Bithiophene-Based Donor–π–Acceptor Compounds Exhibiting Aggregation-Induced Emission as Agents to Detect Hidden Fingerprints and Electrochromic Materials
Abstract
1. Introduction
2. Results
2.1. NMR Analysis
2.2. DFT Calculations
2.3. Electrochemistry
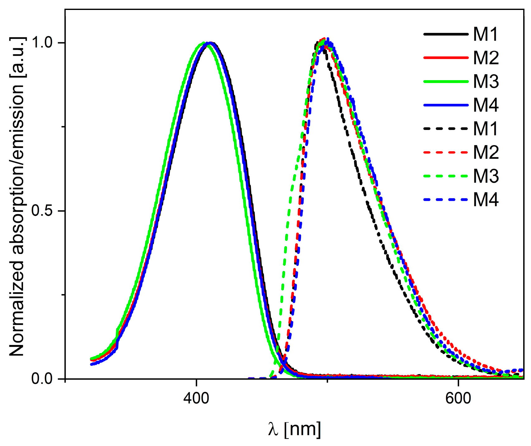
2.4. UV-Vis and Photoluminescence
2.5. UV-Vis Spectroelectrochemistry
2.6. Aggregation-Induced Emmision Investigations
2.7. Identification of Latent Fingerprints
3. Materials and Methods
3.1. General Methods
3.2. Synthesis and Characterization
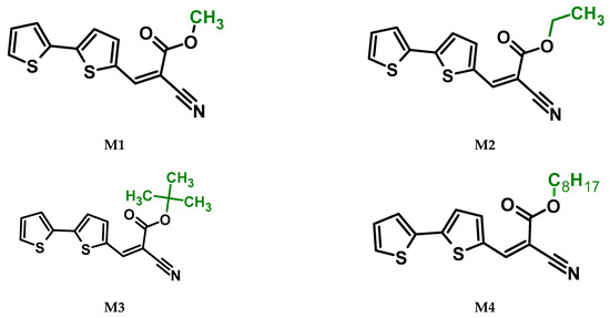
3.2.1. Synthesis of M1, Methyl 2-cyano-3-(2,2′-bithiophen-5-yl)prop-2-enoate

3.2.2. Synthesis of M2, Ethyl 2-cyano-3-(2,2′-bithiophen-5-yl)prop-2-enoate

3.2.3. Synthesis of M3, Tert-butyl 2-cyano-3-(2,2′-bithiophen-5-yl)prop-2-enoate

3.2.4. Synthesis of M4, Octyl 2-cyano-3-(2,2′-bithiophen-5-yl)prop-2-enoate

4. Conclusions
Supplementary Materials
Author Contributions
Funding
Institutional Review Board Statement
Informed Consent Statement
Data Availability Statement
Conflicts of Interest
References
- Gomes, F.M.; de Pereira, C.M.P.; de Cássia Mariotti, K.; Pereira, T.M.; dos Santos, N.A.; Romão, W. Study of Latent Fingerprints. Forensic Chem. 2023, 35, 100525. [Google Scholar] [CrossRef]
- Azman, A.R.; Mahat, N.A.; Wahab, R.A.; Ahmad, W.A.; Huri, M.A.M.; Hamzah, H.H. Relevant Visualization Technologies for Latent Fingerprints on Wet Objects and Its Challenges: A Review. Egypt J. Forensic Sci. 2019, 9, 23. [Google Scholar] [CrossRef]
- Lian, J.; Meng, F.; Wang, W.; Zhang, Z. Recent Trends in Fluorescent Organic Materials for Latent Fingerprint Imaging. Front. Chem. 2020, 8, 594864. [Google Scholar] [CrossRef] [PubMed]
- Wang, M.; Li, M.; Yu, A.; Zhu, Y.; Yang, M.; Mao, C. Fluorescent Nanomaterials for the Development of Latent Fingerprints in Forensic Sciences. Adv. Funct. Mater. 2017, 27, 1606243. [Google Scholar] [CrossRef]
- Assis, A.M.L.; Costa, C.V.; Alves, M.S.; Melo, J.C.S.; De Oliveira, V.R.; Tonholo, J.; Hillman, A.R.; Ribeiro, A.S. From Nanomaterials to Macromolecules: Innovative Technologies for Latent Fingerprint Development. WIREs Forensic Sci. 2023, 5, e1475. [Google Scholar] [CrossRef]
- Malik, A.H.; Zehra, N.; Ahmad, M.; Parui, R.; Iyer, P.K. Advances in Conjugated Polymers for Visualization of Latent Fingerprints: A Critical Perspective. New J. Chem. 2020, 44, 19423–19439. [Google Scholar] [CrossRef]
- Friesen, J.B. Activities Designed for Fingerprint Dusting and the Chemical Revelation of Latent Fingerprints. J. Chem. Educ. 2015, 92, 505–508. [Google Scholar] [CrossRef]
- Yao, X.; Li, G.-R.; Wang, J.-J.; Tang, C.; Li, D.-W.; You, N.; Mao, W.; Li, Z.-C.; Zhang, S.-Q. Dye-Doped Cellulose Nanocrystals as Novel Dusting Powders for Visualizing Latent Fingerprints. Anal. Methods 2024, 16, 5864–5871. [Google Scholar] [CrossRef]
- Prabakaran, E.; Pillay, K. Nanomaterials for Latent Fingerprint Detection: A Review. J. Mater. Res. Technol. 2021, 12, 1856–1885. [Google Scholar] [CrossRef]
- Chávez, D.; Garcia, C.R.; Oliva, J.; Diaz-Torres, L.A. A Review of Phosphorescent and Fluorescent Phosphors for Fingerprint Detection. Ceram. Int. 2021, 47, 10–41. [Google Scholar] [CrossRef]
- Xie, H.-H.; Wen, Q.; Huang, H.; Sun, T.-Y.; Li, P.; Li, Y.; Yu, X.-F.; Wang, Q.-Q. Synthesis of Bright Upconversion Submicrocrystals for High-Contrast Imaging of Latent-Fingerprints with Cyanoacrylate Fuming. RSC Adv. 2015, 5, 79525–79531. [Google Scholar] [CrossRef]
- Bumbrah, G.S. Cyanoacrylate Fuming Method for Detection of Latent Fingermarks: A Review. Egypt J. Forensic Sci. 2017, 7, 4. [Google Scholar] [CrossRef]
- Würthner, F. Aggregation-Induced Emission (AIE): A Historical Perspective. Angew. Chem. Int. Ed. 2020, 59, 14192–14196. [Google Scholar] [CrossRef] [PubMed]
- Zhao, Z.; He, B.; Tang, B.Z. Aggregation-Induced Emission of Siloles. Chem. Sci. 2015, 6, 5347–5365. [Google Scholar] [CrossRef]
- Hu, R.; Qin, A.; Tang, B.Z. AIE Polymers: Synthesis and Applications. Prog. Polym. Sci. 2020, 100, 101176. [Google Scholar] [CrossRef]
- Peng, Q.; Shuai, Z. Molecular Mechanism of Aggregation-induced Emission. Aggregate 2021, 2, e91. [Google Scholar] [CrossRef]
- Huang, W.; Jiang, N.; Qu, Y.; Lv, X.; Zhou, H.; Wang, L.; Wang, L.; Rui, Y. AIE-Active Dipyridinyltriphenylamine for Dual-Model Visualization of Latent Fingerprints. Dye. Pigment. 2023, 218, 111509. [Google Scholar] [CrossRef]
- Di, L.; Xing, Y.; Yang, Z.; Xia, Z. Ultrabright AIE of Ir (III) Complexes Achieving Expeditious Monitoring of Oxygen and High-Definition Development of Latent Fingerprints. Sens. Actuators B Chem. 2022, 350, 130894. [Google Scholar] [CrossRef]
- Jin, X.; Dong, L.; Di, X.; Huang, H.; Liu, J.; Sun, X.; Zhang, X.; Zhu, H. NIR Luminescence for the Detection of Latent Fingerprints Based on ESIPT and AIE Processes. RSC Adv. 2015, 5, 87306–87310. [Google Scholar] [CrossRef]
- Kumar, N.; Mahadevan, K.M.; Nagaraju, G. Development and Detection of Level II and III Features of Latent Fingerprints Using Highly Sensitive AIE Based Coumarin Fluorescent Derivative. J. Sci. Adv. Mater. Devices 2020, 5, 520–526. [Google Scholar] [CrossRef]
- Wang, Y.-L.; Li, C.; Qu, H.-Q.; Fan, C.; Zhao, P.-J.; Tian, R.; Zhu, M.-Q. Real-Time Fluorescence In Situ Visualization of Latent Fingerprints Exceeding Level 3 Details Based on Aggregation-Induced Emission. J. Am. Chem. Soc. 2020, 142, 7497–7505. [Google Scholar] [CrossRef] [PubMed]
- Bera, S.; Selvakumaraswamy, A.; Nayak, B.P.; Prasad, P. Aggregation-Induced Emission Luminogens for Latent Fingerprint Detection. Chem. Commun. 2024, 60, 8314–8338. [Google Scholar] [CrossRef] [PubMed]
- Zhang, Y.-X. The Preparation of 2, 2′-Bithiophene-Based Conjugated Microporous Polymers by Direct Arylation Polymerization and Their Application in Fluorescence Sensing 2, 4-Dinitrophenol. Anal. Chim. Acta 2023, 1240, 340779. [Google Scholar] [CrossRef] [PubMed]
- Zhang, C.; He, Y.; Mu, P.; Wang, X.; He, Q.; Chen, Y.; Zeng, J.; Wang, F.; Xu, Y.; Jiang, J. Toward High Performance Thiophene-Containing Conjugated Microporous Polymer Anodes for Lithium-Ion Batteries through Structure Design. Adv. Funct. Mater. 2018, 28, 1705432. [Google Scholar] [CrossRef]
- Mohan, M.; Nagarajan, S.M.; Trivedi, D.R. Design and Synthesis of New Bithiophene Based Planar AIE Red Light Emitters: A Detailed Theoretical and Experimental Analysis. ChemistrySelect 2022, 7, e202103173. [Google Scholar] [CrossRef]
- Satyanarayan, M.N.; Trivedi, D.R.; Mohan, M.; Pangannaya, S. Aggregation-Induced Emission in Thiophene Derivatives. ISSS J. Micro Smart Syst. 2022, 11, 217–233. [Google Scholar] [CrossRef]
- Wojciechowski, A.; Raposo, M.M.M.; Castro, M.C.R.; Kuznik, W.; Fuks-Janczarek, I.; Pokladko-Kowar, M.; Bureš, F. Nonlinear Optoelectronic Materials Formed by Push–Pull (Bi)Thiophene Derivatives Functionalized with Di(Tri)Cyanovinyl Acceptor Groups. J. Mater. Sci. Mater. Electron. 2014, 25, 1745–1750. [Google Scholar] [CrossRef][Green Version]
- Seeboth, A.; Lötzsch, D.; Ruhmann, R.; Muehling, O. Thermochromic Polymers—Function by Design. Chem. Rev. 2014, 114, 3037–3068. [Google Scholar] [CrossRef]
- Irie, M.; Fukaminato, T.; Matsuda, K.; Kobatake, S. Photochromism of Diarylethene Molecules and Crystals: Memories, Switches, and Actuators. Chem. Rev. 2014, 114, 12174–12277. [Google Scholar] [CrossRef]
- Chua, M.H.; Tang, T.; Ong, K.H.; Neo, W.T.; Xu, J.W. Introduction to Electrochromism. In Electrochromic Smart Materials: Fabrication and Applications; The Royal Society of Chemistry: London, UK, 2019. [Google Scholar]
- Cimrová, V.; Vỳprachtickỳ, D.; Pokorná, V. Donor–Acceptor Copolymers Containing Bithiophene and Dithiophenylthienothiadiazole Units with Fast Electrochromic Response. J. Mater. Chem. C 2019, 7, 8575–8584. [Google Scholar] [CrossRef]
- Dong, Y.; Luo, F.; Chen, L.; Yuan, F.; Hou, Y.; Li, W.; Yan, S.; Dai, Y.; Ouyang, M.; Zhang, C. Multi-Color Electrochromism Containing Green Color Based on Electrochemically Polymerized Star-Shaped Phenyl Bithiophene. Phys. Chem. Chem. Phys. 2018, 20, 12923–12928. [Google Scholar] [CrossRef] [PubMed]
- Manoj Kumar, S.; Kulathu Iyer, S. D–π–A–π–D-Configured Imidazole-Tethered Benzothiadiazole-Based Sensor for the Ratiometric Discrimination of Picric Acid: Applications in Latent Fingerprint Imaging. J. Org. Chem. 2024, 89, 5392–5400. [Google Scholar] [CrossRef] [PubMed]
- Zhou, Z.; Gai, L.; Xu, L.-W.; Guo, Z.; Lu, H. Disilane-Bridged Architectures: An Emerging Class of Molecular Materials. Chem. Sci. 2023, 14, 10385–10402. [Google Scholar] [CrossRef]
- Szłapa, A.; Kula, S.; Błaszkiewicz, U.; Grucela, M.; Schab-Balcerzak, E.; Filapek, M. Simple donor-π-acceptor derivatives exhibiting aggregation-induced emission characteristics for use as emitting layer in OLED. Dye. Pigment. 2016, 129, 80–89. [Google Scholar] [CrossRef]
- Filipek, P.; Hellwig, H.; Szlapa-Kula, A.; Filapek, M. Simple Donor–π–Acceptor Compounds Exhibiting Aggregation-Induced Emission as Hidden Fingerprints Detecting Agents. Molecules 2023, 28, 7597. [Google Scholar] [CrossRef]
- Frisch, M.J.; Trucks, G.W.; Schlegel, H.B.; Scuseria, G.E.; Robb, M.A.; Cheeseman, J.R.; Scalmani, G.; Barone, V.; Petersson, G.A.; Nakatsuji, H.; et al. Gaussian 16, Revision C.01; Gaussian, Inc.: Wallingford, CT, USA, 2019. [Google Scholar]
- Becke, A.D. Density-functional Thermochemistry. IV. A New Dynamical Correlation Functional and Implications for Exactexchange Mixing. J. Chem. Phys. 1996, 104, 1040–1046. [Google Scholar] [CrossRef]
- Miertuš, S.; Scrocco, E.; Tomasi, J. Electrostatic Interaction of a Solute with a Continuum. A Direct Utilizaion of AB Initio Molecular Potentials for the Prevision of Solvent Effects. Chem. Phys. 1981, 55, 117–129. [Google Scholar] [CrossRef]
- Lee, C.; Yang, W.; Parr, R.G. Development of the Colle-Salvetti correlation-energy formula into a functional of the electron density. Phys. Rev. B 1988, 37, 785–789. [Google Scholar] [CrossRef]
- Stephens, P.J.; Devlin, F.J.; Chabalowski, C.F.; Frisch, M.J. Ab Initio calculation of vibrational absorption and circular dichroism spectra using density functional force fields. J. Phys. Chem. 1994, 98, 11623–11627. [Google Scholar] [CrossRef]
- Vosko, S.H.; Wilk, L.; Nusair, M. Accurate spin-dependent electron liquid correlation energies for local spin density calculations: A critical analysis. Can. J. Phys. 1980, 58, 1200–1211. [Google Scholar] [CrossRef]
- Becke, A.D. Density-functional thermochemistry. I. The effect of the exchange-only gradient correction. J. Chem. Phys. 1992, 96, 2155–2160. [Google Scholar] [CrossRef]
- Pritchard, P.B.; Altarawy, D.; Didier, B.; Gibson, T.D.; Windus, T.L. A New Basis Set Exchange: An Open, Up-to-Date Resource for the Molecular Sciences Community. J. Chem. Inf. Model. 2019, 59, 4814–4820. [Google Scholar] [CrossRef] [PubMed]
- Feller, D. The Role of Databases in Support of Computational Chemistry Calculations. J. Comp. Chem. 1996, 17, 1571–1586. [Google Scholar] [CrossRef]
- Schuchardt, K.L.; Didier, B.T.; Elsethagen, T.; Sun, L.; Gurumoorthi, V.; Chase, J.; Li, J.; Windus, T.L. Basis Set Exchange: A Community Database for Computational Sciences. J. Chem. Inf. Model. 2007, 47, 1045–1052. [Google Scholar] [CrossRef]











| CODE | HOMO | LUMO | BOND LENGTHS |
|---|---|---|---|
| M1 | ![]() | ![]() | ![]() |
| E = −6.15 eV | E = −3.08 eV | ||
| M2 | ![]() | ![]() | ![]() |
| E = −6.14 eV | E = −3.07 eV | ||
| M3 | ![]() | ![]() | ![]() |
| E = −6.11 eV | E = −3.01 eV | ||
| M4 | ![]() | ![]() | ![]() |
| E = −6.14 eV | E = −3.06 eV |
| Code | IP(a) [eV] | IP(v) [eV] | EA(v) [eV] | EA(a) [eV] | λhole [eV] | λelectron [eV] | HEP [eV] | EEP [eV] | Eg (HOMO − LUMO)(a) [eV] |
|---|---|---|---|---|---|---|---|---|---|
| M1 | 5.99 | 6.15 | 3.08 | 3.25 | 0.28 | 0.31 | 5.87 | 3.40 | 3.07 |
| M2 | 5.98 | 6.14 | 3.07 | 3.23 | 0.28 | 0.32 | 5.86 | 3.38 | 3.08 |
| M3 | 5.96 | 6.11 | 3.01 | 3.18 | 0.28 | 0.33 | 5.83 | 3.34 | 3.10 |
| M4 | 5.98 | 6.14 | 3.06 | 3.22 | 0.29 | 0.32 | 5.85 | 3.38 | 3.09 |
| EEP = E0(M−) − E−(M−); HEP = E+(M+) − E0(M+); λelectron = EEp − EAv; λhole = IPv − HEP; a adiabatic; v vertical. | |||||||||
| Code | Eox | Ered | IP a | EA a | Eg (CV) b |
|---|---|---|---|---|---|
| M1 | 0.97 | −1.44 | −6.07 | −3.66 | 2.41 |
| M2 | 0.99 | −1.47 | −6.09 | −3.63 | 2.46 |
| M3 | 0.84 | −1.46 | −5.94 | −3.64 | 2.30 |
| M4 | 0.82 | −1.43 | −5.82 | −3.67 | 2.25 |
| Code | λmax(Em) | λmax(A) | λonset | Eg (opt) | Stokes Shift [nm] |
|---|---|---|---|---|---|
| M1 | 493 | 410 | 463 | 2.68 | 83 |
| M2 | 496 | 410 | 462 | 2.68 | 86 |
| M3 | 496 | 406 | 457 | 2.71 | 90 |
| M4 | 498 | 409 | 461 | 2.69 | 89 |
Disclaimer/Publisher’s Note: The statements, opinions and data contained in all publications are solely those of the individual author(s) and contributor(s) and not of MDPI and/or the editor(s). MDPI and/or the editor(s) disclaim responsibility for any injury to people or property resulting from any ideas, methods, instructions or products referred to in the content. |
© 2024 by the authors. Licensee MDPI, Basel, Switzerland. This article is an open access article distributed under the terms and conditions of the Creative Commons Attribution (CC BY) license (https://creativecommons.org/licenses/by/4.0/).
Share and Cite
Filipek, P.; Kałkus, M.; Szlapa-Kula, A.; Filapek, M. Bithiophene-Based Donor–π–Acceptor Compounds Exhibiting Aggregation-Induced Emission as Agents to Detect Hidden Fingerprints and Electrochromic Materials. Molecules 2024, 29, 5747. https://doi.org/10.3390/molecules29235747
Filipek P, Kałkus M, Szlapa-Kula A, Filapek M. Bithiophene-Based Donor–π–Acceptor Compounds Exhibiting Aggregation-Induced Emission as Agents to Detect Hidden Fingerprints and Electrochromic Materials. Molecules. 2024; 29(23):5747. https://doi.org/10.3390/molecules29235747
Chicago/Turabian StyleFilipek, Patrycja, Magdalena Kałkus, Agata Szlapa-Kula, and Michał Filapek. 2024. "Bithiophene-Based Donor–π–Acceptor Compounds Exhibiting Aggregation-Induced Emission as Agents to Detect Hidden Fingerprints and Electrochromic Materials" Molecules 29, no. 23: 5747. https://doi.org/10.3390/molecules29235747
APA StyleFilipek, P., Kałkus, M., Szlapa-Kula, A., & Filapek, M. (2024). Bithiophene-Based Donor–π–Acceptor Compounds Exhibiting Aggregation-Induced Emission as Agents to Detect Hidden Fingerprints and Electrochromic Materials. Molecules, 29(23), 5747. https://doi.org/10.3390/molecules29235747













