Efficient Encapsulation and Controlled Release of the Pesticide Emamectin Benzoate in Polylactic Acid Microspheres Prepared by Modified Solvent Evaporation
Abstract
1. Introduction
2. Results and Discussion
2.1. Effect of Emulsifier Gelatin Concentration on the Microspheres Properties
2.2. Effect of an External Aqueous Phase and High Speed Shearing Time on the Microsphere Properties
2.3. Effect of Oil–Water Volume Ratio on Microsphere Properties
2.4. Effect of PLA Concentration on Microsphere Properties
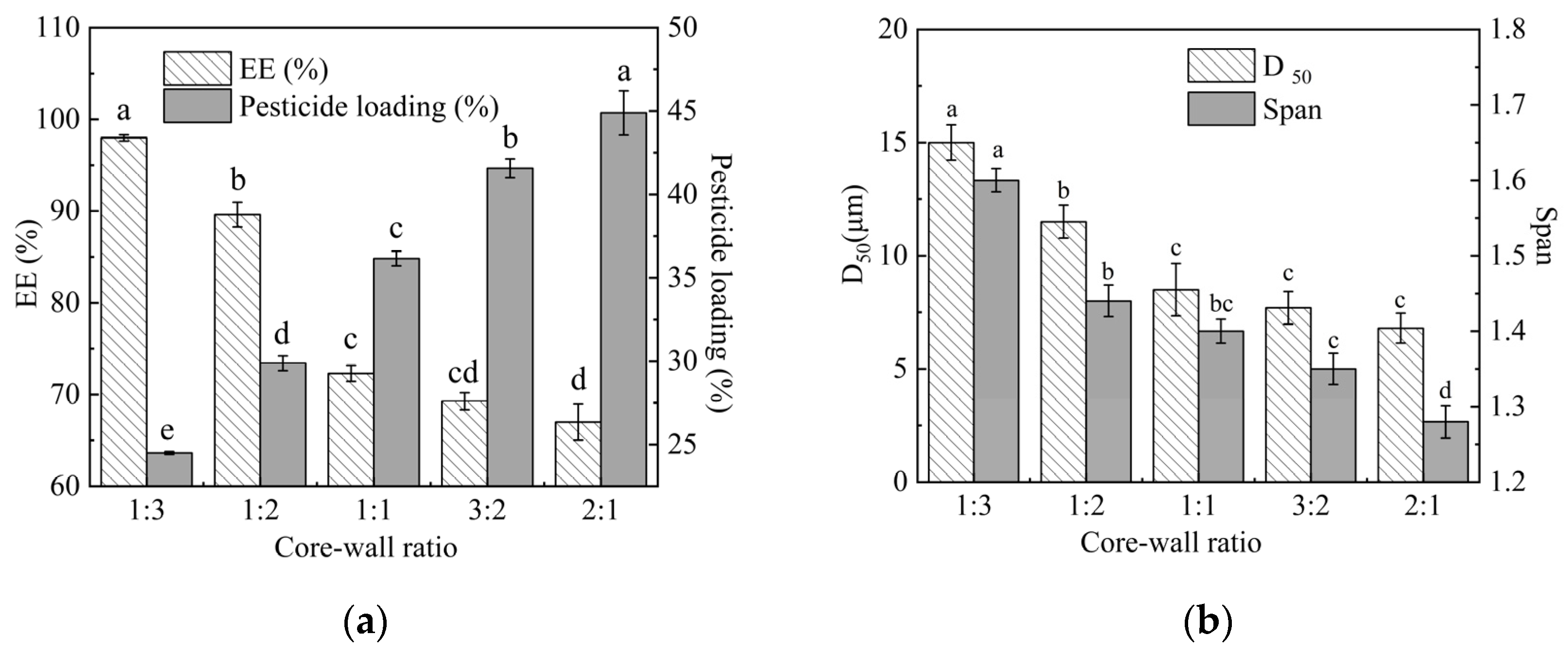
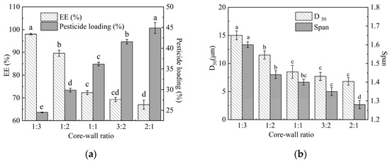
2.5. Effect of Core–Wall Ratio on the Properties of Microspheres
2.6. The Character of an EB-Encapsulated PLA Microsphere
2.6.1. SEM Analysis
2.6.2. FTIR Analysis
2.6.3. DSC Analysis
2.6.4. XRD Analysis
2.7. The Indoor Virulence of EB-Encapsulated PLA Microspheres Against P. xylostella
2.8. Control Efficacy of EB-Encapsulated PLA Microspheres Against P. xylostella
3. Materials and Methods
3.1. Materials
3.2. Preparation of EB-Encapsulated PLA Microspheres
3.3. Measurement of EB Loading Rate and Encapsulation Efficiency of Microspheres
3.4. Measurement of Microsphere Particle Size Distribution
3.5. Characterization of Microspheres
3.6. Insect Bioassay
3.6.1. The Indoor Virulence Tests of Microspheres
3.6.2. Control Efficacy of EB Microspheres
3.7. Statistical Analysis
4. Conclusions
Author Contributions
Funding
Institutional Review Board Statement
Informed Consent Statement
Data Availability Statement
Conflicts of Interest
References
- Wahba, T.F.; El-Bassyouni, G.T.; El-Shamy, A.M.; Wahba, M.N. Nanoinert diatomaceous and emamectin benzoate: Enhancing wheat protection against fall armyworms for sustainable management. S. Afr. J. Bot. 2024, 169, 413–425. [Google Scholar] [CrossRef]
- Sharma, N.; Mandal, K.; Sharma, S. Validation of LCMS/MS based method for residual estimation of tolfenpyrad and emamectin benzoate in brinjal and cauliflower and their risk assessment. J. Food Compos. Anal. 2024, 136, 106803. [Google Scholar] [CrossRef]
- Huang, B.B.; Zhang, S.F.; Chen, P.H.; Wu, G. Release and Degradation of Microencapsulated Spinosad and Emamectin Benzoate. Sci. Rep. 2017, 7, 10864. [Google Scholar] [CrossRef] [PubMed]
- Singh, M.N.; Hemant, K.S.Y.; Ram, M.; Shivakumar, H.G. Microencapsulation: A promising technique for controlled drug delivery. Res. Pharm. Sci. 2010, 5, 65–77. [Google Scholar] [PubMed]
- Dubey, R.; Shami, T.; Rao, K. Microencapsulation technology and applications. Def. Sci. J. 2009, 59, 82–95. [Google Scholar]
- Yang, J.; Zhou, Z.; Liang, Y.; Tang, J.; Gao, Y.; Niu, J.; Dong, H.; Tang, R.; Tang, G.; Cao, Y. Sustainable preparation of microcapsules with desirable stability and bioactivity using phosphonium ionic liquid as a functional additive. ACS Sustain. Chem. Eng. 2020, 8, 13440–13448. [Google Scholar] [CrossRef]
- Dai, R.Y.; You, S.Y.; Lu, L.M.; Liu, Q.; Li, Z.X.; Wei, L.; Huang, X.G.; Yang, Z.Y. High blades spreadability of chlorpyrifos microcapsules prepared with polysiloxane sodium carboxylate/sodium carboxymethylcellulose/gelatin via complex coacervation. Colloids Surf. A Physicochem. Eng. Asp. 2017, 530, 13–19. [Google Scholar] [CrossRef]
- Timilsena, Y.P.; Akanbi, T.O.; Khalid, N.; Adhikari, B.; Barrow, C.J. Complex coacervation: Principles, mechanisms and applications in microencapsulation. Int. J. Biol. Macromol. 2019, 121, 1276–1286. [Google Scholar] [CrossRef] [PubMed]
- Zhang, Q.; Du, Y.; Yu, M.; Ren, L.; Guo, Y.; Li, Q.; Yin, M.; Li, X.; Chen, F. Controlled release of dinotefuran with temperature/pH-responsive chitosan-gelatin microspheres to reduce leaching risk during application. Carbohydr. Polym. 2022, 277, 118880. [Google Scholar] [CrossRef] [PubMed]
- Costa, E.S.; Perlatti, B.; Silva, E.M.D.; Matos, A.P.; Silva, M.F.G.D.; Fernandes, J.B.; Zuin, V.G.; Silva, C.M.D.; Forim, M.R. Use of lignins from sugarcane bagasse for assembling microparticles loaded with azadirachta indica extracts for use as neem-based organic insecticides. J. Braz. Chem. Soc. 2017, 28, 126–135. [Google Scholar]
- Kamble, V.; Sawant, M.; Mahanwar, P. Microencapsulation of cypermethrin via interfacial polymerization for controlled release application. Mater. Today: Proc. 2018, 5, 22621–22629. [Google Scholar] [CrossRef]
- Cao, H.; Chen, Y.; Zhang, D.; Jin, Y.; Zhang, P.; Li, B.; Mu, W.; Liu, F. Octaphenyl polyoxyethylene regulates the flexibility of pyraclostrobin-loaded soft microcapsules by interfacial polymerization for better foliar adhesion and pesticide utilization. Chem. Eng. J. 2022, 439, 135805. [Google Scholar] [CrossRef]
- Liu, Y.; Guo, B. Preparation and characterisation of poly(butylene succinate) microcarriers containing pesticide. Micro Nano Lett. 2019, 14, 81–85. [Google Scholar] [CrossRef]
- Aguiar, A.; Loureiro, M.V.; Pinho, I.; Marques, A.C. Efficient encapsulation of isocyanates in PCL/PLA biodegradable microcapsules for adhesives. J. Mater. Sci. 2023, 58, 2249–2267. [Google Scholar] [CrossRef]
- Sun, C.; Wang, Y.; Zhao, X.; Cui, B.; Zeng, Z.; Cui, H. research on preparation technology of polylactic acid nano-microsphere. J. Agric. Sci. Technol. 2018, 20, 148–153. [Google Scholar]
- Fuensanta, M.; Grau, A.; Romero-Sánchez, M.D.; Guillem, C.; López-Buendía, Á.M. Effect of the polymer shell in imidazole microencapsulation by solvent evaporation method. Polym. Bull. 2013, 70, 3055–3074. [Google Scholar] [CrossRef]
- Wang, Q.; Shen, M.; Li, W.; Li, W.; Zhang, F. Controlled-release of fluazinam from biodegradable PLGA-based microspheres. J. Environ. Sci. Health Part B-Pestic. Food Contam. Agric. Wastes 2019, 54, 810–816. [Google Scholar] [CrossRef] [PubMed]
- Xu, Y.; Chen, W.T.; Fan, T.F.; Wu, X.M.; Gao, H.X. Preparation and characterization of modified polylactic acid-co-polyethylene glycol-co- polylactic acid microcapsules enclosing cypermethrin. Adv. Mater. Res. 2015, 1088, 449–454. [Google Scholar] [CrossRef]
- Hu, J.; Liu, R.; Lao, R.; Zhao, J. Fabrication of porous Poly(L-lactic acid) Porous microspheres and its controlled drug release property. Polym. Mater. Sci. Eng. 2016, 32, 144–150. [Google Scholar]
- Liu, B.; Wang, Y.; Yang, F.; Wang, X.; Shen, H.; Cui, H.; Wu, D. Construction of a controlled-release delivery system for pesticides using biodegradable PLA-based microcapsules. Colloids Surf. B-Biointerfaces 2016, 144, 38–45. [Google Scholar] [CrossRef] [PubMed]
- Mozetič, M.; Vesel, A.; Primc, G.; Eisenmenger-Sittner, C.; Bauer, J.; Eder, A.; Schmid, G.H.; Ruzic, D.N.; Ahmed, Z.; Barker, D.; et al. Recent developments in surface science and engineering, thin films, nanoscience, biomaterials, plasma science, and vacuum technology. Thin Solid Film. 2018, 660, 120–160. [Google Scholar] [CrossRef]
- Meredith, A.; Harper, B.; Harper, S. The influence of size on the toxicity of an encapsulated pesticide a comparison of micron- and nano-sized capsules. Environ. Int. 2015, 86, 68–74. [Google Scholar] [CrossRef] [PubMed]
- Cho, K.; Uhm, K.; Lee, J. Effect of Test Leaf and Temperature on Mortality of Frankliniella occidentalis in Leaf Dip Bioassay of Insecticides. J. Asia-Pac. Entomol. 1999, 2, 69–75. [Google Scholar] [CrossRef]
- Saleem, M.; Hussain, D.; ul Hasan, M.; Sagheer, M.; Ghouse, G.; Zubair, M.; Brown, J.K.; Cheema, S.A. Differential insecticide resistance in Bemisia tabac (Hemiptera: Aleyrodidae) field populations in the Punjab Province of Pakistan. Heliyon 2022, 8, e12010. [Google Scholar] [CrossRef] [PubMed]
- Wang, M.; Geng, L.; Sun, X.; Shu, C.; Song, F.; Zhang, J. Screening of Bacillus thuringiensis strains to identify new potential biocontrol agents against Sclerotinia sclerotiorum and Plutella xylostella in Brassica campestris L. Biol. Control 2020, 145, 104262. [Google Scholar] [CrossRef]
- Rahwanudin, I.; Susanto, A.; Panatarani, C.; Zainuddin, A.; Setiawati, W. Study of spinetoram nano suspension for environmentally friendly control of Plutella xylostella L. (Lepidoptera: Plutellidae). Biocatal. Agric. Biotechnol. 2022, 44, 102456. [Google Scholar] [CrossRef]









| EB Formulation | Virulence Regression Equation Y = ax + b | LC50 (mg/L) | LC50 with a 95% Confidence Interval (mg/L) | Correlation Coefficient r |
|---|---|---|---|---|
| EB-encapsulated microspheres | y = 0.3283x + 0.8383 | 0.0028 | 0.0022~0.0035 | 0.9747 |
| EB EC | y = 0.6798x + 2.4485 | 0.00025 | 0.00021~0.00030 | 0.9904 |
| EB Formulation | Corrected Mortality (%) After Application | ||||
|---|---|---|---|---|---|
| 1st day | 3rd day | 7th day | 14th day | 21st day | |
| EB-encapsulated microspheres | 85.19 ± 3.70 a | 85.19 ± 3.70 b | 93.33 ± 0.00 a | 92.86 ± 3.57 a | 90.00 ± 5.77 a |
| EB EC | 93.33 ± 3.33 a | 100.00 ± 0.00 a | 50.00 ± 3.57 b | 19.23 ± 6.66 b | 0 b |
Disclaimer/Publisher’s Note: The statements, opinions and data contained in all publications are solely those of the individual author(s) and contributor(s) and not of MDPI and/or the editor(s). MDPI and/or the editor(s) disclaim responsibility for any injury to people or property resulting from any ideas, methods, instructions or products referred to in the content. |
© 2024 by the authors. Licensee MDPI, Basel, Switzerland. This article is an open access article distributed under the terms and conditions of the Creative Commons Attribution (CC BY) license (https://creativecommons.org/licenses/by/4.0/).
Share and Cite
Xu, S.; Liu, Y.; Chen, Y.; Wu, G. Efficient Encapsulation and Controlled Release of the Pesticide Emamectin Benzoate in Polylactic Acid Microspheres Prepared by Modified Solvent Evaporation. Molecules 2024, 29, 6008. https://doi.org/10.3390/molecules29246008
Xu S, Liu Y, Chen Y, Wu G. Efficient Encapsulation and Controlled Release of the Pesticide Emamectin Benzoate in Polylactic Acid Microspheres Prepared by Modified Solvent Evaporation. Molecules. 2024; 29(24):6008. https://doi.org/10.3390/molecules29246008
Chicago/Turabian StyleXu, Sheng, Yamin Liu, Yilan Chen, and Gang Wu. 2024. "Efficient Encapsulation and Controlled Release of the Pesticide Emamectin Benzoate in Polylactic Acid Microspheres Prepared by Modified Solvent Evaporation" Molecules 29, no. 24: 6008. https://doi.org/10.3390/molecules29246008
APA StyleXu, S., Liu, Y., Chen, Y., & Wu, G. (2024). Efficient Encapsulation and Controlled Release of the Pesticide Emamectin Benzoate in Polylactic Acid Microspheres Prepared by Modified Solvent Evaporation. Molecules, 29(24), 6008. https://doi.org/10.3390/molecules29246008
