Abstract
ABO3 perovskite materials with small cations at the A site, especially with ordered cation arrangements, have attracted a lot of interest because they show unusual physical properties and deviations from general perovskite tendencies. In this work, A-site-ordered quadruple perovskites, RMn3Ni2Mn2O12 with R = Nd, Sm, Gd, and Dy, were synthesized by a high-pressure, high-temperature method at about 6 GPa. Annealing at about 1500 K produced samples with additional (partial) B-site ordering of Ni2+ and Mn4+ cations, crystallizing in space group Pn–3. Annealing at about 1700 K produced samples with disordering of Ni2+ and Mn4+ cations, crystallizing in space group Im–3. However, magnetic properties were nearly identical for the Pn–3 and Im–3 modifications in comparison with ferromagnetic double perovskites R2NiMnO6, where the degree of Ni2+ and Mn4+ ordering has significant effects on magnetic properties. In RMn3Ni2Mn2O12, one magnetic transition was found at 26 K (for R = Nd), 23 K (for R = Sm), and 22 K (for R = Gd), and two transitions were found at 10 K and 36 K for R = Dy. Curie–Weiss temperatures were close to zero in all compounds, suggesting that antiferromagnetic and ferromagnetic interactions are of the same magnitude.
1. Introduction
Perovskite-structure materials with a variety of cation orders attract a lot of attention, as properties can be tuned through different degrees of ordering. There are large subfamilies of perovskite-structure cation-ordered materials, for example, B-site double perovskites, A2B′B″O6 [1], and A-site-ordered quadruple perovskites, AA′3B4O12 [2,3,4,5,6,7]. There are more than one thousand examples of different A2B′B″O6 perovskites [1] and hundreds of AA′3B4O12 perovskites [2,3,4,5,6,7].
Among different possible combinations of B′ and B″ cations in A2B′B″O6, a combination of B′ = Ni2+ and B″ = Mn4+ attracts special attention as such a combination can produce ferromagnetic (FM) properties according to the Goodenough–Kanamori rules [8]. R2NiMnO6 perovskites, where R is a rare-earth element, were investigated a lot [9,10,11,12,13,14,15,16,17,18,19,20,21,22,23,24,25,26,27,28,29], and FM properties were indeed observed for all members from R = La (TC ≈ 280 K [10,17,19]) to R = Lu (TC ≈ 40 K [18,19,25,26,28]). The FM Curie temperature, TC, decreases in R2NiMnO6 as the deviation of the Ni–O–Mn bond angles increases from 180° [25,28]. In addition, the degree of Ni2+ and Mn4+ cation ordering in R2NiMnO6 has significant effects on the FM properties [9,18]. Near-room-temperature magnetocapacitance and magnetoresistance effects were observed in La2NiMnO6 [10,12,13].
The introduction of other cations [smaller than Lu3+ (rXIII(Lu3+) = 0.977 Å [30]), such as In3+ with rXIII(In3+) = 0.92 Å [30], Sc3+ with rXIII(Sc3+) = 0.870 Å [30], and Mn2+ with rXIII(Mn2+) = 0.96 Å [30])] into the A sites further reduces B–O–B′ bond angles and decreases the strength of direct B–B′ exchange interactions and can produce “exotic” properties [7,31]. For example, In2NiMnO6 already shows a complex incommensurate antiferromagnetic (AFM) ordering at TN = 26 K and spin-induced ferroelectric polarization [21] in comparison with FM properties of R2NiMnO6. Sc2NiMnO6 demonstrates two AFM transitions and a complex magnetodielectric response [22]. Lu2NiMnO6 is located near a phase boundary, and external effects, such as moderate pressure, can induce a transition to an incommensurate AFM order from an FM order [25].
B-site double perovskites, A2B′B″O6, and A-site-ordered quadruple perovskites, AA′3B4O12, can be combined to simultaneously produce A-site- and B-site-ordered structures, AA′3B′2B″2O12 [32,33,34,35,36,37,38,39,40,41,42,43,44,45,46]. Depending on the combinations of B′ and B″ cations, such AA′3B’2B″2O12 perovskites can show large ferrimagnetic transitions above room temperature [35,37] and half-metallic properties [37,41]. In addition, such perovskites can show good catalytic properties [4], as they contain transition metals in different oxidation states and exotic magnetic ground states [28].
The R2NiMnO6 family of double perovskites was recently extended further through the synthesis of an AA′3B′2B″2O12-type perovskite, LaMn3Ni2Mn2O12 [28]. The average size of La3+ and 3Mn3+ cations is small; therefore, LaMn3Ni2Mn2O12 falls into the region with “exotic” properties, as Ni–O–Mn bond angles deviate significantly from 180° [28]. Two magnetic transitions were found in LaMn3Ni2Mn2O12 in comparison with other members of the R2NiMnO6 family (R = La–Lu), and complex magnetic structures were realized [28,29].
In this work, we prepared and investigated other members of RMn3Ni2Mn2O12 perovskites with R = Nd, Sm, Gd, and Dy, where the average size of R3+ and 3Mn3+ cations is further reduced (Table 1). In addition, we prepared two modifications of RMn3Ni2Mn2O12 perovskites with R = Nd and Sm, one with B-site ordering and the second without B-site ordering, and investigated the effects of B-site ordering on magnetic properties.
Table 1.
A list of RMn3Ni2Mn2O12 samples prepared (at a high pressure of 6 GPa) and investigated in this work.
2. Results and Discussion
RMn3Ni2Mn2O12 samples with R = Nd, Sm, Gd, and Dy prepared at 1500 K crystallized in space group Pn–3 because of the observation of a (311) reflection on synchrotron XRPD data (Figure 1). The Pn–3 structure has two B sites and corresponds to an ordered arrangement of Ni2+ and Mn4+ cations (or at least partial ordering). The distribution of Ni2+ and Mn4+ cations between the two sites was refined with constraints on the full site occupation and the total chemical compositions. All the samples showed nearly the same refined occupation factors of 0.8Ni2+ + 0.2Mn4+ for the B site and 0.2Ni2+ + 0.8Mn4+ for the B′ site, suggesting a significant degree of Ni2+ and Mn4+ ordering. We also checked the occupation factors (g) of the R site and found that it was very close to 1 (g(Nd) = 1.0013(12), g(Sm) = 0.9994(11), g(Gd) = 1.0057(13), and g(Dy) = 1.0026(11)). Therefore, the occupation factor of the R site was fixed at 1 in the final models. All the samples contained a small amount of NiO impurity; the appearance of NiO impurity was also observed in LaMn3Ni2Mn2O12 [28]. The refined structural parameters and primary bond lengths for RMn3Ni2Mn2O12-Pn–3 are summarized in Table 2 and Table 3. Experimental, calculated, and difference synchrotron XRPD patterns are shown in Figure 1 for NdMn3Ni2Mn2O12-Pn–3 as an example.
Figure 1.
Experimental (black crosses), calculated (red line), and difference (blue line at the bottom) room-temperature synchrotron X-ray powder diffraction patterns of NdMn3Ni2Mn2O12 (in the Pn–3 modification, prepared at 1500 K) in a 2θ range of 6° and 59°. The tick marks show possible Bragg reflection positions for the main phase and NiO impurity (from top to bottom). Inset shows a zoomed part in a 2θ range of 16° and 17.8° and emphasizes the presence of the (311) reflection from the B-site ordering. Inset shows a scanning electron microscopy (SEM) image, where the scale bar is 20 µm.
Table 2.
Structure parameters of RMn3Ni2Mn2O12 (Pn–3; prepared at 1500 K) at room temperature from synchrotron powder X-ray diffraction data.
Table 3.
Bond lengths (in Å), bond valence sums (BVS), and Ni–O–Mn bond angles (in deg) in RMn3Ni2Mn2O12 (Pn–3; prepared at 1500 K) at room temperature from synchrotron powder X-ray diffraction data.
The accuracy of determination of distributions of Ni2+ and Mn4+ cations with synchrotron XRPD is, of course, much lower than with neutron diffraction [28]. Nevertheless, with the obtained distributions of Ni2+ and Mn4+ cations, the refined isotropic atomic displacement parameters of the Ni1 and Mn2 sites were almost comparable to each other (about 0.4 Å2) for all compounds. On the other hand, the refined isotropic atomic displacement parameters were quite different for two extreme distributions of Ni2+ and Mn4+ cations: B(Ni1) = 0.78(3) Å2 and B(Mn2) = −0.05(2) Å2 for the full cation ordering and B(Ni1) = 0.11(2) Å2 and B(Mn2) = 0.65(3) Å2 for the full cation disordering (for the R = Nd sample as an example).
RMn3Ni2Mn2O12 samples with R = Nd and Sm prepared at 1700 K crystallized in space group Im–3 because of the absence of a (311) reflection on synchrotron XRPD data (Figure 2). The Im–3 structure has one B site and, therefore, corresponds to a disordered arrangement of Ni2+ and Mn4+ cations. The refined structural parameters and primary bond lengths for RMn3Ni2Mn2O12-Im–3 are summarized in Table 4. Experimental, calculated, and difference synchrotron XRPD patterns are shown in Figure 2 for NdMn3Ni2Mn2O12-Im–3 as an example. RMn3Ni2Mn2O12 samples with R = Nd and Sm prepared at 1700 K crystallized in space group Im–3 because of the absence of a (311) reflection on synchrotron XRPD data (Figure 2). The Im–3 structure has one B site and, therefore, corresponds to the disordered arrangement of Ni2+ and Mn4+ cations. Experimental, calculated, and difference synchrotron XRPD patterns are shown in Figure 2 for NdMn3Ni2Mn2O12-Im–3 as an example.
Figure 2.
Experimental (black crosses), calculated (red line), and difference (blue line at the bottom) room-temperature synchrotron X-ray powder diffraction patterns of NdMn3Ni2Mn2O12 (in the Im–3 modification, prepared at 1700 K) in a 2θ range of 6° and 59°. The tick marks show possible Bragg reflection positions for the main phase and NiO impurity. Inset shows a zoomed part in a 2θ range of 16° and 17.9° and emphasizes the absence of the (311) reflection and the absence of B-site ordering.
Table 4.
Structure parameters, bond lengths, and bond valence sums (BVSs) of RMn3Ni2Mn2O12 (Im–3; prepared at 1700 K) at room temperature from synchrotron powder X-ray diffraction data.
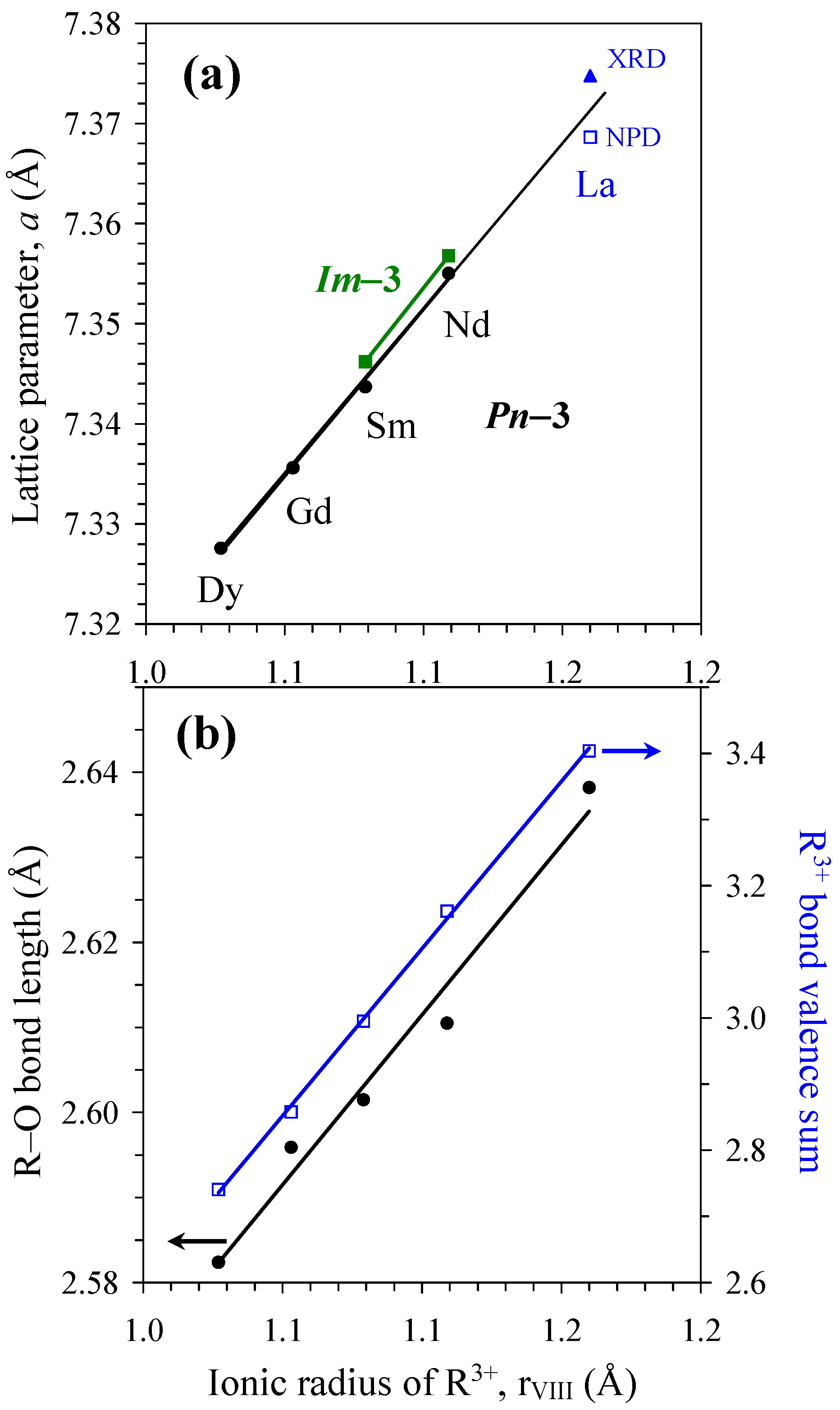
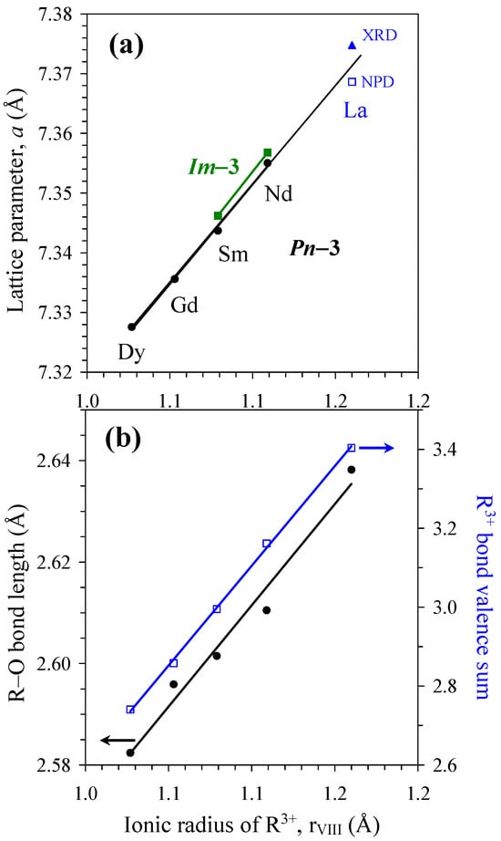
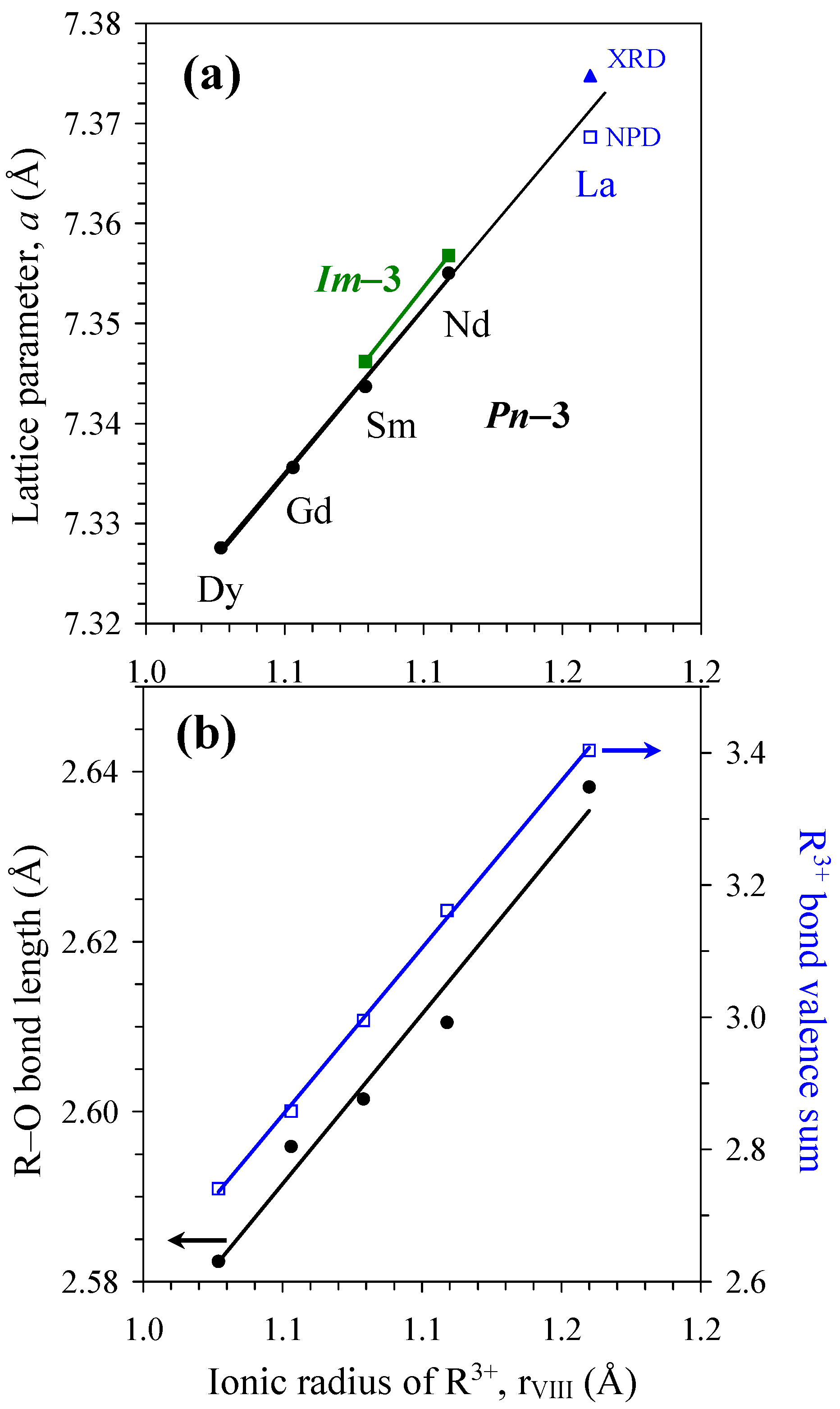
Figure 3 shows lattice parameters as a function of the ionic radius [30] for RMn3Ni2Mn2O12 samples with R = La [28], Nd, Sm, Gd, and Dy. Nearly linear behavior of the cubic lattice parameter was observed. Figure 3 also shows R–O bond lengths and bond valence sum (BVS) values [47] as a function of the ionic radius. The BVS values of Mn3+, Mn4+, and Ni2+ sites/cations were almost constant in all RMn3Ni2Mn2O12-Pn–3 compounds independent of the R3+ cations and agreed well with the expected formal oxidation states. On the other hand, the R–O bond length and the BVS values of the R sites changed monotonically and noticeably, and they were dependent on the R3+ cations. In LaMn3Ni2Mn2O12 [28], the BVS value of the La site was +3.40, indicating that La3+ is highly overbonded (probably for this reason, the BVS value of the La site was not mentioned and discussed in [28]). In DyMn3Ni2Mn2O12, the BVS value of the Dy site was +2.72, indicating that Dy3+ is noticeably underbonded. The optimal BVS value of +3.0 is realized in SmMn3Ni2Mn2O12. Severe underbonding of R3+ could be a reason why RMn3Ni2Mn2O12 with smaller R3+ cations (R = Er and Tm) could not be prepared.
Figure 3.
(a) The room-temperature cubic lattice parameter in RMn3Ni2Mn2O12 (R = La [28], Nd, Sm, Gd, and Dy) as a function of the ionic radius R3+ (for the coordination number 8 as ionic radii for the coordination number XII are not available for small R3+ cations (R = Gd and Dy) [30]). NPD: from neutron powder diffraction. XRD: from X-ray powder diffraction. (b) R–O bond length (the left-hand axis) and bond-valence sum for R3+ (the right-hand axis) in RMn3Ni2Mn2O12 (R = La [28], Nd, Sm, Gd, and Dy) as a function of the ionic radius R3+.
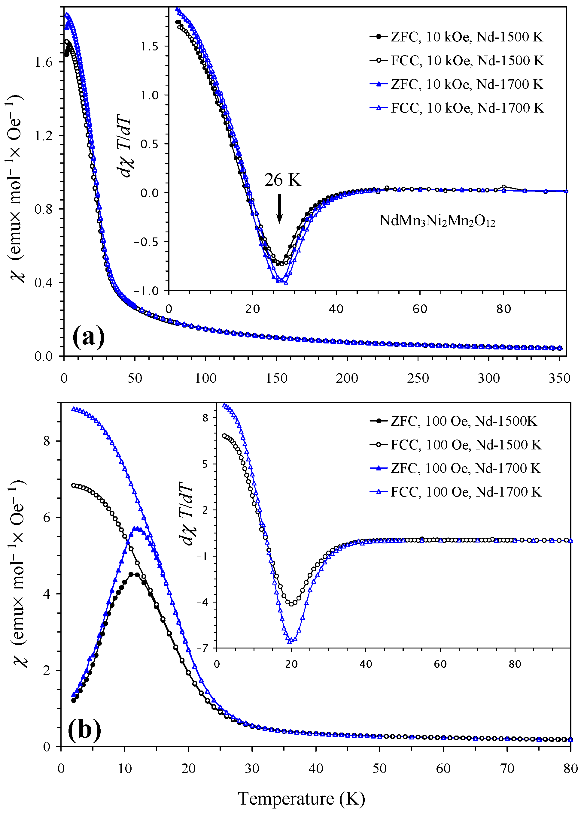
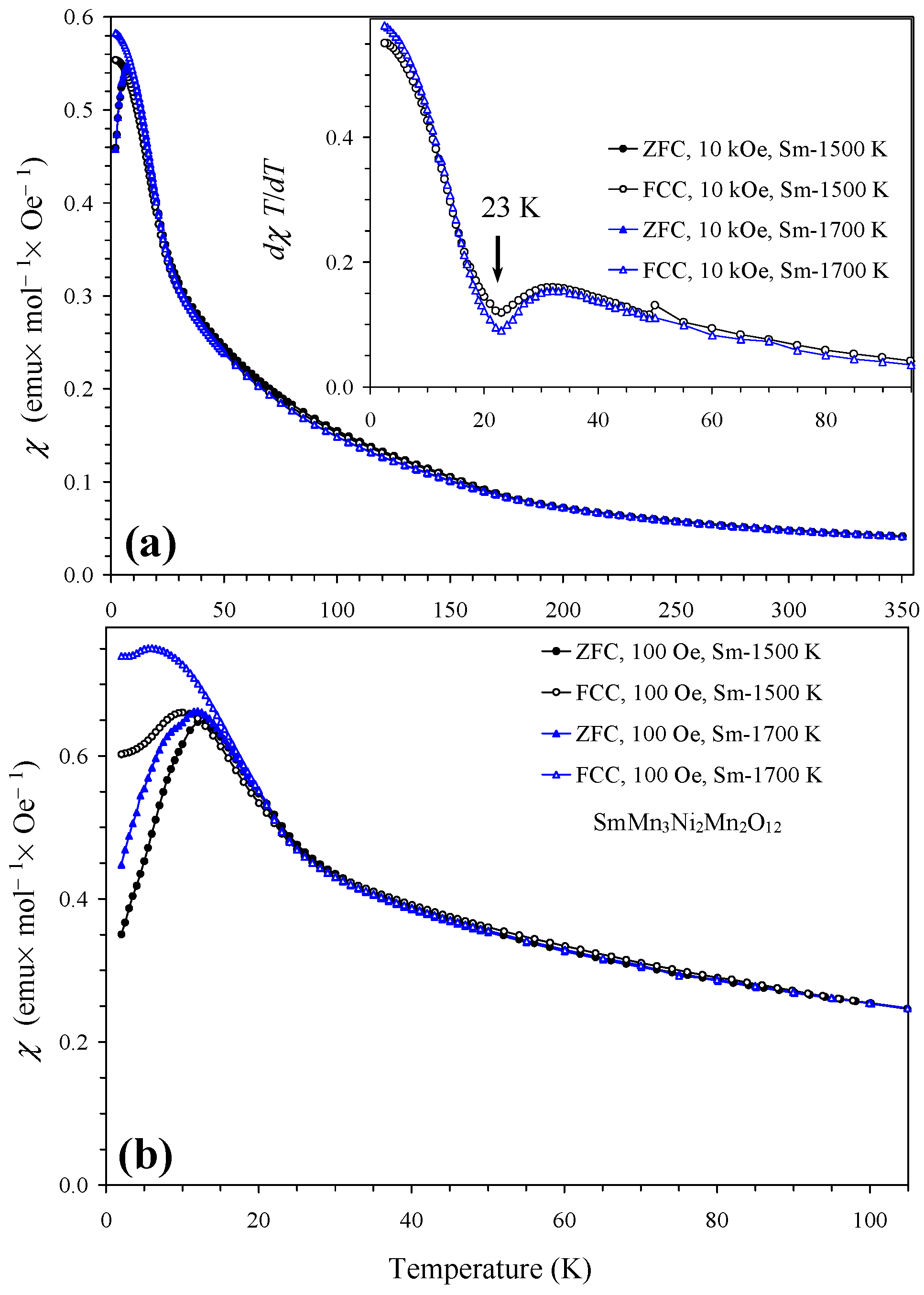
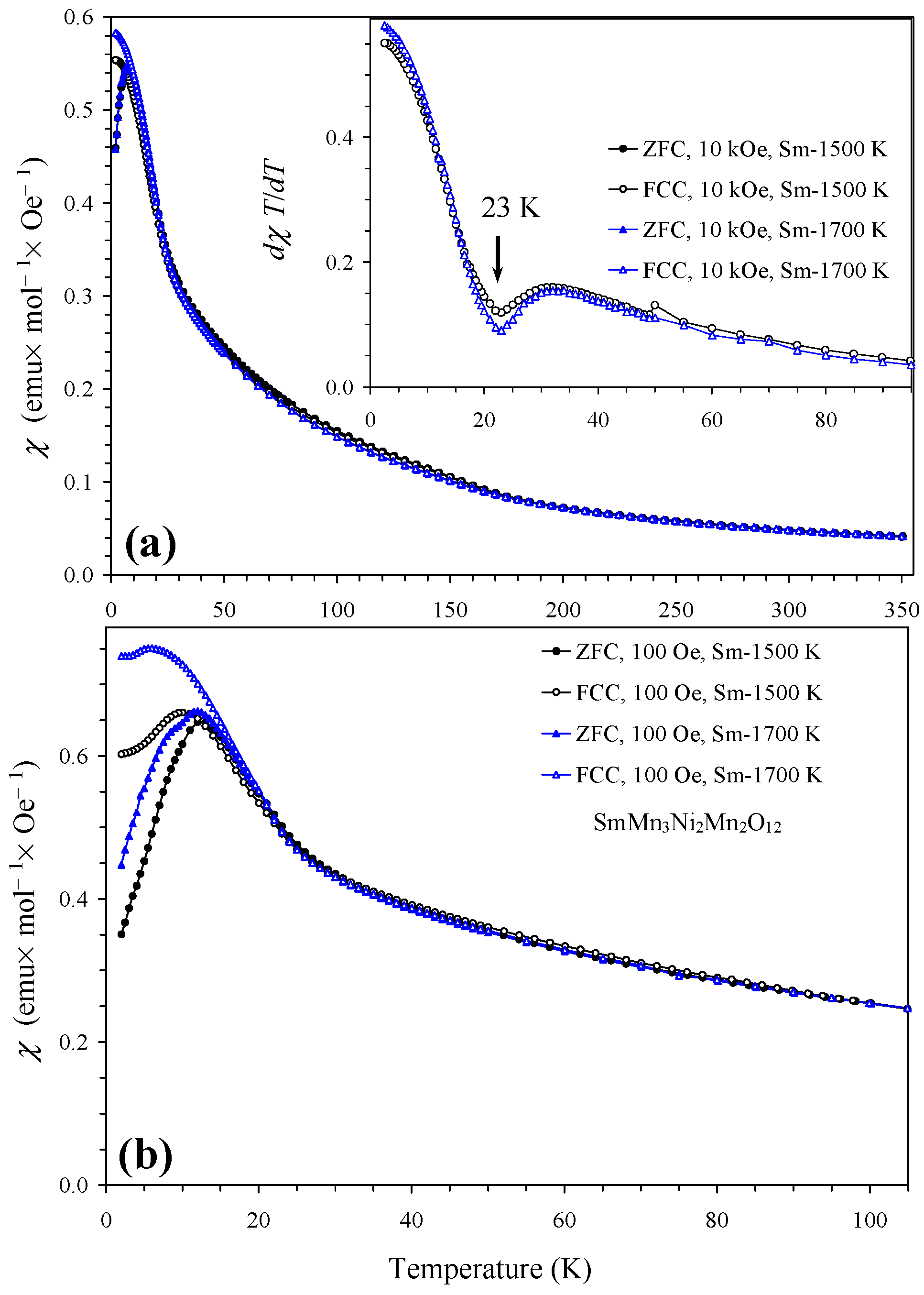
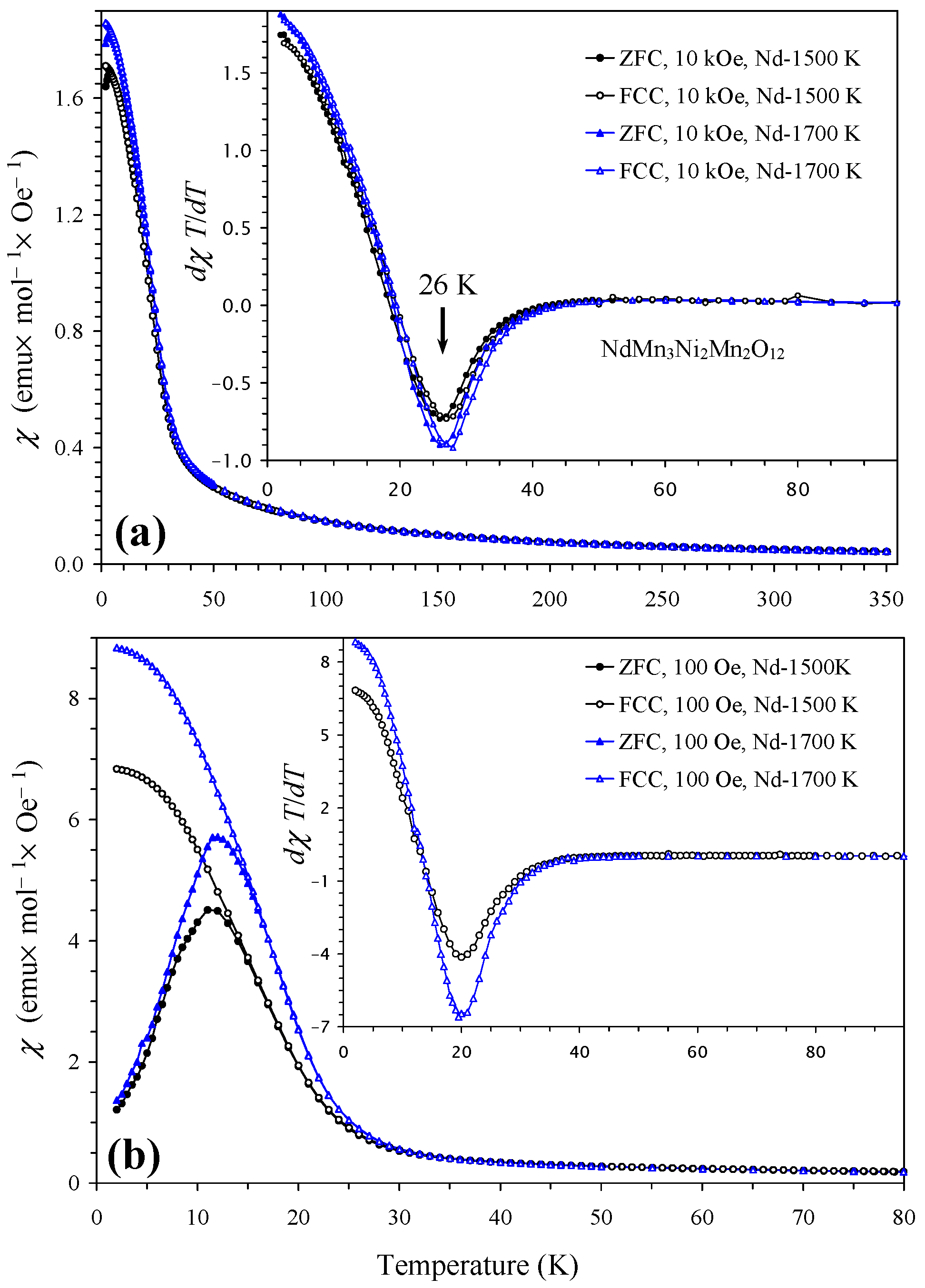
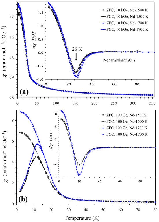
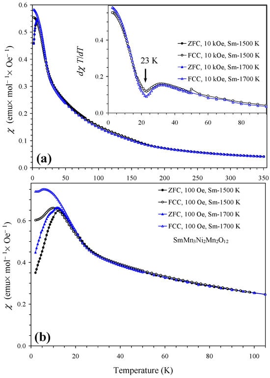
Magnetic properties of NdMn3Ni2Mn2O12 and SmMn3Ni2Mn2O12 compounds in two modifications (Pn–3 and Im–3) are shown in Figure 4 and Figure 5 (also marked by the synthesis temperatures between 1500 K and 1700 K). Temperature-dependent magnetic properties were almost identical for the two modifications. Magnetic properties of GdMn3Ni2Mn2O12 and DyMn3Ni2Mn2O12 compounds (the Pn–3 modification) are shown in Figure 6 and Figure 7; they were dominated by large moments of Gd3+ and Dy3+ cations. Nevertheless, differential dχ/dT versus T curves allowed the detection of one magnetic anomaly in GdMn3Ni2Mn2O12 and two magnetic anomalies in DyMn3Ni2Mn2O12. At high temperatures, inverse magnetic susceptibilities followed the Curie–Weiss law (see Figure 7 as an example), and we obtained Curie–Weiss fitting parameters using the 10 kOe FCC curves in a temperature range of 200–350 K. The Curie–Weiss fitting parameters are summarized in Table 5. The experimental effective magnetic moments (μeff) were close to the expected calculated values (μcalc). It is interesting that the Curie–Weiss temperatures (θ) were very small, suggesting that antiferromagnetic and ferromagnetic interactions are of the same magnitude and nearly cancel each other. In GdMn3Ni2Mn2O12 and DyMn3Ni2Mn2O12 compounds, the Curie–Weiss temperatures were slightly positive, suggesting that ferromagnetic interactions are slightly stronger. Unfortunately, no Curie–Weiss fits were reported for LaMn3Ni2Mn2O12 [28] to compare with our data. It is possible that a similar “strange” Curie–Weiss temperature was obtained; therefore, such data were not mentioned and discussed. In all R2NiMnO6 (R = La–Lu [10,16,17,18,19]), Tl2NiMnO6 [23], and In2NiMnO6 [20], positive and large Curie–Weiss temperatures were found indicating that ferromagnetic interactions are dominant. On the other hand, in Sc2NiMnO6 [22], a negative Curie–Weiss temperature of about −60 K was observed, indicating that antiferromagnetic interactions are dominant. Therefore, there could be strong competition of different magnetic interactions in RMn3Ni2Mn2O12, resulting in nearly zero Curie–Weiss temperatures.
Figure 4.
(a) ZFC (filled symbols) and FCC (empty symbols) dc magnetic susceptibility curves (χ = M/H) of two modifications of NdMn3Ni2Mn2O12 (the Pn–3 modification, prepared at 1500 K, and the Im–3 modification, prepared at 1700 K) measured at H = 10 kOe. The inset shows the dχT/dT versus T curves (all). (b) ZFC and FCC curves of two modifications of NdMn3Ni2Mn2O12 measured at H = 100 Oe. The inset shows the FCC dχT/dT versus T curves.
Figure 5.
(a) ZFC (filled symbols) and FCC (empty symbols) dc magnetic susceptibility curves (χ = M/H) of two modifications of SmMn3Ni2Mn2O12 (the Pn–3 modification, prepared at 1500 K, and the Im–3 modification, prepared at 1700 K) measured at H = 10 kOe. The inset shows FCC dχT/dT versus T curves. (b) ZFC and FCC curves of two modifications of SmMn3Ni2Mn2O12 measured at H = 100 Oe.
Figure 6.
ZFC (filled symbols) and FCC (empty symbols) dc magnetic susceptibility curves (χ = M/H) of GdMn3Ni2Mn2O12 (the Pn–3 modification, prepared at 1500 K) measured at H = 10 kOe. The first inset shows ZFC and FCC curves of GdMn3Ni2Mn2O12 measured at H = 100 Oe. The second inset shows the FCC dχ/dT versus T curves.
Figure 7.
ZFC (filled symbols) and FCC (empty symbols) dc magnetic susceptibility curves (χ = M/H) of DyMn3Ni2Mn2O12 (the Pn–3 modification, prepared at 1500 K) measured at H = 10 kOe (the left-hand axis). The right-hand axis shows the FCC χ−1 versus T curve with the Curie–Weiss fit (black line). The fitting parameters are given in the figure. The inset shows dχ/dT versus T curves.
Table 5.
Temperatures of magnetic anomalies and parameters of the Curie–Weiss fits and M versus H curves at T = 5 K for RMn3Ni2Mn2O12.
Isothermal magnetization curves (M versus H) of NdMn3Ni2Mn2O12 and SmMn3Ni2Mn2O12 compounds in two modifications (Pn–3 and Im–3) are shown in Figure 8. Again, M versus H curves were almost identical for the two modifications. Small hysteresis near the origin was found, but no saturation behavior was observed. M versus H curves of GdMn3Ni2Mn2O12 and DyMn3Ni2Mn2O12 compounds (Pn–3 modifications) are shown in Figure 9; small hysteresis near the origin was observed in GdMn3Ni2Mn2O12, while no hysteresis was detected in DyMn3Ni2Mn2O12. The M versus H curves of DyMn3Ni2Mn2O12 were mainly determined by properties of Dy3+ cations and suggest the absence of any ferromagnetic-like contributions. Except for a very weak, extended hysteresis in SmMn3Ni2Mn2O12, its M versus H curve also suggests the absence of any significant ferromagnetic-like contributions. On the other hand, M versus H curves of NdMn3Ni2Mn2O12 and GdMn3Ni2Mn2O12 were similar to those of LaMn3Ni2Mn2O12 [28] and suggest the presence of ferromagnetic-like contributions.
Figure 8.
M versus H curves of two modifications of RMn3Ni2Mn2O12 (the Pn–3 modification, prepared at 1500 K, and the Im–3 modification, prepared at 1700 K) measured at T = 5 K with (a) R = Nd and (b) R = Sm. The insets show zoomed parts near the origin.
Figure 9.
M versus H curves of GdMn3Ni2Mn2O12 and DyMn3Ni2Mn2O12 (the Pn–3 modification, prepared at 1500 K) measured at T = 5 K. The inset shows zoomed parts near the origin.
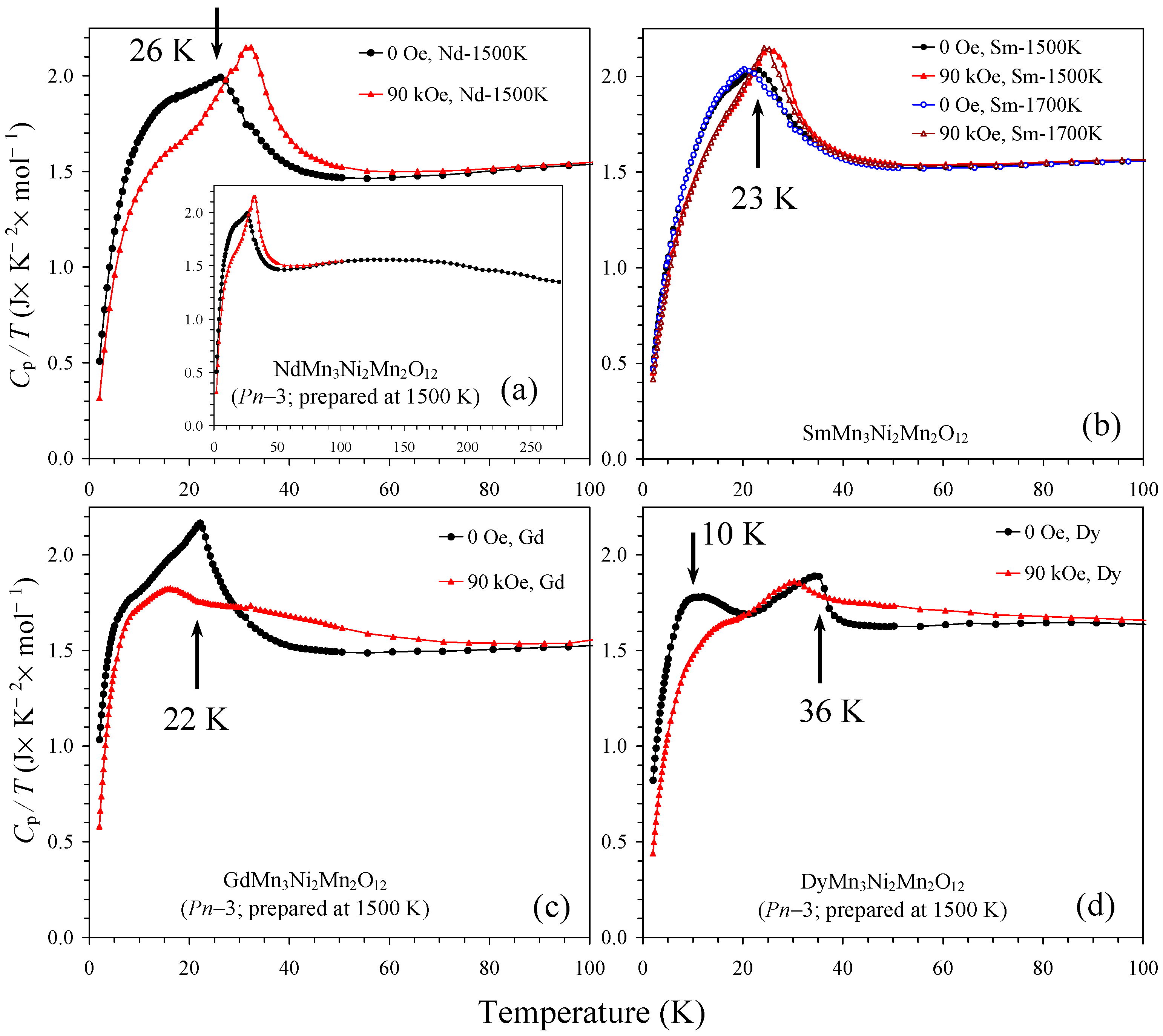
Specific heat data for two modifications of SmMn3Ni2Mn2O12 were measured (Figure 10b), and almost no difference was observed. Specific heat data for the Pn–3 modification of other compounds (R = Nd, Gd, and Dy) are shown in Figure 10. Specific heat measurements confirmed one clear magnetic transition in the samples with R = Nd, Sm, and Gd and two clear magnetic transitions in the sample with R = Dy in agreement with the χ versus T measurements. In the case of LaMn3Ni2Mn2O12 [28], specific heat measurements could detect two magnetic transitions at 34 K and 46 K, where the transition at 46 K was assigned to a long-range ordering of Mn3+ cations at the square-planar A′ sites, and the transition at 34 K was assigned to a long-range ordering of Ni2+ and Mn4+. Transition temperatures found in R = Nd, Sm, and Gd were noticeably smaller than those of R = La. Therefore, it is possible that the size of R3+ cations plays an important role and can move the systems into different ground states. Another possibility is that the degree of Ni2+ and Mn4+ cation ordering plays an important role and determines magnetic transition temperatures.
Figure 10.
Cp/T versus T curves of RMn3Ni2Mn2O12 measured at H = 0 (black curves) and 90 kOe (red curves) for (a) R = Nd (the Pn–3 modification), (b) R = Sm (the Pn–3 modification and the Im–3 modification (blue and brown curves)), (c) R = Gd (the Pn–3 modification), and (d) R = Dy (the Pn–3 modification). Arrows show magnetic transition temperatures. Data below 100 K are shown; inset on panel (a) shows full data up to 270 K (at H = 0 Oe).
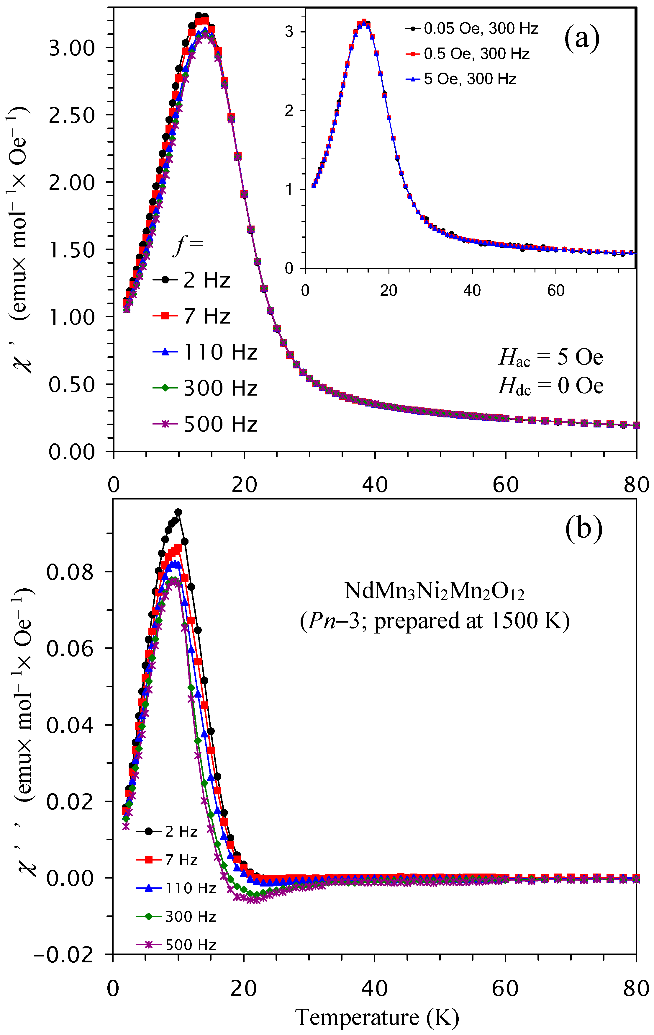
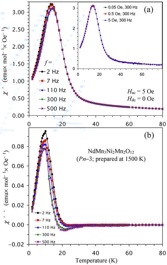
To get a deeper understanding of magnetic behavior, we measured ac magnetic susceptibility curves of the Pn–3 modification of NdMn3Ni2Mn2O12 as an example (Figure 11). Small frequency dependence in the χ″ peak intensities was observed; however, peak positions in temperature were almost independent of frequency, suggesting that there are no spin-glass-like contributions. No dependence on the applied Hac field of 0.05, 0.5, and 5 Oe (inset of Figure 11) was also observed on both the χ′ versus T and the χ″ versus T curves. Peaks on the χ′ versus T curves were observed near 14 K, while peaks on the χ″ versus T curves were observed near 9 K. Both temperatures were different from peak positions on the dc dχT/dT versus T curves, but peaks on the χ′ versus T curves basically matched with the peak on the ZFC dc χ versus T curve measured at a small magnetic field of H = 100 Oe (Figure 4b).
Figure 11.
(a) Real χ′ versus T and (b) imaginary χ″ versus T curves of NdMn3Ni2Mn2O12 (the Pn–3 modification) at different frequencies (f). Inset shows the χ′ versus T curves at different Hac (Hac = 0.05, 0.5, and 5 Oe) and one frequency (f = 300 Hz).
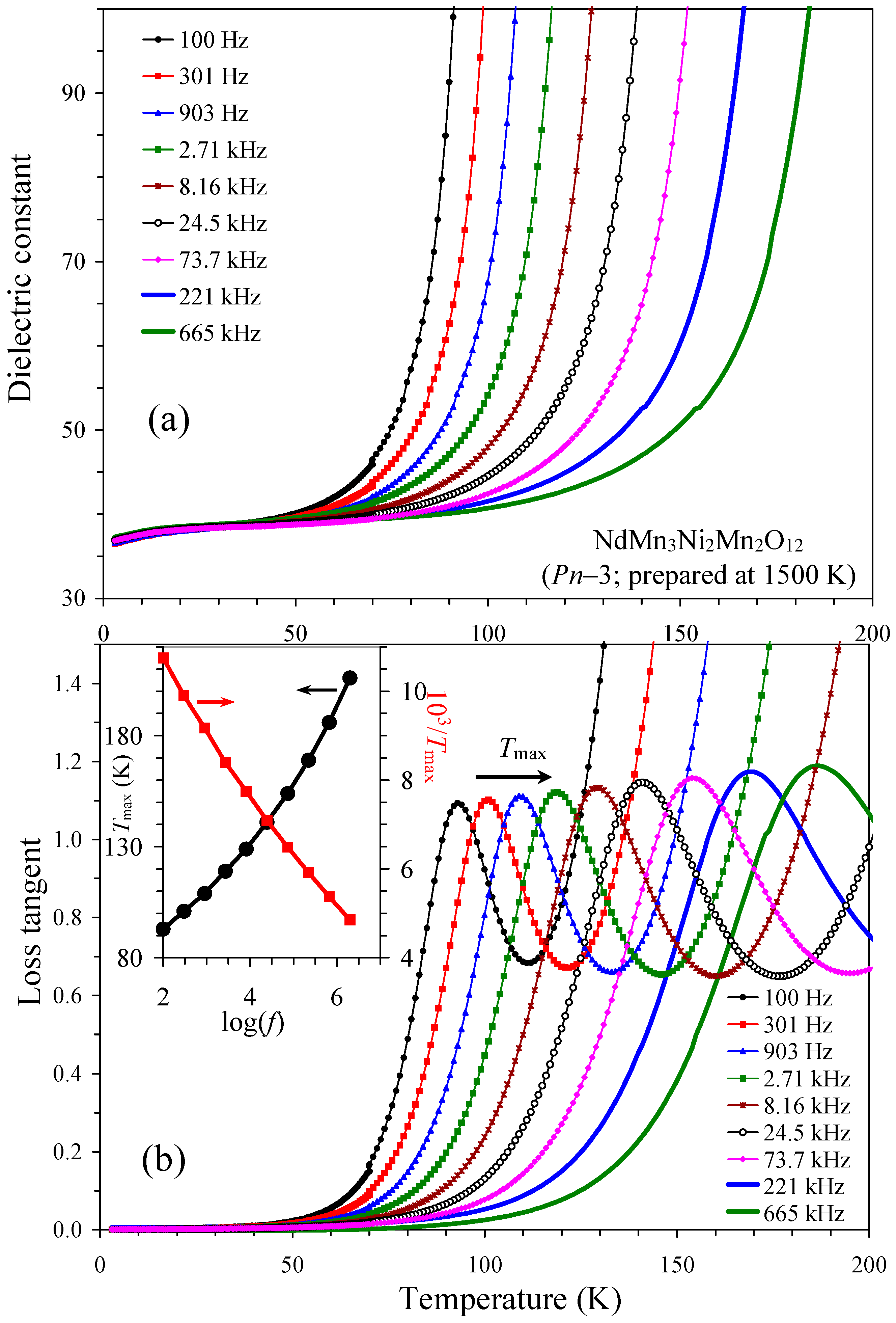
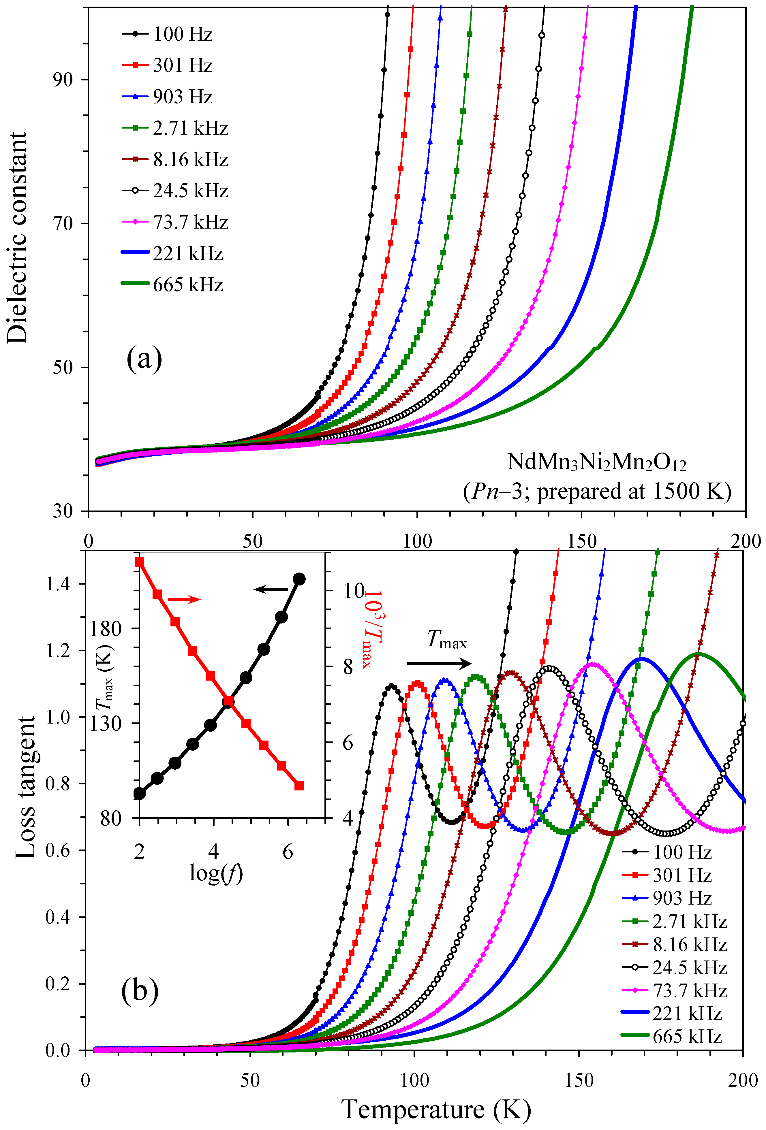
Considering the presence of spin-induced ferroelectric properties in In2NiMnO6 [21] and complex magnetodielectric effects in Sc2NiMnO6 [22], we checked the presence or absence of magnetodielectric effects in such RMn3Ni2Mn2O12 perovskites selecting the Pn–3 modification of NdMn3Ni2Mn2O12 as an example (Figure 12). However, no dielectric anomalies were observed near the magnetic transition temperature. The dielectric constant showed a sharp increase above about 50 K (at 100 Hz) with characteristic frequency-dependent peaks on the loss tangent. These features correspond to increased conductivity and Maxwell–Wagner contributions. Therefore, NdMn3Ni2Mn2O12 perovskite does not show magnetodielectric effects and magnetic-transition-induced ferroelectric polarization.
Figure 12.
Temperature dependence of (a) dielectric constant and (b) loss tangent at different frequencies (f: indicated on the figure) in NdMn3Ni2Mn2O12 (the Pn–3 modification) at H = 0 Oe. Inset shows frequency dependence of peak positions on loss tangent as Tmax versus log(f) (black circles with line) and 1000/Tmax versus log(f) (red squares with line).
In the case of double perovskites R2NiMnO6 with ferromagnetic ground states, the degree of ordering of Ni2+ and Mn4+ cations has significant effects on magnetic properties, especially on the saturation magnetization on M versus H curves, where a full ordering of Ni2+ and Mn4+ cations should give the magnetization of about 5μB/f.u. [10]. Deviations of the saturation magnetization from 5μB/f.u. can give information about the degree of Ni2+ and Mn4+ disordering. On the other hand, we found that the saturation magnetization on the M versus H curves of RMn3Ni2Mn2O12 (and other magnetic properties) was almost independent of the degree of Ni2+ and Mn4+ disordering. This fact suggests that different magnetic ground states could be realized in all RMn3Ni2Mn2O12 in comparison with R2NiMnO6, and magnetic structures of RMn3Ni2Mn2O12 should be studied with neutron diffraction in future works. Magnetic transition temperatures and properties did not show any clear systematic trends as a function of the ionic radius of R3+ cations in RMn3Ni2Mn2O12. On the other hand, in R2NiMnO6 perovskites, magnetic transition temperatures show a clear and sharp decrease with decreasing the ionic radius of R3+ cations [18,19,25,28].
Effects of the synthesis conditions on the degree of B-site cation ordering were observed before, for example, in La2NiMnO6 [9], Tl2NiMnO6 [23], and CaCu3Fe2Os2O12 [36], where higher-temperature annealing (at high pressures) usually results in B-site cation disordering. Our results on RMn3Ni2Mn2O12 are consistent with the tendencies observed in the literature.
3. Materials and Methods
RMn3Ni2Mn2O12 samples with R = Nd, Sm, Gd, and Dy were prepared from stoichiometric mixtures of R2O3 (Rare Metallic Co., Tokyo, Japan, 99.9%), Mn2O3, single-phase and stoichiometric MnO2 (Alfa Aesar, Waltham, MA, USA, 99.9%), and NiO (Rare Metallic Co., Tokyo, Japan, 99.9%). Single-phase Mn2O3 was prepared from a commercial MnO2 chemical (Rare Metallic Co., Tokyo, Japan, 99.99%) by annealing in air at 923 K for 24 h. The synthesis was performed at about 6 GPa and at about 1500 K for 2 h in sealed Au capsules and at about 1700 K for 2 h in sealed Pt capsules using a belt-type HP instrument. After annealing at high temperatures, the samples were cooled down to room temperature by turning off the heating current, and the pressure was slowly released. We note that we also tried to prepare RMn3Ni2Mn2O12 samples with smaller R3+ cations, such as R = Er and Tm (at 6 GPa and 1500 K). However, the samples contained a lot of impurities. The R = Er sample (with a = 7.3189 Å) had ErMn2O5 (9.5 wt. %), NiO (9.2 wt. %), and a corundum-structure impurity (2.4 wt. %). The R = Tm sample (with a = 7.3190 Å) had TmMn2O5 (15.7 wt. %), NiO (8.2 wt. %), and a corundum-structure impurity (6.1 wt. %). The presence of large amounts of impurities suggests that the chemical compositions of the main phases significantly shifted from the target composition.
X-ray powder diffraction (XRPD) data were collected at room temperature on a MiniFlex600 diffractometer (Rigaku, Tokyo, Japan) using CuKα radiation (2θ range of 8–100°, a step width of 0.02°, and scan speed of 2°/min). Room-temperature synchrotron XRPD data were measured on the BL15XU beamline (the former NIMS beamline) of SPring-8 (Hyogo, Japan) [48] between 2.04° and 60.23° at 0.003° intervals in 2θ with the wavelength of λ = 0.65298 Å. The samples were placed into open Lindemann glass capillary tubes (inner diameter: 0.1 mm), which were rotated during measurements. The Rietveld analysis of all XRPD data was performed using the RIETAN-2000 program [49].
Magnetic measurements were performed on SQUID magnetometers (Quantum Design MPMS-7T and MPMS3, San Diego, CA, USA) between 2 and 300 K (or 400 K) in applied fields of 100 Oe and 10 kOe under both zero-field-cooled (ZFC) and field-cooled on cooling (FCC) conditions. Magnetic-field dependence was measured at different temperatures between −70 and 70 kOe. Frequency-dependent alternating current (ac) susceptibility measurements were performed on cooling with an MPMS-1T instrument Quantum Design, San Diego, CA, USA) at different frequencies (f), different applied oscillating magnetic fields (Hac), and zero static dc field (Hdc = 0 Oe).
Specific heat, Cp, was measured on cooling from 270 K to 2 K at zero magnetic field and from 100 K to 2 K at a magnetic field of 90 kOe by a pulse relaxation method using a commercial calorimeter (Quantum Design PPMS, San Diego, CA, USA). All magnetic and specific heat measurements were performed using pieces of pellets.
Dielectric properties were measured using an Alpha-A High-Performance Frequency Analyzer (NOVOCONTROL Technologies, Montabaur, Germany) on cooling and heating in a temperature range between 3 K and 300 K and a frequency range from 100 Hz to 665 kHz at a zero magnetic field. The cooling–heating rate was 2 K/min between 70 K and 300 K and 0.5 K/min between 3 K and 70 K.
Scanning electron microscopy (SEM) images were obtained on a Miniscope TM3000 operating at 15 kV (Hitachi, Tokyo, Japan).
4. Conclusions
A-site-ordered quadruple perovskites, RMn3Ni2Mn2O12 with R = Nd, Sm, Gd, and Dy, were synthesized by a high-pressure, high-temperature method at about 6 GPa in two modifications. Annealing at a lower temperature of about 1500 K favors a (partial) B-site ordering, while annealing at a higher temperature of about 1700 K gives a disordered arrangement of Ni2+ and Mn4+ cations. The B-site-ordered structure has space group Pn–3, while the B-site-disordered structure has space group Im–3. However, magnetic properties were nearly identical for the Pn–3 and Im–3 modifications in comparison with ferromagnetic double perovskites R2NiMnO6. RMn3Ni2Mn2O12 samples show one magnetic transition at 26 K for R = Nd, 23 K for R = Sm, and 22 K for R = Gd, as well as two magnetic transitions at 10 K and 36 K for R = Dy. Curie–Weiss temperatures were close to zero in all compounds, suggesting that antiferromagnetic and ferromagnetic interactions are of the same magnitude.
Author Contributions
Conceptualization, A.A.B.; methodology, A.A.B.; validation, A.A.B.; formal analysis, A.A.B.; investigation, A.A.B., R.L., M.T. and K.Y.; resources, K.Y.; data curation, A.A.B.; writing—original draft preparation, A.A.B.; writing—review and editing, A.A.B.; supervision, A.A.B. and K.Y.; project administration, A.A.B.; funding acquisition, K.Y. All authors have read and agreed to the published version of the manuscript.
Funding
This work was partially supported by a Grant-in-Aid for Scientific Research (No. JP22H04601) from the Japan Society for the Promotion of Science and the Kazuchika Okura Memorial Foundation (No. 2022-11).
Institutional Review Board Statement
Not applicable.
Informed Consent Statement
Not applicable.
Data Availability Statement
The raw data supporting the conclusions of this article will be made available by the author upon request.
Acknowledgments
The synchrotron radiation experiments were conducted at the former NIMS beamline (BL15XU) of SPring-8 with the approval of the former NIMS Synchrotron X-ray Station (proposal numbers: 2019A4501, 2019B4500, and 2020A4501). We thank Y. Katsuya for his help at SPring-8. MANA was supported by the World Premier International Research Center Initiative (WPI), MEXT, Japan.
Conflicts of Interest
The authors declare no conflicts of interest.
References
- Vasala, S.; Karppinen, M. A2B′B′′O6 perovskites: A review. Prog. Solid State Chem. 2015, 43, 1–36. [Google Scholar] [CrossRef]
- Vasil’ev, A.N.; Volkova, O.S. New functional materials AC3B4O12 (Review). Low Temp. Phys. 2007, 33, 895–914. [Google Scholar] [CrossRef]
- Long, Y. A-site ordered quadruple perovskite oxides AA′3B4O12. Chin. Phys. B 2016, 25, 078108. [Google Scholar] [CrossRef]
- Yamada, I. Novel catalytic properties of quadruple perovskites. Sci. Technol. Adv. Mater. 2017, 18, 541–548. [Google Scholar] [CrossRef]
- Belik, A.A.; Johnson, R.D.; Khalyavin, D.D. The rich physics of A-site-ordered quadruple perovskite manganites AMn7O12. Dalton Trans. 2021, 50, 15458–15472. [Google Scholar] [CrossRef]
- Ding, J.; Zhu, X.H. Research progress on quadruple perovskite oxides. J. Mater. Chem. C 2024, 12, 9510–9561. [Google Scholar] [CrossRef]
- Solana-Madruga, E.; Arevalo-Lopez, A.M. High-pressure A-site manganites: Structures and magnetic properties. J. Solid State Chem. 2022, 315, 123470. [Google Scholar] [CrossRef]
- Weihe, H.; Gudel, H.U. Quantitative interpretation of the Goodenough-Kanamori rules: A critical analysis. Inorg. Chem. 1997, 36, 3632–3639. [Google Scholar] [CrossRef]
- Dass, R.I.; Yan, J.-Q.; Goodenough, J.B. Oxygen stoichiometry, ferromagnetism, and transport properties of La2-xNiMnO6-δ. Phys. Rev. B 2003, 68, 064415. [Google Scholar] [CrossRef]
- Rogado, N.S.; Li, J.; Sleight, A.W.; Subramanian, M.A. Magnetocapacitance and magnetoresiatance near room temperature in a ferromagnetic semiconductor: La2NiMnO6. Adv. Mater. 2005, 17, 2225–2227. [Google Scholar] [CrossRef]
- Kobayashi, Y.; Shiozawa, M.; Sato, K.; Abe, K.; Asai, K. Crystal structure, magnetism, and dielectric properties of La1-xBixNi0.5Mn0.5O3. J. Phys. Soc. Jpn. 2008, 77, 084701. [Google Scholar] [CrossRef]
- Choudhury, D.; Mandal, P.; Mathieu, R.; Hazarika, A.; Rajan, S.; Sundaresan, A.; Waghmare, U.V.; Knut, R.; Karis, O.; Nordblad, P.; et al. Near-room-temperature colossal magnetodielectricity and multiglass properties in partially disordered La2NiMnO6. Phys. Rev. Lett. 2012, 108, 127201. [Google Scholar] [CrossRef]
- Guo, Y.Q.; Shi, L.; Zhou, S.M.; Zhao, J.I.; Liu, W.J. Near room-temperature magnetoresistance effect in double perovskite La2NiMnO6. Appl. Phys. Lett. 2013, 102, 222401. [Google Scholar] [CrossRef]
- Vasiliev, A.N.; Volkova, O.S.; Lobanovskii, L.S.; Troyanchuk, I.O.; Hu, Z.; Tjeng, L.H.; Khomskii, D.I.; Lin, H.J.; Chen, C.T.; Tristan, N.; et al. Valence states and metamagnetic phase transition in partially B-site-disordered perovskite EuMn0.5Co0.5O3. Phys. Rev. B 2008, 77, 104442. [Google Scholar] [CrossRef]
- Sánchez-Benítez, J.; Martínez-Lope, M.J.; Alonso, J.A.; García-Muñoz, J.L. Magnetic and structural features of the NdNi1-xMnxO3 perovskite series investigated by neutron diffraction. J. Phys. Condens. Matter 2011, 23, 226001. [Google Scholar] [CrossRef] [PubMed]
- Retuerto, M.; Muñoz, Á.; Martínez-Lope, M.J.; Alonso, J.A.; Mompeán, F.J.; Fernández-Díaz, M.T.; Sánchez-Benítez, J. Magnetic interactions in the double perovskites R2NiMnO6 (R = Tb, Ho, Er, Tm) investigated by neutron diffraction. Inorg. Chem. 2015, 54, 10890–10900. [Google Scholar] [CrossRef]
- Booth, R.J.; Fillman, R.; Whitaker, H.; Nag, A.; Tiwari, R.M.; Ramanujachary, K.V.; Gopalakrishnan, J.; Lofland, S.E. An investigation of structural, magnetic and dielectric properties of R2NiMnO6 (R = rare earth, Y). Mater. Res. Bull. 2009, 44, 1559–1564. [Google Scholar] [CrossRef]
- Nasir, M.; Kumar, S.; Patra, N.; Bhattacharya, D.; Jha, S.N.; Basaula, D.R.; Bhatt, S.; Khan, M.; Liu, S.-W.; Biring, S.; et al. Role of antisite disorder, rare-earth size, and superexchange angle on band gap, Curie temperature, and magnetization of R2NiMnO6 double perovskites. ACS Appl. Electron. Mater. 2019, 1, 141–153. [Google Scholar] [CrossRef]
- Asai, K.; Fujiyoshi, K.; Nishimori, N.; Satoh, Y.; Kobayashi, Y.; Mizoguchi, M. Magnetic properties of REMe0.5Mn0.5O3 (RE = rare earth element, Me = Ni, Co). J. Phys. Soc. Jpn. 1998, 67, 4218–4228. [Google Scholar] [CrossRef]
- Yi, W.; Liang, Q.F.; Matsushita, Y.; Tanaka, M.; Belik, A.A. High-pressure synthesis, crystal structure, and properties of In2NiMnO6 with antiferromagnetic order and field-induced phase transition. Inorg. Chem. 2013, 52, 14108–14115. [Google Scholar] [CrossRef]
- Terada, N.; Khalyavin, D.D.; Manuel, P.; Yi, W.; Suzuki, H.S.; Tsujii, N.; Imanaka, Y.; Belik, A.A. Ferroelectricity induced by ferriaxial crystal rotation and spin helicity in a B-site-ordered double-perovskite multiferroic In2NiMnO6. Phys. Rev. B 2015, 91, 104413. [Google Scholar] [CrossRef]
- Yi, W.; Princep, A.J.; Guo, Y.F.; Johnson, R.D.; Khalyavin, D.D.; Manuel, P.; Senyshyn, A.; Presniakov, I.A.; Sobolev, A.V.; Matsushita, Y.; et al. Sc2NiMnO6: A double-perovskite with a magnetodielectric response driven by multiple magnetic orders. Inorg. Chem. 2015, 54, 8012–8021. [Google Scholar] [CrossRef] [PubMed]
- Ding, L.; Khalyavin, D.D.; Manuel, P.; Blake, J.; Orlandi, F.; Yi, W.; Belik, A.A. Colossal magnetoresistance in the insulating ferromagnetic double perovskites Tl2NiMnO6: A neutron diffraction study. Acta Mater. 2019, 173, 20–26. [Google Scholar] [CrossRef]
- Sobolev, A.V.; Glazkova, I.S.; Akulenko, A.A.; Sergueev, I.; Chumakov, A.I.; Yi, W.; Belik, A.A.; Presniakov, I.A. 61Ni nuclear forward scattering study of magnetic hyperfine interactions in double perovskites A2NiMnO6 (A = Sc, In, Tl). J. Phys. Chem. 2019, 123, 23628–23634. [Google Scholar] [CrossRef]
- Terada, N.; Colin, C.V.; Qureshi, N.; Hansen, T.; Matsubayashi, K.; Uwatoko, Y.; Belik, A.A. Pressure-induced incommensurate antiferromagnetic order in a ferromagnetic B-site ordered double-perovskite Lu2NiMnO6. Phys. Rev. B 2020, 102, 094412. [Google Scholar] [CrossRef]
- Manna, K.; Bera, A.K.; Jain, M.; Elizabeth, S.; Yusuf, S.M.; Anil Kumar, P.S. Structural-modulation-driven spin canting and reentrant glassy magnetic phase in ferromagnetic Lu2MnNiO6. Phys. Rev. B 2015, 91, 224420. [Google Scholar] [CrossRef]
- Dieguez, O.; Iniguez, J. Multiferroic Bi2NiMnO6 thin films: A computational prediction. Phys. Rev. B 2017, 95, 085129. [Google Scholar] [CrossRef]
- Yin, Y.Y.; Liu, M.; Dai, J.H.; Wang, X.; Zhou, L.; Cao, H.; Cruz, C.D.; Chen, C.T.; Xu, Y.; Shen, X.; et al. LaMn3Ni2Mn2O12: An A-and B-site ordered quadruple perovskite with A-site tuning orthogonal spin ordering. Chem. Mater. 2016, 28, 8988–8996. [Google Scholar] [CrossRef]
- Liu, M.; Hu, C.-E.; Cheng, C.; Chen, X.R. A–B-intersite-dependent magnetic order and electronic structure of LaMn3Ni2Mn2O12: A first-principles study. J. Phys. Chem. C 2018, 122, 1946–1954. [Google Scholar] [CrossRef]
- Shannon, R.D. Revised effective ionic radii and systematic studies of interatomic distances in halides and chalcogenides. Acta Crystallogr. 1976, A32, 751–767. [Google Scholar] [CrossRef]
- Belik, A.A.; Yi, W. High-pressure synthesis, crystal chemistry and physics of perovskites with small cations at the A site. J. Phys. Condens. Matter 2014, 26, 163201. [Google Scholar] [CrossRef]
- Byeon, S.H.; Lufaso, M.W.; Parise, J.B.; Woodward, P.M.; Hansen, T. High-pressure synthesis and characterization of perovskites with simultaneous ordering of both the A- and B-site cations, CaCu3Ga2M2O12 (M = Sb, Ta). Chem. Mater. 2003, 15, 3798–3804. [Google Scholar] [CrossRef]
- Byeon, S.H.; Lee, S.S.; Parise, J.B.; Woodward, P.M.; Hur, N.H. High-pressure synthesis of metallic perovskite ruthenate CaCu3Ga2Ru2O12. Chem. Mater. 2004, 16, 3697–3701. [Google Scholar] [CrossRef]
- Byeon, S.H.; Lee, S.S.; Parise, J.B.; Woodward, P.M.; Hur, N.H. New ferrimagnetic oxide CaCu3Cr2Sb2O12: High-pressure synthesis, structure, and magnetic properties. Chem. Mater. 2005, 17, 3552–3557. [Google Scholar] [CrossRef]
- Deng, H.S.; Liu, M.; Dai, J.H.; Hu, Z.W.; Kuo, C.Y.; Yin, Y.Y.; Yang, J.Y.; Wang, X.; Zhao, Q.; Xu, Y.; et al. Strong enhancement of spin ordering by A-site magnetic ions in the ferrimagnet CaCu3Fe2Os2O12. Phys. Rev. B 2016, 94, 024414. [Google Scholar] [CrossRef]
- Wang, X.; Liu, Z.; Deng, H.; Agrestini, S.; Chen, K.; Lee, J.-F.; Lin, H.-J.; Chen, C.-T.; Choueikani, F.; Ohresser, P.; et al. Comparative study on the magnetic and transport properties of B-site ordered and disordered CaCu3Fe2Os2O12. Inorg. Chem. 2022, 61, 16929–16935. [Google Scholar] [CrossRef]
- Wang, X.; Liu, M.; Shen, X.D.; Liu, Z.H.; Hu, Z.W.; Chen, K.; Ohresser, P.; Nataf, L.; Baudelet, F.; Lin, H.-J.; et al. High-temperature ferrimagnetic half metallicity with wide spin-up energy gap in NaCu3Fe2Os2O12. Inorg. Chem. 2019, 58, 320–326. [Google Scholar] [CrossRef]
- Ye, X.; Liu, Z.; Wang, W.; Hu, Z.; Lin, H.-J.; Weng, S.-C.; Chen, C.-T.; Yu, R.; Tjeng, L.-H.; Long, Y.W. High-pressure synthesis and spin glass behavior of a Mn/Ir disordered quadruple perovskite CaCu3Mn2Ir2O12. J. Phys. Condens. Matter 2020, 32, 075701. [Google Scholar] [CrossRef]
- Li, H.P.; Zhang, Q.; Zhu, Z.P.; Ge, Z.Z.; Li, C.S.; Meng, J.; Tian, Y. Unraveling the effect of B-site antisite defects on the electronic and magnetic properties of the quadruple perovskite CaCu3Fe2Nb2O12. Phys. Chem. Chem. Phys. 2019, 21, 3059–3065. [Google Scholar] [CrossRef]
- Guo, J.; Shen, X.D.; Liu, Z.H.; Qin, S.J.; Wang, W.P.; Ye, X.B.; Liu, G.X.; Yu, R.C.; Lin, H.-J.; Chen, C.-T.; et al. High-pressure synthesis of a B-site Co2+/Mn4+ disordered quadruple perovskite LaMn3Co2Mn2O12. Inorg. Chem. 2020, 59, 12445–12452. [Google Scholar] [CrossRef]
- Liu, Z.; Sun, Q.; Ye, X.; Wang, X.; Zhou, L.; Shen, X.; Chen, K.; Nataf, L.; Baudelet, F.; Agrestini, S.; et al. Quadruple perovskite oxide LaCu3Co2Re2O12: A ferrimagnetic half metal with nearly 100% B-site degree of order. Appl. Phys. Lett. 2020, 117, 152402. [Google Scholar] [CrossRef]
- Li, S.M.; Shu, M.F.; Wang, M.; Pan, C.B.; Zhao, G.C.; Yin, L.H.; Song, W.H.; Yang, J.; Zhu, X.B.; Sun, Y.P. Critical behavior at paramagnetic to ferrimagnetic phase transition in A-site ordered perovskite CaCu3Cr2Nb2O12. Phys. B Condens. Matter 2023, 648, 414376. [Google Scholar] [CrossRef]
- Morimura, A.; Kamiyama, S.; Hayashi, N.; Yamamoto, H.; Yamada, I. High-pressure syntheses, crystal structures, and magnetic properties of novel quadruple perovskite oxides LaMn3Ru2Mn2O12 and LaMn3Ru2Fe2O12. J. Alloys Comp. 2023, 968, 172263. [Google Scholar] [CrossRef]
- Zhang, J.; Liu, Z.H.; Ye, X.B.; Wang, X.; Lu, D.B.; Zhao, H.T.; Pi, M.C.; Chen, C.-T.; Chen, J.-L.; Kuo, C.-Y.; et al. High-pressure synthesis of quadruple perovskite oxide CaCu3Cr2Re2O12 with a high ferrimagnetic Curie temperature. Inorg. Chem. 2024, 63, 3499–3505. [Google Scholar] [CrossRef] [PubMed]
- Kumar, L.; Datta, J.; Sen, S.; Ray, P.P.; Mandal, T.K. Ambient pressure synthesis and properties of LaCu3Fe2TiSbO12: New A-site ordered ferrimagnetic quadruple perovskite. J. Solid State Chem. 2021, 302, 122433. [Google Scholar] [CrossRef]
- Kumar, L.; Sen, S.; Mandal, T.K. Ambient pressure synthesis and structure and magnetic properties of a new A- and B-site ordered multinary quadruple perovskite. Dalton Trans. 2024, 53, 11060–11070. [Google Scholar] [CrossRef]
- Brese, N.E.; O’Keeffe, M. Bond-valence parameters for solids. Acta Crystallogr. 1991, B47, 192–197. [Google Scholar] [CrossRef]
- Tanaka, M.; Katsuya, Y.; Matsushita, Y.; Sakata, O. Development of a synchrotron powder diffractometer with a one-dimensional X-ray detector for analysis of advanced materials. J. Ceram. Soc. Jpn. 2013, 121, 287–290. [Google Scholar] [CrossRef]
- Izumi, F.; Ikeda, T. A Rietveld-analysis program RIETAN-98 and its applications to zeolites. Mater. Sci. Forum 2000, 321–324, 198–205. [Google Scholar] [CrossRef]
Disclaimer/Publisher’s Note: The statements, opinions and data contained in all publications are solely those of the individual author(s) and contributor(s) and not of MDPI and/or the editor(s). MDPI and/or the editor(s) disclaim responsibility for any injury to people or property resulting from any ideas, methods, instructions or products referred to in the content. |
© 2024 by the authors. Licensee MDPI, Basel, Switzerland. This article is an open access article distributed under the terms and conditions of the Creative Commons Attribution (CC BY) license (https://creativecommons.org/licenses/by/4.0/).











