Anti-Inflammatory and Antioxidative N-Acetyldopamine Dimers from Adult Vespa velutina auraria Smith
Abstract
1. Introduction
2. Results
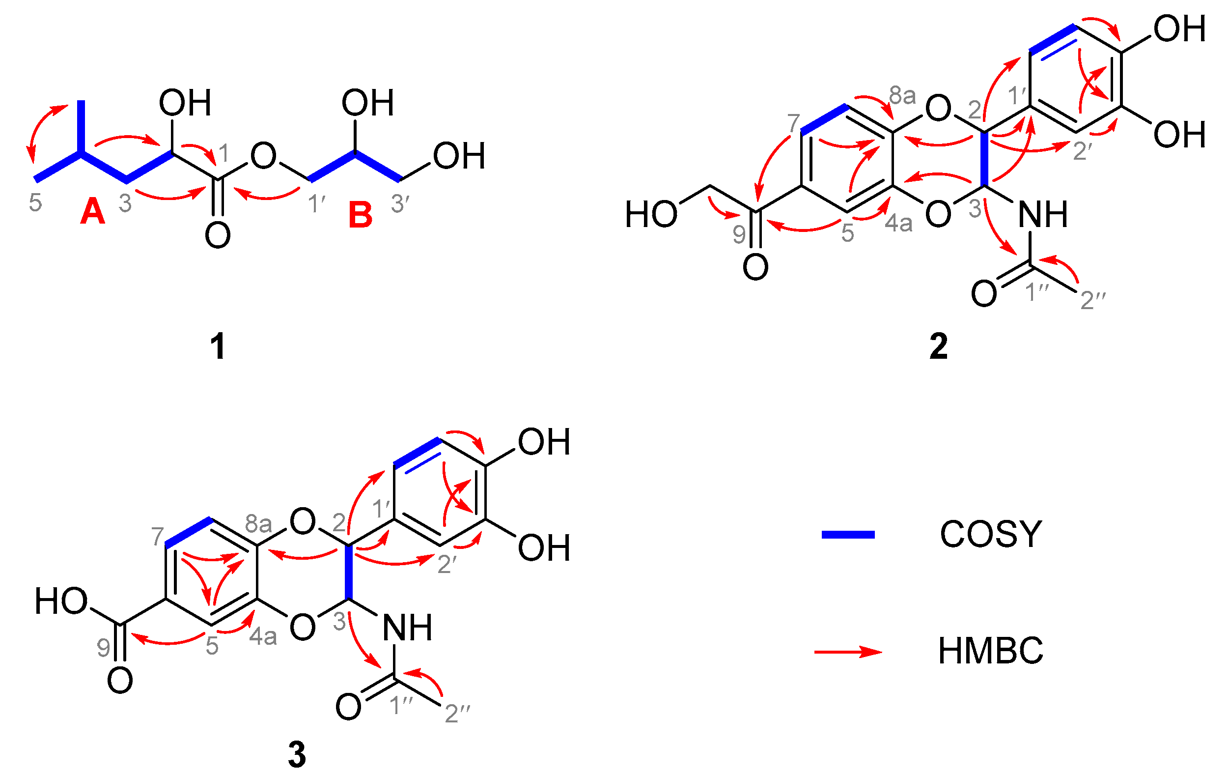
2.1. Structural Elucidation
2.2. Assessment of Anti-Inflammatory Activity
2.3. Molecular Docking Study
3. Materials and Methods
3.1. General Experimental Procedure
3.2. Insect Material
3.3. Extraction and Isolation
3.4. NMR Computational Methods
3.5. TDDFT-ECD Calculations
3.6. Cell Culture and Cellular Anti-Inflammatory Assay
3.7. Anti-Oxidative Activity
3.8. Network Pharmacological Analysis
3.9. Docking Study
4. Conclusions
Supplementary Materials
Author Contributions
Funding
Institutional Review Board Statement
Informed Consent Statement
Data Availability Statement
Conflicts of Interest
References
- Guo, K.; Liu, Y.; Luo, S.H.; Liu, Y.-C.; Li, D.-S.; Li, W.-Y.; Li, S.-H. Detoxification of Plant Aromatic Abietanoids via Cleavage of the Benzene Ring into 11,12- Seco-diterpene Polyenes by a Specialist Insect of Leucosceptrum canum. Org. Lett. 2020, 22, 126–129. [Google Scholar] [CrossRef] [PubMed]
- Yan, Y.; Ai, J.; Shi, Y.; Zuo, Z.; Hou, B.; Luo, J.; Cheng, Y. (±)-Aspongamide A, an N-acetyldopamine trimer isolated from the insect Aspongopus chinensis, is an inhibitor of p-Smad3. Org. Lett. 2014, 16, 532–535. [Google Scholar] [CrossRef] [PubMed]
- Committee, N.P. Pharmacopoeia of the People’s Republic of China; China Medicine Science and Technology Press: Beijing, China, 2020; p. 1250. [Google Scholar]
- Dai, C.; Chen, S.; Wang, X. Flagging positive images for sting wasps: The use of vespine wasps in Guiyang City, China and its conservation implications. J. Insects Food Feed 2021, 7, 1263–1274. [Google Scholar] [CrossRef]
- Van Itterbeeck, J.; Feng, Y.; Zhao, M.; Wang, C.; Tan, K.; Saga, T.; Nonaka, K.; Jung, C. Rearing techniques for hornets with emphasis on Vespa velutina (Hymenoptera: Vespidae): A review. J. Asia-Pac. Entomol. 2021, 24, 103–117. [Google Scholar] [CrossRef]
- Onofre, N.; Castro, M.I.P.E.; Nave, A.; Cadima, I.S.P.; Ferreira, M.; Godinho, J. On the Evidence of the European Bee-Eater (Merops apiaster) as a Predator of the Yellow-Legged Hornet (Vespa velutina) and Its Possible Contribution as a Biocontrol Agent. Animals 2023, 13, 1906. [Google Scholar] [CrossRef]
- Ghosh, S.; Namin, S.; Meyer-Rochow, V.; Jung, C. Chemical Composition and Nutritional Value of Different Species of Vespa Hornets. Foods 2021, 10, 418. [Google Scholar] [CrossRef]
- Alvares, D.S.; Ruggiero, N.J.; Ambroggio, E.E. Phosphatidylserine lipids and membrane order precisely regulate the activity of Polybia-MP1 peptide. Biochim. Biophys. Acta-Biomembr. 2017, 1859, 1067–1074. [Google Scholar] [CrossRef]
- Ni, L.; Che, Y.; Sun, H.; Wang, B.; Wang, M.; Yang, Z.; Liu, H.; Xiao, H.; Yang, D.; Zhu, H.; et al. The therapeutic effect of wasp venom (Vespa magnifica, Smith) and its effective part on rheumatoid arthritis fibroblast-like synoviocytes through modulating inflammation, redox homeostasis and ferroptosis. J. Ethnopharmacol. 2023, 317, 116700. [Google Scholar] [CrossRef]
- Naephrai, S.; Khacha-Ananda, S.; Pitchakarn, P.; Jaikang, C. Composition and Acute Inflammatory Response from Tetraponera rufonigra Venom on RAW 264.7 Macrophage Cells. Toxins 2021, 13, 257. [Google Scholar] [CrossRef]
- Wang, K.; Yan, J.; Liu, X.; Zhang, J.; Chen, R.; Zhang, B.; Dang, W.; Zhang, W.; Kai, M.; Song, J.; et al. Novel cytotoxity exhibition mode of polybia-CP, a novel antimicrobial peptide from the venom of the social wasp Polybia paulista. Toxicology 2011, 288, 27–33. [Google Scholar] [CrossRef]
- Yan, Y.-M.; Luo, Q.; Di, L.; Shi, Y.-N.; Tu, Z.-C.; Cheng, Y.-X. Nucleoside and N-acetyldopamine derivatives from the insect Aspongopus chinensis. Fitoterapia 2019, 132, 82–87. [Google Scholar] [CrossRef] [PubMed]
- Andersen, S.O. Insect cuticular sclerotization: A review. Insect Biochem. Mol. Biol. 2010, 40, 166–178. [Google Scholar] [CrossRef] [PubMed]
- Ding, W.; Yan, Y.; Meng, X.; Nafie, L.; Xu, T.; Dukor, R.; Qin, H.; Cheng, Y. Isolation, Total Synthesis, and Absolute Configuration Determination of Renoprotective Dimeric N-Acetyldopamine-Adenine Hybrids from the Insect Aspongopus chinensis. Org. Lett. 2020, 22, 5726–5730. [Google Scholar] [CrossRef] [PubMed]
- Mei, F.; Nie, J.; Wen, Y.; Li, Z.; Zhang, D.; Gan, L.; Li, W.; Guo, D. Enantiomeric N-acetyldopamine trimers from Cicadae Periostracum and their absolute configurations. Phytochemistry 2023, 213, 113780. [Google Scholar] [CrossRef]
- Wang, Q.; Zhou, S.T.; Wu, X.M.; Pang, X.Q.; Ni, L.L.; Yuan, S.M.; Yang, Z.B.; Li, Y.H.; Xiao, H. GC-MS analysis of Vespa velutina auraria Smith and its anti-inflammatory and antioxidant activities in vitro. Open Chem. 2022, 20, 602–610. [Google Scholar] [CrossRef]
- Hua, C.; Li, N.; Zhang, N.; Yang, Z.; Cao, J.; Lin, Y.; Min, N.; Wang, J. Metal-directed supramolecular architectures based on the bifunctional ligand 2,5-bis(1H-1,2,4-triazol-1-yl)terephthalic acid. Acta Crystallogr. Sect. C-Struct. Chem. 2020, 76, 118–124. [Google Scholar] [CrossRef]
- Xu, T.; Cheng, L.; Xiao, S.; Hou, X. A New Dopamine Derivative from Cotidius chinensis. Rec. Nat. Prod. 2020, 14, 361–366. [Google Scholar] [CrossRef]
- Liu, H.; Yan, Y.-M.; Liao, L.; Wang, S.-X.; Zhang, Y.; Cheng, Y.-X. Cicadamides A and B, N-Acetyldopamine Dimers From the Insect Periostracum cicadae. Nat. Prod. Commun. 2019, 14, 1–6. [Google Scholar] [CrossRef]
- Roepstorff, P.; Anderson, S.O. Electron Impact, chemical ionization and field desorption mass spectrometry of substituted dihydroxyphenyl-benzodioxins isolated from insect cuticle. Occurrence of thermal decomposition and oligomerization reactions in the mass spectrometer. Biomed. Mass Spectrom. 1981, 8, 174–178. [Google Scholar] [CrossRef]
- Lu, J.; Sun, Q.; Tu, Z.-C.; Lv, Q.; Shui, P.-X.; Cheng, Y.-X. Identification of N-Acetyldopamine Dimers from the Dung Beetle Catharsius molossus and Their COX-1 and COX-2 Inhibitory Activities. Molecules 2015, 20, 15589–15596. [Google Scholar] [CrossRef]
- Thapa, P.; Gu, Y.; Kil, Y.-S.; Baek, S.C.; Kim, K.H.; Han, A.-R.; Seo, E.K.; Choi, H.; Chang, J.-H.; Nam, J.-W. N-Acetyldopamine derivatives from Periostracum Cicadae and their regulatory activities on Th1 and Th17 cell differentiation. Bioorganic Chem. 2020, 102, 104095. [Google Scholar] [CrossRef] [PubMed]
- Tsai, Y.; Amichetti, M.; Zanardi, M.; Grimson, R.; Daranas, A.; Sarotti, A. ML--DP4: An Integrated Quantum Mechanics-Machine Learning Approach for Ultrafast NMR Structural Elucidation. Org. Lett. 2022, 24, 7487–7491. [Google Scholar] [CrossRef] [PubMed]
- Cao, P.; Li, M.; Zhang, J.; Zheng, Y.; Chen, J.; Zhao, Y.; Qi, X.; Zhu, P.; Gu, Y.; Kong, L.; et al. Epicoccanes A-D, Four Oxidative Dimers of Pyrogallol Analogues from Epicoccum nigrum. Org. Lett. 2022, 24, 6789–6793. [Google Scholar] [CrossRef] [PubMed]
- Shu, Y.; Feng, S.-Y.; Zhang, S.-Q.; Tian, X.; Zhao, Y.-L.; Yang, H.-J.; Wang, J.-X.; He, G.-L.; Zhou, H.; Wang, J.-P.; et al. Bipodonines A–J, a new class of natural sesquiterpenes with 2-(tetrahydro-2H-pyran-2-yl)propan-2-ol system from the fungus Bipolaris cynodontis DJWT-01. Org. Chem. Front. 2023, 10, 2442–2452. [Google Scholar] [CrossRef]
- Guo, M.; Zhang, H.; Zhong, P.; Xu, J.; Zhou, S.; Long, F.; Kong, M.; Mao, Q.; Li, S. Integrating Multi-Type Component Determination and Anti-Oxidant/-Inflammatory Assay to Evaluate the Impact of Pre-Molting Washing on the Quality and Bioactivity of Cicadae Periostracum. Molecules 2022, 27, 7683. [Google Scholar] [CrossRef]
- An, L.; Li, Z.; Zhang, T. Reversible effects of vitamins C and E combination on oxidative stress-induced apoptosis in melamine-treated PC12 cells. Free Radic. Res. 2013, 48, 239–250. [Google Scholar] [CrossRef]
- Xuan, L.; Ren, L.; Zhang, W.; Du, P.; Li, B.; An, Z. Formaldehyde aggravates airway inflammation through induction of glycolysis in an experimental model of asthma exacerbated by lipopolysaccharide. Sci. Total Environ. 2024, 912, 168947. [Google Scholar] [CrossRef]
- Fan, J.-B.; Yuan, K.; Zhu, X.-H.; Cui, S.-Y.; Yi, H.; Zhang, W. Neuroligin-3 activates Akt-dependent Nrf2 cascade to protect osteoblasts from oxidative stress. Free Radic. Biol. Med. 2023, 208, 807–819. [Google Scholar] [CrossRef]
- Tian, D.; Yang, Y.; Yu, M.; Han, Z.; Wei, M.; Zhang, H.; Jia, H.; Zou, Z. Anti-inflammatory chemical constituents of Flos Chrysanthemi Indici determined by UPLC-MS/MS integrated with network pharmacology. Food Funct. 2020, 11, 6340–6351. [Google Scholar] [CrossRef]
- Liu, S.; Li, X.; Gao, J.; Liu, Y.; Shi, J.; Gong, Q. Icariside II, a Phosphodiesterase-5 Inhibitor, Attenuates Beta-Amyloid-Induced Cognitive Deficits via BDNF/TrkB/CREB Signaling. Cell. Physiol. Biochem. 2018, 49, 985. [Google Scholar] [CrossRef]
- Zhang, Q.; Li, R.-L.; Tao, T.; Sun, J.-Y.; Liu, J.; Zhang, T.; Peng, W.; Wu, C.-J.; Dolga, A. Antiepileptic Effects of Cicadae Periostracum on Mice and Its Antiapoptotic Effects in H2O2-Stimulated PC12 Cells via Regulation of PI3K/Akt/Nrf2 Signaling Pathways. Oxidative Med. Cell. Longev. 2021, 2021, 5598818. [Google Scholar] [CrossRef] [PubMed]
- Rappaport, N.; Twik, M.; Plaschkes, I.; Nudel, R.; Iny Stein, T.; Levitt, J.; Gershoni, M.; Morrey, C.; Safran, M.; Lancet, D. MalaCards: An amalgamated human disease compendium with diverse clinical and genetic annotation and structured search. Nucleic Acids Res. 2017, 45, D877–D887. [Google Scholar] [CrossRef] [PubMed]
- Szklarczyk, D.; Gable, A.L.; Nastou, K.C.; Lyon, D.; Kirsch, R.; Pyysalo, S.; Doncheva, N.T.; Legeay, M.; Fang, T.; Bork, P.; et al. The STRING database in 2021: Customizable protein–protein networks, and functional characterization of user-uploaded gene/measurement sets. Nucleic Acids Res. 2021, 49, D605–D612. [Google Scholar] [CrossRef] [PubMed]








| No. | 1 | |
|---|---|---|
| δH (J in Hz) | δC | |
| 1 | 176.5 | |
| 2 | 4.22 (dd, 5.6, 2.8) | 70.3 | 
| 3 | 1.58 (2H, m) | 44.4 | 
| 4 | 1.87 (m) | 25.6 | 
| 5 | 0.98 (d, 6.8) | 23.9 | 
| 6 | 0.96 (d, 6.8) | 22.3 | 
| 1′a 1′b | 4.20 (d, 4.0) 4.11 (dd, 11.6, 6.4) | 67.1 | 
| 2′ | 3.84 (m) | 71.1 | 
| 3′ | 3.55 (d, 5.6) | 64.1 | 
| No. | 2 | 3 | ||
|---|---|---|---|---|
| δH (J in Hz) | δC | δH (J in Hz) | δC | |
| 1 | ||||
| 2 | 4.89 (d, 7.2) | 78.7 | 4.69 (d, 7.2) | 78.7 | 
| 3 | 5.79 (d, 7.2) | 78.3 | 5.63 (d, 7.2) | 78.3 | 
| 4 | ||||
| 4a | 143.9 | 143.4 | ||
| 5 | 7.55 (d, 2.0) | 118.0 | 7.45 (d, 1.8) | 119.8 | 
| 6 | 130.0 | 126.2 | ||
| 7 | 7.59 (dd, 8.4, 2.2) | 123.4 | 7.48 (dd, 8.4, 2.4) | 124.9 | 
| 8 | 7.09 (d, 8.4) | 118.5 | 6.89 (d, 8.4) | 117.8 | 
| 8a | 149.4 | 148.5 | ||
| 9 | 198.7 | 169.9 | ||
| 10 | 4.85 (2H, s) | 66.4 | ||
| 1′ | 128.2 | 128.2 | ||
| 2′ | 6.88 (brs) | 115.9 | 6.75 (d, 1.2) | 115.6 | 
| 3′ | 146.7 | 146.5 | ||
| 4′ | 147.5 | 147.4 | ||
| 5′ | 6.80 (overlap) | 116.5 | 6.67 (overlap) | 116.2 | 
| 6′ | 6.80 (overlap) | 120.8 | 6.67 (overlap) | 120.7 | 
| 1″ | 172.9 | 173.3 | ||
| 2″ | 1.91 (s) | 23.0 | 1.79 (s) | 22.6 | 
| Compound | Binding Energy (kcal·mol−1) | 
|---|---|
| 5 | −7.1 | 
| 6 | −7.0 | 
| Compound | Binding Energy (kcal·mol−1) | 
|---|---|
| 3 | −9.4 | 
| 5 | −9.3 | 
| 7 | −10.3 | 
| Disclaimer/Publisher’s Note: The statements, opinions and data contained in all publications are solely those of the individual author(s) and contributor(s) and not of MDPI and/or the editor(s). MDPI and/or the editor(s) disclaim responsibility for any injury to people or property resulting from any ideas, methods, instructions or products referred to in the content. | 
© 2024 by the authors. Licensee MDPI, Basel, Switzerland. This article is an open access article distributed under the terms and conditions of the Creative Commons Attribution (CC BY) license (https://creativecommons.org/licenses/by/4.0/).
Share and Cite
Liu, C.-H.; Pang, X.-Q.; Yu, Q.; Zhang, W.; Xu, J.-L.; Ma, Y.-C.; Huang, L.; Huang, G.; Wang, J.-P.; Xiao, H.; et al. Anti-Inflammatory and Antioxidative N-Acetyldopamine Dimers from Adult Vespa velutina auraria Smith. Molecules 2024, 29, 5445. https://doi.org/10.3390/molecules29225445
Liu C-H, Pang X-Q, Yu Q, Zhang W, Xu J-L, Ma Y-C, Huang L, Huang G, Wang J-P, Xiao H, et al. Anti-Inflammatory and Antioxidative N-Acetyldopamine Dimers from Adult Vespa velutina auraria Smith. Molecules. 2024; 29(22):5445. https://doi.org/10.3390/molecules29225445
Chicago/Turabian StyleLiu, Chao-He, Xiu-Qing Pang, Qun Yu, Wei Zhang, Jing-Lei Xu, Yu-Chen Ma, Lei Huang, Geng Huang, Jia-Peng Wang, Huai Xiao, and et al. 2024. "Anti-Inflammatory and Antioxidative N-Acetyldopamine Dimers from Adult Vespa velutina auraria Smith" Molecules 29, no. 22: 5445. https://doi.org/10.3390/molecules29225445
APA StyleLiu, C.-H., Pang, X.-Q., Yu, Q., Zhang, W., Xu, J.-L., Ma, Y.-C., Huang, L., Huang, G., Wang, J.-P., Xiao, H., & Ding, Z.-T. (2024). Anti-Inflammatory and Antioxidative N-Acetyldopamine Dimers from Adult Vespa velutina auraria Smith. Molecules, 29(22), 5445. https://doi.org/10.3390/molecules29225445
 
        


 
                         
       