The Latest Progress in the Chemistry of Daphniphyllum Alkaloids
Abstract
1. Introduction
2. New DAs and Bioactivity Assays
3. Synthetic Strategies Toward DAs
3.1. Research on the Synthesis of Calyciphylline A-Type Alkaloids
3.1.1. Synthesis of 7/5/6/5 Tetracyclic Carbon Core of Logeracemin A
3.1.2. Synthesis of ABC Tricyclic Core of 21-Deoxymacropodumine D
3.1.3. Synthesis of ACDE Ring System of Calyciphylline A-Type Alkaloids via [5+2] Cycloaddition
3.1.4. Synthesis of Tricyclic Spiro-Ring Structure of Calyciphylline A-Type Alkaloids
3.1.5. Synthesis of 6/5/7/5 Tetracyclic Core of Calyciphylline A-Type Alkaloids
3.1.6. Synthesis of ACDE Ring System of Calyciphylline A-Type Alkaloids via Intramolecular Diels–Alder Reaction
3.1.7. Construction of ABC Core of Calyciphylline A-Type Alkaloids
3.1.8. Efficient Synthesis of Tricyclic Scaffold of Calyciphylline A-Type Alkaloids
3.1.9. Synthesis of ABCD Ring System of Calyciphylline A-Type Alkaloids
3.1.10. Production of ABCD Tetracyclic Ring Domain of Calyciphylline A-Type Alkaloids
3.1.11. Synthesis of AC Bicyclic Framework of Daphniyunnine B
3.1.12. Construction of ABC Ring System of 21-Deoxymacropodumine
3.2. Research on the Synthesis of Other Calyciphylline-Type Alkaloids
3.2.1. Synthesis of the ABE Tricyclic Core of Calyciphylline B-Type Alkaloids
3.2.2. Synthesis of ABCE Tetracyclic Core of Calyciphylline B-Type Alkaloids
3.2.3. Synthesis of Aza-5/7/6/7 Tetracyclic Core of Calyciphylline D-Type Alkaloids
3.3. Research on the Synthesis of Yuzurimine-Type Alkaloids
3.3.1. Synthesis of Heterocyclic Segments of Deoxyyuzurimine and Macrodaphnine
3.3.2. Synthesis of AE Bicyclic Structure of Yuzurine
3.4. Research on the Synthesis of Daphnicyclidin-like Alkaloids
3.4.1. Synthesis of ACE Tricyclic Structures Resembling Those of Daphnicyclidin A and Dehydroxymacropodumine A
3.4.2. Formation of ABCE Ring Substructure of Daphnicyclidin A
3.4.3. Synthesis of ABC Tricyclic Structure of Daphnicyclidin A
3.4.4. Construction of 5/6/7 Tricyclic Core of Daphnicyclidin-Type Alkaloids
3.5. Synthetic Studies Toward Other DAs
3.5.1. Synthesis of ABC Tricyclic Moiety of Calyciphylline N
3.5.2. Synthesis of ABCF Tetracyclic Structure of Calyciphylline N
3.5.3. Construction of AC Ring Moiety of Daphnilactone B-Type Alkaloids
3.5.4. Synthesis of ABCE Tetracyclic Framework of Daphenylline
3.5.5. Production of Central Framework of Daphnimacropodine
3.5.6. Synthetic Studies Toward Longeracemine
3.5.7. Development of ACE Tricyclic Structure of Dehydroxymacropodumine A
4. Total Syntheses of DAs
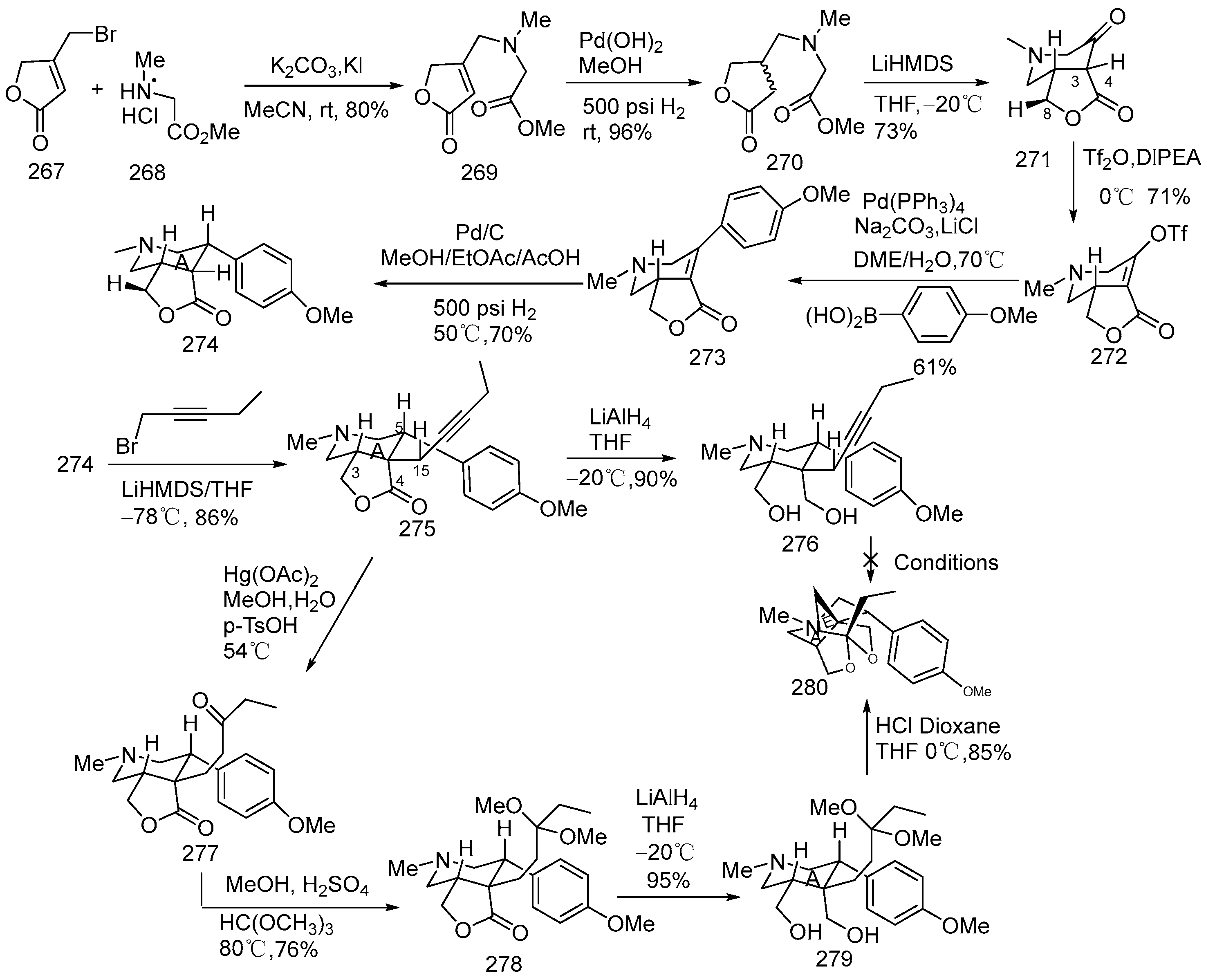
4.1. Total Synthesis of (−)-Daphenylline and (−)-Himalensine A by Qiu’s Group
4.2. Synthesis of (−)-Daphnilongeranin B and (−)-Daphenylline by Zhai’s Group
4.3. Total Synthesis of Daphenylline, Daphnipaxianine A, and Himalenine D by A. Li’s Group
4.4. Total Synthesis of (−)-Daphenylline by Qiu’s Group
4.5. Total Synthesis of Himalensine A by Gao’s Group
4.6. A Concise Total Synthesis of (−)-Himalensine A by Xu’s Group
4.7. Total Synthesis of Daphenylline by Lu’s Group
4.8. Total Syntheses of (−)-10-Deoxydaphnipaxianine A, (+)-Daphlongamine E and (+)-Calyciphylline R by J. Xu’s Group
4.9. Total Syntheses of (−)-Daphlongamine H and (−)-Isodaphlongamine H by Sarpong’s Group
4.10. Total Synthesis of (−)-Caldaphnidine O by Xu’s Group
4.11. Total Synthesis of (−)-Daphnezomines A and B by Li’s Group
4.12. Total Synthesis of Dapholdhamine B and Dapholdhamine B Lactone by Xu’s Group
4.13. Total Syntheses of Daphnezomine L-Type and Secodaphniphyllinetype Daphniphyllum Alkaloids by J. Xu’s Group
4.14. Total Synthesis of Hybridaphniphylline B by Li’s Group
4.15. Total Synthesis of Longeracinphyllin A by A. Li’s Group
4.16. Synthesis of (+)-Caldaphnidine J Using an Asymmetric Approach by Xu’s Group
4.17. Total Synthesis of Daphgraciline by Li’s Group
4.18. Total Synthesis of C14-epi-Deoxycalyciphylline H by Xu’s Group
4.19. Total Synthesis of (−)-Himalensine A by Dixon’s Group
4.20. Distinct Total Syntheses of (−)-Daphnezomines A and B and (+)-Dapholdhamine B by Zhai’s Group
4.21. Total Synthesis of (±)- and (−)-Daphnillonin B by Li’s Group
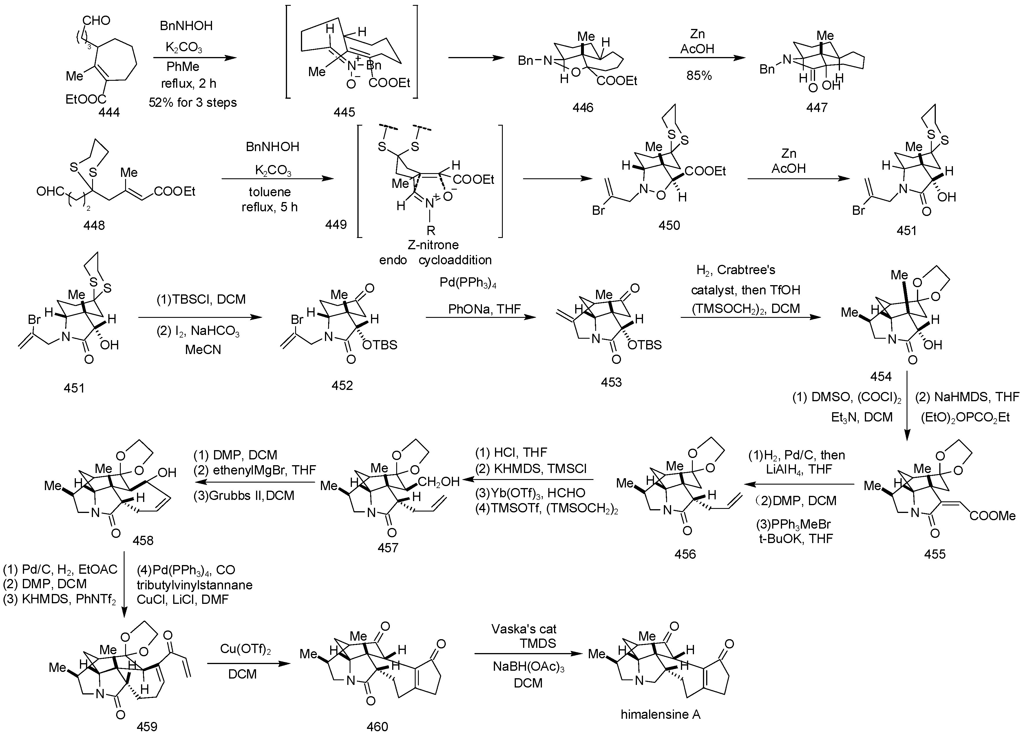
4.22. Total Synthesis of Four Subfamilies of DAs by Li’s Group
5. Conclusions
Author Contributions
Funding
Institutional Review Board Statement
Informed Consent Statement
Data Availability Statement
Conflicts of Interest
References
- Gamez, E.J.C.; Luyengi, L.; Lee, S.K.; Zhu, L.-F.; Zhou, B.-N.; Fong, H.H.S.; Pezzuto, J.M.; Kinghorn, A.D. Antioxidant Flavonoid Glycosides from Daphniphyllum calycinum. J. Nat. Prod. 1998, 61, 706–708. [Google Scholar] [CrossRef] [PubMed]
- Xu, M.F.; Shen, L.Q.; Wang, K.W. A new biflavonoid from Daphniphyllum angustifolium Hutch. Fitoterapia 2009, 80, 461–464. [Google Scholar] [CrossRef]
- Shao, Z.Y.; Zhu, D.Y.; Guo, Y.W. Two new triterpene esters from Daphniphyllum oldhami. Chin. Chem. Lett. 2002, 13, 1181–1184. [Google Scholar]
- Shao, Z.Y.; Zhu, D.Y.; Guo, Y.W. Oldhamioside, a new phenofic glucoside from Daphniphyllum oldhamii. Chin. Chem. Lett. 2004, 15, 52–54. [Google Scholar]
- Chattopadhyay, A.K.; Hanessian, S. Recent Progress in the Chemistry of Daphniphyllum Alkaloids. Chem. Rev. 2017, 117, 4104–4146. [Google Scholar] [CrossRef] [PubMed]
- Kobayashi, J.I.; Inaba, Y.; Shiro, M.; Yoshida, N.; Morita, H. Daphnicyclidins A−H, Novel Hexa- or Pentacyclic Alkaloids from Two Species of Daphniphyllum. J. Am. Chem. Soc. 2001, 123, 11402–11408. [Google Scholar] [CrossRef] [PubMed]
- Zhang, H.; Shyaula, S.L.; Li, J.-Y.; Li, J.; Yue, J.-M. Hydroxylated Daphniphyllum Alkaloids from Daphniphyllum himalense. J. Nat. Prod. 2015, 78, 2761–2767. [Google Scholar] [CrossRef]
- Cao, M.; Zhang, Y.; He, H.; Li, S.; Huang, S.; Chen, D.; Tang, G.; Li, S.; Di, Y.; Hao, X. Daphmacromines A–J, alkaloids from Daphniphyllum macropodum. J. Nat. Prod. 2012, 75, 1076–1082. [Google Scholar] [CrossRef]
- Cao, M.; Wang, L.; Zhang, Y.; He, H.; Gu, Y.; Zhang, Q.; Li, Y.; Yuan, C.; Li, S.; Di, Y.; et al. Daphmacromines K–O, alkaloids from Daphniphyllum macropodum. Fitoterapia 2013, 89, 205–209. [Google Scholar] [CrossRef]
- Wu, H.; Zhang, X.; Ding, L.; Chen, S.; Yang, J.; Xu, X. Daphniphyllum Alkaloids: Recent Findings on Chemistry and Pharmacology. Planta Med. 2013, 79, 1589–1598. [Google Scholar] [CrossRef]
- Heathcock, C.H. Nature knows best: An amazing reaction cascade is uncovered by design and discovery. Proc. Natl. Acad. Sci. USA 1996, 93, 14323–14327. [Google Scholar] [CrossRef] [PubMed]
- Piettre, S.; Heathcock, C.H. Biomimetic Total Synthesis of Proto-Daphniphylline. Science 1990, 248, 1532–1534. [Google Scholar] [CrossRef] [PubMed]
- Heathcock, C.H.; Davidsen, S.K.; Mills, S.; Sanner, M.A. Total synthesis of (.+-.)-methyl homodaphniphyllate. J. Am. Chem. Soc. 1986, 108, 5650–5651. [Google Scholar] [CrossRef]
- Kobayashi, J.I.; Kubota, T. The Daphniphyllum alkaloids. Nat. Prod. Rep. 2009, 26, 936–962. [Google Scholar] [CrossRef]
- Kang, B.; Jakubec, P.; Dixon, D.J. Strategies towards the synthesis of calyciphylline A-type Daphniphyllum alkaloids. Nat. Prod. Rep. 2014, 31, 550–562. [Google Scholar] [CrossRef]
- Liu, S.; Zhang, J.H.; Di, Y.T.; Dong, J.Y.; Hao, X.J. Daphniphyllum alkaloids with cytotoxic activity from Daphniphyllum angustifolium. Nat. Prod. Res. 2018, 32, 2165–2170. [Google Scholar] [CrossRef] [PubMed]
- Zhang, L.; Zhao, G.H.; Yang, C.L.; Bai, L.; Liu, H.X. Daphnicyclidin M, a new alkaloid from Daphniphyllum paxianum Rosanth. Phytochem. Lett. 2018, 24, 75–78. [Google Scholar] [CrossRef]
- Gan, X.-W.; Bai, H.-Y.; Chen, Q.-G.; Ma, L.; Hu, L.-H. A Zwitterionic Alkaloid, Containing a Rare Cyclopentadienyl Anion Unit, from the Stem Barks of Daphniphyllum macropodum Miq. Chem. Biodivers. 2006, 3, 1255–1259. [Google Scholar] [CrossRef]
- Chao, C.H.; Cheng, J.C.; Goncalves, T.P.; Huang, K.W.; Lin, C.C.; Huang, H.C.; Hwang, S.Y.; Wu, Y.C. Glaulactams A-C, daphniphyllum alkaloids from Daphniphyllum glaucescens. Sci. Rep. 2018, 8, 15417. [Google Scholar] [CrossRef]
- Zhang, J.H.; Cao, P.; Ma, Y.L.; Fang, X.; Yang, J.; Zhang, Y.; Chen, D.Z.; Gu, Y.C.; Di, Y.T.; Hao, X.J. Structural Revision of Macropodumine A and Structure of 2-Deoxymacropodumine A, Daphniphyllum Alkaloids with 11-Membered Macrolactone Rings. J. Nat. Prod. 2019, 82, 427–430. [Google Scholar] [CrossRef]
- Li, Z.-Y.; Chen, P.; Xu, H.-G.; Peng, S.-Y.; Yang, Y.-M.; Zhao, Z.-Z.; Guo, Y.-W. Further Daphniphyllum Alkaloids from the Bark of Daphniphyllum macropodum Miq. Chin. J. Chem. 2008, 26, 348–352. [Google Scholar] [CrossRef]
- Zhang, W.; Guo, Y.-W.; Krohn, K. Macropodumines A–C: Novel Pentacyclic Alkaloids with an Unusual Skeleton or Zwitterion Moiety from Daphniphyllum macropodum Miq. Chem. Eur. J. 2006, 12, 5122–5127. [Google Scholar] [CrossRef]
- Zhang, D.D.; Xu, J.B.; Fan, Y.Y.; Gan, L.S.; Zhang, H.; Yue, J.M. Daphnillonins A and B: Alkaloids Representing Two Unknown Carbon Skeletons from Daphniphyllum longeracemosum. J. Org. Chem. 2020, 85, 3742–3747. [Google Scholar] [CrossRef] [PubMed]
- Shen, S.M.; Li, H.; Wang, J.R.; Zeng, Y.B.; Guo, Y.W. Further new complex daphniphyllum alkaloids from the stems and leaves of Daphniphyllum calycinum: Structure and stereochemistry. Tetrahedron 2020, 76, 131616. [Google Scholar] [CrossRef]
- Zhan, Z.-J.; Zhang, C.-R.; Yue, J.-M. Caldaphnidines A–F, six new Daphniphyllum alkaloids from Daphniphyllum calycinum. Tetrahedron 2005, 61, 11038–11045. [Google Scholar] [CrossRef]
- Yamamura, S.; Hirata, Y. Daphniteijsmanine, the daphniphyllum alkaloid with a new ketal moiety. Tetrahedron Lett. 1974, 15, 3673–3676. [Google Scholar] [CrossRef]
- Lu, Q.Y.; Zhang, J.H.; Li, Y.Y.; Pu, X.X.; Zhang, C.S.; Liu, S.; Wan, J.J.; Di, Y.T.; Hao, X.J. New Secodaphnane-Type Alkaloids with Cytotoxic Activities from Daphniphyllum angustifolium Hutch. Nat. Prod. Bioprosp. 2021, 11, 453–457. [Google Scholar] [CrossRef]
- Yang, J.; Liu, X.; Fu, J.; Lyu, H.Y.; Bai, L.P.; Jiang, Z.H.; Zhu, G.Y. Calycindaphines A-J, Daphniphyllum alkaloids from the roots of Daphniphyllum calycinum. RSC Adv. 2021, 11, 9057–9066. [Google Scholar] [CrossRef]
- Chen, Y.; Shen, S.-M.; Yang, M.; Su, M.-Z.; Wang, X.-M.; Guo, Y.-W. Chemical and biological studies of Daphniphyllum oldhamii from Hunan Province, China. Phytochemistry 2022, 199, 113170. [Google Scholar] [CrossRef]
- Tang, Q.; Dai, X.-Y.; Lin, Q.; Ling, Z.-P.; Hao, Y.-K.; Zhu, T.-X.; Zhang, J.-H.; Hou, Y.-B.; Li, Y.-L.; Huang, L.-Q.; et al. Dcalycinumines A—E, Alkaloids with Cytotoxic Activities of Nasopharyngeal Carcinoma Cells from Daphniphyllum calycinum. Chin. J. Chem. 2024, 42, 35–42. [Google Scholar] [CrossRef]
- Xu, J.-B.; Zhang, H.; Gan, L.-S.; Han, Y.-S.; Wainberg, M.A.; Yue, J.-M. Logeracemin A, an Anti-HIV Daphniphyllum Alkaloid Dimer with a New Carbon Skeleton from Daphniphyllum longeracemosum. J. Am. Chem. Soc. 2014, 136, 7631–7633. [Google Scholar] [CrossRef] [PubMed]
- Gao, L.Z.; Cheng, B.; Yue, H.J.; Cao, S.Y.; Wang, J.L.; Xu, L. A bioinspired approach for construction of the [7-5-6-5] all-carbon tetracyclic core of logeracemin A. Org. Chem. Front. 2019, 6, 813–816. [Google Scholar] [CrossRef]
- Yang, J.; Long, Y.O.; Paquette, L.A. Concise Total Syntheses of the Bioactive Mesotricyclic Diterpenoids Jatrophatrione and Citlalitrione. J. Am. Chem. Soc. 2003, 125, 1567–1574. [Google Scholar] [CrossRef] [PubMed]
- Mo, X.F.; Li, Y.F.; Sun, M.H.; Dong, Q.Y.; Xie, Q.X.; Tang, P.; Xue, F.; Qin, Y. Asymmetric synthesis of ABC tricyclic core in Daphniphyllum alkaloid 21-deoxy-macropodumine D. Tetrahedron Lett. 2018, 59, 1999–2004. [Google Scholar] [CrossRef]
- Augustin, M.V.; Alexakis, A. Copper-Catalyzed Asymmetric Conjugate Addition of Trialkylaluminium Reagents to Trisubstituted Enones: Construction of Chiral Quaternary Centers. Chem. Eur. J. 2007, 13, 9647–9662. [Google Scholar] [CrossRef]
- Solé, D.; Urbaneja, X.; Bonjoch, J. Synthesis of the 4-Azatricyclo[5.2.2.04,8]undecan-10-one Core of Daphniphyllum Alkaloid Calyciphylline A Using a Pd-Catalyzed Enolate Alkenylation. Org. Lett. 2005, 7, 5461–5464. [Google Scholar] [CrossRef]
- Nakamura, H.; Kawakami, M.; Tsukano, C.; Takemoto, Y. Concise Construction of the ACDE Ring System of Calyciphylline A Type Alkaloids by a [5+2] Cycloaddition. Chem. Eur. J. 2019, 25, 8701–8704. [Google Scholar] [CrossRef]
- Michelot, D. Highly Stereoselective Synthesis of Acetates of Mono- and Diunsaturated Alcohols and Analogous Aldehydes, Components of Lepidopteran Sex Pheromones, using Tetrakis[triphenylphosphine]-palladium. Synthesis 1983, 1983, 130–134. [Google Scholar] [CrossRef]
- Achmatowicz, O.; Bukowski, P.; Szechner, B.; Zwierzchowska, Z.; Zamojski, A. Synthesis of methyl 2,3-dideoxy-DL-alk-2-enopyranosides from furan compounds: A general approach to the total synthesis of monosaccharides. Tetrahedron 1971, 27, 1973–1996. [Google Scholar] [CrossRef]
- Chen, B.; Ko, R.Y.Y.; Yuen, M.S.M.; Cheng, K.-F.; Chiu, P. A Tandem Metal Carbene Cyclization-Cycloaddition Approach to the Pseudolaric Acids. J. Org. Chem. 2003, 68, 4195–4205. [Google Scholar] [CrossRef]
- Takai, K.; Kakiuchi, T.; Kataoka, Y.; Utimoto, K. A Novel Catalytic Effect of Lead on the Reduction of a Zinc Carbenoid with Zinc Metal Leading to a Geminal Dizinc Compound. Acceleration of the Wittig-Type Olefination with the RCHX2-TiCl4-Zn Systems by Addition of Lead. J. Org. Chem. 1994, 59, 2668–2670. [Google Scholar] [CrossRef]
- Hernandez, R.; Velazquez, S.M.; Suarez, E.; Rodriguez, M.S. Synthesis of (+)-8-Deoxyvernolepin. J. Org. Chem. 1994, 59, 6395–6403. [Google Scholar] [CrossRef]
- Nicolaou, K.C.; Zhong, Y.L.; Baran, P.S. A New Method for the One-Step Synthesis of α,β-Unsaturated Carbonyl Systems from Saturated Alcohols and Carbonyl Compounds. J. Am. Chem. Soc. 2000, 122, 7596–7597. [Google Scholar] [CrossRef]
- Sütbeyaz, Y.; Seçen, H.; Balci, M. A novel and stereospecific synthesis of conduritol-A. J. Chem. Soc. Chem. Commun. 1988, 1330–1331. [Google Scholar] [CrossRef]
- Zhong, J.X.; He, H.B.; Gao, S.H. Exploration of 1,3-dipolar cycloaddition reactions to construct the core skeleton of Calyciphylline A-type alkaloids. Org. Chem. Front. 2019, 6, 3781–3785. [Google Scholar] [CrossRef]
- Murahashi, S.-I.; Imada, Y. Synthesis and Transformations of Nitrones for Organic Synthesis. Chem. Rev. 2019, 119, 4684–4716. [Google Scholar] [CrossRef]
- Shao, H.; Bao, W.; Jing, Z.R.; Wang, Y.P.; Zhang, F.M.; Wang, S.H.; Tu, Y.Q. Construction of the [6,5,7,5] Tetracyclic Core of Calyciphylline A Type Alkaloids via a Tandem Semipinacol Rearrangement/Nicholas Reaction. Org. Lett. 2017, 19, 4648–4651. [Google Scholar] [CrossRef]
- Catino, A.J.; Forslund, R.E.; Doyle, M.P. Dirhodium(II) Caprolactamate: An Exceptional Catalyst for Allylic Oxidation. J. Am. Chem. Soc. 2004, 126, 13622–13623. [Google Scholar] [CrossRef]
- Nagaoka, H.; Shibuya, K.; Yamada, Y. Total synthesis of upial, a marine sesquiterpene possessing bicyclo[3.3.1]nonane ring system. Tetrahedron 1994, 50, 661–688. [Google Scholar] [CrossRef]
- Nakamura, H.; Kawakami, M.; Tsukano, C.; Takemoto, Y. Construction of the ACDE Ring System of Calyciphylline A-type Alkaloids via Intramolecular Diels-Alder Reaction of a Tetrasubstituted Olefin. Synlett 2019, 30, 2253–2257. [Google Scholar] [CrossRef]
- Lopez, A.M.; Ibrahim, A.A.; Rosenhauer, G.J.; Sirinimal, H.S.; Stockdill, J.L. Tin-Free Access to the ABC Core of the Calyciphylline A Alkaloids and Unexpected Formation of a D-Ring-Contracted Tetracyclic Core. Org. Lett. 2018, 20, 2216–2219. [Google Scholar] [CrossRef] [PubMed]
- Baidilov, D.; Miskey, S.; Hudlicky, T. Rapid Access to the Tricyclic Core of Calyciphylline A-Type Alkaloids Through Allyl Cyanate-to-Isocyanate Rearrangement. Eur. J. Org. Chem. 2019, 2019, 7590–7595. [Google Scholar] [CrossRef]
- Sasano, Y.; Koyama, J.; Yoshikawa, K.; Kanoh, N.; Kwon, E.; Iwabuchi, Y. Stereocontrolled Construction of ABCD Tetracyclic Ring System with Vicinal All-Carbon Quaternary Stereogenic Centers of Calyciphylline A Type Alkaloids. Org. Lett. 2018, 20, 3053–3056. [Google Scholar] [CrossRef] [PubMed]
- Ikeda, S.; Shibuya, M.; Kanoh, N.; Iwabuchi, Y. Synthetic Studies on Daphnicyclidin A: Enantiocontrolled Construction of the BCD Ring System. Org. Lett. 2009, 11, 1833–1836. [Google Scholar] [CrossRef] [PubMed]
- Ye, Q.; Qu, P.; Snyder, S.A. Total Syntheses of Scaparvins B, C, and D Enabled by a Key C–H Functionalization. J. Am. Chem. Soc. 2017, 139, 18428–18431. [Google Scholar] [CrossRef] [PubMed]
- Marson, C.M.; Walker, A.J.; Pickering, J.; Hobson, A.D.; Wrigglesworth, R.; Edge, S.J. Stereoselective construction of quaternary centers at ambient temperature by the highly stereocontrolled migration of groups containing sp-, sp2-, and sp3-hybridized carbon atoms. J. Org. Chem. 1993, 58, 5944–5951. [Google Scholar] [CrossRef]
- Jansana, S.; Coussanes, G.; Puig, J.; Diaba, F.; Bonjoch, J. Synthesis of Azabicyclic Building Blocks for Daphniphyllum Alkaloid Intermediates Featuring N-Trichloroacetyl Enamide 5-endo-trig Radical Cyclizations. Helv. Chim. Acta 2019, 102, e1900188. [Google Scholar] [CrossRef]
- Coussanes, G.; Bonjoch, J. Synthesis of the Tetracyclic ABCD Ring Domain of Calyciphylline A-Type Alkaloids via Reductive Radical Cyclizations. Org. Lett. 2017, 19, 878–881. [Google Scholar] [CrossRef]
- Clark, A.J.; Curran, D.P.; Geden, J.V.; James, N.; Wilson, P. Bond Rotation Dynamics of Enamides: The Effect of the Acyl Group and Potential for Chirality Transfer during 5-Endo Trig Radical Cyclizations. J. Org. Chem. 2011, 76, 4546–4551. [Google Scholar] [CrossRef]
- Cordero-Vargas, A.; Urbaneja, X.; Bonjoch, J. A Stereocontrolled Entry to 3-Functionalized cis-3a-Methyloctahydroindoles: Building Blocks for Daphniphyllum Alkaloid Synthesis. Synlett 2007, 2007, 2379–2382. [Google Scholar] [CrossRef]
- Zimmerman, H.E.; Linder, L.W. Enhanced endo-exo selectivity in the stereochemistry of ketonization of enols. Part 201. J. Org. Chem. 1985, 50, 1637–1646. [Google Scholar] [CrossRef]
- Sun, H.Y.; Wu, G.M.; Xie, X.G. Synthetic studies towards daphniyunnine B: Construction of AC bicyclic skeleton with two vicinal all carbon quaternary stereocenters. Chin. Chem. Lett. 2019, 30, 1538–1540. [Google Scholar] [CrossRef]
- Knapp, S.; Levorse, A.T. Synthesis and reactions of iodo lactams. J. Org. Chem. 1988, 53, 4006–4014. [Google Scholar] [CrossRef]
- Wang, H.J.; Dong, Q.Y.; Xie, Q.X.; Tang, P. Asymmetric synthesis of ABC tricyclic systems in Daphniphyllum alkaloid. Chin. Chem. Lett. 2020, 31, 685–688. [Google Scholar] [CrossRef]
- Boissarie, P.; Bélanger, G. Short Approach toward the Nonracemic A,B,E Tricyclic Core of Calyciphylline B-Type Alkaloids. Org. Lett. 2017, 19, 3739–3742. [Google Scholar] [CrossRef] [PubMed]
- Chatterjee, A.K.; Choi, T.-L.; Sanders, D.P.; Grubbs, R.H. A General Model for Selectivity in Olefin Cross Metathesis. J. Am. Chem. Soc. 2003, 125, 11360–11370. [Google Scholar] [CrossRef]
- Walker, M.A.; Heathcock, C.H. Acyclic stereoselection. 54. Extending the scope of the Evans asymmetric aldol reaction: Preparation of anti and “non-Evans” syn aldols. J. Org. Chem. 1991, 56, 5747–5750. [Google Scholar] [CrossRef]
- Lee, H.; Suzuki, M.; Cui, J.; Kozmin, S.A. Synthesis of an Azide-Tagged Library of 2,3-Dihydro-4-quinolones. J. Org. Chem. 2010, 75, 1756–1759. [Google Scholar] [CrossRef][Green Version]
- Pasqua, A.E.; Matheson, M.; Sewell, A.L.; Marquez, R. Fast, Economic, and Green Synthesis of N-Formylated Benzotriazoles. Org. Process Res. Dev. 2011, 15, 467–470. [Google Scholar] [CrossRef]
- Du, C.L.; Fang, J.; Chen, J.Y.; Liu, Z.M.; Li, H.L.; Wang, X.L.; Xie, X.G.; She, X.G. Construction of the Tetracyclic Core of Calyciphylline B-Type Daphniphyllum Alkaloids. Org. Lett. 2019, 21, 8718–8721. [Google Scholar] [CrossRef]
- Kobayashi, Y.; Motoyama, Y. Construction of the Key Amino Alcohol Moiety of the Cinchona Alkaloids. Synlett 2006, 2006, 2670–2672. [Google Scholar] [CrossRef]
- Hara, A.; Morimoto, R.; Ishikawa, Y.; Nishiyama, S. Synthesis of the C7-26 Fragment of Amphidinolides G and H. Org. Lett. 2011, 13, 4036–4039. [Google Scholar] [CrossRef]
- Hudlicky, T.; Luna, H.; Barbieri, G.; Kwart, L.D. Enantioselective synthesis through microbial oxidation of arenes. 1. Efficient preparation of terpene and prostanoid synthons. J. Am. Chem. Soc. 1988, 110, 4735–4741. [Google Scholar] [CrossRef]
- Snyder, S.A.; Corey, E.J. Regioselective aldol condensations of a cholestanone-derived dialdehyde: New twists on a classic reaction. Tetrahedron Lett. 2006, 47, 2083–2086. [Google Scholar] [CrossRef]
- Yang, S.-M.; Huang, Z.-N.; Zhou, Z.-S.; Hou, J.; Zheng, M.-Y.; Wang, L.-J.; Jiang, Y.; Zhou, X.-Y.; Chen, Q.-Y.; Li, S.-H. Structure-based design, structure–activity relationship analysis, and antitumor activity of diaryl ether derivatives. Arch. Pharm. Res. 2015, 38, 1761–1773. [Google Scholar] [CrossRef] [PubMed]
- Rahman, S.M.A.; Ohno, H.; Murata, T.; Yoshino, H.; Satoh, N.; Murakami, K.; Patra, D.; Iwata, C.; Maezaki, N.; Tanaka, T. Total Synthesis of (±)-Scopadulin. J. Org. Chem. 2001, 66, 4831–4840. [Google Scholar] [CrossRef] [PubMed]
- Cui, Y.; Ren, J.; Lv, J.Y.; Wang, Z.W. Studies toward the Total Syntheses of Calyciphylline D-Type Daphniphyllum Alkaloids. Org. Lett. 2021, 23, 9189–9193. [Google Scholar] [CrossRef]
- Griffith, W.P.; Jolliffe, J.M.; Ley, S.V.; Springhorn, K.F.; Tiffin, P.D. Oxidation of Activated Halides to Aldehydes and Ketones by N-Methylmorpholine-N-oxide. Synth. Commun. 1992, 22, 1967–1971. [Google Scholar]
- Xing, S.; Pan, W.; Liu, C.; Ren, J.; Wang, Z. Efficient Construction of Oxa- and Aza-[n.2.1] Skeletons: Lewis Acid Catalyzed Intramolecular [3+2] Cycloaddition of Cyclopropane 1,1-Diesters with Carbonyls and Imines. Angew. Chem. Int. Ed. 2010, 49, 3215–3218. [Google Scholar] [CrossRef]
- Zhu, W.; Fang, J.; Liu, Y.; Ren, J.; Wang, Z. Lewis Acid Catalyzed Formal Intramolecular [3+2] Cross-Cycloaddition of Cyclopropane 1,1-Diesters with Alkenes: General and Efficient Strategy for Construction of Bridged [n.2.1] Carbocyclic Skeletons. Angew. Chem. Int. Ed. 2013, 52, 2032–2037. [Google Scholar] [CrossRef]
- Newman, M.S.; Sankaran, V.; Olson, D.R. Phenolic and ketonic tautomers in polycyclic aromatic hydrocarbons. J. Am. Chem. Soc. 1976, 98, 3237–3242. [Google Scholar] [CrossRef] [PubMed]
- Quideau, S.; Pouységu, L.; Deffieux, D. Oxidative Dearomatization of Phenols: Why, How and What For? Synlett 2008, 2008, 467–495. [Google Scholar] [CrossRef]
- Pouységu, L.; Deffieux, D.; Quideau, S. Hypervalent iodine-mediated phenol dearomatization in natural product synthesis. Tetrahedron 2010, 66, 2235–2261. [Google Scholar] [CrossRef]
- Liu, X.-Y.; Qin, Y. Enabling syntheses of diterpenoid alkaloids and related diterpenes by an oxidative dearomatization/Diels–Alder cycloaddition strategy. Nat. Prod. Rep. 2017, 34, 1044–1050. [Google Scholar] [CrossRef] [PubMed]
- Hayakawa, I.; Nagatani, R.; Ikeda, M.; Yoo, D.E.; Saito, K.; Kigoshi, H.; Sakakura, A. Toward the Synthesis of Yuzurimine-Type Alkaloids: Stereoselective Construction of the Heterocyclic Portions of Deoxyyuzurimine and Macrodaphnine. Org. Lett. 2019, 21, 6337–6341. [Google Scholar] [CrossRef]
- Matsuzawa, M.; Kakeya, H.; Yamaguchi, J.; Shoji, M.; Onose, R.; Osada, H.; Hayashi, Y. Enantio- and Diastereoselective Total Synthesis of (+)-Panepophenanthrin, a Ubiquitin-Activating Enzyme Inhibitor, and Biological Properties of Its New Derivatives. Chem. Asian J. 2006, 1, 845–851. [Google Scholar] [CrossRef]
- Fletcher, S. The Mitsunobu reaction in the 21st century. Org. Chem. Front. 2015, 2, 739–752. [Google Scholar] [CrossRef]
- Yokoshima, S.; Ueda, T.; Kobayashi, S.; Sato, A.; Kuboyama, T.; Tokuyama, H.; Fukuyama, T. Stereocontrolled Total Synthesis of (+)-Vinblastine. J. Am. Chem. Soc. 2002, 124, 2137–2139. [Google Scholar] [CrossRef]
- Liu, Y.M.; Li, F.; Wang, Q.; Yang, J. Synthesis of the AE bicyclic of Daphniphyllum alkaloid yuzurine. Tetrahedron 2017, 73, 6381–6385. [Google Scholar] [CrossRef]
- Liu, B.; De Brabander, J.K. Metal-Catalyzed Regioselective Oxy-Functionalization of Internal Alkynes: An Entry into Ketones, Acetals, and Spiroketals. Org. Lett. 2006, 8, 4907–4910. [Google Scholar] [CrossRef]
- Riediker, M.; Schwartz, J. Mercury(II)-induced cyclization of acetylenic alcohols: A new route to enol ethers and substituted enol ethers. J. Am. Chem. Soc. 1982, 104, 5842–5844. [Google Scholar] [CrossRef]
- Wang, Q.; Zhang, C.; Yang, J. Synthesis of ACE tricyclic systems of daphnicyclidin A and dehy-droxymacropodumine A. Chin. Chem. Lett. 2020, 31, 1906–1910. [Google Scholar] [CrossRef]
- Chu, L.; Ohta, C.; Zuo, Z.; MacMillan, D.W.C. Carboxylic Acids as A Traceless Activation Group for Conjugate Additions: A Three-Step Synthesis of (±)-Pregabalin. J. Am. Chem. Soc. 2014, 136, 10886–10889. [Google Scholar] [CrossRef]
- Tao, D.J.; Slutskyy, Y.; Muuronen, M.; Le, A.; Kohler, P.; Overman, L.E. Total Synthesis of (−)-Chromodorolide B By a Computationally-Guided Radical Addition/Cyclization/Fragmentation Cascade. J. Am. Chem. Soc. 2018, 140, 3091–3102. [Google Scholar] [CrossRef]
- Tu, J.Z.; Ripa, R.A.; Kelley, S.P.; Harmata, M. Intramolecular (4+3) Cycloadditions of Oxidopyridinium Ions: Towards Daphnicyclidin A. Chem. Eur. J. 2022, 28, e202200370. [Google Scholar] [CrossRef]
- Tu, J.Z.; Clark, M.M.; Harmata, M. First synthesis of an ABCE ring substructure of daphnicyclidin A. Org. Biomol. Chem. 2022, 20, 6547–6549. [Google Scholar] [CrossRef]
- Hilpert, L.J.; Sieger, S.V.; Haydl, A.M.; Breit, B. Palladium- and Rhodium-Catalyzed Dynamic Kinetic Resolution of Racemic Internal Allenes Towards Chiral Pyrazoles. Angew. Chem. Int. Ed. 2019, 58, 3378–3381. [Google Scholar] [CrossRef]
- Mortensen, M.S.; Osbourn, J.M.; O’Doherty, G.A. De Novo Formal Synthesis of (−)-Virginiamycin M2 via the Asymmetric Hydration of Dienoates. Org. Lett. 2007, 9, 3105–3108. [Google Scholar] [CrossRef][Green Version]
- Dang, H.T.; Nguyen, V.T.; Nguyen, V.D.; Arman, H.D.; Larionov, O.V. Efficient synthesis of 3-sulfolenes from allylic alcohols and 1,3-dienes enabled by sodium metabisulfite as a sulfur dioxide equivalent. Org. Biomol. Chem. 2018, 16, 3605–3609. [Google Scholar] [CrossRef]
- Li, J.L.; Shi, H.W.; Wang, Q.; Chai, Y.H.; Yang, J. Synthesis of the ABC Tricyclic System of Daphnicyclidin A. Org. Lett. 2017, 19, 1497–1499. [Google Scholar] [CrossRef]
- Duan, X.; Xu, H.; Shen, Y.; Liu, A.; He, F.; Hou, H.; Li, H.; Xie, X.; She, X. Synthesis of the 5–6–7 Tricyclic Core of Daphnicyclidin-Type Alkaloids via a Tiffeneau–Demjanov Ring Enlargement Strategy. J. Org. Chem. 2023, 88, 14842–14846. [Google Scholar] [CrossRef] [PubMed]
- Lu, Z.Y.; Li, Y.; Deng, J.; Li, A. Total synthesis of the Daphniphyllum alkaloid daphenylline. Nat. Chem. 2013, 5, 679–684. [Google Scholar] [CrossRef] [PubMed]
- Kang, T.; Song, S.B.; Kim, W.-Y.; Kim, B.G.; Lee, H.-Y. Total Synthesis of (−)-Crinipellin A. J. Am. Chem. Soc. 2014, 136, 10274–10276. [Google Scholar] [CrossRef] [PubMed]
- Galy, N.; Moraleda, D.; Santelli, M. Diallylation of 2,2-dialkylbenzodioxoles from TiCl4-mediated allylsilane reaction. Tetrahedron Lett. 2009, 50, 5238–5240. [Google Scholar] [CrossRef]
- Li, Y.F.; Dong, Q.Y.; Xie, Q.X.; Tang, P.; Zhang, M.; Qin, Y. Enantioselective Synthesis of ABCF Tetracyclic Framework of Daphniphyllum Alkaloid Calyciphylline N. Org. Lett. 2018, 20, 5053–5057. [Google Scholar] [CrossRef] [PubMed]
- Javier Moreno-Dorado, F.; Guerra, F.M.; Javier Aladro, F.; Bustamante, J.M.; Jorge, Z.D.; Massanet, G.M. An easy route to 11-hydroxy-eudesmanolides. Synthesis of (±) decipienin A. Tetrahedron 1999, 55, 6997–7010. [Google Scholar] [CrossRef]
- Mitsunobu, O. The Use of Diethyl Azodicarboxylate and Triphenylphosphine in Synthesis and Transformation of Natural Products. Synthesis 1981, 1981, 1–28. [Google Scholar] [CrossRef]
- Djuric, S.; Sarkar, T.; Magnus, P. Silicon in synthesis: An exceptionally short synthesis of dl-11.alpha.-hydroxyestrone methyl ether. J. Am. Chem. Soc. 1980, 102, 6885–6886. [Google Scholar] [CrossRef]
- Trost, B.M.; Fullerton, T.J. New synthetic reactions. Allylic alkylation. J. Am. Chem. Soc. 1973, 95, 292–294. [Google Scholar] [CrossRef]
- Abe, H.; Sato, A.; Kobayashi, T.; Ito, H. Concise Total Synthesis of Spirocurcasone. Org. Lett. 2013, 15, 1298–1301. [Google Scholar] [CrossRef]
- Nagata, W.; Yoshioka, M. Hydrocyanation of Conjugated Carbonyl Compounds. Org. React. 2005, 25, 255–476. [Google Scholar]
- Quiclet-Sire, B.; Revol, G.; Zard, S.Z. A convergent, modular access to complex amines. Tetrahedron 2010, 66, 6656–6666. [Google Scholar] [CrossRef]
- Zhang, Y.; Guo, L.D.; Xu, J. Efficient Synthesis of the AC Ring System of Daphnilactone B. Chin. J. Org. Chem. 2019, 39, 1079–1084. [Google Scholar] [CrossRef]
- Lin, E.; Xu, Y.; Ji, K.; Ye, L. Recent advances towards catalytic asymmetric Conia-ene-type reactions. Chin. Chem. Lett. 2021, 32, 954–962. [Google Scholar] [CrossRef]
- Zhang, P.-P.; Yan, Z.-M.; Li, Y.-H.; Gong, J.-X.; Yang, Z. Enantioselective Total Synthesis of (−)-Pavidolide B. J. Am. Chem. Soc. 2017, 139, 13989–13992. [Google Scholar] [CrossRef]
- Deng, M.; Yao, Y.; Li, X.; Li, N.; Zhang, X.; Liang, G. Rapid Construction of the ABCE Tetracyclic Tertiary Amine Skeleton in Daphenylline Enabled by an Amine−Borane Complexation Strategy. Org. Lett. 2019, 21, 3290–3294. [Google Scholar] [CrossRef]
- Liu, P.; Wang, J.; Zhang, J.; Qiu, F.G. A Concise Total Synthesis of (±)-Minfiensine. Org. Lett. 2011, 13, 6426–6428. [Google Scholar] [CrossRef] [PubMed]
- Comins, D.L.; Dehghani, A. Pyridine-derived triflating reagents: An improved preparation of vinyl triflates from metallo enolates. Tetrahedron Lett. 1992, 33, 6299–6302. [Google Scholar] [CrossRef]
- Ikeda, S.-I.; Mori, N.; Sato, Y. Regioselective Cyclic Cotrimerization of α,β-Enones and Alkynes by a Nickel−Aluminum Catalyst System. J. Am. Chem. Soc. 1997, 119, 4779–4780. [Google Scholar] [CrossRef]
- Chen, Y.; Hu, J.; Guo, L.; Tian, P.; Xu, T.; Xu, J. Synthesis of the Core Structure of Daphnimacropodines. Org. Lett. 2019, 21, 4309–4312. [Google Scholar] [CrossRef]
- Ramachary, D.B.; Kishor, M. Organocatalytic Sequential One-Pot Double Cascade Asymmetric Synthesis of Wieland−Miescher Ketone Analogues from a Knoevenagel/Hydrogenation/Robinson Annulation Sequence: Scope and Applications of Organocatalytic Biomimetic Reductions. J. Org. Chem. 2007, 72, 5056–5068. [Google Scholar] [CrossRef]
- Suryawanshi, S.N.; Fuchs, P.L. Bruceantin support studies. 10. Use of an axial .alpha.-face control element in intramolecular conjugate additions: Synthesis of an ABCD tetracyclic bruceantin precursor. J. Org. Chem. 1986, 51, 902–921. [Google Scholar] [CrossRef]
- Luche, J.-L.; Petrier, C.; Lansard, J.P.; Greene, A.E. Ultrasound in organic synthesis. 4. A simplified preparation of diarylzinc reagents and their conjugate addition to .alpha.-enones. J. Org. Chem. 1983, 48, 3837–3839. [Google Scholar] [CrossRef]
- Cox, J.B.; Wood, J.L. Synthetic studies toward longeracemine: The intramolecular [4+2] cycloaddition of 3H-pyrroles. Tetrahedron 2018, 74, 4539–4549. [Google Scholar] [CrossRef]
- Zhang, Q.; Di, Y.; Li, C.; Fang, X.; Tan, C.; Zhang, Z.; Zhang, Y.; He, H.; Li, S.; Hao, X. Daphenylline, a New Alkaloid with an Unusual Skeleton, from Daphniphyllum longeracemosum. Org. Lett. 2009, 11, 2357–2359. [Google Scholar] [CrossRef]
- Zhang, H.; Shyaula, S.L.; Li, J.-Y.; Li, J.; Yue, J.-M. Himalensines A and B, alkaloids from Daphniphyllum himalense. Org. Lett. 2016, 18, 1202–1205. [Google Scholar] [CrossRef]
- Wang, B.Y.; Xu, B.; Xun, W.; Guo, Y.M.; Zhang, J.; Qiu, F.Y.G. A General Strategy for the Construction of Calyciphylline A-Type Alkaloids: Divergent Total Syntheses of (−)-Daphenylline and (−)-Himalensine A. Angew. Chem. Int. Ed. 2021, 60, 9439–9443. [Google Scholar] [CrossRef] [PubMed]
- Pettit, G.R.; Melody, N.; Chapuis, J.-C. Antineoplastic Agents. 606. The Betulastatins. J. Nat. Prod. 2018, 81, 458–464. [Google Scholar] [CrossRef] [PubMed]
- Wu, J.; Tang, Y.; Wei, W.; Wu, Y.; Li, Y.; Zhang, J.; Zheng, Y.; Xu, S. Phosphine-Catalyzed Activation of Vinylcyclopropanes: Rearrangement of Vinylcyclopropylketones to Cycloheptenones. Angew. Chem. Int. Ed. 2018, 57, 6284–6288. [Google Scholar] [CrossRef] [PubMed]
- Vorogushin, A.V.; Predeus, A.V.; Wulff, W.D.; Hansen, H.-J. Diels−Alder Reaction−Aromatization Approach toward Functionalized Ring C Allocolchicinoids. Enantioselective Total Synthesis of (−)-7S-Allocolchicine. J. Org. Chem. 2003, 68, 5826–5831. [Google Scholar] [CrossRef] [PubMed]
- Yaremenko, I.A.; Vil’, V.A.; Demchuk, D.V.; Terent’ev, A.O. Rearrangements of organic peroxides and related processes. Beilstein J. Org. Chem. 2016, 12, 1647–1748. [Google Scholar] [CrossRef]
- Chen, X.; Zhang, H.J.; Yang, X.; Lv, H.; Shao, X.; Tao, C.; Wang, H.; Cheng, B.; Li, Y.; Guo, J.; et al. Divergent Total Syntheses of (−)-Daphnilongeranin B and (−)-Daphenylline. Angew. Chem. 2018, 130, 959–963. [Google Scholar] [CrossRef]
- Xia, Y.; Liang, Y.; Chen, Y.; Wang, M.; Jiao, L.; Huang, F.; Liu, S.; Li, Y.; Yu, Z.-X. An Unexpected Role of a Trace Amount of Water in Catalyzing Proton Transfer in Phosphine-Catalyzed (3 + 2) Cycloaddition of Allenoates and Alkenes. J. Am. Chem. Soc. 2007, 129, 3470–3471. [Google Scholar] [CrossRef]
- Takasu, K.; Mizutani, S.; Noguchi, M.; Makita, K.; Ihara, M. Stereocontrolled Total Synthesis of (±)-Culmorin via the Intramolecular Double Michael Addition. Org. Lett. 1999, 1, 391–394. [Google Scholar] [CrossRef]
- Breder, A.; Chinigo, G.M.; Waltman, A.W.; Carreira, E.M. Enantioselective Synthesis of the Carbocyclic D-Ring Subunit of Massadine. Angew. Chem. Int. Ed. 2008, 47, 8514–8517. [Google Scholar] [CrossRef]
- Brito, G.A.; Sarotti, A.M.; Wipf, P.; Pilli, R.A. Cascade cyclization triggered by imine formation. Formal synthesis of the alkaloid (±)-stemoamide and its 9a-epimer. Tetrahedron Lett. 2015, 56, 6664–6668. [Google Scholar] [CrossRef]
- Barreto, C.B.; Pereira, J.V.L.P. A formal synthesis to (+)-nephrosteranic acid from chiral nitroalkyl derivatives. Tetrahedron Lett. 2009, 50, 6389–6392. [Google Scholar] [CrossRef]
- Darses, B.; Michaelides, I.N.; Sladojevich, F.; Ward, J.W.; Rzepa, P.R.; Dixon, D.J. Expedient construction of the [7–5–5] all-carbon tricyclic core of the Daphniphyllum alkaloids Daphnilongeranin B and Daphniyunnine D. Org. Lett. 2012, 14, 1684–1687. [Google Scholar] [CrossRef]
- Maya, V.; Raj, M.; Singh, V.K. Highly enantioselective organocatalytic direct aldol reaction in an aqueous medium. Org. Lett. 2007, 9, 2593–2595. [Google Scholar] [CrossRef]
- Gammack Yamagata, A.D.; Dixon, D.J. Enantioselective construction of the ABCDE pentacyclic core of the strychnos alkaloids. Org. Lett. 2017, 19, 1894–1897. [Google Scholar] [CrossRef]
- Yang, S.-P.; Zhang, H.; Zhang, C.-R.; Cheng, H.-D.; Yue, J.-M. Alkaloids from Daphniphyllum longeracemosum. J. Nat. Prod. 2006, 69, 79–82. [Google Scholar] [CrossRef]
- Dhara, K.; Mandal, T.; Das, J.; Dash, J. Synthesis of Carbazole Alkaloids by Ring-Closing Metathesis and Ring Rearrangement–Aromatization. Angew. Chem. Int. Ed. 2015, 54, 15831–15835. [Google Scholar] [CrossRef] [PubMed]
- Baskaran, S.; Islam, I.; Raghavan, M.; Chandrasekaran, S. Pyridinium chlorochromate in organic synthesis. A facile and selective oxidative cleavage of enol ethers. Chem. Lett. 1987, 1175–1178. [Google Scholar] [CrossRef]
- Chen, Y.; Zhang, W.H.; Ren, L.; Li, J.; Li, A. Total Syntheses of Daphenylline, Daphnipaxianine A, and Himalenine D. Angew. Chem. Int. Ed. 2018, 57, 952–956. [Google Scholar] [CrossRef]
- Li, J.; Zhang, W.; Zhang, F.; Chen, Y.; Li, A. Total synthesis of longeracinphyllin A. J. Am. Chem. Soc. 2017, 139, 14893–14896. [Google Scholar] [CrossRef] [PubMed]
- Crich, D.; Chen, C.; Hwang, J.-T.; Yuan, H.; Papadatos, A.; Walter, R.I. Photoinduced free radical chemistry of the acyl tellurides: Generation, inter-and intramolecular trapping, and ESR spectroscopic identification of acyl radicals. J. Am. Chem. Soc. 1994, 116, 8937–8951. [Google Scholar] [CrossRef]
- Xu, B.; Wang, B.Y.; Xun, W.; Qiu, F.Y.G. Total Synthesis of (−)-Daphenylline. Angew. Chem. Int. Ed. 2019, 58, 5754–5757. [Google Scholar] [CrossRef] [PubMed]
- Jiang, D.; Xu, Z.; Jia, Y. Mg(ClO4)2-catalyzed intramolecular allylic amination: Application to the total synthesis of demethoxyfumitremorgin C. Tetrahedron 2012, 68, 4225–4232. [Google Scholar] [CrossRef]
- Ku, J.-M.; Jeong, B.-S.; Jew, S.-S.; Park, H.-G. Enantioselective Synthesis of (−)-cis-Clavicipitic Acid. J. Org. Chem. 2007, 72, 8115–8118. [Google Scholar] [CrossRef]
- Shi, H.; Michaelides, I.N.; Darses, B.; Jakubec, P.; Nguyen, Q.N.N.; Paton, R.S.; Dixon, D. Total synthesis of (−)-himalensine A. J. Am. Chem. Soc. 2017, 139, 17755–17758. [Google Scholar] [CrossRef]
- Tsunoda, T.; Suzuki, M.; Noyori, R. A facile procedure for acetalization under aprotic conditions. Tetrahedron Lett. 1980, 21, 1357–1358. [Google Scholar] [CrossRef]
- Stork, G.; Ganem, B. .alpha.-Silylated vinyl ketones. New class of reagents for the annelation of ketones. J. Am. Chem. Soc. 1973, 95, 6152–6153. [Google Scholar] [CrossRef]
- Bal, B.S.; Childers Jr, W.E.; Pinnick, H.W. Oxidation of α, β-un saturated aldehydes. Tetrahedron 1981, 37, 2091–2096. [Google Scholar] [CrossRef]
- Wang, W.; Li, G.P.; Wang, S.F.; Shi, Z.F.; Cao, X.P. Direct and short construction of the ACDE ring system of daphenylline. Chem. Asian J. 2015, 10, 377–382. [Google Scholar] [CrossRef] [PubMed]
- Lim, J.W.; Moon, H.R.; Kim, S.Y.; Kim, J.N. One-pot synthesis of spirofluorenyl-and spiroindeno [1, 2-b] indolyl oxindoles via sequential inter-and intramolecular Friedel–Crafts reactions. Tetrahedron Lett. 2016, 57, 133–136. [Google Scholar] [CrossRef]
- Hong, X.; France, S.; Mejía-Oneto, J.M.; Padwa, A. Cycloaddition Protocol for the Assembly of the Hexacyclic Framework Associated with the Kopsifoline Alkaloids. Org. Lett. 2006, 8, 5141–5144. [Google Scholar] [CrossRef] [PubMed]
- Zhong, J.X.; Chen, K.W.; Qiu, Y.Y.; He, H.B.; Gao, S.H. A Unified Strategy To Construct the Tetracyclic Ring of Calyciphylline A Alkaloids: Total Synthesis of Himalensine A. Org. Lett. 2019, 21, 3741–3745. [Google Scholar] [CrossRef]
- Aurich, H.G.; Franzke, M.; Kesselheim, H.P.; Rohr, M. Steric effects on regioselectivity in 1.3-Dipolar cycloaddition of C,N-dialyl nitrones with acceptor-substituted alkynes. Tetrahedron 1992, 48, 669–682. [Google Scholar] [CrossRef]
- Chen, Y.; Hu, J.; Guo, L.D.; Zhong, W.; Ning, C.; Xu, J. A Concise Total Synthesis of (−)-Himalensine A. Angew. Chem. Int. Ed. 2019, 58, 7390–7394. [Google Scholar] [CrossRef]
- Cañellas, S.; Ayats, C.; Henseler, A.H.; Pericàs, M.A. A highly active polymer-supported catalyst for asymmetric Robinson annulations in continuous flow. ACS Catal. 2017, 7, 1383–1391. [Google Scholar] [CrossRef]
- Sano, K.; Kohari, Y.; Nakano, H.; Seki, C.; Takeshita, M.; Tokiwa, M.; Hirose, Y.; Uwai, K. Lipase-catalyzed domino Michael–aldol reaction of 2-methyl-1, 3-cycloalkanedione and methyl vinyl ketone for the synthesis of bicyclic compounds. Synth. Commun. 2016, 46, 46–54. [Google Scholar] [CrossRef][Green Version]
- Liu, J.; Ma, D. A Unified Approach for the Assembly of Atisine-and Hetidine-type Diterpenoid Alkaloids: Total Syntheses of Azitine and the Proposed Structure of Navirine C. Angew. Chem. Int. Ed. 2018, 57, 6676–6680. [Google Scholar] [CrossRef] [PubMed]
- Kabalka, G.W.; Summers, S.T. A mild and convenient conversion of ketones to the corresponding methylene derivatives via reduction of tosylhydrazones by bis (benzoyloxy) borane. J. Org. Chem. 1981, 46, 1217–1218. [Google Scholar] [CrossRef]
- Zhang, W.; Ding, M.; Li, J.; Guo, Z.; Lu, M.; Chen, Y.; Liu, L.; Shen, Y.-H.; Li, A. Total synthesis of hybridaphniphylline B. J. Am. Chem. Soc. 2018, 140, 4227–4231. [Google Scholar] [CrossRef]
- Xie, S.; Chen, G.; Yan, H.; Hou, J.; He, Y.; Zhao, T.; Xu, J. 13-Step total synthesis of atropurpuran. J. Am. Chem. Soc. 2019, 141, 3435–3439. [Google Scholar] [CrossRef]
- Shvartsbart, A.; Smith, A.B., III. The Daphniphyllum alkaloids: Total synthesis of (−)-calyciphylline N. J. Am. Chem. Soc. 2015, 137, 3510–3519. [Google Scholar] [CrossRef]
- Murphy, S.K.; Zeng, M.; Herzon, S.B. A modular and enantioselective synthesis of the pleuromutilin antibiotics. Science 2017, 356, 956–959. [Google Scholar] [CrossRef]
- Zeng, M.; Murphy, S.K.; Herzon, S.B. Development of a modular synthetic route to (+)-pleuromutilin,(+)-12-epi-mutilins, and related structures. J. Am. Chem. Soc. 2017, 139, 16377–16388. [Google Scholar] [CrossRef]
- Wang, H. Comprehensive Organic Name Reactions; Wiley: New York, NY, USA, 2010; Volume 2. [Google Scholar]
- Park, S.; Brookhart, M. Development and Mechanistic Investigation of a Highly Efficient Iridium(V) Silyl Complex for the Reduction of Tertiary Amides to Amines. J. Am. Chem. Soc. 2012, 134, 640–653. [Google Scholar] [CrossRef]
- Cao, M.; Ma, B.; Gu, Q.; Fu, B.; Lu, H. Concise enantioselective total synthesis of daphenylline enabled by an intramolecular oxidative dearomatization. J. Am. Chem. Soc. 2022, 144, 5750–5755. [Google Scholar] [CrossRef]
- Jiang, R.; Ding, L.; Zheng, C.; You, S.-L. Iridium-catalyzed Z-retentive asymmetric allylic substitution reactions. Science 2021, 371, 380–386. [Google Scholar] [CrossRef] [PubMed]
- Zhuo, C.-X.; Zheng, C.; You, S.-L. Transition-metal-catalyzed asymmetric allylic dearomatization reactions. Acc. Chem. Res. 2014, 47, 2558–2573. [Google Scholar] [CrossRef] [PubMed]
- Yagi, S. Daphniphyllum alkaloid. Kyoto Igaku Zasshi 1909, 6, 208–222. [Google Scholar]
- An, J.; Bandini, M. Recent advances in the catalytic dearomatization of naphthols. Eur. J. Org. Chem. 2020, 2020, 4087–4097. [Google Scholar] [CrossRef]
- DeMartino, M.P.; Chen, K.; Baran, P.S. Intermolecular enolate heterocoupling: Scope, mechanism, and application. J. Am. Chem. Soc. 2008, 130, 11546–11560. [Google Scholar] [CrossRef]
- Rudolph, A.; Bos, P.H.; Meetsma, A.; Minnaard, A.J.; Feringa, B.L. Catalytic asymmetric conjugate addition/oxidative dearomatization towards multifunctional spirocyclic compounds. Angew. Chem. Int. Ed. 2011, 50, 5834–5838. [Google Scholar] [CrossRef]
- Baro, A.; Christoffers, J. Michael Reactions and Conjugate Additions. Quat. Ster. Chall. Solut. Org. Synth. 2005, 83–115. [Google Scholar] [CrossRef]
- Zi, W.; Zuo, Z.; Ma, D. Intramolecular dearomative oxidative coupling of indoles: A unified strategy for the total synthesis of indoline alkaloids. Acc. Chem. Res. 2015, 48, 702–711. [Google Scholar] [CrossRef]
- Aelvoet, K.; Batsanov, A.S.; Blatch, A.J.; Grosjean, C.; Patrick, L.E.; Smethurst, C.A.; Whiting, A. A catalytic aldol reaction and condensation through in situ boron “ate” complex enolate generation in water. Angew. Chem. Int. Ed. 2008, 47, 768–770. [Google Scholar] [CrossRef]
- Klare, H.F.; Albers, L.; Süsse, L.; Keess, S.; Müller, T.; Oestreich, M. Silylium Ions: From Elusive Reactive Intermediates to Potent Catalysts. Chem. Rev. 2021, 121, 5889–5985. [Google Scholar] [CrossRef]
- Zhang, Y.; Chen, Y.; Song, M.; Tan, B.; Jiang, Y.; Yan, C.; Jiang, Y.; Hu, X.; Zhang, C.; Chen, W. Total syntheses of calyciphylline A-type alkaloids (−)-10-deoxydaphnipaxianine A,(+)-daphlongamine E and (+)-calyciphylline R via late-stage divinyl carbinol rearrangements. J. Am. Chem. Soc. 2022, 144, 16042–16051. [Google Scholar] [CrossRef] [PubMed]
- Xing, X.; Xu, C.; Chen, B.; Li, C.; Virgil, S.C.; Grubbs, R.H. Highly active platinum catalysts for nitrile and cyanohydrin hydration: Catalyst design and ligand screening via high-throughput techniques. J. Am. Chem. Soc. 2018, 140, 17782–17789. [Google Scholar] [CrossRef] [PubMed]
- Kabalka, G.W.; Yang, D.T.; Baker, J.D. Deoxygenation of .alpha.,.beta.-unsaturated aldehydes and ketones via the catecholborane reduction of the corresponding tosylhydrazones. J. Org. Chem. 1976, 41, 574–575. [Google Scholar] [CrossRef]
- Li, T.; Wu, G.; Feng, S.; Wang, Z.; Xie, X.; She, X. A rapid construction of the ABC tricyclic skeleton of malabanone A. Org. Biomol. Chem. 2018, 16, 8491–8494. [Google Scholar] [CrossRef]
- Shibuya, M.; Tomizawa, M.; Iwabuchi, Y. Oxidative rearrangement of tertiary allylic alcohols employing oxoammonium salts. J. Org. Chem. 2008, 73, 4750–4752. [Google Scholar] [CrossRef]
- Hong, X.; France, S.; Padwa, A. A dipolar cycloaddition approach toward the kopsifoline alkaloid framework. Tetrahedron 2007, 63, 5962–5976. [Google Scholar] [CrossRef] [PubMed]
- Matheau-Raven, D.; Gabriel, P.; Leitch, J.A.; Almehmadi, Y.A.; Yamazaki, K.; Dixon, D.J. Catalytic reductive functionalization of tertiary amides using Vaska’s complex: Synthesis of complex tertiary amine building blocks and natural products. ACS Catal. 2020, 10, 8880–8897. [Google Scholar] [CrossRef]
- Zhang, H.; Zhang, D.-D.; Li, J.-Y.; Shyaula, S.L.; Li, J.; Yue, J.-M. New alkaloids from Daphniphyllum himalense. RSC Adv. 2016, 6, 44402–44409. [Google Scholar] [CrossRef]
- Bolotin, D.S.; Bokach, N.A.; Demakova, M.Y.; Kukushkin, V.Y. Metal-involving synthesis and reactions of oximes. Chem. Rev. 2017, 117, 13039–13122. [Google Scholar] [CrossRef]
- Zeng, B.; Cheng, Y.; Zheng, K.; Liu, S.; Shen, L.; Hu, J.; Li, Y.; Pan, X. Design, synthesis and in vivo anticancer activity of novel parthenolide and micheliolide derivatives as NF-κB and STAT3 inhibitors. Bioorg. Chem. 2021, 111, 104973. [Google Scholar] [CrossRef]
- Robak, M.T.; Herbage, M.A.; Ellman, J.A. Synthesis and Applications of tert-Butanesulfinamide. Chem. Rev. 2010, 110, 3600–3740. [Google Scholar] [CrossRef] [PubMed]
- Hugelshofer, C.L.; Palani, V.; Sarpong, R. Calyciphylline B-Type Alkaloids: Total Syntheses of (-)-Daphlongamine H and (-)-Isodaphlongamine H. J. Am. Chem. Soc. 2019, 141, 8431–8435. [Google Scholar] [CrossRef]
- Fuentes de Arriba, Á.L.; Lenci, E.; Sonawane, M.; Formery, O.; Dixon, D.J. Iridium-Catalyzed Reductive Strecker Reaction for Late-Stage Amide and Lactam Cyanation. Angew. Chem. Int. Ed. 2017, 56, 3655–3659. [Google Scholar] [CrossRef]
- Chattopadhyay, A.K.; Ly, V.L.; Jakkepally, S.; Berger, G.; Hanessian, S. Total synthesis of isodaphlongamine H: A possible biogenetic conundrum. Angew. Chem. Int. Ed. 2016, 55, 2577–2581. [Google Scholar] [CrossRef]
- Quick, J.; Khandelwal, Y.; Meltzer, P.C.; Weinberg, J.S. Synthetic studies on the Lythraceae alkaloids. 11. Model studies for the synthesis of lythracine V. J. Org. Chem. 1983, 48, 5199–5203. [Google Scholar] [CrossRef]
- Venkataraman, K.; Wagle, D. Cyanuric chloride, a useful reagent for macrocyclic lactonization. Tetrahedron Lett. 1980, 21, 1893–1896. [Google Scholar] [CrossRef]
- Li, C.; Di, Y.; Zhang, Q.; Zhang, Y.; Tan, C.; Hao, X. Alkaloids from the Leaves of Daphniphyllum longeracemosum ROSENTH. Helv. Chim. Acta 2009, 92, 653–659. [Google Scholar] [CrossRef]
- Guo, L.-D.; Hu, J.; Zhang, Y.; Tu, W.; Zhang, Y.; Pu, F.; Xu, J. Enantioselective total synthesis of (−)-Caldaphnidine O via a radical cyclization cascade. J. Am. Chem. Soc. 2019, 141, 13043–13048. [Google Scholar] [CrossRef]
- Guo, L.-D.; Hou, J.; Tu, W.; Zhang, Y.; Zhang, Y.; Chen, L.; Xu, J. Total synthesis of dapholdhamine B and dapholdhamine B lactone. J. Am. Chem. Soc. 2019, 141, 11713–11720. [Google Scholar] [CrossRef]
- Mc Murry, J.E.; Scott, W.J. A method for the regiospecific synthesis of enol triflates by enolate trapping. Tetrahedron Lett. 1983, 24, 979–982. [Google Scholar] [CrossRef]
- Imamoto, T.; Takiyama, N.; Nakamura, K.; Hatajima, T.; Kamiya, Y. Reactions of carbonyl compounds with Grignard reagents in the presence of cerium chloride. J. Am. Chem. Soc. 1989, 111, 4392–4398. [Google Scholar] [CrossRef]
- Stüdemann, T.; Ibrahim-Ouali, M.; Cahiez, G.; Knochel, P. Stereoselective nickel and manganese catalyzed cyclizations of 5-haloketones. Synlett 1998, 2, 143–144. [Google Scholar] [CrossRef]
- Mikołajczyk, M.; Grzejszczak, S.; Zatorski, A.; Mlotkowska, B.; Gross, H.; Costisella, B. Organosulphur compounds—XVIII: A new and general synthesis of ketene S, S-and O, S-thioacetals based on the Horner-Wittig reaction. Tetrahedron 1978, 34, 3081–3088. [Google Scholar] [CrossRef]
- Denmark, S.E.; Baiazitov, R.Y. Tandem double-intramolecular [4+ 2]/[3+ 2] cycloadditions of nitroalkenes. Studies toward a total synthesis of daphnilactone B: Piperidine ring construction. J. Org. Chem. 2006, 71, 593–605. [Google Scholar] [CrossRef] [PubMed]
- Xu, G.; Wu, J.; Li, L.; Lu, Y.; Li, C. Total synthesis of (−)-daphnezomines A and B. J. Am. Chem. Soc. 2020, 142, 15240–15245. [Google Scholar] [CrossRef]
- Magnus, P.; Lacour, J.; Coldham, I.; Mugrage, B.; Bauta, W.B. New trialkylsilyl enol ether chemistry: α-N-tosylamination of triisopropylsilyl enol ethers. Tetrahedron 1995, 51, 11087–11110. [Google Scholar] [CrossRef]
- Johnson, C.R.; Braun, M.P. A two-step, three-component synthesis of PGE1: Utilization of .alpha.-iodo enones in Pd (0)-catalyzed cross-couplings of organoboranes. J. Am. Chem. Soc. 1993, 115, 11014–11015. [Google Scholar] [CrossRef]
- Pradhan, P.P.; Bobbitt, J.M.; Bailey, W.F. Oxidative cleavage of benzylic and related ethers, using an oxoammonium salt. J. Org. Chem. 2009, 74, 9524–9527. [Google Scholar] [CrossRef]
- Ruider, S.A.; Sandmeier, T.; Carreira, E.M. Total synthesis of (±)-Hippolachnin A. Angew. Chem. Int. Ed. 2015, 54, 2378–2382. [Google Scholar] [CrossRef]
- Matos, J.; Green, S.; Shenvi, R. Markovnikov Functionalization by Hydrogen Atom Transfer. Org. React. 2019, 100, 383–470. [Google Scholar]
- Ma, K.; Zhang, C.; Liu, M.; Chu, Y.; Zhou, L.; Hu, C.; Ye, D. First total synthesis of (+)-carainterol A. Tetrahedron Lett. 2010, 51, 1870–1872. [Google Scholar] [CrossRef]
- Díaz, S.; Cuesta, J.; González, A.; Bonjoch, J. Synthesis of (−)-nakamurol A and assignment of absolute configuration of diterpenoid (+)-Nakamurol A. J. Org. Chem. 2003, 68, 7400–7406. [Google Scholar] [CrossRef] [PubMed]
- Mukaiyama, T.; Matsuo, J.-i.; Kitagawa, H. A new and one-pot synthesis of α, β-unsaturated ketones by dehydrogenation of various ketones with N-tert-butyl phenylsulfinimidoyl chloride. Chem. Lett. 2000, 29, 1250–1251. [Google Scholar] [CrossRef]
- Zhao, N.; Xie, S.; Tian, P.; Tong, R.; Ning, C.; Xu, J. Asymmetric total synthesis of (+)-astellatol and (−)-astellatene. Org. Chem. Front. 2019, 6, 2014–2022. [Google Scholar] [CrossRef]
- Hu, J.; Guo, L.-D.; Chen, W.; Jiang, Y.; Pu, F.; Ning, C.; Xu, J. Total Syntheses of Daphnezomine L-type and Secodaphniphylline-type Daphniphyllum Alkaloids via Late-Stage C–N Bond Activation. Org. Lett. 2022, 24, 7416–7420. [Google Scholar] [CrossRef]
- Guo, L.-D.; Zhang, Y.; Hu, J.; Ning, C.; Fu, H.; Chen, Y.; Xu, J. Asymmetric total synthesis of yuzurimine-type Daphniphyllum alkaloid (+)-caldaphnidine J. Nat. Commun. 2020, 11, 3538. [Google Scholar] [CrossRef]
- Li, L.-X.; Min, L.; Yao, T.-B.; Ji, S.-X.; Qiao, C.; Tian, P.-L.; Sun, J.; Li, C.-C. Total Synthesis of Yuzurine-type Alkaloid Daphgraciline. J. Am. Chem. Soc. 2022, 144, 18823–18828. [Google Scholar] [CrossRef]
- Warner, P.M. Strained bridgehead double bonds. Chem. Rev. 1989, 89, 1067–1093. [Google Scholar] [CrossRef]
- Hu, P.; Snyder, S.A. Enantiospecific total synthesis of the highly strained (−)-presilphiperfolan-8-ol via a Pd-catalyzed tandem cyclization. J. Am. Chem. Soc. 2017, 139, 5007–5010. [Google Scholar] [CrossRef]
- Odagi, M.; Matoba, T.; Hosoya, K.; Nagasawa, K. Enantioselective total synthesis of (+)-stephadiamine through bioinspired aza-benzilic acid type rearrangement. J. Am. Chem. Soc. 2021, 143, 2699–2704. [Google Scholar] [CrossRef]
- Hu, Y.-J.; Gu, C.-C.; Wang, X.-F.; Min, L.; Li, C.-C. Asymmetric total synthesis of Taxol. J. Am. Chem. Soc. 2021, 143, 17862–17870. [Google Scholar] [CrossRef] [PubMed]
- Yamamura, S.; Lamberton, J.; Niwa, M.; Endo, K.; Hirata, Y. Three new Daphniphyllum alkaloids with an αβ, γδ-unsaturated ester group from Daphniphyllum gracile Gage. Chem. Lett. 1980, 9, 393–396. [Google Scholar] [CrossRef]
- Hu, J.; Xu, J. Total synthesis of a putative yuzurimine-type Daphniphyllum alkaloid C14-epi-deoxycalyciphylline H. Chin. Chem. Lett. 2024, 35, 108733. [Google Scholar] [CrossRef]
- Ando, M.; Ohhara, H.; Takase, K. A mild and stereospecific conversion of vicinal diols into olefins via 2-methoxy-1, 3-dioxolane derivatives. Chem. Lett. 1986, 879–882. [Google Scholar] [CrossRef]
- Trost, B.M. Palladium-catalyzed cycloisomerizations of enynes and related reactions. Acc. Chem. Res. 1990, 23, 34–42. [Google Scholar] [CrossRef]
- Kučera, R.; Ellis, S.R.; Yamazaki, K.; Hayward Cooke, J.; Chekshin, N.; Christensen, K.E.; Hamlin, T.A.; Dixon, D. Enantioselective total synthesis of (−)-himalensine A via a palladium and 4-hydroxyproline co-catalyzed desymmetrization of vinyl-bromide-tethered cyclohexanones. J. Am. Chem. Soc. 2023, 145, 5422–5430. [Google Scholar] [CrossRef]
- Sladojevich, F.; Michaelides, I.N.; Darses, B.; Ward, J.W.; Dixon, D.J. Expedient route to the functionalized calyciphylline A-type skeleton via a Michael addition–RCM strategy. Org. Lett. 2011, 13, 5132–5135. [Google Scholar] [CrossRef] [PubMed]
- Su, S.; Lin, C.; Zhai, H. Divergent Total Syntheses of (−)-Daphnezomines A and B and (+)-Dapholdhamine B. Angew. Chem. Int. Ed. 2023, 62, e202303402. [Google Scholar] [CrossRef] [PubMed]
- Zhang, Z.; Chen, S.; Tang, F.; Guo, K.; Liang, X.-T.; Huang, J.; Yang, Z. Total Synthesis of (+)-Cyclobutastellettolide B. J. Am. Chem. Soc. 2021, 143, 18287–18293. [Google Scholar] [CrossRef]
- Crossley, S.W.; Tong, G.; Lambrecht, M.J.; Burdge, H.E.; Shenvi, R.A. Synthesis of (−)-picrotoxinin by late-stage strong bond activation. J. Am. Chem. Soc. 2020, 142, 11376–11381. [Google Scholar] [CrossRef]
- Zou, Y.-P.; Lai, Z.-L.; Zhang, M.-W.; Peng, J.; Ning, S.; Li, C.-C. Total synthesis of (±)-and (−)-daphnillonin B. J. Am. Chem. Soc. 2023, 145, 10998–11004. [Google Scholar] [CrossRef] [PubMed]
- Zhang, W.; Lu, M.; Ren, L.; Zhang, X.; Liu, S.; Ba, M.; Yang, P.; Li, A. Total Synthesis of Four Classes of Daphniphyllum Alkaloids. J. Am. Chem. Soc. 2023, 145, 26569–26579. [Google Scholar] [CrossRef] [PubMed]
- Kursanov, D.; Parnes, Z.; Loim, N. Applications of ionic hydrogenation to organic synthesis. Synthesis 1974, 1974, 633–651. [Google Scholar] [CrossRef]
- Xu, L.-L.; Niu, Z.-P.; Chen, D.-Z.; Zhang, Y.; Zhao, Q.; Liang, H.; Li, S.; Li, J.-L.; Ding, X.; Yang, C.-L.; et al. Daphmacrimines A−K, Daphniphyllum alkaloids from Daphniphyllum macropodum Miq. Phytochemistry 2024, 223, 114106. [Google Scholar] [CrossRef] [PubMed]
- Zhang, Y.; Chen, Y.; Xu, J. Total Synthesis of Daphniphyllum Alkaloids:(+)-Daphlongamine E,(+)-Calyciphylline R, and (–)-10-Deoxydaphnipaxianine A. Synthesis 2024, 56, 1273–1284. [Google Scholar] [CrossRef]
- Wu, B.-L.; Yao, J.-N.; Long, X.-X.; Tan, Z.-Q.; Liang, X.; Feng, L.; Wei, K.; Yang, Y.-R. Enantioselective Total Synthesis of (−)-Daphenylline. J. Am. Chem. Soc. 2024, 146, 1262–1268. [Google Scholar] [CrossRef]
- Wright, B.A.; Regni, A.; Chaisan, N.; Sarpong, R. Navigating Excess Complexity: Total Synthesis of Daphenylline. J. Am. Chem. Soc. 2024, 146, 1813–1818. [Google Scholar] [CrossRef]






















































Disclaimer/Publisher’s Note: The statements, opinions and data contained in all publications are solely those of the individual author(s) and contributor(s) and not of MDPI and/or the editor(s). MDPI and/or the editor(s) disclaim responsibility for any injury to people or property resulting from any ideas, methods, instructions or products referred to in the content. |
© 2024 by the authors. Licensee MDPI, Basel, Switzerland. This article is an open access article distributed under the terms and conditions of the Creative Commons Attribution (CC BY) license (https://creativecommons.org/licenses/by/4.0/).
Share and Cite
Chen, L.; Lv, C.; Meng, Y.; Yang, Z.; Xin, W.; Zhu, Y.; Wang, X.; Wang, B.; Ding, X.; Wang, Z.; et al. The Latest Progress in the Chemistry of Daphniphyllum Alkaloids. Molecules 2024, 29, 5498. https://doi.org/10.3390/molecules29235498
Chen L, Lv C, Meng Y, Yang Z, Xin W, Zhu Y, Wang X, Wang B, Ding X, Wang Z, et al. The Latest Progress in the Chemistry of Daphniphyllum Alkaloids. Molecules. 2024; 29(23):5498. https://doi.org/10.3390/molecules29235498
Chicago/Turabian StyleChen, Lujuan, Chao Lv, Yinping Meng, Zhen Yang, Wenbin Xin, Yuxue Zhu, Xuehan Wang, Baozhen Wang, Xuan Ding, Zhaoxia Wang, and et al. 2024. "The Latest Progress in the Chemistry of Daphniphyllum Alkaloids" Molecules 29, no. 23: 5498. https://doi.org/10.3390/molecules29235498
APA StyleChen, L., Lv, C., Meng, Y., Yang, Z., Xin, W., Zhu, Y., Wang, X., Wang, B., Ding, X., Wang, Z., Wei, X., Zhang, X., Fu, X., Meng, X., Zhang, M., Huo, M., Li, Y., Yu, H., Wei, Y., & Geng, L. (2024). The Latest Progress in the Chemistry of Daphniphyllum Alkaloids. Molecules, 29(23), 5498. https://doi.org/10.3390/molecules29235498

