Abstract
Due to the importance of biaryls as natural products, drugs, agrochemicals, dyes, or organic electronic materials, a green alternative biaryl synthesis has been developed based on easy-to-prepare and cheap copper(I)-exchanged zeolite catalysts. CuI-USY proved to efficiently catalyze the direct homocoupling of either phenols or aryl boronic acids under simple and practical conditions. The CuI-USY-catalyzed oxidative homocoupling of phenols could conveniently be performed under air either in warm methanol or water with good to high yields. In methanol, a small amount of Cs2CO3 was required, while none was necessary in water. The homocoupling of aryl boronic acids was best performed also in warm methanol, without an additive. These mild conditions showed good functional-group tolerance, leading to a variety of substituted (hetero)biaryls (28 examples). The heterogeneous CuI-USY catalyst could readily be recovered and reused. Interestingly, the homocoupling of vinyl boronic acids was successfully coupled to a Diels–Alder reaction, even in a one-pot process, allowing access to highly functionalized cyclohexenes.
1. Introduction
Known since the early works of Sandmeyer [1,2], Pschorr [3], and, a few years later, Ullmann [4], the biaryl motif is encountered in numerous natural products (Figure 1A). It can be found in secondary metabolites of various organisms. The most typical of these metabolites are the vancomycin family of antibiotics, well known for their ability to treat infections caused by bacteria that are resistant to other drugs; vancomycin has thus now been on the WHO’s list of essential medicines since 2017 [5,6]. The biaryl motif is also present in various plants in the form (i) of alkaloids, such as potent antimalarial dioncophyllines B and C [7,8]; (ii) of polyphenols, such as pluripotent riccardin C [9] and the ellagitannins sanguiins [10] and tellimagrandins [11]; or (iii) of toxic substances, such as gossypol [12] isolated from cotton seeds.
Figure 1.
Representative examples of natural (A, top) and non-natural (B, bottom) biaryl-containing molecules.
This motif is also found in many non-natural molecules including pharmaceuticals, such as highly antihypertensive sartans [13], and agrochemicals, such as boscalid [14] (Figure 1B). While a biaryl unit is the core of various chiral ligands/catalysts [15], dyes, and liquid crystals [16], it has also been employed in various technical applications/materials, e.g., as solar cell components, as organic electronic materials [17], or in MOF for gas storage [18].
Because of their relevance to life and materials sciences, biaryls have thus received much attention from synthetic organic chemists. In nature, the preferred synthetic tool for constructing the biaryl bond is the C-C oxidative homocoupling of phenols that is mediated by various enzymes, such as peroxidases, laccases, etc. [19,20]. Therefore, several biomimetic methods based on the use of enzymes, transition metals, and hypervalent iodine reagents have been developed to produce biphenols (Scheme 1A) [21]. The other known syntheses mostly rely on metal-catalyzed homo- or cross-coupling of aryl halides, first in Ullmann-type reactions mediated by copper under harsh conditions [4], then through the now classical palladium-catalyzed reactions under milder conditions [22]. The more recent and concomitant discovery by Chan-Lam and Evans’ groups that aryl boronic acids can also be coupled in the presence of copper(II) salts [23,24] has gained interest, mostly due to the availability of numerous boronic acids and to the mild conditions employed (Scheme 1B) [25]. Homocoupling was first observed as a side reaction in these reactions, hence providing a rapid and mild alternative route to symmetrical biaryls. As a result, several catalysts, mostly based on palladium, have been developed to facilitate the homocoupling of aryl boronic acids, but they usually relied on specific, complex ligands [26]. The use of silver, gold, rhodium, and copper as promoters has also emerged, but to a much lesser extent than palladium [26,27]. Noteworthy is that in the case of copper, most examples required a stoichiometric amount of copper and base.
Scheme 1.
Known methods for biaryl synthesis via oxidative phenol homocoupling (A) [21] and aryl boronic acid homocoupling (B) [22,26], and the presently proposed alternative based on CuI-zeolite catalysis (C).
In contrast, not many heterogeneous versions of these known methods have so far been developed, despite the inherent advantages of easy separation, better handling characteristics, and recyclability exhibited by heterogeneous catalysts [28,29,30,31,32,33,34]. Moreover, only a few methods use inexpensive, earth-abundant copper as catalytically active metal and none of them rely on the use of inexpensive zeolites as solid supports.
On these bases, and due to the current environmental and greening context, we embarked on the synthesis of biaryls using copper(I)-loaded zeolites as catalysts (Scheme 1C). Besides those mentioned above, one advantage of applying zeolites as heterogeneous catalysts is to take benefit from the nanometric size and shape of their internal cavities [35,36]. Zeolites are indeed well known for their selectivity in some petrochemical processes, notably in xylene production [37], and now in zeolite-catalyzed organic reactions [38,39,40], especially in changing the stereoselectivity of some reactions and in limiting the oligomerization of others. We thus explore here the catalytic potential of CuI-USY [38,39], our powerful ‘home-made’ zeolite-based material, in the synthesis of biaryls via (i) the C-C oxidative homocoupling of phenols, and (ii) the C-C homocoupling of aryl boronic acids. Our aim is also to develop conditions that are as mild and green as possible.
2. Results and Discussion
In our previous works, CuI-loaded zeolites of the faujasite type, especially CuI-USY, proved to be the best catalyst [38,39,41,42,43,44]. The latter is obtained by H+ to CuI exchange from its parent acidic zeolite (H-USY) and can be readily characterized [45,46]. Therefore, we first looked for coupling conditions involving CuI-USY as a heterogeneous catalyst.
2.1. Biaryl Synthesis via CuI-USY Oxidative Phenol Coupling
2.1.1. Setup of Coupling Conditions (Table 1)
To evaluate the catalytic potential of CuI-zeolites, especially CuI-USY in the oxidative phenol coupling, we selected 2,4-di-tert-butylphenol 1a as a model substrate. When the recently reported homogeneous conditions [47] were transposed to CuI−USY, the reaction performed with 1a was very slow and only traces of the expected product, 2a, could be detected (entry 2 vs. 1). Heating and more dilute conditions or a higher catalyst concentration allowed us to reach a significant amount of the coupling product (entries 3–5 vs. 2). While shifting to more polar and/or protic solvents was not beneficial (entries 6–7), methanol nevertheless appeared as a promising alternative solvent for performing the expected coupling (entry 7). Rewardingly, greener solvents and cesium carbonate as a base improved yields, especially in methanol and water (entries 8–9 vs. 7). Halving the quantity of cesium carbonate proved to be profitable (entry 10 vs. 8). Among the bases screened, cesium carbonate proved to be the best base (entry 10 vs. 7, 11–12). Surprisingly, the base was required in methanol but not in water (entry 13 vs. 14). Further control experiments showed that no reaction took place with native zeolite or without a catalyst, in both methanol and water (entries 15–20).
Table 1.
Screening of reaction conditions for the CuI-USY-catalyzed oxidative phenol coupling of 2,4-di-tert-butylphenol 1a a.
Table 1.
Screening of reaction conditions for the CuI-USY-catalyzed oxidative phenol coupling of 2,4-di-tert-butylphenol 1a a.

| Entry a | Catalyst (x mol%) | Base (y equiv.) | Solvent | T (°C) | Yield b (%) |
|---|---|---|---|---|---|
| 1 c,d | CuCl (10) | NEt3 (0.5) | CH2Cl2 | rt | 79 |
| 2 d | CuI-USY (10) | NEt3 (0.5) | CH2Cl2 | rt | traces e |
| 3 d | CuI-USY (10) | NEt3 (0.5) | CH2Cl2 | 90 f | 42 |
| 4 | CuI-USY (10) | NEt3 (0.5) | CH2Cl2 | 90 f | 48 |
| 5 | CuI-USY (15) | NEt3 (0.5) | CH2Cl2 | 90 f | 55 |
| 6 | CuI-USY (15) | NEt3 (0.5) | DMF | 100 | traces e |
| 7 | CuI-USY (15) | NEt3 (0.5) | MeOH | 65 | 35 e |
| 8 | CuI-USY (15) | Cs2CO3 (0.5) | MeOH | 65 | 65 e |
| 9 | CuI-USY (15) | Cs2CO3 (0.5) | H2O | 100 | 63 e |
| 10 | CuI-USY (15) | Cs2CO3 (0.25) | MeOH | 65 | 70 |
| 11 | CuI-USY (15) | K2CO3 (0.25) | MeOH | 65 | 35 e |
| 12 | CuI-USY (15) | K3PO4 (0.25) | MeOH | 65 | 17 e |
| 13 | CuI-USY (15) | - | MeOH | 65 | traces e |
| 14 | CuI-USY (15) | - | H2O | 100 | 65 |
| 15 | H-USY (15) | Cs2CO3 (0.25) | MeOH | 65 | traces |
| 16 | NH4-USY (15) | Cs2CO3 (0.25) | MeOH | 65 | traces |
| 17 | none | Cs2CO3 (0.25) | MeOH | 65 | traces |
| 18 | H-USY (15) | - | H2O | 100 | traces |
| 19 | NH4-USY (15) | - | H2O | 100 | traces |
| 20 | none | - | H2O | 100 | traces |
a Reactions run for 22 h under air with 2,4-di-tert-butylphenol (1 M concentration) unless otherwise stated. b Yield of isolated pure product. c Homogeneous control conditions like previously developed conditions. See ref. [43] for details. d Reaction run under air with 2,4-di-tert-butylphenol at 0.1 M concentration. e Incomplete conversion. f Reaction run in sealed tube. Bold lines (10, 14) highlighted the best results under each condition.
2.1.2. Substrate Scope and Limitations
These green conditions were then applied to the coupling of a representative set of phenols (Scheme 2).
Scheme 2.
The scope of the CuI-USY-catalyzed oxidative-phenol-coupling conditions. a Condition A: reactions run under air in MeOH with CuI-USY (15 mol%), Cs2CO3 (0.25 equiv.), and a phenolic substrate (1.0 equiv. with a 1 M concentration) at 65 °C during 22 h, or condition B: reactions run under air in H2O with CuI-USY (15 mol %) and a phenolic substrate (1 M) at 100 °C during 22 h. b Incomplete conversion. c The obtention of a complex mixture of products was observed, as revealed by LCMS. d Traces of the expected product detected by LCMS.
Compared to our model phenol, which dimerized to biphenol 2a with similar efficiency in methanol or water, its 4-phenylated analog gave the expected dimer 2b with better yield in water but lower yield in methanol. In contrast, its regioisomer led to a mixture of products from which the expected dimer 2c could be detected in only a low amount among various side products. Some of the latter may correspond to dibenzofuran derivatives, the formation of which being known from ortho-phenyl phenols under oxidative conditions [48]. The two brominated analogs behave similarly, providing again a complex mixture in which only low amounts of the expected dimers 2d and 2e were detected.
Interestingly, the 2,6-di-tert-butylphenol, a regiosiomer of 1a, provided the expected dimer, but under the sensitive diphenoquinone form 2f. Due to its fragility, this product could only be isolated in modest yields, with again better results in water.
Rewardingly, 2-naphthol derivatives could also be engaged in this homocoupling, providing the corresponding binaphthols in good yields. The simplest member, 2-naphthol, readily gave the expected dimer 2g but only cleanly in water. As for some other preceding examples, basic conditions in methanol proved deleterious and only led to a complex mixture of products. The electron-enriched 6-methoxy-2-naphthol reacted slightly more efficiently than its parent β-naphthol compound, furnishing biphenol 2h in good yield in water. However, the brominated dimeric analog 2i was obtained in lower yield from 6-bromo-2-naphthol. The latter results revealed some influence of electronic effects upon this oxidative coupling, reminiscent of related coupling in homogeneous conditions.
2.1.3. CuI-USY Catalyst Recovery and Recycling
The CuI-USY catalyst recycling and reuse were evaluated under both reaction conditions, A/B, with the model substrate, i.e., 2,4-di-tert-butylphenol 1a (Scheme 2, Figure 2). After each reaction run, the insoluble materials were filtered, successively washed with water and methanol, dried, and re-engaged in the next run. As can be seen, condition A induced deleterious effects on the zeolitic materials, with an important drop in catalytic activity after the first run and a lower one after the second. This could be attributed to the sensitivity of the zeolitic material to basic conditions, leading to its degradation. In sharp contrast, the catalytic activity was maintained for three runs under condition B. A substantial decrease nevertheless took place in the fourth run. In that case, we performed a Sheldon test to examine whether leaching of copper active species is occurring or not. After the filtration of the solid material, the test indicated the additional formation of biphenol 2a, but at a rate by far slower than the CuI-USY-catalyzed reaction. This result reveals the leaching of some active species from the native zeolite catalyst, thus clarifying the decrease observed under condition B after the third run.
Figure 2.
Recycling studies: oxidative phenol coupling of 2,4-di-tert-butylphenol 1a successively catalyzed by the same recovered CuI-USY material under reaction conditions A and B.
2.1.4. Mechanistic Scenario
Mechanistic aspects related to the oxidative homocoupling of phenols (or naphthols) have already attracted much attention, especially when performed under copper catalysis [21,49,50]. While various mechanistic scenarios have been reported so far, the archetypal mechanisms are currently those involving phenoxy radicals (or metal-bound surrogates thereof) as key intermediates. These radicals could be generated either by hydrogen radical abstraction or by deprotonation/electron abstraction.
In order to check the involvement of a radical pathway in the case of our CuI-catalyzed versions, inhibition experiments were conducted on the model reaction. Thus, the oxidative dimerization of 2,4-di-tert-butylphenol 1a was performed in the presence of 2,2,6,6-tetramethylpiperidin-1-oxyl (TEMPO) and 2,6-di-tert-butyl-p-cresol (BHT) as radical scavengers. We observed that in methanol in the presence of cesium carbonate (condition A) or in water (condition B), the formation of the expected biphenol 2a was clearly inhibited (Scheme 3, top), thus supporting the involvement of a radical pathway. However, no additional product between these scavengers and the possible radical forms of 1a could be detected from these experiments.
Scheme 3.
(Top) Inhibition experiments with TEMPO and BHT as radical scavengers (condition A: in MeOH in the presence of Cs2CO3 and condition B: in H2O). (Bottom) The suggested mechanistic scenario based on the many precedents in the literature (refs. [47,50,51,52] and references therein).
According to these experimental results and the many precedents in the literature [47,50,51,52], we propose a radical–radical mechanistic scenario in the case of water as a solvent (i.e., under neutral conditions) and a radical–anion scenario in the case of methanol as a solvent (i.e., under basic conditions).
2.2. Biaryl Synthesis via CuI-USY Homocoupling of Aryl Boronic Acids
2.2.1. Setup of Coupling Conditions (Table 2)
In the case of the homocoupling of aryl boronic acids, we selected the 4-methoxyphenyl boronic acid 3a-p (p for para) as a model substrate, due to its known reactivity in Chan–Evans–Lam (CEL) reactions.
The classical solvent for CEL reactions, dichloromethane, surprisingly did not allow full conversion and only led to trace amounts of the expected dimer 4a-p, whatever the temperature (entry 1). Toluene, which often proved to be a good solvent for zeolite-catalyzed organic reactions [34,35], gave similar results (entry 2). More polar solvents were then evaluated, but again conversion was moderate to low and 4a-p could only be barely detected (entries 3–5).
Table 2.
Screening of reaction conditions for the CuI-USY-catalyzed homocoupling of 4-methoxyphenyl boronic acid 3a-p a.
Table 2.
Screening of reaction conditions for the CuI-USY-catalyzed homocoupling of 4-methoxyphenyl boronic acid 3a-p a.

| Entry | Catalyst (x mol%) | Solvent | T (°C) | Conversion b (%) | Yield c (4a + 5a %) |
|---|---|---|---|---|---|
| 1 | CuI-USY (10) | CH2Cl2 | rt to 40 d | 45 | traces |
| 2 | CuI-USY (10) | PhMe | rt to 65 d | 42 | traces |
| 3 | CuI-USY (10) | EtOAc | rt to 65 d | 17 | traces |
| 4 | CuI-USY (10) | Me2CO | rt to 65 d | 39 | traces |
| 5 | CuI-USY (10) | MeCN | rt to 65 d | 40 | traces |
| 6 | CuI-USY (10) | iPrOH | 65 | 18 | traces |
| 7 | CuI-USY (10) | EtOH | 65 | 90 | 25 |
| 8 | CuI-USY (10) | MeOH | 65 | 100 | 56 + 16 |
| 9 | CuI-USY (10) | H2O | 65 | 94 | 28 |
| 10 | CuI-USY (10) | CF3CH2OH | 65 | 28 | traces |
| 11 | CuI-USY (10) | MeOH | 25 | 100 | 38 + 10 |
| 12 | CuI-USY (10) | MeOH | 45 | 100 | 45 + 14 |
| 13 | CuI-USY (20) | MeOH | 65 | 100 | 54 + 11 |
| 14 | CuI-USY (5) | MeOH | 65 | 100 | 47 + 16 |
| 15 | CuI-USY (1) | MeOH | 65 | 100 | 46 + 19 |
| 16 e | CuI-USY (10) | MeOH | 65 | 66 | 13 + 1 |
| 17 | CuII-USY (10) | MeOH | 65 | 89 | 46 + 9 |
| 18 | H-USY (10) | MeOH | 65 | - | - |
| 19 | NH4-USY (10) | MeOH | 65 | 43 | traces |
| 20 | none | MeOH | 65 | 42 | traces |
| 21 | CuI-β (10) | MeOH | 65 | 100 | 51 + 19 |
| 22 | CuI-MOR (10) | MeOH | 65 | 100 | 47 + 20 |
| 23 | CuI-ZSM5 (10) | MeOH | 65 | 100 | 46 + 23 |
a Reactions run for 1 h under air with 4-methoxyphenyl boronic acid 3a (0.25 M concentration) unless otherwise stated. b Conversion estimated by 1H NMR of the crude using dimethyl terephthalate as the internal standard. c Yield estimated by 1H NMR of the crude using dimethyl terephthalate as the internal standard. d Reactions performed at rt and monitored, then at 10 °C or higher, and checked again, etc., up to the mentioned temperature. e The reaction performed under argon. Bold line (8) highlighted the best results.
Despite the possibility of competitive CEL coupling, the reaction was also performed in protic solvents. Interestingly, such solvents provided low to full conversion within 1 h (entries 6–9), but among them, only methanol allowed us to obtain satisfactory yield of the expected dimer 4a-p (entry 8). Nevertheless, and as suspected, the latter was accompanied by a non-negligible amount of the CEL-coupling product 5a-p. To look at the possible role of an H-bond, the strong H-bond donor and non-nucleophilic trifluoroethanol was examined. However, low conversion and yield were observed (entry 10). Decreasing reaction temperature lowered the formation of 5a-p, but also of the expected homocoupling product 4a-p (entries 11–12 vs. 8). Increasing the catalyst amount did not change the results much (entry 13 vs. 8) but decreasing it did, as observed by the slight decrease in homocoupling product yields and the relative increase in coupling product yield (from 22 to 30%). Running the reaction under an inert atmosphere also induced lower conversion and yield (entry 16 vs. 8). This result prompted us to check the ability of CuII-USY to catalyze this reaction. Under the optimal conditions, the latter was indeed active, but less than CuI-USY, as conversion and yield were both lower (entry 17 vs. 8). Further control experiments showed that no reaction took place with native zeolite or without a catalyst (entries 18–20).
These results showed that CuI-USY is an active catalyst for the dimerization of 4-methoxyphenyl boronic acid 4a and that methanol is the best solvent, although it has been reported as deleterious in the classical CEL reaction [24], and that air is essential.
Due to the overall rod shape of the expected dimers, zeolites with linear internal pores would also be appropriate to host such kinds of compounds. To check this possibility, a series of three common zeolites with different pore size and shapes was applied as catalysts to the present homocoupling reaction (entries 21–23). Quite expectedly, CuI-β, which exhibits two sets of channels with a rather large one (6.4 × 7.6 Å), gave results close to those achieved with CuI-USY with its largest pores (7.4 × 12 Å; entry 21 vs. 8). Mordenite and ZSM-5, featuring smaller-sized channels (3–4 Å and 5–6 Å, respectively), provided similar results, but with a slightly lower amount of biaryl product and an increased amount of the CEL-coupling product (entries 22–23 vs. 21 vs. 8). In contrast to what was expected, smaller-sized-channel zeolites slightly favor the CEL-coupling reaction rather than the homocoupling reaction.
To go further, we also briefly explored the reactivity of boronic esters and related boron derivatives (Table 3). Indeed, it is well known that boronic acids are in equilibrium with their cyclic trimer boroxines, which can alter their reactivity in coupling reactions. Furthermore, boronic acids in methanol could also be in equilibrium with the corresponding methyl boronate. As the latter could be the actual reactive species, it was worth looking at their reactivity and comparing them.
Table 3.
Screening of various boron derivatives for the CuI-USY-catalyzed formation of 4,4′-dimethoxy-1,1′-biphenyl 4a-p a.
As suspected, the methyl boronate reacted as rapidly (1 h) as its boronic acid parent and provided similar results (entry 2 vs. 1). The other screened boron derivatives reacted more slowly, with the formation of only small amounts of the expected product 4a-p (entries 3–8 vs. 2 vs. 1). Pinacol ester was slowly transformed but mostly to the CEL-coupling product, i.e., 5a-p, although modest yields were observed (entries 3 and 4 vs. 1). In contrast, the MIDA analog was more rapidly converted but mostly to the corresponding boronic acid 3a-p. However, and quite surprisingly, no homocoupling nor CEL-coupling products were observed (entries 5, 6). This result suggests that the aminodiacid liberated upon MIDA hydrolysis may have poisoned the copper catalyst. Similarly, the trifluoroborate analog was also relatively rapidly converted, but again the hydrolysis products were the most preeminent products formed, together with some of the hydrolysis intermediates (entries 7, 8). Because no coupling products could be detected, it seems that the fluoride liberated upon hydrolysis ended up as copper fluoride, also poisoning the catalyst here.
These results seem to reflect the hydrolysis/solvolysis rate of the starting boronate ester or the tetrafluoroborate. They also confirmed that arylboronic acids are the real reagent in the present CuI-USY-catalyzed homocoupling reaction.
2.2.2. Substrate Scope and Limitations
With conditions and the right type of substrate in hand, the scope and limitations of this CuI-USY-catalyzed homocoupling of aryl boronic acids were investigated, mostly with benzene boronic acids substituted by different groups inducing various electronic or steric effects, in order to explore their possible roles in the reaction (Scheme 4).
Scheme 4.
The scope of the CuI-USY-catalyzed boronic acid homocoupling conditions. a Reactions run under optimized conditions at 65 °C under air during the indicated time unless otherwise stated. b Yield estimated by 1H NMR of the crude reaction mixture using dimethyl terephthalate as the internal standard. c The reaction was performed at room temperature during the indicated time. d The protodeboronated form was isolated in 42% yield. e Only the protodeboronated form, indole, was detected.
When 4-methoxyphenyl boronic acid was allowed to react in the presence of CuI-USY in refluxing MeOH, its consumption was completed after 1 h and the expected biphenyl 4a-p was isolated with 56% yield, together with 1,4-dimethoxybenzene 5a-p, the CEL-coupling product, as shown previously (Table 2). Its hydroxy analog reacted similarly, but the corresponding biphenol 4b-p was obtained with a lower yield, together with side-products, issued from phenolic oxidative degradation. As expected, the protection of this hydroxy group restored the homocoupling formation and even increased it, since higher yield of the silylated derivative 4c-p was obtained and with only 4% of the CEL-coupling product 5c-p. The 4-tolyl boronic acid also gave the expected product 4d-p together with various side-products, probably for the same reason, and only low yields could be achieved.
The ortho-analogs of these boronic acids provided the corresponding dimers 4a-o and 4b-o in similar but slightly higher yields (62–46 vs. 56–40%), except again for the 2-tolyl derivative 4d-o. Unfortunately, the sterically hindered tetramethoxylated biphenyl 4a-o,o could only be formed in very low yield from 2,6-dimethoxyphenyl boronic acid, with 42% of the protodeboronation compound as a major product and 10% of the corresponding CEL-coupling product 5a-o,o.
Comparatively, phenyl boronic acids para- or ortho-substituted with electron-withdrawing groups (EWGs) led to the expected dimers 4e-4i (-p and/or -o) in yields higher, sometimes quantitatively, than those obtained with electron-donating groups (EDGs) (respectively, 46–99 vs. 13–79%). In some cases, performing the reaction at room temperature proved advantageous, since higher yields could be obtained (see, e.g., 4f-p and -o, 81 vs. 49% and 66 vs. 34%, and 4h-o, 46 vs. 14%, at, respectively, 25 or 65 °C). The latter results confirmed the sensitivity of such compounds.
In order to understand this discrepancy between ortho- and para-substituted phenyl boronic acids, the meta-analogs (in which only inductive effects would be operative) were engaged under the same conditions. In the EDG series, the 3-methoxy-, hydroxy-, or methylphenyl boronic acids provided the corresponding dimers 4a-m, 4b-m, and 4d-m with yields like those observed for the para-derivatives 4a-p, 4b-p, and 4d-p. In the EWG series, results proved more scattered, with the meta-nitro derivative giving yield similar to the para-analog but lower to the ortho-analog (74 vs. 78 vs. 99%, respectively), while the meta-fluoro derivative only led to traces of the homocoupling product 4f-m under standard conditions, but high yield if the reaction was run at room temperature, close to what was observed with the para-analog at the same temperature (87 vs. 81%, respectively). Interestingly, the 3,5-dibromo- and 3,5-ditrifluoromethyl-phenyl boronic acids led to the corresponding homocoupling products 4h-m,m and 4j-m,m in good to high yield (88 and 70%, respectively).
Submitted to the standard conditions, the simplest phenylboronic acid provided the expected biphenyl 4k with a modest 26% isolated yield. The related but larger α- and β-naphthyl boronic acids also gave the corresponding dimers 4l and 4m, but higher yields could be achieved when the reactions were run at room temperature (73 vs. 54% and 85 vs. 41% at 25 vs. 65 °C).
Heteroaryl compounds were also briefly screened. 2,2′-bibenzofuran 4n was isolated with 31% yield but with 48% yield when the reaction was performed at room temperature. While its sulfur congener 4o could also be obtained but in lower yield (with 42% yield of the protodeboronated form—benzothiazole—as a major product), no traces of the expected bis-indole 4p could be detected. In both cases, protodeboronation appeared as the preferred pathway. Interestingly, styryl boronic acid could also be converted to its dimer 4q with modest yield.
As the latter provided an attractive access to substituted dienes, we attempted combining this easy-to-implement homocoupling with a Diels–Alder reaction (Table 4). For that, we submitted first the so-obtained (E,E)-1,4-diphenylbuta-1,3-diene 4q to N-phenyl maleimide (NPM) and dimethyl acetylene dicarboxylate (DMAD) as standard, reactive dienophiles and we then tried to achieve a one-pot two-step reaction.
Table 4.
Screening of reaction conditions for the cycloaddition of (E,E)-1,4-diphenylbuta-1,3-diene 4q with N-phenylmaleimide (NPM) or dimethyl acetylenedicarboxylate (DMAD) as dienophiles a.
To look at its reactivity, the diene 4q was first reacted with N-phenyl maleimide in refluxing toluene, a classical solvent for the Diels–Alder reaction. Under an inert atmosphere, the expected cycloadduct was readily obtained, while decomposition only occurred under air (entry 2 vs. 1). The presence or not of CuI-USY did not alter the reaction efficiency, as almost the same yields of the cycloadduct were observed (entry 3 vs. 2). To achieve conditions closer to those allowing the CuI-USY-catalyzed homocoupling (Table 2 and Scheme 4), the Diels–Alder reaction was performed in methanol. While no conversion was observed at room temperature, the cycloaddition process proved to be effective in methanol only at high temperature (entries 4–5) and yields could be improved by using an excess of N-phenyl maleimide (entries 6 to 8). Here, again, running the reaction under air proved deleterious (entry 9 vs. 7), while yields were slightly improved in the absence of CuI-USY (entry 10 vs. 7). With acetylene dicarboxylate as dienophile (entries 11–14), the toluene conditions led to high yields of the expected adduct in the presence or not of a catalyst (entries 11–12). In this case, the presence of CuI-USY proved deleterious when using methanol as a solvent (entry 14 vs. 13).
We then evaluated the potential of the one-pot synthesis of cycloadducts 6 and 7 from styryl boronic acid by telescoping the CuI-USY-catalyzed homocoupling reaction and the Diels–Alder reaction, without isolating the intermediate diene 4q (Scheme 5).
Scheme 5.
The evaluation of the potential of the one-pot CuI-USY-catalyzed homocoupling/Diels–Alder process. a Isolated yield of the one-pot process (without the isolation of the intermediate 4q). b Overall yield of the two-step sequence with the isolation/purification of 4q.
In both cases, the one-pot process was accomplished with the formation of the expected cycloadducts 6 and 7. While the yields remained modest, it is worth noting that the efficiency of the one-pot process is comparable to that of the two-step sequence, without the need to isolate intermediate 4q. This efficiency is even better with toluene as a solvent, especially with N-phenyl maleimide as diene.
2.2.3. CuI-USY Catalyst Recovery and Recycling
The catalyst recycling and reuse were examined with one of the most reactive boronic acids, i.e., the 2-nitrophenyl boronic acid (see Scheme 4). Using the same recycling procedure as for the oxidative coupling (see Section 2.1.3), the catalyst could be used three times with similar efficiency, but after some decrease occurred, it could be used as often (Figure 3). Despite this decrease, noteworthy is that the recovered zeolitic materials keep a reasonable activity even after the fifth run.
Figure 3.
Recycling studies: homocoupling of 2-nitrophenyl boronic acid successively catalyzed by the same recovered CuI-USY material.
2.2.4. Mechanistic Scenario
After several and sometimes contradictory proposals for copper-catalyzed homocoupling of boronic acids, the actual mechanism was recently deciphered [53]. A nice combination of kinetic, NMR, cyclic voltammetry, conductimetry, and theoretical studies confirmed the role of a base and revealed the involvement of dimeric CuII-CuII complexes, which evolve to a mixed-valence CuIII-CuI dimer allowing biaryl formation through Cu-Cu transmetalation and reductive elimination.
In order to link this relevant work to our CuI-USY-catalyzed version, it is first worth noting that dimeric copper species and their presence within some zeolites have already been suggested as key active species for nitrogen oxide decomposition [54,55]. Therefore, dimeric copper complexes similar to those deduced from the above mechanistic study may occur within the so-called supercage in Y (faujasite)-type zeolites. Indeed, as CuI cations are located in the so-called site I′, II, and III′ positions within the faujasite structure (Figure 4, top left and middle right) [56], CuI cations located at site II and III′ positions at the supercage border could be close enough to independently react with boronic acids and then be bridged by the solvent (Figure 4, bottom).
Figure 4.
(Top) The location of copper ions in the CuI-Y zeolite framework. (Bottom) A Zoomed-in view of the area including CuI cations located at site II and III’ positions to illustrate their proximity in space.
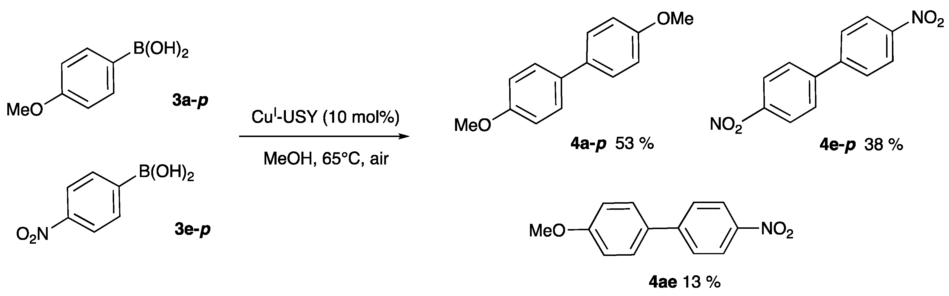
To test the viability of dimeric complexes as key intermediates in the present heterogeneous homocoupling, we performed a competition experiment (Scheme 6). Running a reaction under the setup conditions with two different boronic acids should lead to two homocoupling products and no cross-coupling product if each one is produced in a single zeolite cage through dimeric complexes. As expected, when submitting a 1:1 mixture of 4-methoxyphenyl and 4-nitrophenyl boronic acids 3a-p and 3e-p, the corresponding homocoupling dimers 4a-p and 4e-p were produced in yield similar to the independent reaction for the 4-methoxy derivative and in lower yield for the 4-nitro derivative. Nevertheless, the cross-coupling product could also be detected, but in low yield (Scheme 6).
Scheme 6.
Competition experiment using 4-methoxyphenyl and 4-nitrophenyl boronic acids.
As mentioned above, the presence of a base, especially hydroxide, is often mandatory for promoting a homocoupling reaction, and the recent mechanistic investigation showed its key role in the B-to-Cu transmetalation step. Since here no base is required, we wondered what could play this activating role. As shown above, solvents, especially hydroxylated solvents, proved to be essential (Table 2, entries 1–10). These results tend to support a mechanism in which methanol acts as a ligand completing the Cu coordination sphere with the zeolite framework, assists the transmetalation from boronic acid to copper (see B-C-D and/or B′-C′-D′ in Scheme 7), and then helps in forming dimeric complexes (E). The latter would then allow Cu-Cu transmetalation (F) and reductive elimination (G) as reported, finally leading to the biaryl formation (see Scheme 7). In this cascade, the zeolite may stabilize copper intermediates, its oxygenated framework acting as a huge cooperative ligand. The latter could also assist in various proton transfers.
Scheme 7.
Mechanistic scenario for CuI-USY-catalyzed homocoupling of aryl boronic acids.
3. Materials and Methods
3.1. General Information
All starting materials were commercial and were used as received. Reactions were monitored by thin-layer chromatography carried out on silica plates (silica gel 60 F254, Merck, Darmstadt, Germany) using UV light for visualization. Column chromatographies were performed on silica gel 60 (0.040–0.063 mm, Merck) using mixtures of ethyl acetate (or diethyl ether) and cyclohexane as eluents. Evaporations of solvents were conducted under reduced pressure at temperatures less than 30 °C unless otherwise noted. Melting points (M.p.) were measured with a Stuart SMP30 apparatus (Cole-Parmer, Londres, UK) in open capillary tubes and are uncorrected. IR spectra were recorded neatly on a Bruker Alpha ATR Diamant (Bruker Optic, Ettingen, Germany). Values of wave numbers are reported in cm−1—1H and 13C NMR spectra were recorded on Bruker Avance spectrometers (Bruker Biospin, Ettingen, Germany) at 300, 400, or 500 MHz for 1H NMR experiments and 75, 100, and 126 MHz for 13C NMR experiments. Chemical shifts δ and coupling constants J are given in ppm and Hz, respectively. Chemical shifts δ are reported relative to the residual solvent as an internal standard (chloroform-d1: 7.26 ppm for 1H and 77.0 ppm for 13C). Carbon multiplicities were determined by DEPT 135 experiments. ElectroSpray Ionization (ESI), Desorption Chemical Ionization (DCI), and Atmospheric-Pressure Chemical Ionization (APCI) low-resolution mass spectra were obtained from the Service Commun de Spectroscopie de Masse of the Plateforme Technique, Institut de Chimie de Toulouse, as well as from the Service de Spectroscopie de Masse of the Fédération de Chimie Le Bel (FR2010).
3.2. General Experimental Procedures
Detailed experimental procedures, characterizations and spectral data for all compounds can be found in the Supplementary Materials.
3.2.1. General Procedure for Preparation of CuI-USY
CuI-USY was prepared according to a well-established solid/solid exchange procedure [41]. Commercial NH4-USY was first loaded in an oven and heated at 550 °C for 4 h to give H-USY. A mixture of so-formed H-USY (1 g) and CuCl (376 mg, 1.0 equiv. related to the number of H-zeolite protons) were ground by a pestle and mortar and then heated in a furnace under flowing nitrogen at 350 °C. After 3 days of heating, the furnace was cooled down to room temperature and nitrogen feed was stopped; the resulting solid Cu-USY could be directly used or stored in a flask under argon for longer preservation.
3.2.2. General Procedure for CuI-USY-Catalyzed Oxidative-Phenol-Coupling Reactions
In methanol as solvent (condition A)—In a 5 mL round-bottomed flask, CuI-USY (ca. 15 mg, 10 mol% of copper species), methanol as a solvent (0.5 mL), the phenol (0.5 mmol, 1.0 equiv.), and cesium carbonate as a base (0.125 mmol, 0.25 equiv.) were successively added. The flask was equipped with a reflux condenser and after 22 h stirring at 65 °C (unless otherwise stated), the reaction was complete as revealed by either a TLC or LCMS analysis. After cooling to room temperature, the resulting mixture was diluted with 1 M aqueous HCl solution (1 × 10 mL) and the solid materials were removed by filtration over a PTFE Millipore membrane (Darmstadt, Germany). The aqueous phase was then extracted with ethyl acetate (3 × 10 mL) and the resulting organic phases were combined, washed brine (1 × 10 mL), dried over Na2SO4, filtered, and evaporated. The resulting crude product was purified by column chromatography on a short pad of silica gel, eluting with pure cyclohexane, thus furnishing the expected biphenols in pure forms.
In water as solvent (condition B)—In a 5 mL round-bottomed flask, CuI-USY (ca. 15 mg, 10 mol% of copper species), water as a solvent (0.5 mL), and the phenol (0.5 mmol) were successively added. The flask was equipped with a reflux condenser and after 22 h stirring at 100 °C (unless otherwise stated), the reaction was complete as revealed by either a TLC or LCMS analysis. After cooling to room temperature, the solid materials were removed by filtration over a PP Millipore membrane and further washed with ethyl acetate (1 × 50 mL). The organic phase was then recovered and dried over Na2SO4, filtered, and evaporated. The resulting crude product was purified by column chromatography on a short pad of silica gel, eluting with pure cyclohexane, thus furnishing the expected biphenols in pure forms.
3.2.3. General Procedure for CuI-USY-Catalyzed Homocoupling of Aryl Boronic Acids
In a 50 mL Schlenk flask, the aryl boronic acid (0.5 mmol, 1.0 equiv.), CuI-USY (10 mg, 6 mol% of copper species), and MeOH (2 mL, c = 0.25 mol/L) were successively added. The reaction mixture was stirred at 65 °C under air and monitored by TLC until the full consumption of the starting material. Then, the reaction was cooled down to room temperature. After the addition of 15 mL of EtOAc, the mixture was stirred for an additional 2 h and then filtered over a filter funnel (50 mL, 4 (10–16 μm)) with celite and washed with ethyl acetate (4 × 5 mL). The filtrate was concentrated under reduced pressure and the crude was purified by flash chromatography over silica gel using a cyclohexane/EtOAc mixture.
3.2.4. General Procedure for CuI-USY-Catalyzed Diels–Alder Reactions
In a screwcap reaction tube, 1,4-diphenyl-1,3-butadiene 4q (0.5 mmol, 1 equiv.), dienophile N-phenyl maleimide, and CuI-USY (6 mol%) were successively added in toluene (2 mL), and the tube was then sealed under argon. After 24 h heating at 110 °C, the CuI-USY was removed by hot filtration with celite and washed with EtOAc. After cooling the filtered solution to room temperature, toluene was decanted and the solid was washed 4 times with cold diethyl ether (4 × 10 mL). The solid was dried to give the desired product 2,4,7-triphenyl-3a,4,7,7a-tetrahydro-1H-isoindole-1,3(2H)-dione (6) as a white solid.
The procedure is similar in the case of acetylene dicarboxylate as the dienophile, except that after cooling down to room temperature, the solution was evaporated to obtain a yellow crude. The solid was then washed with 2-propanol and hexane to provide the title compound, namely dimethyl 3,6-diphenylcyclohexa-1,4-diene-1,2-dicarboxylate (7), as a colorless solid.
4. Conclusions
A new green heterogeneously catalyzed synthesis of biaryls has been reported here through oxidative homocoupling of phenols and homocoupling of (hetero)aryl- or vinylboronic acids. In both cases, the readily available copper(I)-exchanged zeolite CuI-USY was the best catalyst for these reactions.
CuI-USY allowed the oxidative homocoupling of phenols under air either in warm methanol or water with good to high yields. Under the latter conditions, the catalyst could be easily recovered and reused at least three times.
Alternatively, a new ligand- and base-free CuI-USY-catalyzed protocol was described for the homocoupling of (hetero)aryl- or vinylboronic acids. These heterogeneous conditions offered a mild and efficient access to a variety of biaryls under simple and practical conditions, i.e., refluxing in methanol, under air, and without any additive. The catalyst could be easily recovered and recycled three to five times. Applied to vinyl boronic acids, this mild homocoupling reaction readily produced dienes, which could directly be engaged in a Diels–Alder reaction. The two steps were also coupled together in a one-pot process.
Supplementary Materials
The following supporting information can be downloaded at: https://www.mdpi.com/article/10.3390/molecules29235552/s1, Detailed experimental procedures and spectral data for all compounds. References [57,58,59,60,61,62,63,64,65,66,67] are cited in the Supplementary Materials.
Author Contributions
Conceptualization, P.P. and S.C.; methodology, investigation, X.D., T.G., A.C., C.L. and E.J.; writing—draft preparation, review, and editing, V.B., S.C. and P.P.; supervision, P.P., V.B. and S.C. All authors have read and agreed to the published version of the manuscript.
Funding
This research was funded by ANR ChOZe (ANR-13-BS07-0017), the ‘Ministère de l’Enseignement Supérieur et de la Recherche’, the CNRS, and the China Scholarship Council for a PhD fellowship (202008440326) to X.D.
Institutional Review Board Statement
Not applicable.
Informed Consent Statement
Not applicable.
Data Availability Statement
Data are contained within the article and Supplementary Materials.
Acknowledgments
We gratefully acknowledge the CNRS and the University of Strasbourg for support. E.J. thanks the ‘Ministère de l’Enseignement Supérieur et de la Recherche’ for a PhD fellowship.
Conflicts of Interest
The authors declare no conflict of interest.
References
- Sandmeyer, T. Ueber die Ersetzung der Amidgruppe durch Chlor in den aromatischen Substanzen. Ber. Dtsch. Chem. Ger. 1884, 17, 1633–1635. [Google Scholar] [CrossRef]
- Sandmeyer, T. Ueber die Ersetzung der Amid-gruppe durch Chlor, Brom und Cyan in den aromatischen Substanzen. Ber. Dtsch. Chem. Ger. 1884, 17, 2650–2653. [Google Scholar] [CrossRef]
- Pschorr, R. Neue Synthese des Phenanthrens und seiner Derivate. Ber. Dtsch. Chem. Ger. 1896, 29, 496–501. [Google Scholar] [CrossRef]
- Ullmann, F.; Bielecki, J. Ueber Synthesen in Der Biphenylreihe. Ber. Dtsch. Chem. Ger. 1901, 34, 2174–2185. [Google Scholar] [CrossRef]
- Acharya, Y.; Dhanda, G.; Sarkar, P.; Haldar, J. Pursuit of next-generation glycopeptides: A journey with vancomycin. Chem. Commun. 2022, 58, 1881–1887. [Google Scholar] [CrossRef]
- WHO Model List of Essential Medicines—23rd List. 2023. Available online: https://www.who.int/publications/i/item/WHO-MHP-HPS-EML-2023.02 (accessed on 21 October 2024).
- Soost, D.; Bringmann, G.; Ihmels, H. Towards an understanding of the biological activity of naphthylisoquinoline alkaloids: DNA-binding properties of dioncophyllines A, B and C. New J. Chem. 2022, 46, 20292–20298. [Google Scholar] [CrossRef]
- Bringmann, G.; Wenzel, M.; Rübenacker, M.; Schäffer, M.; Rückert, M.; Aké Assi, L. Dioncophylline D and 8-O-methyldioncophylline D,7,8′-coupled naphthylisoquinoline alkaloids from Triphyophyllum peltatum. Phytochemistry 1998, 49, 1151–1155. [Google Scholar] [CrossRef]
- Asakawa, Y.; Matsuda, R. Riccardin C, a novel cyclic bibenzyl derivative from Reboulia hemisphaerica. Phytochemistry 1982, 8, 2143–2144. [Google Scholar] [CrossRef]
- Gesek, J.; Jakimiuk, K.; Atanasov, A.G.; Tomczyk, M. Sanguiins-Promising Molecules with Broad Biological Potential. Int. J. Mol. Sci. 2021, 22, 12972. [Google Scholar] [CrossRef]
- Zheng, S.; Laraia, L.; O’Connor, C.J.; Sorrell, D.; Tan, Y.S.; Xu, Z.; Venkitaraman, A.R.; Wu, W.; Sping, D.R. Synthesis and biological profiling of tellimagrandin I and analogues reveals that the medium ring can significantly modulate biological activity. Org. Biomol. Chem. 2012, 10, 2590–2593. [Google Scholar] [CrossRef]
- Cass, Q.B.; Tiritan, E.; Matlin, S.A.; Freire, E.C. Gossypol enantiomer ratios in cotton seeds. Phytochemistry 1991, 30, 2655–2657. [Google Scholar] [CrossRef]
- Ladhari, A.; La Mura, G.; Di Marino, C.; Di Fabio, G.; Zarelli, A. Sartans: What they are for, how they degrade, where they are found and how they transform. Sustain. Chem. Pharm. 2021, 20, 100409. [Google Scholar] [CrossRef]
- Takale, B.S.; Thakore, R.R.; Mallaparu, R.; Gallou, F.; Lipshutz, B. A Sustainable 1-Pot, 3-Step Synthesis of Boscalid using Part per Million Level Pd Catalysis in Water. Org. Process Res. Dev. 2020, 24, 101–105. [Google Scholar] [CrossRef]
- Cheng, J.K.; Xiang, S.-H.; Li, S.; Ye, L.; Tan, B. Recent Advances in Catalytic Asymmetric Construction of Atropisomers. Chem. Rev. 2021, 121, 4805–4902. [Google Scholar] [CrossRef] [PubMed]
- Eelkema, R.; Feringa, B.L. Amplification of chirality in liquid crystals. Org. Biomol. Chem. 2006, 4, 3729–3745. [Google Scholar] [CrossRef]
- Okamoto, K.; Zhang, J.; Housekeeper, J.B.; Marder, S.R.; Luscombe, C.K. C–H Arylation Reaction: Atom Efficient and Greener Syntheses of π-Conjugated Small Molecules and Macromolecules for Organic Electronic Materials. Macromolecules 2013, 46, 8059–8078. [Google Scholar] [CrossRef]
- Santra, A.; Senskova, I.; Kaskel, S.; Bharadwaj, P.K. Gas Storage in a Partially Fluorinated Highly Stable Three-Dimensional Porous Metal−Organic Framework. Inorg. Chem. 2013, 52, 7358–7366. [Google Scholar] [CrossRef]
- Hüttel, W.; Müller, M. Regio- and stereoselective intermolecular phenol coupling enzymes in secondary metabolite biosynthesis. Nat. Prod. Rep. 2021, 38, 1011–1043. [Google Scholar] [CrossRef]
- Aldemir, H.; Richarz, R.; Gulder, T.A.M. The Biocatalytic Repertoire of Natural Biaryl Formation. Angew. Chem. Int. Ed. 2014, 32, 8286–8293. [Google Scholar] [CrossRef]
- Carson, M.C.; Kozlowski, M.C. Recent advances in oxidative phenol coupling for the total synthesis of natural products. Nat. Prod. Rep. 2024, 41, 208–227. [Google Scholar] [CrossRef]
- Hassan, J.; Gozzi, C.; Schulz, E.; Lemaire, M. Aryl-Aryl Bond Formation One Century after the Discovery of the Ullmann Reaction. Chem. Rev. 2002, 102, 1359–1470. [Google Scholar] [CrossRef] [PubMed]
- Evans, D.A.; Katz, J.L.; West, T.R. Synthesis of diaryl ethers through the copper-promoted arylation of phenols with arylboronic acids. An expedient synthesis of thyroxine. Tetrahedron Lett. 1998, 39, 2937–2940. [Google Scholar] [CrossRef]
- Lam, P.Y.S.; Clark, C.G.; Saubern, S.; Adams, J.; Winters, M.P.; Chan, D.M.T.; Combs, A. New aryl/heteroaryl C-N bond cross-coupling reactions via arylboronic acid/cupric acetate arylation. Tetrahedron Lett. 1998, 39, 2941–2944. [Google Scholar] [CrossRef]
- Devi, P.S.; Saranya, S.; Anilkumar, G. Recent advances in the Chan-Lam coupling reaction. Catal. Sci. Technol. 2024, 14, 2320–2351. [Google Scholar] [CrossRef]
- Vasconcelos, S.N.S.; Reis, J.S.; De Oliveira, I.M.; Balfour, M.N.; Stefani, H.A. Synthesis of symmetrical biaryl compounds by homocoupling reaction. Tetrahedron 2019, 75, 1865–1959. [Google Scholar] [CrossRef]
- Bhanderi, K.; Ghalsasi, P.S.; Inoue, K. Nonconventional driving force for selective oxidative C–C coupling reaction due to concurrent and curious formation of Ag0. Sci. Rep. 2021, 11, 1568–1579. [Google Scholar] [CrossRef]
- Mastalir, A.; Molnar, A. A Novel Insight into the Ullmann Homocoupling Reactions Performed in Heterogeneous Catalytic Systems. Molecules 2023, 28, 1769. [Google Scholar] [CrossRef]
- Wallis, P.J.; Booth, K.J.; Patti, A.F.; Scoot, J.L. Oxidative coupling revisited: Solvent-free, heterogeneous and in water. Green Chem. 2006, 8, 333–337. [Google Scholar] [CrossRef]
- Matsuhita, M.; Kamata, K.; Yamaguchi, K.; Mizuno, N. Heterogeneously Catalyzed Aerobic Oxidative Biaryl Coupling of 2-Naphthols and Substituted Phenols in Water. J. Am. Chem. Soc. 2005, 127, 6632–6640. [Google Scholar] [CrossRef]
- Sakamoto, T.; Yonehara, H.; Pac, C. Efficient Oxidative Coupling of 2-Naphthols Catalyzed by Alumina-Supported Copper(II) Sulfate Using Dioxygen as Oxidant. J. Org. Chem. 1994, 59, 6859–6861. [Google Scholar] [CrossRef]
- Feng, Y.; Wang, H.; Chen, T.; Lopez-Haro, M.; He, F.; He, Z.; Marini, C.; Lo, B.T.W.; Liu, L. Water-promoted oxidative coupling of aromatics with subnanometer palladium clusters confined in zeolite. Nat. Commun. 2024, 15, 9373–9385. [Google Scholar] [CrossRef] [PubMed]
- Artok, L.; Bulut, H. Heterogeneous Suzuki reactions catalyzed by Pd(0)–Y zeolite. Tetrahedron Lett. 2004, 45, 3881–3884. [Google Scholar] [CrossRef]
- Boekfa, B.; Maihom, T.; Ehara, M.; Limtrakul, J. Investigation of the Suzuki–Miyaura cross-coupling reaction on a palladium H-beta zeolite with DFT calculations. Sci. Rep. 2024, 14, 611–620. [Google Scholar] [CrossRef] [PubMed]
- Xuereb, D.J.; Dzierzak, J.; Raja, R. From zeozymes to bio-inspired heterogeneous solids: Evolution of design strategies for sustainable catalysis. Catal. Today 2012, 198, 19–34. [Google Scholar] [CrossRef]
- Vennestrøm, P.N.R.; Taarning, E.; Christensen, C.H.; Pedersen, S.; Grunwaldt, J.-D.; Woodley, J. Chemoenzymatic combination of glucose oxidase with titanium silicate. ChemCatChem 2010, 2, 943–945. [Google Scholar] [CrossRef]
- Caro-Ortiz, S.; Zuidema, E.; Rigutto, M.; Dubbeldam, D.; Vlugt, T.J.H. Competitive Adsorption of Xylenes at Chemical Equilibrium in Zeolites. J. Phys. Chem. C 2021, 125, 4155–4174. [Google Scholar] [CrossRef]
- Chassaing, S.; Alix, A.; Boningari, T.; Sido, K.S.S.; Keller, M.; Kuhn, P.; Louis, B.; Sommer, J.; Pale, P. Coppe(I)-Zeolites as New Heterogeneous and Green Catalysts for Organic Synthesis. Synthesis 2010, 2010, 1557–1567. [Google Scholar]
- Chassaing, S.; Bénéteau, V.; Louis, B.; Pale, P. Zeolites as Green Catalysts for Organic Synthesis: The Cases of H-, Cu- & Sc-Zeolites. Curr. Org. Chem. 2016, 20, 779–793. [Google Scholar]
- Zhang, H.; bin Samsudin, I.; Jaenicke, S.; Chuah, G.-K. Zeolites in catalysis: Sustainable synthesis and its impact on properties and applications. Catal. Sci. Technol. 2022, 12, 6024–6039. [Google Scholar] [CrossRef]
- Schlimpen, F.; Ast, T.; Bénéteau, V.; Pale, P.; Chassaing, S. From A3/KA2 to AYA/KYA Multicomponent Coupling Reactions with Terminal Ynamides as Akyne Surrogates—A Direct, Green Route to γ-Amino-Ynamides. Green Chem. 2022, 24, 6467–6475. [Google Scholar] [CrossRef]
- Schlimpen, F.; Plaçais, C.; Starck, E.; Bénéteau, V.; Pale, P.; Chassaing, S. α-Tertiary Propargylamine Synthesis via KA2-Type Coupling Reactions under Solvent-Free CuI-Zeolite Catalysis. J. Org. Chem. 2021, 86, 16593–16613. [Google Scholar] [CrossRef] [PubMed]
- Clerc, A.; Bénéteau, V.; Pale, P.; Chassaing, S. Chan-Lam-type Azidation & One-Pot CuAAC under CuI-Zeolite Catalysis. ChemCatChem 2020, 12, 2060–2065. [Google Scholar]
- Garnier, T.; Sakly, R.; Dane, M.; Chassaing, S.; Pale, P. Chan-Lam-type C-C Cross-Coupling Reactions under Base- and Ligand-Free CuI-Zeolite Catalysis. Synthesis 2017, 49, 1223–1230. [Google Scholar]
- Kuhn, P.; Pale, P.; Sommer, J.; Louis, B. Probing Cu-USY Zeolite Reactivity: Design of a Green Catalyst for the Synthesis of Diynes. J. Phys. Chem. C 2009, 113, 2903–2910. [Google Scholar] [CrossRef]
- Kvande, K.; Prodinger, S.; Schlimpen, F.; Beato, P.; Pale, P.; Chassaing, S.; Svelle, S. Copper-zeolites Prepared by Solid-state Ion Exchange—Characterization and Evaluation for the Direct Conversion of Methane to Methanol. Top. Catal. 2023, 66, 1406–1417. [Google Scholar] [CrossRef]
- Esguerra, K.V.N.; Fall, Y.; Petitjean, L.; Lumb, J.-P. Controlling the Catalytic Aerobic Oxidation of Phenols. J. Am. Chem. Soc. 2014, 136, 7662–7668. [Google Scholar] [CrossRef]
- Hossain, M.A.; Akiyama, K.; Sugiura, K.-I. Pyren-2-yl-Substituted Biphenoquinone and p-Benzoquinone: Pyren-2-yl as a Weak Electron-Withdrawing Substituent. Chem. Sel. 2016, 1, 6859–6865. [Google Scholar] [CrossRef]
- Allen, S.E.; Walvoord, R.R.; Padilla-Salinas, R.; Kozlowski, M.C. Aerobic Copper-Catalyzed Organic Reactions. Chem. Rev. 2013, 113, 6234–6458. [Google Scholar]
- Wu, J.; Kozlowski, M.C. Catalytic Oxidative Coupling of Phenol and Related Compounds. ACS Catal. 2022, 12, 6532–6549. [Google Scholar] [CrossRef]
- Schön, F.; Kaifer, E.; Himmel, H.-J. Catalytic Aerobic Phenol Homo- and Cross-Coupling Reactions with Copper Complexes Bearing Redox-Active Guanidine Ligands. Chem. Eur. J. 2019, 25, 8279–8288. [Google Scholar] [CrossRef]
- Kushioka, K. Autoxidation of Phenols Catalyzed by Copper(II)-Ethylenediamine Complexes: The Reaction Mechanism. J. Org. Chem. 1984, 49, 4456–4459. [Google Scholar] [CrossRef]
- Salamé, A.; Rio, J.; Ciofini, I.; Perrin, L.; Grimaud, L.; Payard, P.-A. Copper-Catalyzed Homocoupling of Boronic Acids: A Focus on B-to-Cu and Cu-to-Cu Transmetalations. Molecules 2022, 27, 7517. [Google Scholar] [CrossRef] [PubMed]
- Vilella, L.; Studt, F. The Stability of Oxo Species in Zeolite Frameworks. Eur. J. Inorg. Chem. 2016, 2016, 1514–1520. [Google Scholar] [CrossRef]
- Xie, P.; Pu, T.; Aranovich, G.; Guo, J.; Donohue, M.; Kulkarni, A.; Wang, C. Bridging adsorption analytics and catalytic kinetics for metal-exchanged zeolites. Nat. Catal. 2021, 4, 144–156. [Google Scholar] [CrossRef]
- Drake, I.J.; Zhang, Y.; Briggs, D.; Lim, B.; Chau, T.; Bell, A.T. The local environment of Cu+ in Cu-Y zeolite and its relationship to the synthesis of dimethyl carbonate. J. Phys. Chem. B 2006, 110, 11654–11664. [Google Scholar] [CrossRef]
- Kondo, M.; Tada, S.; Shioiri, T.; Nakajima, H.; Nishijima, M.; Honma, T.; Fujiwara, K. Aerobic Oxidative Coupling of 2-Naphthols Catalyzed by Flame-Made VOx/t-ZrO2: Effect of Metal Oxide Support and VOx Content on Catalytic Activity. Appl. Catal. A: Gen. 2024, 676, 119638. [Google Scholar] [CrossRef]
- Kirai, N.; Yamamoto, Y. Homocoupling of Arylboronic Acids Catalyzed by 1,10-Phenanthroline-Ligated Copper Complexes in Air. Eur. J. Org. Chem. 2009, 12, 1864–1867. [Google Scholar] [CrossRef]
- Appa, R.M.; Lakshmidevi, J.; Naidu, B.R.; Venkateswarlu, K. Pd-Catalyzed Oxidative Homocoupling of Arylboronic Acids in WEPA: A Sustainable Access to Symmetrical Biaryls under Added Base and Ligand-Free Ambient Conditions. Mol. Catal. 2021, 501, 111366. [Google Scholar] [CrossRef]
- Minus, M.B.; Moor, S.R.; Pary, F.F.; Nirmani, L.P.T.; Chwatko, M.; Okeke, B.; Singleton, J.E.; Nelson, T.L.; Lynd, N.A.; Anslyn, E.V. “benchtop” Biaryl Coupling Using Pd/Cu Cocatalysis: Application to the Synthesis of Conjugated Polymers. Org. Lett. 2021, 23, 2873–2877. [Google Scholar] [CrossRef]
- Das, S.K.; Chandra, B.K.; Molla, R.A.; Sengupta, M.; Islam, S.M.; Majee, A.; Bhaumik, A. CuO Grafted Triazine Functionalized Covalent Organic Framework as An Efficient Catalyst for C-C Homocoupling Reaction. Mol. Catal. 2020, 480, 110650. [Google Scholar] [CrossRef]
- Cao, Y.-N.; Tian, X.-C.; Chen, X.-X.; Yao, Y.-X.; Gao, F.; Zhou, X.-L. Rapid Ligand-Free Base-Accelerated Copper-Catalyzed Homocoupling Reaction of Arylboronic Acids. Synlett 2017, 28, 601–606. [Google Scholar]
- Lin, C.-N.; Huang, C.-Y.; Yu, C.-C.; Chen, Y.-M.; Ke, W.-M.; Wang, G.-J.; Lee, G.-A.; Shieh, M. Iron Carbonyl Cluster-Incorporated Cu(I) NHC Complexes in Homocoupling of Arylboronic Acids: An Effective [TeFe3(CO)9]2− Ligand. Dalton Trans. 2015, 44, 16675–16679. [Google Scholar] [CrossRef] [PubMed]
- Kaboudin, B.; Mostafalu, R.; Yokomatsu, T. Fe3O4 Nanoparticle-Supported Cu(II)-β-Cyclodextrin Complex as a Magnetically Recoverable and Reusable Catalyst for the Synthesis of Symmetrical Biaryls and 1,2,3-Triazoles from Aryl Boronic Acids. Green Chem. 2013, 15, 2266–2274. [Google Scholar] [CrossRef]
- Ostrowska, S.; Rogalski, S.; Lorkowski, J.; Walkowiak, J.; Pietraszuk, C. Effective Homocoupling of Aryl- and Alkenylboronic Acids in the Presence of Low Loadings of [{Pd(μ–OH)Cl(IPr)}2]. Synlett 2018, 29, 1735–1740. [Google Scholar]
- Iosub, A.V.; Stahl, S.S. Palladium-Catalyzed Aerobic Oxidative Dehydrogenation of Cyclohexenes to Substituted Arene Derivatives. J. Am. Chem. Soc. 2015, 137, 3454–3457. [Google Scholar] [CrossRef]
- Thirion, D.; Poriel, C.; Rault-Berthelot, J.; Barrière, F.; Jeannin, O. (2,1-α)-Indenofluorene Derivatives: Syntheses, X-ray Structures, Optical and Electrochemical Properties. Chem. Eur. J. 2010, 16, 13646–13658. [Google Scholar] [CrossRef]
Disclaimer/Publisher’s Note: The statements, opinions and data contained in all publications are solely those of the individual author(s) and contributor(s) and not of MDPI and/or the editor(s). MDPI and/or the editor(s) disclaim responsibility for any injury to people or property resulting from any ideas, methods, instructions or products referred to in the content. |
© 2024 by the authors. Licensee MDPI, Basel, Switzerland. This article is an open access article distributed under the terms and conditions of the Creative Commons Attribution (CC BY) license (https://creativecommons.org/licenses/by/4.0/).

















