First-Principle Calculations on O-Doped Hexagonal Boron Nitride (H-BN) for Carbon Dioxide (CO2) Reduction into C1 Products
Abstract
1. Introduction
2. Results and Discussion
2.1. O-Doping Site
2.2. DOS and Band Structure
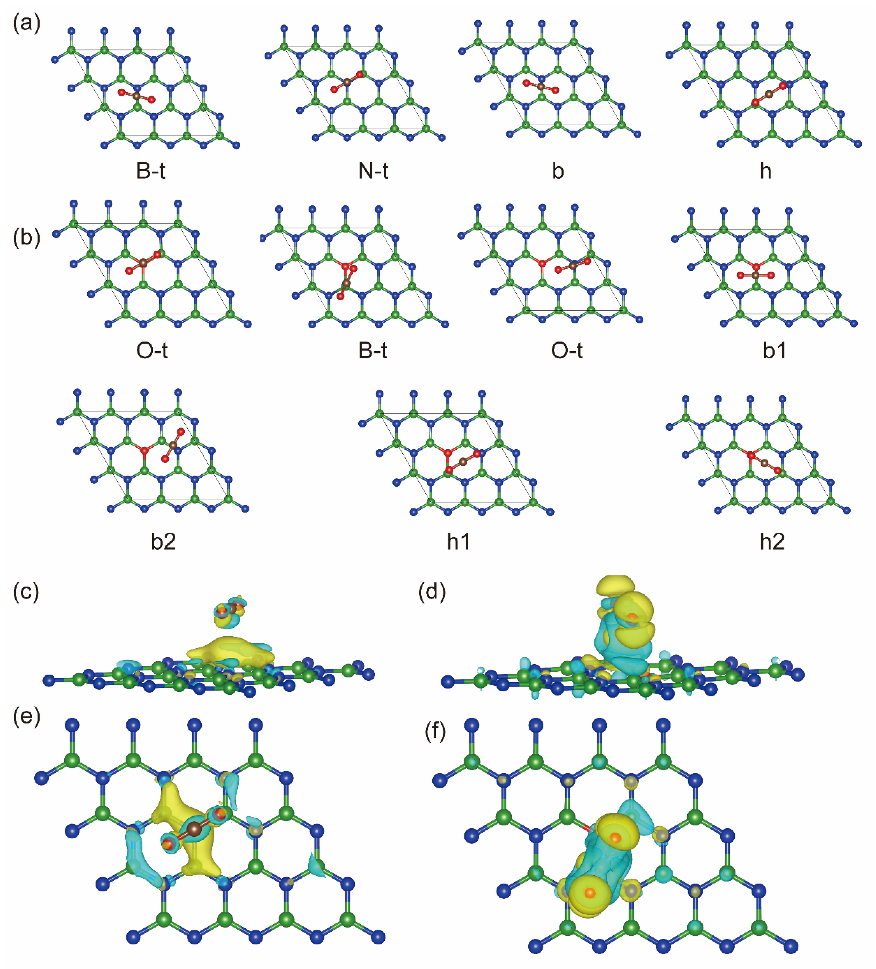
2.3. CO2 Adsorption
2.4. CO2 Conversion to C1 Products
2.4.1. CO2 Reduction to CO and HCOOH via a Two-Electron Pathway
2.4.2. CO2 Reduction to CH3OH and CH4 via a Six-Electron Pathway
3. Computational Details
4. Conclusions
- O preferentially substitutes N of monolayer h-BN, leading to a decrease in the value of VBM, which can improve the reduction capacity of h-BN and is conducive to CO2 reduction.
- The preferential CO2 adsorption sites on monolayer h-BN and O(N)-doped h-BN surfaces are the N-t site and B-t site, respectively. O doping increases the adsorption strength of CO2 but reduces the number of adsorption sites.
- After O doping, the energy barriers of RDS during the two-electron conversion reactions of CO2 reduction to CO and HCOOH are reduced, but O doping increases the desorption energy of CO, which is conducive to the further hydrogenation reaction of *CO.
- For CO2 reduction to CH3OH and CH4 via a six-electron pathway, the further hydrogenation reactions of *CO and *CH2O are crucial. O doping can change these two key steps from uphill reactions to downhill reactions, which improves the conversion probability of CO2 to CH3OH and CH4.
- Our calculations suggest that O(N)-doped h-BN can serve as a promising metal-free CO2 reduction catalyst. This theoretical study provides guidance and reference for the future design of high-performance CO2 reduction catalysts.
Supplementary Materials
Funding
Institutional Review Board Statement
Informed Consent Statement
Data Availability Statement
Acknowledgments
Conflicts of Interest
References
- Liu, Z.; Zhu, H.; Wilson, J.; Adams, M.; Walker, T.R.; Xu, Y.; Tang, Y.; Wang, Z.; Liu, T.; Chen, Q. Achieving China’s ‘double carbon goals’, an analysis of the potential and cost of carbon capture in the resource-based area: Northwestern China. Energy 2024, 292, 130441. [Google Scholar] [CrossRef]
- Goeppert, A.; Czaun, M.; Jones, J.-P.; Surya Prakash, G.K.; Olah, G.A. Recycling of carbon dioxide to methanol and derived products—Closing the loop. Chem. Soc. Rev. 2014, 43, 7995–8048. [Google Scholar] [CrossRef] [PubMed]
- Li, L.; Li, X.; Sun, Y.; Xie, Y. Rational design of electrocatalytic carbon dioxide reduction for a zero-carbon network. Chem. Soc. Rev. 2022, 51, 1234–1252. [Google Scholar] [CrossRef]
- Xie, S.; Zhang, Q.; Liu, G.; Wang, Y. Photocatalytic and photoelectrocatalytic reduction of CO2 using heterogeneous catalysts with controlled nanostructures. Chem. Commun. 2016, 52, 35–59. [Google Scholar] [CrossRef] [PubMed]
- Liu, L.; Jiang, Y.; Zhao, H.; Chen, J.; Cheng, J.; Yang, K.; Li, Y. Engineering Coexposed {001} and {101} Facets in Oxygen-Deficient TiO2 Nanocrystals for Enhanced CO2 Photoreduction under Visible Light. ACS Catal. 2016, 6, 1097–1108. [Google Scholar] [CrossRef]
- Kohno, Y.; Ishikawa, H.; Tanaka, T.; Funabiki, T.; Yoshida, S. Photoreduction of carbon dioxide by hydrogen over magnesium oxide. Phys. Chem. Chem. Phys. 2001, 3, 1108–1113. [Google Scholar] [CrossRef]
- Teramura, K.; Tsuneoka, H.; Shishido, T.; Tanaka, T. Effect of H2 gas as a reductant on photoreduction of CO2 over a Ga2O3 photocatalyst. Chem. Phys. Lett. 2008, 467, 191–194. [Google Scholar] [CrossRef]
- Tseng, I.H.; Wu, J.C.S.; Chou, H.-Y. Effects of sol–gel procedures on the photocatalysis of Cu/TiO2 in CO2 photoreduction. J. Catal. 2004, 221, 432–440. [Google Scholar] [CrossRef]
- Paulino, P.N.; Salim, V.M.M.; Resende, N.S. Zn-Cu promoted TiO2 photocatalyst for CO2 reduction with H2O under UV light. Appl. Catal. B Environ. 2016, 185, 362–370. [Google Scholar] [CrossRef]
- Novoselov, K.S.; Geim, A.K.; Morozov, S.V.; Jiang, D.; Zhang, Y.; Dubonos, S.V.; Grigorieva, I.V.; Firsov, A.A. Electric Field Effect in Atomically Thin Carbon Films. Science 2004, 306, 666–669. [Google Scholar] [CrossRef]
- Xie, Z.; Kuang, Q.; Chen, Q. Research Progress of Photocatalytic CO2 Reduction Based on Two-dimensional Materials. Acta Chim. Sin. 2021, 79, 10–22. [Google Scholar]
- Ashraf, N.; Iqbal, A.; Abghoui, Y. Exploring reaction mechanisms for CO2 reduction on Carbides. J. Mater. Chem. A 2024, 12, 30340–30350. [Google Scholar] [CrossRef]
- Fu, S.; Liu, X.; Ran, J.; Jiao, Y.; Qiao, S.-Z. CO2 reduction by single copper atom supported on g-C3N4 with asymmetrical active sites. Appl. Surf. Sci. 2021, 540, 148293. [Google Scholar] [CrossRef]
- Lu, X.; Hu, Y.; Cao, S.; Li, J.; Yang, C.; Chen, Z.; Wei, S.; Liu, S.; Wang, Z. Two-dimensional MBene: A comparable catalyst to MXene for effective CO2RR towards C1 products. Phys. Chem. Chem. Phys. 2023, 25, 18952–18959. [Google Scholar] [CrossRef] [PubMed]
- Khanam, R.; Fozia, S.; Dar, M.A. Unveiling the mechanism of CO2 electroreduction to C1 and C2 products on ordered double transition metal MXenes. Sustain. Energy Fuels 2024, 8, 5595–5607. [Google Scholar] [CrossRef]
- Zhang, T.; Shang, H.; Zhang, B.; Yan, D.; Xiang, X. Ag/Ultrathin-Layered Double Hydroxide Nanosheets Induced by a Self-Redox Strategy for Highly Selective CO2 Reduction. ACS Appl. Mater. Interfaces 2021, 13, 16536–16544. [Google Scholar] [CrossRef] [PubMed]
- Zhao, J.; Chen, Z. Single Mo Atom Supported on Defective Boron Nitride Monolayer as an Efficient Electrocatalyst for Nitrogen Fixation: A Computational Study. J. Am. Chem. Soc. 2017, 139, 12480–12487. [Google Scholar] [CrossRef]
- Lin, S.; Ye, X.; Johnson, R.S.; Guo, H. First-Principles Investigations of Metal (Cu, Ag, Au, Pt, Rh, Pd, Fe, Co, and Ir) Doped Hexagonal Boron Nitride Nanosheets: Stability and Catalysis of CO Oxidation. J. Phys. Chem. C 2013, 117, 17319–17326. [Google Scholar] [CrossRef]
- Huang, C.; Chen, C.; Zhang, M.; Lin, L.; Ye, X.; Lin, S.; Antonietti, M.; Wang, X. Carbon-doped BN nanosheets for metal-free photoredox catalysis. Nat. Commun. 2015, 6, 7698. [Google Scholar] [CrossRef] [PubMed]
- Chen, Y.; Cai, J.; Li, P.; Zhao, G.; Wang, G.; Jiang, Y.; Chen, J.; Dou, S.X.; Pan, H.; Sun, W. Hexagonal Boron Nitride as a Multifunctional Support for Engineering Efficient Electrocatalysts toward the Oxygen Reduction Reaction. Nano Lett. 2020, 20, 6807–6814. [Google Scholar] [CrossRef] [PubMed]
- Satawara, A.M.; Shaikh, G.A.; Gupta, S.K.; Gajjar, P.N. Structural, electronic and optical properties of hexagonal boron-nitride (h-BN) monolayer: An Ab-initio study. Mater. Today Proc. 2021, 47, 529–532. [Google Scholar] [CrossRef]
- Cui, Q.; Qin, G.; Wang, W.; Sun, L.; Du, A.; Sun, Q. Mo-doped boron nitride monolayer as a promising single-atom electrocatalyst for CO2 conversion. Beilstein J. Nanotechnol. 2019, 10, 540–548. [Google Scholar] [CrossRef]
- Kan, A.; Duan, Y.; Guo, J.; Wu, T.; Wang, L.; Zhang, Y.; Luo, Q.; Lu, Q.; Zhang, Y.; Liang, Y.; et al. Cobalt single atom induced catalytic active site shift in carbon-doped BN for efficient photodriven CO2 reduction. Appl. Surf. Sci. 2023, 616, 156451. [Google Scholar] [CrossRef]
- Liang, J.; Zhang, H.; Song, Q.; Liu, Z.; Xia, J.; Yan, B.; Meng, X.; Jiang, Z.; Lou, X.W.; Lee, C.-S. Modulating Charge Separation of Oxygen-doped Boron Nitride with Isolated Co Atoms for Enhancing CO2-To-CO Photoreduction. Adv. Mater. 2023, 36, 2303287. [Google Scholar] [CrossRef] [PubMed]
- Wang, Y.; Hu, G.; Feng, Y.; Zhang, X.; Song, C.; Lin, J.; Huang, Y.; Zhang, Y.; Liu, Z.; Tang, C.; et al. Formation of p-BN@Zn/Co-ZIF Hybrid materials for improved photocatalytic CO2 reduction by H2O. Mater. Res. Bull. 2022, 152, 111867. [Google Scholar] [CrossRef]
- Asif, Q.u.A.; Hussain, A.; Nabi, A.; Tayyab, M.; Rafique, H.M. Computational study of X-doped hexagonal boron nitride (h-BN): Structural and electronic properties (X = P, S, O, F, Cl). J. Mol. Model. 2021, 27, 31. [Google Scholar] [CrossRef] [PubMed]
- Chen, S.; Li, P.; Xu, S.; Pan, X.; Fu, Q.; Bao, X. Carbon doping of hexagonal boron nitride porous materials toward CO2 capture. J. Mater. Chem. A 2018, 6, 1832–1839. [Google Scholar] [CrossRef]
- Zhou, X.; Zhao, C.; Chen, J.; Li, Y.; Zheng, K.; Chen, L. Electronic structure and improved optical properties of Al, P, and Al-P doped h-BN. Diam. Relat. Mater. 2023, 131, 109561. [Google Scholar] [CrossRef]
- Kim, C.; Bui, J.C.; Luo, X.; Cooper, J.K.; Kusoglu, A.; Weber, A.Z.; Bell, A.T. Publisher Correction: Tailored catalyst microenvironments for CO2 electroreduction to multicarbon products on copper using bilayer ionomer coatings. Nat. Energy 2022, 7, 116. [Google Scholar] [CrossRef]
- Li, Z.; Wang, P.; Lyu, X.; Kondapalli, V.K.R.; Xiang, S.; Jimenez, J.D.; Ma, L.; Ito, T.; Zhang, T.; Raj, J.; et al. Directing CO2 electroreduction pathways for selective C2 product formation using single-site doped copper catalysts. Nat. Chem. Eng. 2024, 1, 159–169. [Google Scholar] [CrossRef]
- Okoye-Chine, C.G.; Otun, K.; Shiba, N.; Rashama, C.; Ugwu, S.N.; Onyeaka, H.; Okeke, C.T. Conversion of carbon dioxide into fuels—A review. J. CO2 Util. 2022, 62, 102099. [Google Scholar] [CrossRef]
- Blöchl, P.E. Projector augmented-wave method. Phys. Rev. B 1994, 50, 17953–17979. [Google Scholar] [CrossRef] [PubMed]
- Hongzhiwei Technology. Device Studio, Version 2023B; Hongzhiwei Technology: Shanghai, China, 2023; Available online: https://cloud.hzwtech.com/web/home (accessed on 1 September 2024).
- Grimme, S.; Antony, J.; Ehrlich, S.; Krieg, H. A consistent and accurate ab initio parametrization of density functional dispersion correction (DFT-D) for the 94 elements H-Pu. J. Chem. Phys. 2010, 132, 154104. [Google Scholar] [CrossRef] [PubMed]
- Tkatchenko, A.; Scheffler, M. Accurate Molecular Van Der Waals Interactions from Ground-State Electron Density and Free-Atom Reference Data. Phys. Rev. Lett. 2009, 102, 073005. [Google Scholar] [CrossRef] [PubMed]






| System | Initial Adsorption Site | Eabs (eV) | Shifting to | Bader Charge |
|---|---|---|---|---|
| monolayer h-BN | B-t | −0.862 | / | |
| N-t | −0.877 | / | 0.345 e | |
| b | −0.867 | / | ||
| h | −0.876 | / | ||
| O(N)-doped h-BN | O-t | −0.894 | B-t | |
| B-t | −0.894 | / | 0.621 e | |
| N-t | −0.296 | / | ||
| b1 | −0.894 | B-t | ||
| b2 | −0.769 | / | ||
| h1 | −0.896 | B-t | ||
| h2 | −0.895 | B-t |
Disclaimer/Publisher’s Note: The statements, opinions and data contained in all publications are solely those of the individual author(s) and contributor(s) and not of MDPI and/or the editor(s). MDPI and/or the editor(s) disclaim responsibility for any injury to people or property resulting from any ideas, methods, instructions or products referred to in the content. |
© 2024 by the author. Licensee MDPI, Basel, Switzerland. This article is an open access article distributed under the terms and conditions of the Creative Commons Attribution (CC BY) license (https://creativecommons.org/licenses/by/4.0/).
Share and Cite
Liu, G. First-Principle Calculations on O-Doped Hexagonal Boron Nitride (H-BN) for Carbon Dioxide (CO2) Reduction into C1 Products. Molecules 2024, 29, 5960. https://doi.org/10.3390/molecules29245960
Liu G. First-Principle Calculations on O-Doped Hexagonal Boron Nitride (H-BN) for Carbon Dioxide (CO2) Reduction into C1 Products. Molecules. 2024; 29(24):5960. https://doi.org/10.3390/molecules29245960
Chicago/Turabian StyleLiu, Guoliang. 2024. "First-Principle Calculations on O-Doped Hexagonal Boron Nitride (H-BN) for Carbon Dioxide (CO2) Reduction into C1 Products" Molecules 29, no. 24: 5960. https://doi.org/10.3390/molecules29245960
APA StyleLiu, G. (2024). First-Principle Calculations on O-Doped Hexagonal Boron Nitride (H-BN) for Carbon Dioxide (CO2) Reduction into C1 Products. Molecules, 29(24), 5960. https://doi.org/10.3390/molecules29245960

