0.10 | 0.05 ± 0.003 | 2.6 | 0.01 | 0.04 | 0.02 ± 0.001 | 1.8 | |
| C20:4 | - | - | - | - | - | - | - | - | - | - | - | - | |
| C20:5 | - | - | - | - | - | - | - | - | - | - | - | - | |
| C22:0 | 0.01 | 0.01 | 0.01 ± 0.001 | 0.4 | - | - | - | - | - | - | - | - | |
| C22:5 | - | - | - | - | - | - | - | - | - | - | - | - | |
| C22:6 | - | - | - | - | - | - | - | - | - | - | - | - | |
| Disclaimer/Publisher’s Note: The statements, opinions and data contained in all publications are solely those of the individual author(s) and contributor(s) and not of MDPI and/or the editor(s). MDPI and/or the editor(s) disclaim responsibility for any injury to people or property resulting from any ideas, methods, instructions or products referred to in the content. | 
© 2024 by the authors. Licensee MDPI, Basel, Switzerland. This article is an open access article distributed under the terms and conditions of the Creative Commons Attribution (CC BY) license (https://creativecommons.org/licenses/by/4.0/).
Share and Cite
Mantzourani, C.; Mesimeri, I.-D.; Kokotou, M.G. Free Fatty Acid Determination in Broccoli Tissues Using Liquid Chromatography–High-Resolution Mass Spectrometry. Molecules 2024, 29, 754. https://doi.org/10.3390/molecules29040754
Mantzourani C, Mesimeri I-D, Kokotou MG. Free Fatty Acid Determination in Broccoli Tissues Using Liquid Chromatography–High-Resolution Mass Spectrometry. Molecules. 2024; 29(4):754. https://doi.org/10.3390/molecules29040754
Chicago/Turabian StyleMantzourani, Christiana, Irene-Dimitra Mesimeri, and Maroula G. Kokotou. 2024. "Free Fatty Acid Determination in Broccoli Tissues Using Liquid Chromatography–High-Resolution Mass Spectrometry" Molecules 29, no. 4: 754. https://doi.org/10.3390/molecules29040754
APA StyleMantzourani, C., Mesimeri, I.-D., & Kokotou, M. G. (2024). Free Fatty Acid Determination in Broccoli Tissues Using Liquid Chromatography–High-Resolution Mass Spectrometry. Molecules, 29(4), 754. https://doi.org/10.3390/molecules29040754
 
        




 
       