Color Compounds Removal from Tequila Vinasses Using Silica Gel Adsorbents Functionalized with Thiol Moieties: Equilibrium and Kinetics Studies
Abstract
1. Introduction
2. Results and Discussion
2.1. Synthesis of the MaMPTXX Adsorbents
2.2. Adsorption Kinetic Results
2.3. Adsorption Equilibrium Results
2.3.1. Effect of Tequila Vinasses Solution pH on Adsorption Extent
2.3.2. Comparison of Different Effluent Adsorption Performance of the MaMPT002 Adsorbent with Different Adsorbents
| Adsorbent | Effluent Removed | SBET (m2 g−1) | qmax (g g−1) | Reference |
|---|---|---|---|---|
| Picachem 150 | Sugar beet vinasse | 671.0 | 0.041 | [9] |
| Picachem 120 PN | Sugar beet vinasse | 634 | 0.1 | [9] |
| Peanut shell | Sugarcane vinasse | 40.71 | 0.562, 0.796 | [24] |
| Bagasse fly ash | Sugarcane vinasse | − | 0.017 | [25] |
| MaMPT002 | Tequila vinasse | 432.68 | 0.801 | This work |
2.3.3. Effect of Tequila Vinasses Temperature on Adsorption Extent
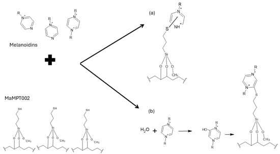
2.4. Approximate Selectivity of the MaMPT002 Adsorbent for Different Tequila Vinasse Compounds
2.5. Physicochemical and Spectroscopic Characterization Results
2.5.1. Textural Properties
2.5.2. TGA Results
2.5.3. FTIR Study Results
2.5.4. Scanning Electron Microscopy (SEM)
2.5.5. NMR Results
3. Materials and Methods
3.1. Materials
3.2. Synthesis of the Optimum Adsorbent
3.3. Analysis Procedure of Tequila Vinasses Color Solution
3.4. Kinetics of Vinasses Compounds Adsorption Experiments
3.5. Vinasses Compounds Adsorption Isotherm Experiments
3.6. Selectivity of MaMPT002 for Tequila Vinasses Compounds
3.7. Physicochemical and Spectroscopic Characterization of the Adsorbent
3.7.1. Textural Properties of Adsorbent
3.7.2. Thermogravimetric Analysis (TGA)
3.7.3. Fourier Transform Infrared Measurements (FTIR)
3.7.4. Scanning Electron Microscopy (SEM) Study
3.7.5. Solid–State NMR Spectroscopy
4. Conclusions
Supplementary Materials
Author Contributions
Funding
Institutional Review Board Statement
Informed Consent Statement
Data Availability Statement
Acknowledgments
Conflicts of Interest
References
- García-Depraect, O.; Diaz-Cruces, V.F.; León-Becerril, E. Upgrading of anaerobic digestion of tequila vinasse by using an innovative two-stage system with dominant lactate-type fermentation in acidogenesis. Fuel 2020, 280, 118606. [Google Scholar] [CrossRef]
- Toledo-Cervantes, A.; Guevara-Santos, N.; Arreola-Vargas, J.; Snell-Castro, R.; Méndez-Acosta, H.O. Performance and microbial dynamics in packed-bed reactors during the long-term two-stage anaerobic treatment of tequila vinasses. Biochem. Eng. J. 2018, 138, 12–20. [Google Scholar] [CrossRef]
- Arreola-Vargas, J.; Snell-Castro, R.; Rojo-Liera, N.M.; González-Álvarez, V.; Méndez-Acosta, H.O. Effect of the organic loading rate on the performance and microbial populations during the anaerobic treatment of tequila vinasses in a pilot-scale packed bed reactor. J. Chem. Technol. Biotechnol. 2018, 93, 591–599. [Google Scholar] [CrossRef]
- Arellano-García, L.; Velázquez-Fernández, J.B.; Macías-Muro, M.; Marino-Marmolejo, E.N. Continuous hydrogen production and microbial community profile in the dark fermentation of tequila vinasse: Response to increasing loading rates and immobilization of biomass. Biochem. Eng. J. 2021, 172, 108049. [Google Scholar] [CrossRef]
- Carvajal-Zarrabal, O.; Nolasco-Hipólito, C.; Barradas-Dermitz, D.M.; Hayward-Jones, P.M.; Aguilar-Uscanga, M.G.; Bujang, K. Treatment of vinasse from tequila production using polyglutamic acid. J. Environ. Manag. 2012, 95, S66–S70. [Google Scholar] [CrossRef] [PubMed]
- Mahmoudabadi, Z.S.; Rashidi, A.; Maklavany, D.M. Optimizing treatment of alcohol vinasse using a combination of advanced oxidation with porous α-Fe2O3 nanoparticles and coagulation-flocculation. Ecotoxicol. Environ. Saf. 2022, 234, 113354. [Google Scholar] [CrossRef] [PubMed]
- Li, L.; Wu, M.; Song, C.; Liu, L.; Gong, W.; Ding, Y.; Yao, J. Efficient removal of cationic dyes via activated carbon with ultrahigh specific surface derived from vinasse wastes. Bioresour. Technol. 2021, 322, 124540. [Google Scholar] [CrossRef]
- Wei, S.; Tan, Z.; Liu, Z.; Zuo, H.; Xia, Y.; Zhang, Y. Removal of methyl orange dye by high surface area biomass activated carbon prepared from bamboo fibers. Ind. Crops Prod. 2024, 218, 118991. [Google Scholar] [CrossRef]
- Caqueret, V.; Bostyn, S.; Cagnon, B.; Fauduet, H. Purification of sugar beet vinasse—Adsorption of polyphenolic and dark colored compounds on different commercial activated carbons. Bioresour. Technol. 2008, 99, 5814–5821. [Google Scholar] [CrossRef]
- Lorenzo-Santiago, M.A.; Rodríguez-Campos, J.; Rendón-Villalobos, R.; García-Hernández, E.; Vallejo-Cardona, A.A.; Contreras-Ramos, S.M. Thermal treatment to obtain 5-hydroxymethyl furfural (5-HMF), furfural and phenolic compounds from vinasse waste from agave. Molecules 2023, 28, 1063. [Google Scholar] [CrossRef]
- Govea-Paz, Y.; Arellano-García, L.; Aguilar-Juárez, O. Simultaneous hydrogen and methane production by tequila vinasses dark fermentation in series with anaerobic digestion. Bioresour. Technol. Rep. 2024, 25, 101779. [Google Scholar] [CrossRef]
- American Public Health Association. Standard Methods: For the Examination of Water and Wastewater, 17th ed.; American Public Health Association: Washington, DC, USA, 1989. [Google Scholar]
- Dubois, M.; Gilles, K.A.; Hamilton, J.K.; Rebers, P.A.; Smith, F. Colorimetric method for determination of sugars and related substances. Anal. Chem. 1956, 28, 350–356. [Google Scholar] [CrossRef]
- López-López, A.; Davila-Vazquez, G.; León-Becerril, E.; Villegas-García, E.; Gallardo-Valdez, J. Tequila vinasses: Generation and full-scale treatment processes. Rev. Environ. Sci. Bio/Technol. 2010, 9, 109–116. [Google Scholar] [CrossRef]
- Hofmann, T.; Schieberle, P. Chemical Interactions between Odor-Active Thiols and Melanoidins Involved in the Aroma Staling of Coffee Beverages. J. Agric. Food Chem. 2002, 50, 319–326. [Google Scholar] [CrossRef] [PubMed]
- Nam, K.H.; Gomez-Salazar, S.; Tavlarides, L.L. Mercury (II) Adsorption from Wastewaters Using a Thiol Functional Adsorbent. Ind. Eng. Chem. Res. 2003, 42, 1955–1964. [Google Scholar] [CrossRef]
- Nam, K.H.; Tavlarides, L.L. Mercury Removal from Acidic Waste Solutions Using a Thiol Functional Organo-Ceramic Adsorbent. Solvent Extr. Ion Exch. 2003, 21, 899–913. [Google Scholar] [CrossRef]
- Quirarte-Escalante, C.A.; Soto, V.; De La Cruz, W.; Porras, G.R.; Manríquez, R.; Gomez-Salazar, S. Synthesis of hybrid adsorbents combining sol–gel processing and molecular imprinting applied to lead removal from aqueous streams. Chem. Mater. 2009, 21, 1439–1450. [Google Scholar] [CrossRef]
- Gedat, E.; Schreiber, A.; Findenegg, G.H.; Shenderovich, I.; Limbach, H.-H.; Buntkowsky, G. Stray Field Gradient NMR Reveals Effects of Hydrogen Bonding on Diffusion Coefficients of Pyridine in Mesoporous Silica. Magn. Reson. Chem. 2001, 39, S149–S157. [Google Scholar] [CrossRef]
- Lesnichin, S.B.; Tolstoy, P.M.; Limbach, H.-H.; Shenderovich, I.G. Counteranion-Dependent Mechanisms of Intramolecular Proton Transfer in Aprotic Solution. Phys. Chem. Chem. Phys. 2010, 12, 10373–10379. [Google Scholar] [CrossRef]
- Verma, P.; Kuwahara, Y.; Mori, K.; Raja, R.; Yamashita, H. Functionalized mesoporous SBA-15 silica: Recent trends and catalytic applications. Nanoscale 2020, 12, 11333–11363. [Google Scholar] [CrossRef] [PubMed]
- Xu, S.; Ning, S.; Wang, Y.; Wang, X.; Dong, H.; Chen, L.; Yin, X.; Fujita, T.; Wei, Y. Precise separation and efficient enrichment of palladium from wastewater by amino-functionalized silica adsorbent. J. Clean. Prod. 2023, 396, 136479. [Google Scholar] [CrossRef]
- Lofgreen, J.E.; Ozin, G.A. Controlling morphology and porosity to improve performance of molecularly imprinted sol–gel silica. Chem. Soc. Rev. 2014, 43, 911–933. [Google Scholar] [CrossRef] [PubMed]
- Lima, E.C.; Hosseini-Bandegharaei, A.; Moreno-Piraján, J.C.; Anastopoulos, I. A critical review of the estimation of the thermodynamic parameters on adsorption equilibria. Wrong use of equilibrium constant in the Vant Hoof equation for calculation of thermodynamic parameters of adsorption. J. Mol. Liq. 2019, 273, 425–434. [Google Scholar] [CrossRef]
- Chingono, K.E.; Sanganyado, E.; Berea, E.; Yalala, B. Adsorption of sugarcane vinasse effluent on bagasse fly ash: A parametric and kinetic study. J. Environ. Manag. 2018, 224, 182–190. [Google Scholar] [CrossRef] [PubMed]
- Lima, E.C.; Gomes, A.A.; Tran, H.N. Comparison of the nonlinear and linear forms of the van’t Hoff equation for calculation of adsorption thermodynamic parameters (ΔS° and ΔH°). J. Mol. Liq. 2020, 311, 113315. [Google Scholar] [CrossRef]
- de Aquino Lima, F.; dos Santos Júnior, A.C.; Sarrouh, B.; Zanetti Lofrano, R.C. Application of sugarcane bagasse and peanut shell in natura as bioadsorbents for vinasse treatment. Clean Technol. Environ. Policy 2024, 26, 401–416. [Google Scholar] [CrossRef]
- Du, X.; Cheng, Y.; Liu, Z.; Yin, H.; Wu, T.; Huo, L.; Shu, C. CO2 and CH4 adsorption on different rank coals: A thermodynamics study of surface potential, Gibbs free energy change and entropy loss. Fuel 2021, 283, 118886. [Google Scholar] [CrossRef]
- Thommes, M.; Kaneko, K.; Neimark, A.V.; Olivier, J.P.; Rodriguez-Reinoso, F.; Rouquerol, J.; Sing, K.S.W. Physisorption of gases, with special reference to the evaluation of surface area and pore size distribution (IUPAC Technical Report). Pure Appl. Chem. 2015, 87, 1051–1069. [Google Scholar] [CrossRef]
- Monson, P.A. Understanding adsorption/desorption hysteresis for fluids in mesoporous materials using simple molecular models and classical density functional theory. Microporous Mesoporous Mater. 2012, 160, 47–66. [Google Scholar] [CrossRef]
- Sato, S.; Murakata, T.; Suzuki, T.; Ohgawara, T. Control of pore size distribution of silica gel through sol-gel process using water soluble polymers as additives. J. Mater. Sci. 1990, 25, 4880–4885. [Google Scholar] [CrossRef]
- Almaghrabi, M.; Alqurshi, A.; Jadhav, S.A.; Mazzacuva, F.; Cilibrizzi, A.; Raimi-Abraham, B.; Royall, P.G. Evaluating thermogravimetric analysis for the measurement of drug loading in mesoporous silica nanoparticles (MSNs). Thermochim. Acta 2023, 730, 179616. [Google Scholar] [CrossRef]
- Wu, J.; Ling, L.; Xie, J.; Ma, G.; Wang, B. Surface modification of nanosilica with 3-mercaptopropyl trimethoxysilane: Experimental and theoretical study on the surface interaction. Chem. Phys. Lett. 2014, 591, 227–232. [Google Scholar] [CrossRef]
- Díaz, I.; Márquez-Alvarez, C.; Mohino, F.; Pérez-Pariente, J.; Sastre, E. A novel synthesis route of well ordered, sulfur bearing MCM-41 catalysts involving mixtures of neutral and cationic surfactants. Microporous Mesoporous Mater. 2001, 44, 295–302. [Google Scholar] [CrossRef]
- Lee, J.S.; Gomez-Salazar, S.; Tavlarides, L.L. Synthesis of thiol functionalized organo–ceramic adsorbent by sol–gel technology. React. Funct. Polym. 2001, 49, 159–172. [Google Scholar] [CrossRef]
- Gomez-Salazar, S.; Lee, J.S.; Heydweiller, J.C.; Tavlarides, L.L. Analysis of Cadmium Adsorption on Novel Organo-Ceramic Adsorbents with a Thiol Functionality. Ind. Eng. Chem. Res. 2003, 42, 3403–3412. [Google Scholar] [CrossRef]
- Gomez-Gonzalez, S.E.; Carbajal-Arizaga, G.G.; Manriquez-Gonzalez, R.; De la Cruz-Hernandez, W.; Gomez-Salazar, S. Trivalent chromium removal from aqueous solutions by a sol–gel synthesized silica adsorbent functionalized with sulphonic acid groups. Mater. Res. Bull. 2014, 59, 394–404. [Google Scholar] [CrossRef]
- Franco-León, J.J.; Arriola-Guevara, E.; Suárez-Hernández, L.A.; Toriz, G.; Guatemala-Morales, G.; Corona-González, R.I. Influence of supplemented nutrients in tequila vinasses for hydrogen and polyhydroxybutyrate production by photofermentation with Rhodopseudomonas pseudopalustris. Bioresour. Technol. 2021, 329, 124865. [Google Scholar] [CrossRef] [PubMed]
- Shenderovich, I.G.; Limbach, H.-H. Solid State NMR for Nonexperts: An Overview of Simple but General Practical Methods. Solids 2021, 2, 139–154. [Google Scholar] [CrossRef]
- Akcakayiran, D.; Mauder, D.; Hess, C.; Sievers, T.K.; Kurth, D.G.; Shenderovich, I.; Limbach, H.-H.; Findenegg, G.H. Carboxylic Acid-Doped SBA-15 Silica as a Host for Metallo-supramolecular Coordination Polymers. J. Phys. Chem. B 2008, 112, 14637–14647. [Google Scholar] [CrossRef]
- Shenderovich, I.G.; Mauder, D.; Akcakayiran, D.; Buntkowsky, G.; Limbach, H.-H.; Findenegg, G.H. NMR Provides Checklist of Generic Properties for Atomic-Scale Models of Periodic Mesoporous Silicas. J. Phys. Chem. B 2007, 111, 12088–12096. [Google Scholar] [CrossRef]
- Gutierrez-Ortega, J.A.; Gomez-Salazar, S.; Shenderovich, I.G.; Manríquez-Gonzalez, R. Efficiency and lead uptake mechanism of a phosphonate functionalized mesoporous silica through P/Pb association ratio. Mater. Chem. Phys. 2020, 239, 122037. [Google Scholar] [CrossRef]
- Chen, H.; Wang, A. Adsorption characteristics of Cu(II) from aqueous solution onto poly(acrylamide)/attapulgite composite. J. Hazard. Mater. 2009, 165, 223–231. [Google Scholar] [CrossRef] [PubMed]
- Ho, Y.S.; McKay, G. A Comparison of Chemisorption Kinetic Models Applied to Pollutant Removal on Various Sorbents. Process Saf. Environ. Prot. 1998, 76, 332–340. [Google Scholar] [CrossRef]
- Weber, W.J.; Morris, J.C. Kinetics of Adsorption on Carbon from Solution. J. Sanit. Eng. Div. 1963, 89, 31–59. [Google Scholar] [CrossRef]
- Foo, K.Y.; Hameed, B.H. Insights into the modeling of adsorption isotherm systems. Chem. Eng. J. 2010, 156, 2–10. [Google Scholar] [CrossRef]










| Adsorbent | Molar Ratios | TEOS Hydrolysis Time, Min | TEOS/MPTS Co-Condensation Time, Min | Mixture pH | SBET, m2 g−1 | Avg. Pore Diameter Dp, Å | qmax a, mmol g−1 | ||||||||
|---|---|---|---|---|---|---|---|---|---|---|---|---|---|---|---|
| TEOS Mixture | MPTS Mixture | TEA | |||||||||||||
| TEOS | NaCl | EtOH | H2O | MPTS | NaCl | EtOH | H2O | ||||||||
| Ma000 | 1 | 0.009 | 4 | 4 | 0 | 0 | 0 | 0 | 0.09 | 30 | 30 | 3.0 | 88.0 | 203.07 | − |
| MaMPT001 | 1 | 0.009 | 4 | 4 | 0.25 | 0 | 3 | 1 | 0.12 | 30 | 30 | 3.0 | 278.27 | 56.69 | − |
| MaMPT002 | 1 | 0.009 | 4 | 4 | 0.25 | 0.009 | 3 | 1 | 0.12 | 30 | 30 | 3.0 | 432.68 | 47.19 | 1.01 |
| MaMPT003 | 1 | 0.009 | 4 | 4 | 0.5 | 0 | 3 | 1 | 0.12 | 30 | 30 | 3.0 | 238.12 | 39.29 | − |
| MaMPT004 | 1 | 0.009 | 4 | 4 | 0.5 | 0.009 | 3 | 1 | 0.12 | 30 | 30 | 3.0 | 311.18 | 34.10 | − |
| MaMPT005 | 1 | 0.009 | 4 | 4 | 1 | 0 | 3 | 1 | 0.12 | 30 | 30 | 3.0 | 6.44 | 211.30 | − |
| MaMPT006 | 1 | 0.009 | 4 | 4 | 1.5 | 0 | 3 | 1 | 0.12 | 30 | 30 | 3.0 | 4.58 | 104.10 | − |
| Parameters/Model | Initial Concentration of Tequila Vinasses Compounds, g mL−1 | ||
| 0.0275 | 0.0137 | 0.0052 | |
| qmax exp (g g−1) | 0.79 | 0.47 | 0.17 |
| Pseudo-first order | |||
| qmax calc (g g−1) | 0.61 ± 0.04 | 0.51 ± 0.02 | 0.19 ± 0.02 |
| k1 (min−1) | 0.2 ± 0.1 | 0.14 ± 0.03 | 0.016 ± 0.003 |
| R2 | 0.6474 | 0.9004 | 0.9527 |
| Pseudo-second order | |||
| qe calc (g g−1) | 0.68 ± 0.06 | 0.53 ± 0.03 | 0.27 ± 0.04 |
| k2 (g g−1 min−1) | 0.3 ± 0.2 | 0.5 ± 0.3 | 0.05 ± 0.02 |
| R2 | 0.7447 | 0.8587 | 0.9429 |
| Intraparticle diffusion | |||
| KIPD (g g−1) × min−1/2) | 0.18 ± 0.03 | 0.14 ± 0.03 | 0.01 ± 0.01 |
| C (g g−1) | 0.08 ± 0.07 | 0.10 ± 0.08 | −0.06 ± 0.03 |
| R2 | 0.8401 | 0.6476 | 0.7981 |
| Parameters/Model | Initial pH of Tequila Vinasses Solution | ||
| 3.0 | 3.55 | 4.0 | |
| qmax exp (g g−1) | 0.78 | 0.80 | 0.77 |
| Langmuir | |||
| qmax calc (g g−1) | 0.99 ± 0.05 | 1.3 ± 0.2 | 1.2 ± 0.3 |
| k1 (min−1) | 147 ± 20 | 70 ± 25 | 95± 46.5 |
| R2 | 0.9740 | 0.9285 | 0.8430 |
| Freundlich | |||
| kF (Ln mg−n) | 3.2 ± 0.7 | 6.5 ± 2.9 | 5.5 ± 3.0 |
| n | 2.7 ± 0.3 | 1.8 ± 0.3 | 2.0 ± 0.5 |
| R2 | 0.9306 | 0.8808 | 0.7744 |
| Temkin | |||
| AT | 1302 ± 297 | 557 ± 110 | 667 ± 229 |
| bt (J mol−1) | 10948 ± 947 | 7834 ± 840 | 8307 ± 1534 |
| R2 | 0.9642 | 0.9461 | 0.8556 |
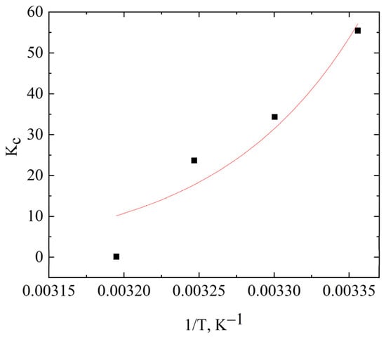
| T (K) | Kc (mL g−1) | Kc | ΔS° (kJ/mol) | ΔH° (kJ/mol) | ΔG° (kJ/mol) |
|---|---|---|---|---|---|
| − | − | − | −0.266 | −89.18 | − |
| 298 | 121.64 | 55.48 | − | − | −10.02 |
| 303 | 75.27 | 34.33 | − | − | −8.69 |
| 308 | 51.94 | 23.69 | − | − | −7.36 |
| 313 | 0.35 | 0.16 | − | − | −6.04 |
| The Final Product Ion, m/z | Abundance |
|---|---|
| 227.1 | 92341 |
| 165.1 | 13044 |
| 121.1 | 27677 |
| 57.2 | 18350 |
Disclaimer/Publisher’s Note: The statements, opinions and data contained in all publications are solely those of the individual author(s) and contributor(s) and not of MDPI and/or the editor(s). MDPI and/or the editor(s) disclaim responsibility for any injury to people or property resulting from any ideas, methods, instructions or products referred to in the content. |
© 2024 by the authors. Licensee MDPI, Basel, Switzerland. This article is an open access article distributed under the terms and conditions of the Creative Commons Attribution (CC BY) license (https://creativecommons.org/licenses/by/4.0/).
Share and Cite
Gonzalez-Valerio, C.; Peregrina-Lucano, A.A.; Manríquez-González, R.; Pérez-Fonseca, A.A.; Robledo-Ortíz, J.R.; Shenderovich, I.G.; Gómez-Salazar, S. Color Compounds Removal from Tequila Vinasses Using Silica Gel Adsorbents Functionalized with Thiol Moieties: Equilibrium and Kinetics Studies. Molecules 2024, 29, 5910. https://doi.org/10.3390/molecules29245910
Gonzalez-Valerio C, Peregrina-Lucano AA, Manríquez-González R, Pérez-Fonseca AA, Robledo-Ortíz JR, Shenderovich IG, Gómez-Salazar S. Color Compounds Removal from Tequila Vinasses Using Silica Gel Adsorbents Functionalized with Thiol Moieties: Equilibrium and Kinetics Studies. Molecules. 2024; 29(24):5910. https://doi.org/10.3390/molecules29245910
Chicago/Turabian StyleGonzalez-Valerio, Carlos, Alejandro A. Peregrina-Lucano, Ricardo Manríquez-González, Aida A. Pérez-Fonseca, Jorge R. Robledo-Ortíz, Ilya G. Shenderovich, and Sergio Gómez-Salazar. 2024. "Color Compounds Removal from Tequila Vinasses Using Silica Gel Adsorbents Functionalized with Thiol Moieties: Equilibrium and Kinetics Studies" Molecules 29, no. 24: 5910. https://doi.org/10.3390/molecules29245910
APA StyleGonzalez-Valerio, C., Peregrina-Lucano, A. A., Manríquez-González, R., Pérez-Fonseca, A. A., Robledo-Ortíz, J. R., Shenderovich, I. G., & Gómez-Salazar, S. (2024). Color Compounds Removal from Tequila Vinasses Using Silica Gel Adsorbents Functionalized with Thiol Moieties: Equilibrium and Kinetics Studies. Molecules, 29(24), 5910. https://doi.org/10.3390/molecules29245910

