Synthesis and Structure–Activity Relationship (SAR) Studies on New 4-Aminoquinoline-Hydrazones and Isatin Hybrids as Promising Antibacterial Agents
Abstract
1. Introduction
2. Results
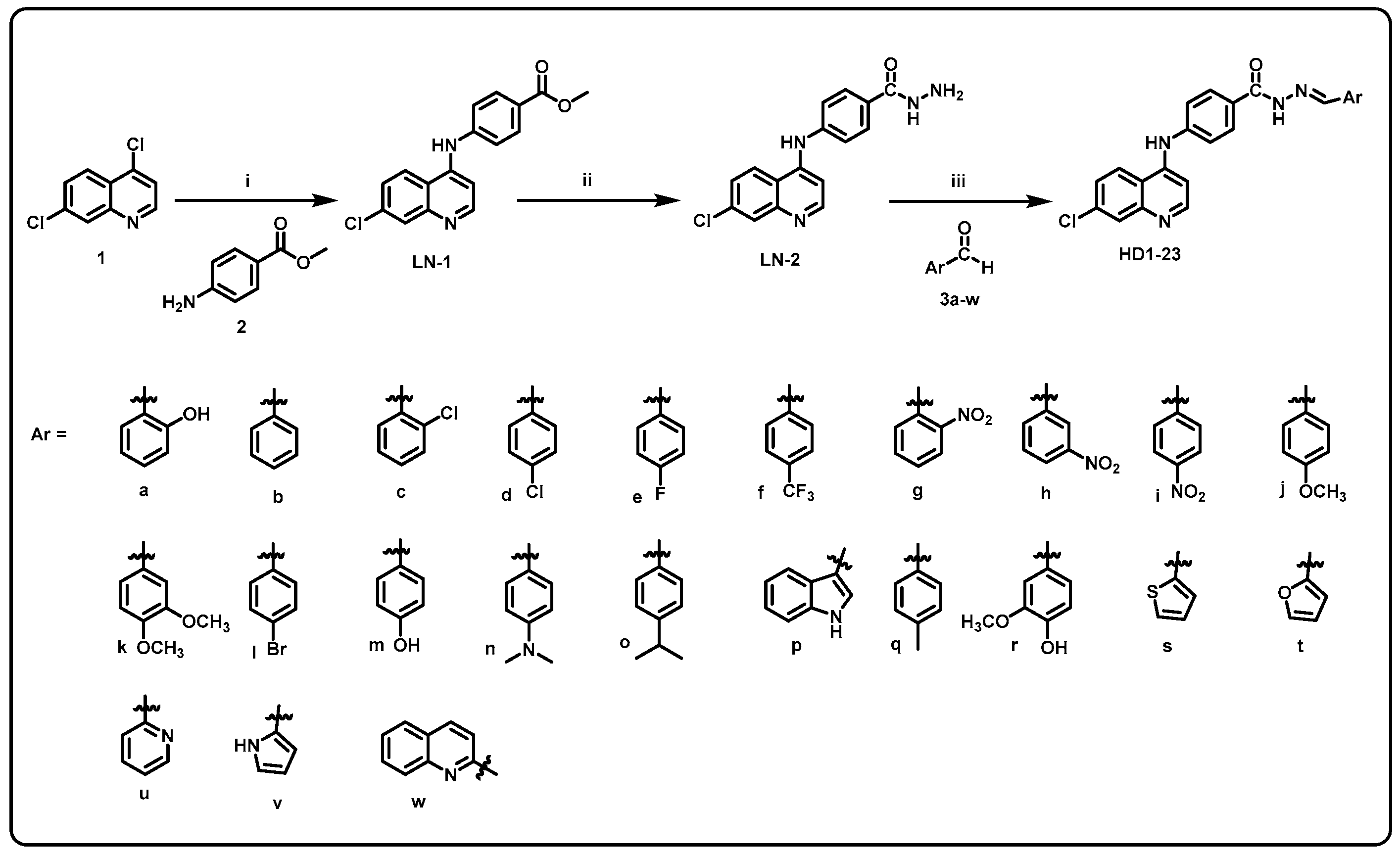
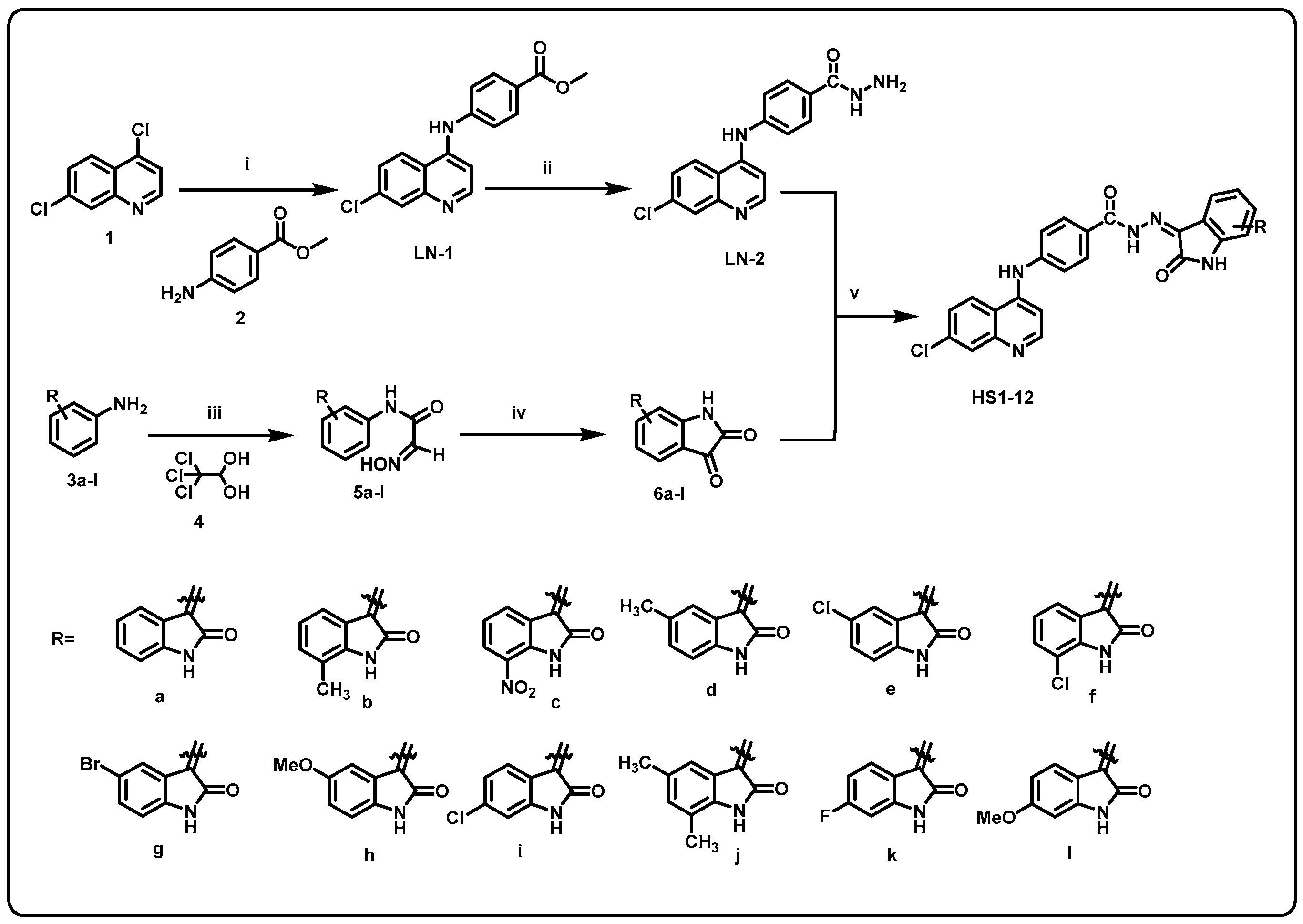
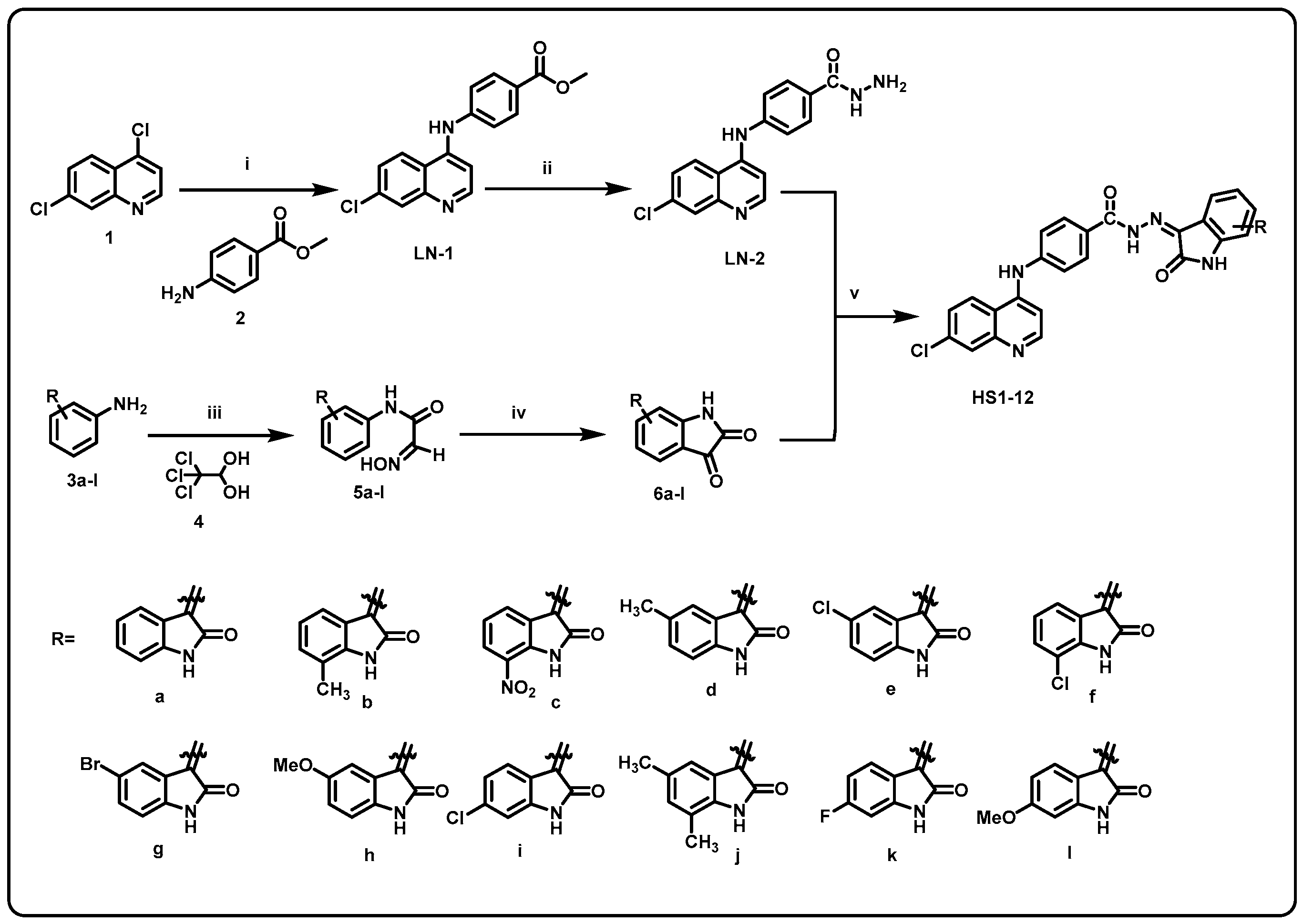
2.1. Chemistry
2.2. Pharmacological Evaluation
2.2.1. Drug-Likeliness Assessment
2.2.2. In Vitro Screening
2.2.3. Minimum Inhibitory Concentration (MIC)
2.2.4. Minimum Bactericidal Concentration (MBC)
2.2.5. Disc Diffusion Assay
2.2.6. Combination Study
2.2.7. Hemolytic Assay
2.2.8. Zone of Inhibition on Environmental Resistant Strains
3. Molecular Docking and Simulation Studies
3.1. Analysis of Molecular Docking and BFE Calculations
3.2. Molecular Dynamic Simulation
3.3. Molecular Dynamics-Based Investigation of Interactions
4. Discussion
5. Materials and Methods
5.1. Chemistry
5.1.1. General Procedure for the Synthesis of Methyl 4-((7-Chloroquinolin-4-yl)amino)benzoate (LN-1)
5.1.2. General Procedure of 4-((7-Chloroquinolin-4-yl)amino)benzohydrazide (LN-2)
5.1.3. General Procedure of Compounds (HD1-23)























5.1.4. Synthesis of Substituted Isonitrosoacetanilides (5a–l)
5.1.5. Synthesis of Substituted Isatin (6a–l)
5.1.6. Synthesis of CQ-Isatin Hydrazone Hybrids (HS1-12)












5.2. Biological Evaluation
5.2.1. Culture Preparation and Maintenance
5.2.2. In Vitro Screening of Compounds
5.2.3. Minimum Inhibitory Concentration (MIC)
5.2.4. Minimum Bactericidal Concentration (MBC)
5.2.5. Disc Diffusion Assay
5.2.6. Fractional Inhibitory Concentration Index (FICI)
5.2.7. Hemolytic Assay
5.2.8. Zone of Inhibition of Environmental Resistant Strains
5.3. Selection of Target Protein and Preparation of Protein Target Structure
5.3.1. Protein Preparation
5.3.2. Ligand Preparation
5.3.3. Validation of Binding Site
5.3.4. Grid Box Generation
5.3.5. Glide Ligand Docking
5.3.6. Calculation of Binding Free Energy Using Prime/MM-GBSA Approach
5.3.7. Molecular Dynamics Simulation
6. Conclusions
Supplementary Materials
Author Contributions
Funding
Informed Consent Statement
Data Availability Statement
Conflicts of Interest
References
- Muteeb, G.; Rehman, M.T.; Shahwan, M.; Aatif, M. Origin of Antibiotics and Antibiotic Resistance, and Their Impacts on Drug Development: A Narrative Review. Pharmaceuticals 2023, 16, 1615. [Google Scholar] [CrossRef]
- Rayan, R.A. Flare of the Silent Pandemic in the Era of the COVID-19 Pandemic: Obstacles and Opportunities. World J. Clin. Cases 2023, 11, 1267–1274. [Google Scholar] [CrossRef]
- Ahmed, S.K.; Hussein, S.; Qurbani, K.; Ibrahim, R.H.; Fareeq, A.; Mahmood, K.A.; Mohamed, M.G. Antimicrobial Resistance: Impacts, Challenges, and Future Prospects. J. Med. Surg. Public Health 2024, 2, 100081. [Google Scholar] [CrossRef]
- Tang, K.W.K.; Millar, B.C.; Moore, J.E. Antimicrobial Resistance (AMR). Br. J. Biomed. Sci. 2023, 80, 11387. [Google Scholar] [CrossRef]
- Jansen, K.U.; Gruber, W.C.; Simon, R.; Wassil, J.; Anderson, A.S. The Impact of Human Vaccines on Bacterial Antimicrobial Resistance. A Review. Environ. Chem. Lett. 2021, 19, 4031–4062. [Google Scholar] [CrossRef]
- Murray, C.J.L.; Ikuta, K.S.; Sharara, F.; Swetschinski, L.; Aguilar, G.R.; Gray, A.; Han, C.; Bisignano, C.; Rao, P.; Wool, E.; et al. Global Burden of Bacterial Antimicrobial Resistance in 2019: A Systematic Analysis. Lancet 2022, 399, 629–655. [Google Scholar] [CrossRef]
- Bhardwaj, K.; Shenoy, M.S.; Baliga, S.; Unnikrishnan, B.; Baliga, B.S. Knowledge, Attitude, and Practices Related to Antibiotic Use and Resistance among the General Public of Coastal South Karnataka, India—A Cross-Sectional Survey. Clin. Epidemiol. Glob. Health 2021, 11, 100717. [Google Scholar] [CrossRef]
- Arbune, M.; Gurau, G.; Niculet, E.; Iancu, A.V.; Lupasteanu, G.; Fotea, S.; Vasile, M.C.; Tatu, A.L. Prevalence of Antibiotic Resistance of ESKAPE Pathogens Over Five Years in an Infectious Diseases Hospital from South-East of Romania. Infect. Drug Resist. 2021, 14, 2369–2378. [Google Scholar] [CrossRef]
- Dhanda, G.; Acharya, Y.; Haldar, J. Antibiotic Adjuvants: A Versatile Approach to Combat Antibiotic Resistance. ACS Omega 2023, 8, 10757–10783. [Google Scholar] [CrossRef]
- Karthikeyan, S.; Grishina, M.; Kandasamy, S.; Mangaiyarkarasi, R.; Ramamoorthi, A.; Chinnathambi, S.; Pandian, G.N.; John Kennedy, L. A Review on Medicinally Important Heterocyclic Compounds and Importance of Biophysical Approach of Underlying the Insight Mechanism in Biological Environment. J. Biomol. Struct. Dyn. 2023, 41, 14599–14619. [Google Scholar] [CrossRef]
- Jampilek, J. Heterocycles in Medicinal Chemistry. Molecules 2019, 24, 3839. [Google Scholar] [CrossRef]
- Rusu, A.; Moga, I.-M.; Uncu, L.; Hancu, G. The Role of Five-Membered Heterocycles in the Molecular Structure of Antibacterial Drugs Used in Therapy. Pharmaceutics 2023, 15, 2554. [Google Scholar] [CrossRef]
- Kabir, E.; Uzzaman, M. A Review on Biological and Medicinal Impact of Heterocyclic Compounds. Results Chem. 2022, 4, 100606. [Google Scholar] [CrossRef]
- Shehab, W.S.; Amer, M.M.K.; Elsayed, D.A.; Yadav, K.K.; Abdellattif, M.H. Current Progress toward Synthetic Routes and Medicinal Significance of Quinoline. Med. Chem. Res. 2023, 32, 2443–2457. [Google Scholar] [CrossRef]
- Verma, S.; Pandey, S.; Agarwal, P.; Verma, P.; Deshpande, S.; Saxena, J.K.; Srivastava, K.; Chauhan, P.M.S.; Prabhakar, Y.S. N-(7-Chloroquinolinyl-4-Aminoalkyl)Arylsulfonamides as Antimalarial Agents: Rationale for the Activity with Reference to Inhibition of Hemozoin Formation. RSC Adv. 2016, 6, 25584–25593. [Google Scholar] [CrossRef]
- Sridhar, P.; Alagumuthu, M.; Arumugam, S.; Reddy, S.R. Synthesis of Quinoline Acetohydrazide-Hydrazone Derivatives Evaluated as DNA Gyrase Inhibitors and Potent Antimicrobial Agents. RSC Adv. 2016, 6, 64460–64468. [Google Scholar] [CrossRef]
- Fu, H.-G.; Li, Z.-W.; Hu, X.-X.; Si, S.-Y.; You, X.-F.; Tang, S.; Wang, Y.-X.; Song, D.-Q. Synthesis and Biological Evaluation of Quinoline Derivatives as a Novel Class of Broad-Spectrum Antibacterial Agents. Molecules 2019, 24, 548. [Google Scholar] [CrossRef]
- Abdelrahman, M.A.; Salama, I.; Gomaa, M.S.; Elaasser, M.M.; Abdel-Aziz, M.M.; Soliman, D.H. Design, Synthesis and 2D QSAR Study of Novel Pyridine and Quinolone Hydrazone Derivatives as Potential Antimicrobial and Antitubercular Agents. Eur. J. Med. Chem. 2017, 138, 698–714. [Google Scholar] [CrossRef]
- Popiołek, Ł. Updated Information on Antimicrobial Activity of Hydrazide-Hydrazones. Int. J. Mol. Sci. 2021, 22, 9389. [Google Scholar] [CrossRef]
- Tseng, C.-H.; Tung, C.-W.; Wu, C.-H.; Tzeng, C.-C.; Chen, Y.-H.; Hwang, T.-L.; Chen, Y.-L. Discovery of Indeno [1,2-c] Quinoline Derivatives as Potent Dual Antituberculosis and Anti-Inflammatory Agents. Molecules 2017, 22, 1001. [Google Scholar] [CrossRef]
- Kubica, K.; Taciak, P.; Czajkowska, A.; Sztokfisz-Ignasiak, A.; Wyrebiak, R.; Podsadni, P.; Mlynarczuk-Bialy, I.; Malejczyk, J.; Mazurek, A. Synthesis and Anticancer Activity Evaluation of Some New Derivatives of 2-(4-Benzoyl-1-Piperazinyl)-Quinoline and 2-(4-Cinnamoyl-1-Piperazinyl)-Quinoline. Acta Pol. Pharm. Drug Res. 2018, 75, 891–901. [Google Scholar] [CrossRef]
- Li, H.-T.; Zhu, X. Quinoline-Based Compounds with Potential Activity against Drugresistant Cancers. Curr. Top. Med. Chem. 2021, 21, 426–437. [Google Scholar] [CrossRef]
- Witzig, T.; Sokol, L.; Kim, W.S.; de la Cruz Vicente, F.; Martín García-Sancho, A.; Advani, R.; Roncero Vidal, J.M.; de Oña Navarrete, R.; Marín-Niebla, A.; Rodriguez Izquierdo, A.; et al. Phase 2 Trial of the Farnesyltransferase Inhibitor Tipifarnib for Relapsed/Refractory Peripheral T-Cell Lymphoma. Blood Adv. 2024, 8, 4581–4592. [Google Scholar] [CrossRef]
- Thomas, X.; Elhamri, M. Tipifarnib in the Treatment of Acute Myeloid Leukemia. Biologics 2007, 1, 415–424. [Google Scholar]
- Luo, M.; Zhou, W.; Patel, H.; Srivastava, A.P.; Symersky, J.; Bonar, M.M.; Faraldo-Gómez, J.D.; Liao, M.; Mueller, D.M. Bedaquiline Inhibits the Yeast and Human Mitochondrial ATP Synthases. Commun. Biol. 2020, 3, 452. [Google Scholar] [CrossRef]
- Lakshmanan, M.; Xavier, A.S. Bedaquiline—The First ATP Synthase Inhibitor against Multi Drug Resistant Tuberculosis. J. Young Pharm. 2013, 5, 112–115. [Google Scholar] [CrossRef]
- Pereira, M.; Vale, N. Saquinavir: From HIV to COVID-19 and Cancer Treatment. Biomolecules 2022, 12, 944. [Google Scholar] [CrossRef]
- Bansal, A.B.; Cassagnol, M. HMG-CoA Reductase Inhibitors. In StatPearls; StatPearls Publishing: Treasure Island, FL, USA, 2024. [Google Scholar]
- Baker, W.L.; Datta, R. Pitavastatin: A New 3-Hydroxy-3-Methylglutaryl Coenzyme a Reductase Inhibitor for the Treatment of Hyperlipidemia. Adv. Ther. 2011, 28, 13–27. [Google Scholar] [CrossRef]
- Khan, T.; Sankhe, K.; Suvarna, V.; Sherje, A.; Patel, K.; Dravyakar, B. DNA Gyrase Inhibitors: Progress and Synthesis of Potent Compounds as Antibacterial Agents. Biomed. Pharmacother. 2018, 103, 923–938. [Google Scholar] [CrossRef]
- Hooper, D.C. Mechanisms of Action of Antimicrobials: Focus on Fluoroquinolones. Clin. Infect. Dis. 2001, 32 (Suppl. 1), S9–S15. [Google Scholar] [CrossRef]
- Zakiah, M.; Syarif, R.A.; Mustofa, M.; Jumina, J.; Fatmasari, N.; Sholikhah, E.N. In Vitro Antiplasmodial, Heme Polymerization, and Cytotoxicity of Hydroxyxanthone Derivatives. J. Trop. Med. 2021, 2021, 8866681. [Google Scholar] [CrossRef] [PubMed]
- Millanao, A.R.; Mora, A.Y.; Villagra, N.A.; Bucarey, S.A.; Hidalgo, A.A. Biological Effects of Quinolones: A Family of Broad-Spectrum Antimicrobial Agents. Molecules 2021, 26, 7153. [Google Scholar] [CrossRef] [PubMed]
- Verma, S.; Lal, S.; Narang, R.; Sudhakar, K. Quinoline Hydrazide/Hydrazone Derivatives: Recent Insights on Antibacterial Activity and Mechanism of Action. ChemMedChem 2023, 18, e202200571. [Google Scholar] [CrossRef] [PubMed]
- Varun; Sonam; Kakkar, R. Isatin and Its Derivatives: A Survey of Recent Syntheses, Reactions, and Applications. MedChemComm 2019, 10, 351–368. [Google Scholar] [CrossRef]
- Medvedev, A.; Igosheva, N.; Crumeyrolle-Arias, M.; Glover, V. Isatin: Role in Stress and Anxiety. Stress 2005, 8, 175–183. [Google Scholar] [CrossRef]
- Sharma, P.K.; Balwani, S.; Mathur, D.; Malhotra, S.; Singh, B.K.; Prasad, A.K.; Len, C.; Van der Eycken, E.V.; Ghosh, B.; Richards, N.G.J.; et al. Synthesis and Anti-Inflammatory Activity Evaluation of Novel Triazolyl-Isatin Hybrids. J. Enzym. Inhib. Med. Chem. 2016, 31, 1520–1526. [Google Scholar] [CrossRef]
- Chiyanzu, I.; Clarkson, C.; Smith, P.J.; Lehman, J.; Gut, J.; Rosenthal, P.J.; Chibale, K. Design, Synthesis and Anti-Plasmodial Evaluation in Vitro of New 4-Aminoquinoline Isatin Derivatives. Bioorg. Med. Chem. 2005, 13, 3249–3261. [Google Scholar] [CrossRef]
- Andreani, A.; Burnelli, S.; Granaiola, M.; Leoni, A.; Locatelli, A.; Morigi, R.; Rambaldi, M.; Varoli, L.; Cremonini, M.A.; Placucci, G.; et al. New Isatin Derivatives with Antioxidant Activity. Eur. J. Med. Chem. 2010, 45, 1374–1378. [Google Scholar] [CrossRef]
- Guo, H. Isatin Derivatives and Their Anti-Bacterial Activities. Eur. J. Med. Chem. 2019, 164, 678–688. [Google Scholar] [CrossRef]
- Cheke, R.S.; Patil, V.M.; Firke, S.D.; Ambhore, J.P.; Ansari, I.A.; Patel, H.M.; Shinde, S.D.; Pasupuleti, V.R.; Hassan, M.I.; Adnan, M.; et al. Therapeutic Outcomes of Isatin and Its Derivatives against Multiple Diseases: Recent Developments in Drug Discovery. Pharmaceuticals 2022, 15, 272. [Google Scholar] [CrossRef]
- Kavalapure, R.S.; Alegaon, S.G.; Venkatasubramanian, U.; Priya, A.S.; Ranade, S.D.; Khanal, P.; Mishra, S.; Patil, D.; Salve, P.S.; Jalalpure, S.S. Design, Synthesis, and Molecular Docking Study of Some 2-((7-Chloroquinolin-4-Yl) Amino) Benzohydrazide Schiff Bases as Potential Eg5 Inhibitory Agents. Bioorg. Chem. 2021, 116, 105381. [Google Scholar] [CrossRef] [PubMed]
- Salve, P.S.; Alegaon, S.G.; Sriram, D. Three-Component, One-Pot Synthesis of Anthranilamide Schiff Bases Bearing 4-Aminoquinoline Moiety as Mycobacterium Tuberculosis Gyrase Inhibitors. Bioorg. Med. Chem. Lett. 2017, 27, 1859–1866. [Google Scholar] [CrossRef] [PubMed]
- Khaleel, E.F.; Sabt, A.; Korycka-Machala, M.; Badi, R.M.; Son, N.T.; Ha, N.X.; Hamissa, M.F.; Elsawi, A.E.; Elkaeed, E.B.; Dziadek, B.; et al. Identification of New Anti-Mycobacterial Agents Based on Quinoline-Isatin Hybrids Targeting Enoyl Acyl Carrier Protein Reductase (InhA). Bioorg. Chem. 2024, 144, 107138. [Google Scholar] [CrossRef] [PubMed]
- Nisha; Gut, J.; Rosenthal, P.J.; Kumar, V. β-Amino-Alcohol Tethered 4-Aminoquinoline-Isatin Conjugates: Synthesis and Antimalarial Evaluation. Eur. J. Med. Chem. 2014, 84, 566–573. [Google Scholar] [CrossRef]
- Sharma, M.; Chaturvedi, V.; Manju, Y.K.; Bhatnagar, S.; Srivastava, K.; Puri, S.K.; Chauhan, P.M.S. Substituted Quinolinyl Chalcones and Quinolinyl Pyrimidines as a New Class of Anti-Infective Agents. Eur. J. Med. Chem. 2009, 44, 2081–2091. [Google Scholar] [CrossRef]
- Perković, I.; Poljak, T.; Savijoki, K.; Varmanen, P.; Maravić-Vlahoviček, G.; Beus, M.; Kučević, A.; Džajić, I.; Rajić, Z. Synthesis and Biological Evaluation of New Quinoline and Anthranilic Acid Derivatives as Potential Quorum Sensing Inhibitors. Molecules 2023, 28, 5866. [Google Scholar] [CrossRef]
- Ranade, S.D.; Alegaon, S.G.; Venkatasubramanian, U.; Soundarya Priya, A.; Kavalapure, R.S.; Chand, J.; Jalalpure, S.S.; Vinod, D. Design, Synthesis, Molecular Dynamics Simulation, MM/GBSA Studies and Kinesin Spindle Protein Inhibitory Evaluation of Some 4-Aminoquinoline Hybrids. Comput. Biol. Chem. 2023, 105, 107881. [Google Scholar] [CrossRef]
- Jiang, Z.; You, L.; Dou, W.; Sun, T.; Xu, P. Effects of an Electric Field on the Conformational Transition of the Protein: A Molecular Dynamics Simulation Study. Polymers 2019, 11, 282. [Google Scholar] [CrossRef]
- Ali, S.; Hassan, M.; Islam, A.; Ahmad, F. A Review of Methods Available to Estimate Solvent-Accessible Surface Areas of Soluble Proteins in the Folded and Unfolded States. Curr. Protein Pept. Sci. 2014, 15, 456–476. [Google Scholar] [CrossRef]
- Motiwala, H.F.; Kumar, R.; Chakraborti, A.K. Microwave-Accelerated Solvent-and Catalyst-Free Synthesis of 4-Aminoaryl/Alkyl-7-chloroquinolines and 2-Aminoaryl/Alkylbenzothiazoles. ChemInform 2007, 38, 369–374. [Google Scholar] [CrossRef]
- Irfan, I.; Ali, A.; Reddi, B.; Khan, M.A.; Hasan, P.; Ahmed, S.; Uddin, A.; Piatek, M.; Kavanagh, K.; Haque, Q.M.R.; et al. Design, Synthesis and Mechanistic Studies of Novel Isatin-Pyrazole Hydrazone Conjugates as Selective and Potent Bacterial MetAP Inhibitors. Antibiotics 2022, 11, 1126. [Google Scholar] [CrossRef] [PubMed]
- Aneja, B.; Khan, N.S.; Khan, P.; Queen, A.; Hussain, A.; Rehman, M.T.; Alajmi, M.F.; El-Seedi, H.R.; Ali, S.; Hassan, M.I.; et al. Design and Development of Isatin-Triazole Hydrazones as Potential Inhibitors of Microtubule Affinity-Regulating Kinase 4 for the Therapeutic Management of Cell Proliferation and Metastasis. Eur. J. Med. Chem. 2019, 163, 840–852. [Google Scholar] [CrossRef] [PubMed]
- Maurya, S.S.; Bahuguna, A.; Khan, S.I.; Kumar, D.; Kholiya, R.; Rawat, D.S. N-Substituted Aminoquinoline-Pyrimidine Hybrids: Synthesis, in Vitro Antimalarial Activity Evaluation and Docking Studies. Eur. J. Med. Chem. 2019, 162, 277–289. [Google Scholar] [CrossRef] [PubMed]
- Rodríguez-Argüelles, M.C.; Cao, R.; García-Deibe, A.M.; Pelizzi, C.; Sanmartín-Matalobos, J.; Zani, F. Antibacterial and Antifungal Activity of Metal(II) Complexes of Acylhydrazones of 3-Isatin and 3-(N-Methyl)Isatin. Polyhedron 2009, 28, 2187–2195. [Google Scholar] [CrossRef]
- Yousuf, M.; Ali, A.; Khan, P.; Anjum, F.; Elasbali, A.M.; Islam, A.; Yadav, D.K.; Shafie, A.; Mohd, Q.; Haque, R. Insights into the Antibacterial Activity of Prolactin-Inducible Protein against the Standard and Environmental MDR Bacterial Strains. Microorganisms 2022, 10, 597. [Google Scholar] [CrossRef]
- Jorgensen, J.H.; Turnidge, J.D. Susceptibility Test Methods: Dilution and Disk Diffusion Methods. Man. Clin. Microbiol. 2007, 9, 1152–1172. [Google Scholar]
- Rather, L.J.; Zhou, Q.; Ali, A.; Haque, Q.M.R.; Li, Q. Valorization of Agro-Industrial Waste from Peanuts for Sustainable Natural Dye Production: Focus on Adsorption Mechanisms, Ultraviolet Protection, and Antimicrobial Properties of Dyed Wool Fabric. ACS Food Sci. Technol. 2021, 1, 427–442. [Google Scholar] [CrossRef]
- Irfan, I.; Ali, A.; Ubaid, A.; Sherwani, Y.; Arora, B.; Khan, M.M.; Joshi, M.C.; Abid, M. Synergistic Antimicrobial Activity, MD Simulation Studies and Crystal Structure of Natural Alcohol Motif Containing Novel Substituted Cinnamates. J. Biomol. Struct. Dyn. 2023, 42, 211–230. [Google Scholar] [CrossRef]
- Lathwal, A.; Ali, A.; Uddin, A.; Khan, N.S.; Sheehan, G.; Kavanagh, K.; Haq, Q.M.R.; Abid, M.; Nath, M. Assessment of Dihydro [1,3] Oxazine-Fused Isoflavone and 4-Thionoisoflavone Hybrids as Antibacterials. ChemistrySelect 2021, 6, 7505–7513. [Google Scholar] [CrossRef]
- Mogana, R.; Adhikari, A.; Tzar, M.N.; Ramliza, R.; Wiart, C. Antibacterial Activities of the Extracts, Fractions and Isolated Compounds from Canarium Patentinervium Miq. against Bacterial Clinical Isolates. BMC Complement. Med. Ther. 2020, 20, 55. [Google Scholar] [CrossRef]
- CDC. NARMS—National Antimicrobial Resistance Monitoring System, 2002. Enteric Bacteria; CDC: Atlanta, GA, USA, 2002.
- Ali, A.; Sultan, I.; Mondal, A.H.; Siddiqui, M.T.; Gogry, F.A.; Haq, Q.M.R. Lentic and Effluent Water of Delhi-NCR: A Reservoir of Multidrug-Resistant Bacteria Harbouring Bla CTX-M, Bla TEM and Bla SHV Type ESBL Genes. J. Water Health 2021, 19, 592–603. [Google Scholar] [CrossRef] [PubMed]
- Abass, S.; Zahiruddin, S.; Ali, A.; Irfan, M.; Jan, B.; Mohd, Q.; Haq, R. Development of Synergy—Based Combination of Methanolic Extract of Andrographis Paniculata and Berberis Aristata Against E. Coli and S. Aureus. Curr. Microbiol. 2022, 79, 223. [Google Scholar] [CrossRef]
- Ali, A.; Hasan, P.; Irfan, M.; Uddin, A.; Khan, A.; Saraswat, J.; Maguire, R.; Kavanagh, K.; Patel, R.; Joshi, M.C.; et al. Development of Oxadiazole-Sulfonamide-Based Compounds as Potential Antibacterial Agents. ACS Omega 2021, 6, 27798–27813. [Google Scholar] [CrossRef]
- Rand, K.H.; Houck, H.J.; Brown, P.; Bennett, D. Reproducibility of the Microdilution Checkerboard Method for Antibiotic Synergy. Antimicrob. Agents Chemother. 1993, 37, 613–615. [Google Scholar] [CrossRef]
- Almuqdadi, H.T.A.; Kifayat, S.; Anwer, R.; Alrehaili, J.; Abid, M. Fragment-Based Virtual Screening Identifies Novel Leads against Plasmepsin IX (PlmIX) of Plasmodium Falciparum: Homology Modeling, Molecular Docking, and Simulation Approaches. Front. Pharmacol. 2024, 15, 1387629. [Google Scholar] [CrossRef]
- Nassar, H.; Sippl, W.; Dahab, R.A.; Taha, M. Molecular Docking, Molecular Dynamics Simulations and in Vitro Screening Reveal Cefixime and Ceftriaxone as GSK3β Covalent Inhibitors. RSC Adv. 2023, 13, 11278–11290. [Google Scholar] [CrossRef] [PubMed]
- Madhavi Sastry, G.; Adzhigirey, M.; Day, T.; Annabhimoju, R.; Sherman, W. Protein and Ligand Preparation: Parameters, Protocols, and Influence on Virtual Screening Enrichments. J. Comput. Aided Mol. Des. 2013, 27, 221–234. [Google Scholar] [CrossRef] [PubMed]
- Sahayarayan, J.J.; Rajan, K.S.; Vidhyavathi, R.; Nachiappan, M.; Prabhu, D.; Alfarraj, S.; Arokiyaraj, S.; Daniel, A.N. In-Silico Protein-Ligand Docking Studies against the Estrogen Protein of Breast Cancer Using Pharmacophore Based Virtual Screening Approaches. Saudi J. Biol. Sci. 2021, 28, 400–407. [Google Scholar] [CrossRef]
- Friesner, R.A.; Banks, J.L.; Murphy, R.B.; Halgren, T.A.; Klicic, J.J.; Mainz, D.T.; Repasky, M.P.; Knoll, E.H.; Shelley, M.; Perry, J.K.; et al. Glide: A New Approach for Rapid, Accurate Docking and Scoring. 1. Method and Assessment of Docking Accuracy. J. Med. Chem. 2004, 47, 1739–1749. [Google Scholar] [CrossRef]
- Friesner, R.A.; Murphy, R.B.; Repasky, M.P.; Frye, L.L.; Greenwood, J.R.; Halgren, T.A.; Sanschagrin, P.C.; Mainz, D.T. Extra Precision Glide: Docking and Scoring Incorporating a Model of Hydrophobic Enclosure for Protein−Ligand Complexes. J. Med. Chem. 2006, 49, 6177–6196. [Google Scholar] [CrossRef]
- Ries, B.; Alibay, I.; Anand, N.M.; Biggin, P.C.; Magarkar, A. Automated Absolute Binding Free Energy Calculation Workflow for Drug Discovery. J. Chem. Inf. Model. 2024, 64, 5357–5364. [Google Scholar] [CrossRef] [PubMed]
- Ivanova, L.; Tammiku-Taul, J.; García-Sosa, A.T.; Sidorova, Y.; Saarma, M.; Karelson, M. Molecular Dynamics Simulations of the Interactions between Glial Cell Line-Derived Neurotrophic Factor Family Receptor GFRα1 and Small-Molecule Ligands. ACS Omega 2018, 3, 11407–11414. [Google Scholar] [CrossRef] [PubMed]
- Ghahremanian, S.; Rashidi, M.M.; Raeisi, K.; Toghraie, D. Molecular Dynamics Simulation Approach for Discovering Potential Inhibitors against SARS-CoV-2: A Structural Review. J. Mol. Liq. 2022, 354, 118901. [Google Scholar] [CrossRef]
- Gopinath, P.; Kathiravan, M.K. Docking Studies and Molecular Dynamics Simulation of Triazole Benzene Sulfonamide Derivatives with Human Carbonic Anhydrase IX Inhibition Activity. RSC Adv. 2021, 11, 38079–38093. [Google Scholar] [CrossRef]
- Poonia, N.; Lal, K.; Kumar, A.; Kumar, A.; Sahu, S.; Baidya, A.T.K.; Kumar, R. Urea-Thiazole/Benzothiazole Hybrids with a Triazole Linker: Synthesis, Antimicrobial Potential, Pharmacokinetic Profile and in Silico Mechanistic Studies. Mol. Divers. 2022, 26, 2375–2391. [Google Scholar] [CrossRef] [PubMed]
- Khedraoui, M.; Abchir, O.; Nour, H.; Yamari, I.; Errougui, A.; Samadi, A.; Chtita, S. An In Silico Study Based on QSAR and Molecular Docking and Molecular Dynamics Simulation for the Discovery of Novel Potent Inhibitor against AChE. Pharmaceuticals 2024, 17, 830. [Google Scholar] [CrossRef]
- Rampogu, S.; Lee, G.; Park, J.S.; Lee, K.W.; Kim, M.O. Molecular Docking and Molecular Dynamics Simulations Discover Curcumin Analogue as a Plausible Dual Inhibitor for SARS-CoV-2. Int. J. Mol. Sci. 2022, 23, 1771. [Google Scholar] [CrossRef]
- Borjian Boroujeni, M.; Shahbazi Dastjerdeh, M.; Shokrgozar, M.; Rahimi, H.; Omidinia, E. Computational Driven Molecular Dynamics Simulation of Keratinocyte Growth Factor Behavior at Different PH Conditions. Inform. Med. Unlocked 2021, 23, 100514. [Google Scholar] [CrossRef]







| S. No. | Compound | E. faecalis (MTCC439) | B. subtilis (MTCC736) | S. aureus (MTCC902) | P. aeruginosa (2453) |
|---|---|---|---|---|---|
| 1 | HD1 | 10 | - | 10 | 08 |
| 2 | HD2 | - | - | - | 10 |
| 3 | HD3 | - | - | - | - |
| 4 | HD4 | 11 | 09 | 11 | 11 |
| 5 | HD5 | 10 | - | - | 10 |
| 6 | HD6 | 11 | 10 | 11 | 11 |
| 7 | HD7 | - | - | - | - |
| 8 | HD8 | - | - | - | - |
| 9 | HD9 | 10 | - | - | 11 |
| 10 | HD10 | - | - | - | - |
| 11 | HD11 | 10 | - | 11 | 11 |
| 12 | HD12 | - | - | - | - |
| 13 | HD13 | 13 | - | - | - |
| 14 | HD14 | - | - | - | - |
| 15 | HD15 | - | - | - | - |
| 16 | HD16 | - | - | - | - |
| 17 | HD17 | 11 | - | - | 10 |
| 18 | HD18 | 12 | - | - | 11 |
| 19 | HD19 | - | - | - | - |
| 20 | HD20 | - | - | - | - |
| 21 | HD21 | - | - | - | - |
| 22 | HD22 | 11 | - | - | 12 |
| 23 | HD23 | - | - | - | - |
| 24 | HS1 | - | - | - | - |
| 25 | HS2 | 6 | - | 6 | 6 |
| 26 | HS3 | - | - | - | - |
| 27 | HS4 | 6 | - | - | - |
| 28 | HS5 | - | - | - | - |
| 29 | HS6 | - | - | - | - |
| 30 | HS7 | 6 | 6 | 6 | - |
| 31 | HS8 | - | 7 | 9 | 6 |
| 32 | HS9 | - | - | - | - |
| 33 | HS10 | 6 | - | - | - |
| 34 | HS11 | - | - | - | - |
| 35 | HS12 | - | - | - | - |
| 36 | Cip * | 12 | 13 | 15 | 16 |
| 37 | DMSO | - | - | - | - |
| 38 | Blank | - | - | - | - |
| S. No. | Compound | E. faecalis | B. subtilis | S. aureus | P. aeruginosa |
|---|---|---|---|---|---|
| 1 | HD1 | 512 | >1024 | >1024 | >1024 |
| 2 | HD4 | 512 | 512 | 1024 | >1024 |
| 3 | HD6 | 128 | 8 | 128 | 16 |
| 4 | HD11 | 1024 | 1024 | >1024 | 1024 |
| 5 | HS2 | 1024 | >1024 | >1024 | >1024 |
| 6 | HS7 | >1024 | >1024 | >1024 | >1024 |
| 7 | HS8 | 256 | 256 | 1024 | >1024 |
| 8 | CIP * | 0.5 | 1.0 | 0.125 | 0.5 |
| Bacterial Strain | Zone of Inhibition at Different Concentrations (mm) | |||||
|---|---|---|---|---|---|---|
| HD6 | HS8 | |||||
| ½ MIC | MIC | 2MIC | ½ MIC | MIC | 2MIC | |
| E. faecalis | 6 | 7 | 10 | 6 | 6 | 11 |
| B. subtilis | 8 | 10 | 10 | 6 | 6 | 6 |
| S. aureus | 11 | 11 | 12 | 6 | 6 | 8 |
| P. aeruginosa | 9 | 10 | 11 | 6 | 6 | 6 |
| Bacterial Strain | MIC Alone | MIC in Combination | FICI | Mode of Interaction | |||||
|---|---|---|---|---|---|---|---|---|---|
| HD6 | HS8 | CIP | HD6 | HS8 | CIP | ||||
| E. faecalis | 128 | - | 0.5 | 2 | - | 0.25 | 0.515 | Synergistic | |
| HD 6 | B. subtilis | 8 | - | 1 | 2 | - | 0.25 | 0.5 | Synergistic |
| S. aureus | 128 | - | 0.125 | 2 | - | 2.015 | 2.015 | Indifferent | |
| P. aeruginosa | 16 | - | 0.5 | 2 | - | 0.125 | 0.375 | Synergistic | |
| E. faecalis | - | 256 | 0.5 | - | 2 | 0.25 | 0.50 | Synergistic | |
| HS8 | B. subtilis | - | 256 | 1 | - | 64 | 1 | 1.25 | Indifferent |
| S. aureus | - | 1024 | 0.125 | - | 2 | 0.25 | 2.001 | Indifferent | |
Disclaimer/Publisher’s Note: The statements, opinions and data contained in all publications are solely those of the individual author(s) and contributor(s) and not of MDPI and/or the editor(s). MDPI and/or the editor(s) disclaim responsibility for any injury to people or property resulting from any ideas, methods, instructions or products referred to in the content. |
© 2024 by the authors. Licensee MDPI, Basel, Switzerland. This article is an open access article distributed under the terms and conditions of the Creative Commons Attribution (CC BY) license (https://creativecommons.org/licenses/by/4.0/).
Share and Cite
Ubaid, A.; Shakir, M.; Ali, A.; Khan, S.; Alrehaili, J.; Anwer, R.; Abid, M. Synthesis and Structure–Activity Relationship (SAR) Studies on New 4-Aminoquinoline-Hydrazones and Isatin Hybrids as Promising Antibacterial Agents. Molecules 2024, 29, 5777. https://doi.org/10.3390/molecules29235777
Ubaid A, Shakir M, Ali A, Khan S, Alrehaili J, Anwer R, Abid M. Synthesis and Structure–Activity Relationship (SAR) Studies on New 4-Aminoquinoline-Hydrazones and Isatin Hybrids as Promising Antibacterial Agents. Molecules. 2024; 29(23):5777. https://doi.org/10.3390/molecules29235777
Chicago/Turabian StyleUbaid, Ayesha, Mohd. Shakir, Asghar Ali, Sobia Khan, Jihad Alrehaili, Razique Anwer, and Mohammad Abid. 2024. "Synthesis and Structure–Activity Relationship (SAR) Studies on New 4-Aminoquinoline-Hydrazones and Isatin Hybrids as Promising Antibacterial Agents" Molecules 29, no. 23: 5777. https://doi.org/10.3390/molecules29235777
APA StyleUbaid, A., Shakir, M., Ali, A., Khan, S., Alrehaili, J., Anwer, R., & Abid, M. (2024). Synthesis and Structure–Activity Relationship (SAR) Studies on New 4-Aminoquinoline-Hydrazones and Isatin Hybrids as Promising Antibacterial Agents. Molecules, 29(23), 5777. https://doi.org/10.3390/molecules29235777

