The Elusive Biological Activity of Scorpionates: A Useful Scaffold for Cancer Therapy?
Abstract
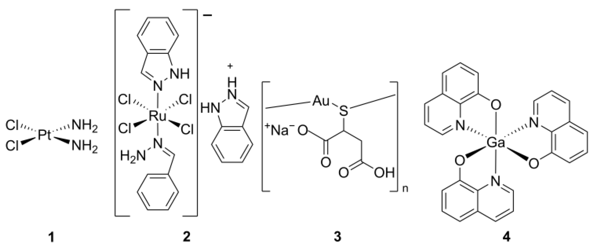
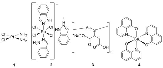
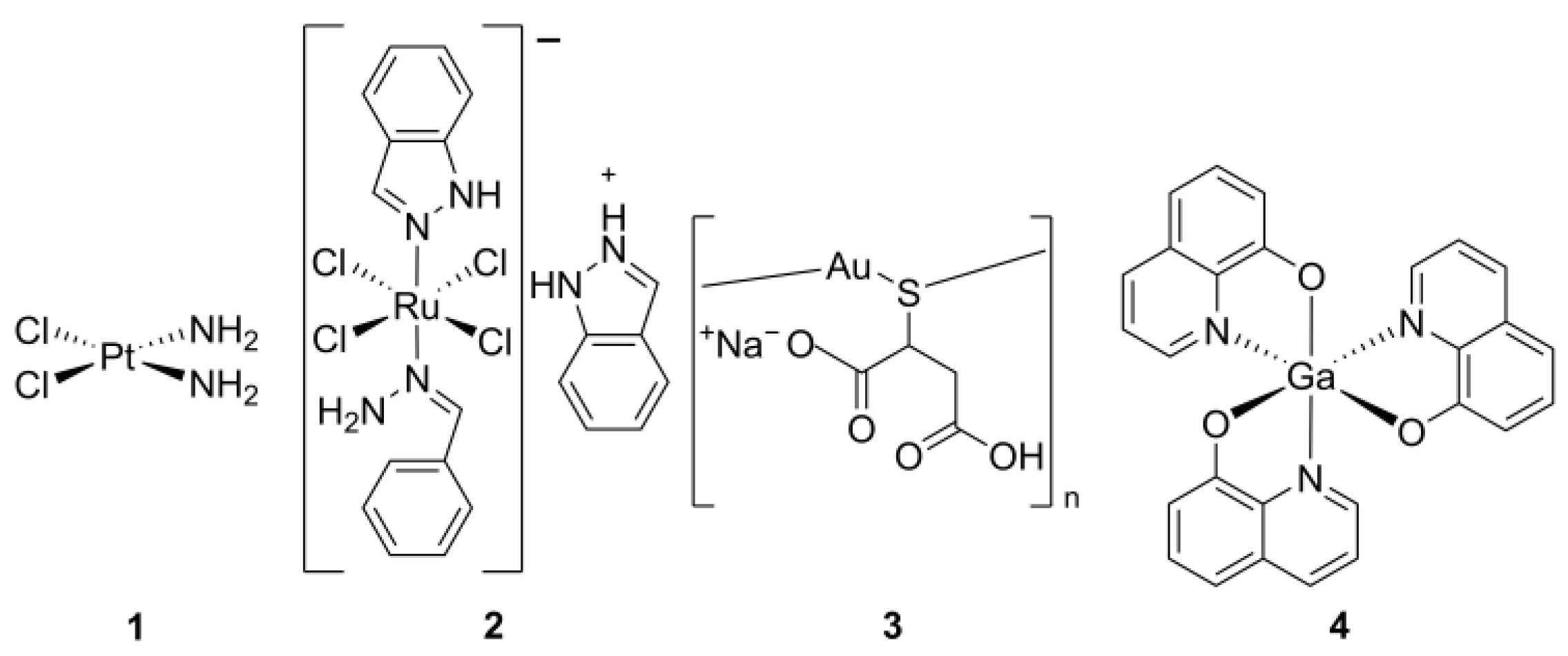
1. Introduction
2. Scorpionate Chemistry
3. Poly(pyrazol-1-yl)borate Complexes
4. Poly(pyrazol-1-yl)methane Complexes
5. Poly(pyrazol-1-ylmethyl)amine Complexes
6. Conclusions
Supplementary Materials
Author Contributions
Funding
Data Availability Statement
Conflicts of Interest
Abbreviations
| 2008 | human ovarian carcinoma cell line |
| 518A2 | human metastatic melanoma cell line |
| A431 | human cervical carcinoma cell line |
| A549 | human lung adenocarcinoma epithelial cell line |
| A2780 | human ovarian cancer cell line |
| A2780R | cisplatin-resistant human ovarian cancer cell line |
| B16 | mouse melanoma cell line |
| BJ | human fibroblast cell line |
| C13 | cisplatin-resistant human ovarian cancer cell line |
| CaCo-2 | human colorectal adenocarcinoma cell line |
| Caki-2 | human renal carcinoma cell line |
| CHO-K1 | Chinese hamster ovary cell line |
| H460 | human lung carcinoma cell line |
| HaCaT | human immortalized keratinocyte cell line |
| HCC1937 | human breast cancer cell line |
| HCT116 | human colon cancer cell line |
| HCT-15 | human colorectal cancer cell line |
| HeLa | human cervical cancer cell line |
| HepG2 | human hepatocellular carcinoma cell line |
| HOS | human osteosarcoma cell line |
| Hs 578T | human breast cancer cell line |
| MCF-7 | human breast cancer cell line |
| MDA-MB-231 | human breast cancer cell line |
| MDA-MB-468 | human breast cancer cell line |
| MRC5pd30 | Medical Research Council human fibroblast cell line 5 |
| NMDA | N-methyl-D-aspartate |
| PCy3 | tricyclohexylphosphine |
| PPh3 | triphenylphosphine |
| PTA | 1,3,5-triaza-7-phosphadamantane |
| PSN-1 | human breast cancer cell line |
| RD | human rhabdomyosarcoma cell line |
| ROS | reactive oxygen species |
| SKBR3 | human breast cancer cell line |
| SW620 | human colon cancer cell line |
| SW480 | human colon cancer cell line |
| SW116 | human colorectal cancer cell line |
| T24 | human bladder cancer cell line |
| TNBC | triple-negative breast cancer |
| Tp | tris(pyrazol-1-yl)borate |
| TrxR | thioredoxin reductase |
| U1285 | human breast cancer cell line |
| PC3 | human prostate cancer cell line |
References
- Anand, U.; Dey, A.; Chandel, A.K.S.; Sanyal, R.; Mishra, A.; Pandey, D.K.; De Falco, V.; Upadhyay, A.; Kandimalla, R.; Chaudhary, A.; et al. Cancer chemotherapy and beyond: Current status, drug candidates, associated risks and progress in targeted therapeutics. Genes Dis. 2023, 10, 1367–1401. [Google Scholar] [CrossRef]
- Tilsed, C.M.; Fisher, S.A.; Nowak, A.K.; Lake, R.A.; Lesterhuis, W.J. Cancer chemotherapy: Insights into cellular and tumor microenvironmental mechanisms of action. Front. Oncol. 2022, 12, 960317. [Google Scholar] [CrossRef]
- Safa, A.R. Drug and apoptosis resistance in cancer stem cells: A puzzle with many pieces. Cancer Drug Resist. 2022, 5, 850–872. [Google Scholar] [CrossRef]
- Nurgali, K.; Jagoe, R.T.; Abalo, R. Editorial: Adverse Effects of Cancer Chemotherapy: Anything New to Improve Tolerance and Reduce Sequelae? Front. Pharmacol. 2018, 9, 245. [Google Scholar] [CrossRef]
- Crawford, S. Is it time for a new paradigm for systemic cancer treatment? Lessons from a century of cancer chemotherapy. Front. Pharmacol. 2013, 4, 68. [Google Scholar] [CrossRef]
- Min, H.Y.; Lee, H.Y. Molecular targeted therapy for anticancer treatment. Exp. Mol. Med. 2022, 54, 1670–1694. [Google Scholar] [CrossRef]
- Abdolmaleki, S.; Khaksar, S.; Aliabadi, A.; Panjehpour, A.; Motieiyan, E.; Marabello, D.; Faraji, M.H.; Beihaghi, M. Cytotoxicity and mechanism of action of metal complexes: An overview. Toxicology 2023, 492, 153516. [Google Scholar] [CrossRef]
- Florea, A.-M.; Büsselberg, D. Cisplatin as an Anti-Tumor Drug: Cellular Mechanisms of Activity, Drug Resistance and Induced Side Effects. Cancers 2011, 3, 1351–1371. [Google Scholar] [CrossRef]
- Pricker, S.P. Medical uses of gold compounds: Past, present and future. Gold Bull. 1996, 29, 53–60. [Google Scholar] [CrossRef]
- Mansfield, A.S.; Fields, A.P.; Jatoi, A.; Qi, Y.; Adjei, A.A.; Erlichman, C.; Molina, J.R. Phase I dose escalation study of the PKCι inhibitor aurothiomalate for advanced non-small-cell lung cancer, ovarian cancer, and pancreatic cancer. Anticancer Drugs 2013, 24, 1079–1083. [Google Scholar] [CrossRef]
- Hofheinz, R.D.; Dittrich, C.; Jakupec, M.A.; Drescher, A.; Jaehde, U.; Gneist, M.; Graf von Keyserlingk, N.; Keppler, B.K.; Hochhaus, A. Early results from a phase I study on orally administered tris(8-quinolinolato)gallium(III) (FFC11, KP46) in patients with solid tumors—A CESAR study (Central European Society for Anticancer Drug Research--EWIV). Int. J. Clin. Pharmacol. Ther. 2005, 43, 590–591. [Google Scholar] [CrossRef] [PubMed]
- Hartinger, C.G.; Jakupec, M.A.; Zorbas-Seifried, S.; Groessl, M.; Egger, A.; Berger, W.; Zorbas, H.; Dyson, P.J.; Keppler, B.K. KP1019, A New Redox-Active Anticancer Agent—Preclinical Development and Results of a Clinical Phase I Study in Tumor Patients. Chem. Biodivers. 2008, 5, 2140–2155. [Google Scholar] [CrossRef] [PubMed]
- Wu, S.; Wu, Z.; Ge, Q.; Zheng, X.; Yang, Z. Antitumor activity of tridentate pincer and related metal complexes. Org. Biomol. Chem. 2021, 19, 5254–5273. [Google Scholar] [CrossRef] [PubMed]
- Andrade, M.A.; Martins, L. Novel Chemotherapeutic Agents—The Contribution of Scorpionates. Curr. Med. Chem. 2019, 26, 7452–7475. [Google Scholar] [CrossRef]
- Trofimenko, S. Polypyrazolylborates: Scorpionates. J. Chem. Educ. 2005, 82, 1715. [Google Scholar] [CrossRef]
- Frezza, M.; Hindo, S.; Chen, D.; Davenport, A.; Schmitt, S.; Tomco, D.; Dou, Q.P. Novel metals and metal complexes as platforms for cancer therapy. Curr. Pharm. Des. 2010, 16, 1813–1825. [Google Scholar] [CrossRef]
- Das, K.; Beyene, B.B.; Datta, A.; Garribba, E.; Roma-Rodrigues, C.; Silva, A.; Fernandes, A.R.; Hung, C.-H. EPR and electrochemical interpretation of bispyrazolylacetate anchored Ni(ii) and Mn(ii) complexes: Cytotoxicity and anti-proliferative activity towards human cancer cell lines. New J. Chem. 2018, 42, 9126–9139. [Google Scholar] [CrossRef]
- Maroń, A.; Czerwińska, K.; Machura, B.; Raposo, L.; Roma-Rodrigues, C.; Fernandes, A.R.; Małecki, J.G.; Szlapa-Kula, A.; Kula, S.; Krompiec, S. Spectroscopy, electrochemistry and antiproliferative properties of Au(iii), Pt(ii) and Cu(ii) complexes bearing modified 2,2′:6′,2″-terpyridine ligands. Dalton Trans. 2018, 47, 6444–6463. [Google Scholar] [CrossRef]
- Berasaluce, I.; Cseh, K.; Roller, A.; Hejl, M.; Heffeter, P.; Berger, W.; Jakupec, M.A.; Kandioller, W.; Malarek, M.S.; Keppler, B.K. The First Anticancer Tris(pyrazolyl)borate Molybdenum(IV) Complexes: Tested In Vitro and In Vivo—A Comparison of O,O-, S,O-, and N,N-Chelate Effects. Chem. A Eur. J. 2020, 26, 2211–2221. [Google Scholar] [CrossRef]
- Tyszka-Czochara, M.; Adach, A.; Grabowski, T.; Konieczny, P.; Pasko, P.; Ortyl, J.; Świergosz, T.; Majka, M. Selective Cytotoxicity of Complexes with N,N,N-Donor Dipodal Ligand in Tumor Cells. Int. J. Mol. Sci. 2021, 22, 1802. [Google Scholar] [CrossRef]
- Narwane, M.; Dorairaj, D.P.; Chang, Y.L.; Karvembu, R.; Huang, Y.H.; Chang, H.W.; Hsu, S.C.N. Tris-(2-pyridyl)-pyrazolyl Borate Zinc(II) Complexes: Synthesis, DNA/Protein Binding and In Vitro Cytotoxicity Studies. Molecules 2021, 26, 7341. [Google Scholar] [CrossRef]
- Trofimenko, S. Boron-pyrazole chemistry. II. Poly(1-pyrazolyl)-borates. J. Am. Chem. Soc. 1967, 89, 3170–3177. [Google Scholar] [CrossRef]
- Tăbăcaru, A.; Khan, R.A.; Lupidi, G.; Pettinari, C. Synthesis, Characterization and Assessment of the Antioxidant Activity of Cu(II), Zn(II) and Cd(II) Complexes Derived from Scorpionate Ligands. Molecules 2020, 25, 5298. [Google Scholar] [CrossRef] [PubMed]
- Silva, F.; Fernandes, C.; Campello, M.P.C.; Paulo, A. Metal complexes of tridentate tripod ligands in medical imaging and therapy. Polyhedron 2017, 125, 186–205. [Google Scholar] [CrossRef]
- Tazelaar, C.G.J.; Slootweg, J.C.; Lammertsma, K. Coordination chemistry of tris(azolyl)phosphines. Coord. Chem. Rev. 2018, 356, 115–126. [Google Scholar] [CrossRef]
- Bitto, F.; Wagler, J.; Kroke, E. 3,5-Dimethylpyrazole Derivatives of (Hydrido)chlorosilanes. Eur. J. Inorg. Chem. 2012, 2012, 2402–2408. [Google Scholar] [CrossRef]
- Adach, A. Review: An overview of recent developments in coordination chemistry of polypyrazolylmethylamines. Complexes with N-scorpionate ligands created in situ from pyrazole derivatives and zerovalent metals. J. Coord. Chem. 2017, 70, 757–779. [Google Scholar] [CrossRef]
- Banerjee, A.; Li, J.; Easley, C.R.; Brennessel, W.W.; Loloee, R.; Chavez, F.A. Synthesis, structure, and characterization of tris(1-ethyl-4-isopropyl-imidazolyl-қN)phosphine nickel(II) complexes. Inorganica Chim. Acta 2019, 489, 170–179. [Google Scholar] [CrossRef]
- Bartholomew, A.K.; Guard, L.M.; Hazari, N.; Luzik, E.D. Synthesis of Mg Complexes Supported by Tris-(1-pyrazolyl)phosphine. Aust. J. Chem. 2013, 66, 1455–1458. [Google Scholar] [CrossRef]
- Pullen, E.E.; Rheingold, A.L.; Rabinovich, D. Methyltris(pyrazolyl)silanes: New tripodal nitrogen-donor ligands. Inorg. Chem. Commun. 1999, 2, 194–196. [Google Scholar] [CrossRef]
- Pullen, E.E.; Rabinovich, D.; Incarvito, C.D.; Concolino, T.E.; Rheingold, A.L. Syntheses and Structures of Methyltris(pyrazolyl)silane Complexes of the Group 6 Metals. Inorg. Chem. 2000, 39, 1561–1567. [Google Scholar] [CrossRef] [PubMed]
- Karam, A.; Tenia, R.; Martínez, M.; López-Linares, F.; Albano, C.; Diaz-Barrios, A.; Sánchez, Y.; Catarí, E.; Casas, E.; Pekerar, S.; et al. Iron(II) and cobalt(II) tris(2-pyridyl)phosphine and tris(2-pyridyl)amine catalysts for the ethylene polymerization. J. Mol. Catal. A Chem. 2007, 265, 127–132. [Google Scholar] [CrossRef]
- Setifi, Z.; Cubillán, N.; Glidewell, C.; Gil, D.M.; Torabi, E.; Morales-Toyo, M.; Dege, N.; Setifi, F.; Mirzaei, M. A combined experimental, Hirshfeld surface analysis, and theoretical study on fac-[tri(azido)(tris(2-pyridyl)amine)iron(III)]. Polyhedron 2023, 233, 116320. [Google Scholar] [CrossRef]
- Mautner, F.A.; Albering, J.H.; Vicente, R.; Louka, F.R.; Gallo, A.A.; Massoud, S.S. Copper(II) complexes derived from tripodal tris[(2-ethyl-(1-pyrazolyl)]amine. Inorganica Chim. Acta 2011, 365, 290–296. [Google Scholar] [CrossRef]
- Martins, L.M.D.R.S.; Pombeiro, A.J.L. Tris(pyrazol-1-yl)methane metal complexes for catalytic mild oxidative functionalizations of alkanes, alkenes and ketones. Coord. Chem. Rev. 2014, 265, 74–88. [Google Scholar] [CrossRef]
- Santini, C.; Pellei, M.; Lobbia, G.G.; Papini, G. Synthesis and Properties of Poly(pyrazolyl)borate and Related Boron-Centered Scorpionate Ligands. Part A: Pyrazole-Based Systems. Mini-Rev. Org. Chem. 2010, 7, 84–124. [Google Scholar] [CrossRef]
- Antunes, M.A.; Domingos, Â.; Santos, I.C.d.; Marques, N.; Takats, J. Synthesis and characterization of uranium(III) compounds supported by the hydrotris(3,5-dimethyl-pyrazolyl)borate ligand: Crystal structures of [U(TpMe2)2(X)] complexes (X=OC6H2-2,4,6-Me3, dmpz, Cl). Polyhedron 2005, 24, 3038–3045. [Google Scholar] [CrossRef]
- Saliu, K.O.; Maunder, G.H.; Ferguson, M.J.; Sella, A.; Takats, J. Synthesis and structure of heteroleptic ytterbium (II) tetrahydroborate complexes. Inorganica Chim. Acta 2009, 362, 4616–4622. [Google Scholar] [CrossRef]
- Liang, S.; Jensen, M.P. Half-Sandwich Scorpionates as Nitrene Transfer Catalysts. Organometallics 2012, 31, 8055–8058. [Google Scholar] [CrossRef]
- Otero, A.; Fernández-Baeza, J.; Lara-Sánchez, A.; Sánchez-Barba, L.F. Metal complexes with heteroscorpionate ligands based on the bis(pyrazol-1-yl)methane moiety: Catalytic chemistry. Coord. Chem. Rev. 2013, 257, 1806–1868. [Google Scholar] [CrossRef]
- John, R.; Mark, D.S. The Bioinorganic Chemistry of Methimazole Based Soft Scorpionates. Curr. Bioact. Compd. 2009, 5, 264–276. [Google Scholar] [CrossRef]
- Pellei, M.; Lobbia, G.G.; Santini, C.; Spagna, R.; Camalli, M.; Fedeli, D.; Falcioni, G. Synthesis, characterization and antioxidant activity of new copper(i) complexes of scorpionate and water soluble phosphane ligands. Dalton Trans. 2004, 17, 2822–2828. [Google Scholar] [CrossRef] [PubMed]
- Faghih, Z.; Neshat, A.; Mastrorilli, P.; Gallo, V.; Faghih, Z.; Gilanchi, S. Cu(II), Ni(II) and Co(II) complexes with homoscorpionate Bis(2-Mercaptobenzimidazolyl) and Bis(2-Mercaptobenzothiazolyl)borate ligands: Synthesis and in vitro cytotoxicity studies. Inorganica Chim. Acta 2020, 512, 119896. [Google Scholar] [CrossRef]
- Azam, M.A.; Suresh, B. Biological activities of 2-mercaptobenzothiazole derivatives: A review. Sci. Pharm. 2012, 80, 789–823. [Google Scholar] [CrossRef]
- Shah, K.; Chhabra, S.; Shrivastava, S.K.; Mishra, P. Benzimidazole: A promising pharmacophore. Med. Chem. Res. 2013, 22, 5077–5104. [Google Scholar] [CrossRef]
- Ghorbanpour, M.; Soltani, B.; Molavi, O.; Shayanfar, A.; Mehdizadeh Aghdam, E.; Ziegler, C.J. Copper (II) complexes based bis(pyrazolyl)borate derivatives as efficient anticancer agents: Synthesis, characterization, X-ray structure, cytotoxicity, molecular docking and QSAR studies. Chem. Pap. 2022, 76, 7343–7356. [Google Scholar] [CrossRef]
- Gandin, V.; Tisato, F.; Dolmella, A.; Pellei, M.; Santini, C.; Giorgetti, M.; Marzano, C.; Porchia, M. In Vitro and in Vivo Anticancer Activity of Copper(I) Complexes with Homoscorpionate Tridentate Tris(pyrazolyl)borate and Auxiliary Monodentate Phosphine Ligands. J. Med. Chem. 2014, 57, 4745–4760. [Google Scholar] [CrossRef]
- Maret, W. Zinc in Cellular Regulation: The Nature and Significance of “Zinc Signals”. Int. J. Mol. Sci. 2017, 18, 2285. [Google Scholar] [CrossRef] [PubMed]
- Chen, B.; Yu, P.; Chan, W.N.; Xie, F.; Zhang, Y.; Liang, L.; Leung, K.T.; Lo, K.W.; Yu, J.; Tse, G.M.K.; et al. Cellular zinc metabolism and zinc signaling: From biological functions to diseases and therapeutic targets. Signal Transduct. Target. Ther. 2024, 9, 6. [Google Scholar] [CrossRef]
- Bigmore, H.R.; Lawrence, S.C.; Mountford, P.; Tredget, C.S. Coordination, organometallic and related chemistry of tris(pyrazolyl)methane ligands. Dalton Trans. 2005, 34, 635–651. [Google Scholar] [CrossRef]
- Reger, D.L.; Grattan, T.C.; Brown, K.J.; Little, C.A.; Lamba, J.J.S.; Rheingold, A.L.; Sommer, R.D. Syntheses of tris(pyrazolyl)methane ligands and {[tris(pyrazolyl)methane]Mn(CO)3}SO3CF3 complexes: Comparison of ligand donor properties. J. Organomet. Chem. 2000, 607, 120–128. [Google Scholar] [CrossRef]
- Morelli, M.B.; Amantini, C.; Santoni, G.; Pellei, M.; Santini, C.; Cimarelli, C.; Marcantoni, E.; Petrini, M.; Del Bello, F.; Giorgioni, G.; et al. Novel antitumor copper(ii) complexes designed to act through synergistic mechanisms of action, due to the presence of an NMDA receptor ligand and copper in the same chemical entity. New J. Chem. 2018, 42, 11878–11887. [Google Scholar] [CrossRef]
- Pellei, M.; Santini, C.; Bagnarelli, L.; Caviglia, M.; Sgarbossa, P.; De Franco, M.; Zancato, M.; Marzano, C.; Gandin, V. Novel Silver Complexes Based on Phosphanes and Ester Derivatives of Bis(pyrazol-1-yl)acetate Ligands Targeting TrxR: New Promising Chemotherapeutic Tools Relevant to SCLC Management. Int. J. Mol. Sci. 2023, 24, 4091. [Google Scholar] [CrossRef] [PubMed]
- Silva, P.M.G.; Pinheiro, P.F.; Camões, S.P.; Ribeiro, A.P.C.; Martins, L.; Miranda, J.P.G.; Justino, G.C. Exploring the Mechanisms behind the Anti-Tumoral Effects of Model C-Scorpionate Complexes. Molecules 2023, 28, 5451. [Google Scholar] [CrossRef]
- Cervinka, J.; Gobbo, A.; Biancalana, L.; Markova, L.; Novohradsky, V.; Guelfi, M.; Zacchini, S.; Kasparkova, J.; Brabec, V.; Marchetti, F. Ruthenium(II)-Tris-pyrazolylmethane Complexes Inhibit Cancer Cell Growth by Disrupting Mitochondrial Calcium Homeostasis. J. Med. Chem. 2022, 65, 10567–10587. [Google Scholar] [CrossRef]
- Walker, J.M.; McEwan, A.; Pycko, R.; Tassotto, M.L.; Gottardo, C.; Th’ng, J.; Wang, R.; Spivak, G.J. [Tris(pyrazolyl)methane]ruthenium Complexes Capable of Inhibiting Cancer Cell Growth. Eur. J. Inorg. Chem. 2009, 2009, 4629–4633. [Google Scholar] [CrossRef]
- North, W.G.; Gao, G.; Memoli, V.A.; Pang, R.H.; Lynch, L. Breast cancer expresses functional NMDA receptors. Breast Cancer Res. Treat 2010, 122, 307–314. [Google Scholar] [CrossRef]
- Hanson, S.; Dharan, A.; Jinsha, P.V.; Pal, S.; Nair, B.G.; Kar, R.; Mishra, N. Paraptosis: A unique cell death mode for targeting cancer. Front. Pharmacol. 2023, 14, 1159409. [Google Scholar] [CrossRef]
- Mohammadi, F.; Soltani, A.; Ghahremanloo, A.; Javid, H.; Hashemy, S.I. The thioredoxin system and cancer therapy: A review. Cancer Chemother. Pharmacol. 2019, 84, 925–935. [Google Scholar] [CrossRef]
- Gobbo, A.; Pereira, S.A.P.; Biancalana, L.; Zacchini, S.; Saraiva, M.L.M.F.S.; Dyson, P.J.; Marchetti, F. Anticancer ruthenium(ii) tris(pyrazolyl)methane complexes with bioactive co-ligands. Dalton Trans. 2022, 51, 17050–17063. [Google Scholar] [CrossRef]
- Niesel, J.; Pinto, A.; N’Dongo, H.W.P.; Merz, K.; Ott, I.; Gust, R.; Schatzschneider, U. Photoinduced CO release, cellular uptake and cytotoxicity of a tris(pyrazolyl)methane (tpm) manganese tricarbonyl complex. Chem. Commun. 2008, 44, 1798–1800. [Google Scholar] [CrossRef] [PubMed]
- Berends, H.-M.; Kurz, P. Investigation of light-triggered carbon monoxide release from two manganese photoCORMs by IR, UV–Vis and EPR spectroscopy. Inorganica Chim. Acta 2012, 380, 141–147. [Google Scholar] [CrossRef]
- Woods, J.J.; Cao, J.; Lippert, A.R.; Wilson, J.J. Characterization and Biological Activity of a Hydrogen Sulfide-Releasing Red Light-Activated Ruthenium(II) Complex. J. Am. Chem. Soc. 2018, 140, 12383–12387. [Google Scholar] [CrossRef] [PubMed]
- Massoud, S.S.; Louka, F.R.; Ducharme, G.T.; Fischer, R.C.; Mautner, F.A.; Vančo, J.; Herchel, R.; Dvořák, Z.; Trávníček, Z. Copper(II) complexes based on tripodal pyrazolyl amines: Synthesis, structure, magnetic properties and anticancer activity. J. Inorg. Biochem. 2018, 180, 39–46. [Google Scholar] [CrossRef] [PubMed]
- Adach, A.; Daszkiewicz, M.; Tyszka-Czochara, M. Comparative X-ray, vibrational, theoretical and biological studies of new in situ formed [CoLSX]2[CdX4] halogenocadmate(II) complexes containing N-scorpionate ligand. Polyhedron 2020, 175, 114229. [Google Scholar] [CrossRef]
- Adach, A.; Tyszka-Czochara, M.; Bukowska-Strakova, K.; Rejnhardt, P.; Daszkiewicz, M. In situ synthesis, crystal structure, selective anticancer and proapoptotic activity of complexes isolated from the system containing zerovalent nickel and pyrazole derivatives. Polyhedron 2022, 223, 115943. [Google Scholar] [CrossRef]
- Pfeffer, C.M.; Singh, A.T.K. Apoptosis: A Target for Anticancer Therapy. Int. J. Mol. Sci. 2018, 19, 448. [Google Scholar] [CrossRef]







Disclaimer/Publisher’s Note: The statements, opinions and data contained in all publications are solely those of the individual author(s) and contributor(s) and not of MDPI and/or the editor(s). MDPI and/or the editor(s) disclaim responsibility for any injury to people or property resulting from any ideas, methods, instructions or products referred to in the content. |
© 2024 by the authors. Licensee MDPI, Basel, Switzerland. This article is an open access article distributed under the terms and conditions of the Creative Commons Attribution (CC BY) license (https://creativecommons.org/licenses/by/4.0/).
Share and Cite
Petrosian, A.; Pinheiro, P.F.; Ribeiro, A.P.C.; Martins, L.M.D.R.S.; Justino, G.C. The Elusive Biological Activity of Scorpionates: A Useful Scaffold for Cancer Therapy? Molecules 2024, 29, 5672. https://doi.org/10.3390/molecules29235672
Petrosian A, Pinheiro PF, Ribeiro APC, Martins LMDRS, Justino GC. The Elusive Biological Activity of Scorpionates: A Useful Scaffold for Cancer Therapy? Molecules. 2024; 29(23):5672. https://doi.org/10.3390/molecules29235672
Chicago/Turabian StylePetrosian, Artem, Pedro F. Pinheiro, Ana P. C. Ribeiro, Luísa M. D. R. S. Martins, and Gonçalo C. Justino. 2024. "The Elusive Biological Activity of Scorpionates: A Useful Scaffold for Cancer Therapy?" Molecules 29, no. 23: 5672. https://doi.org/10.3390/molecules29235672
APA StylePetrosian, A., Pinheiro, P. F., Ribeiro, A. P. C., Martins, L. M. D. R. S., & Justino, G. C. (2024). The Elusive Biological Activity of Scorpionates: A Useful Scaffold for Cancer Therapy? Molecules, 29(23), 5672. https://doi.org/10.3390/molecules29235672

