Unusual Lignocellulosic Bioresins: Adhesives and Coatings for Metals and Glass
Abstract
1. Introduction
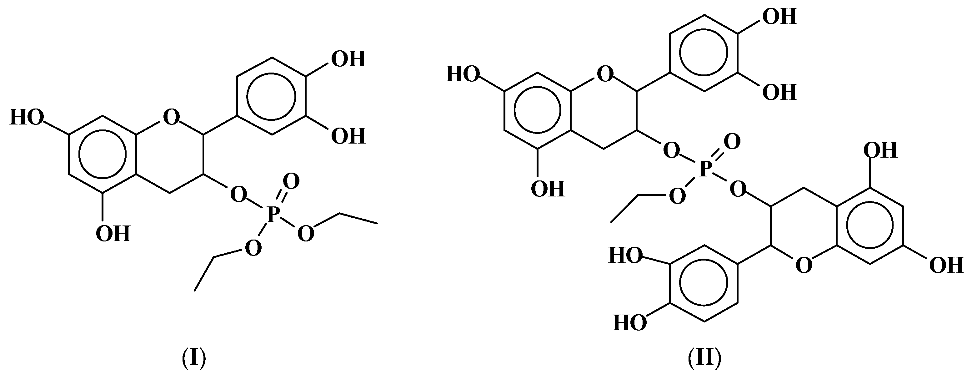
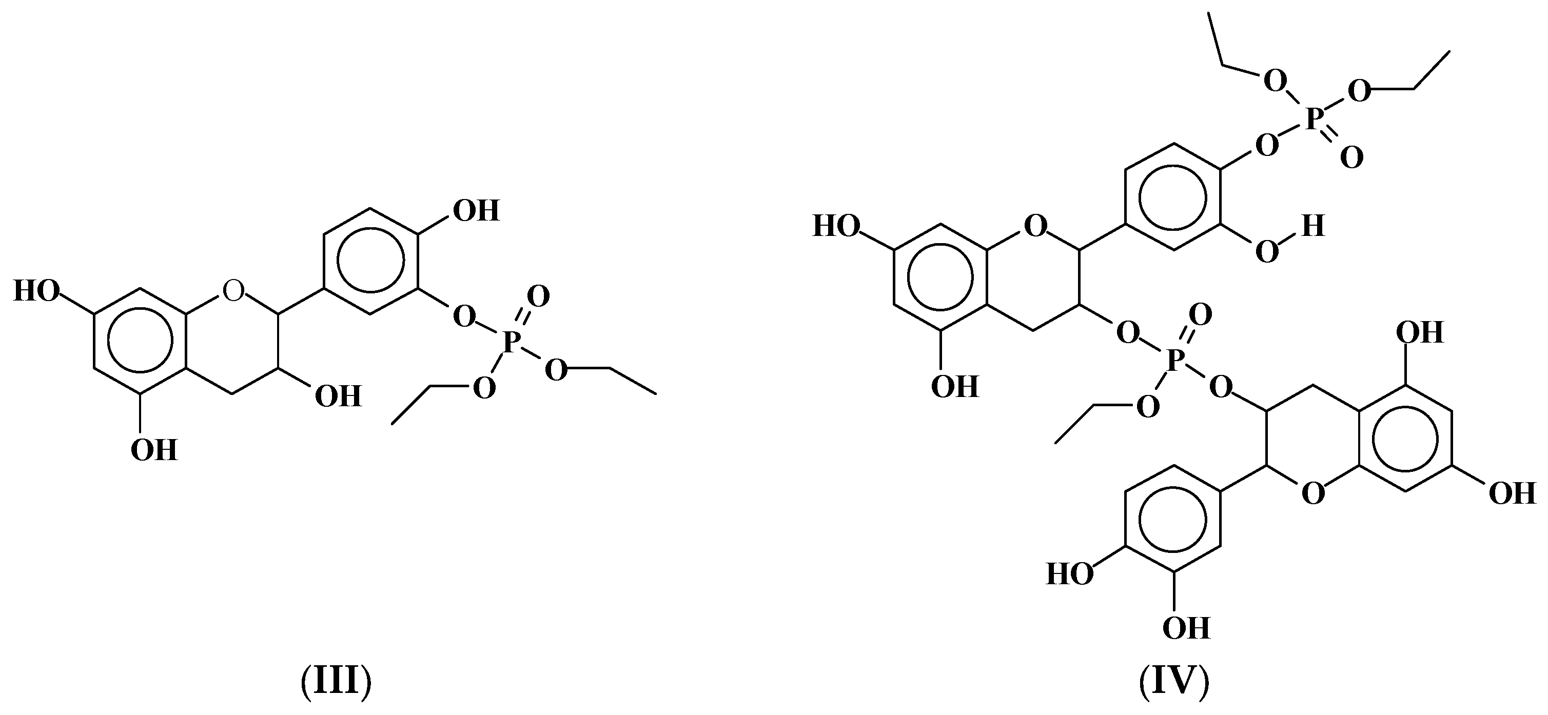
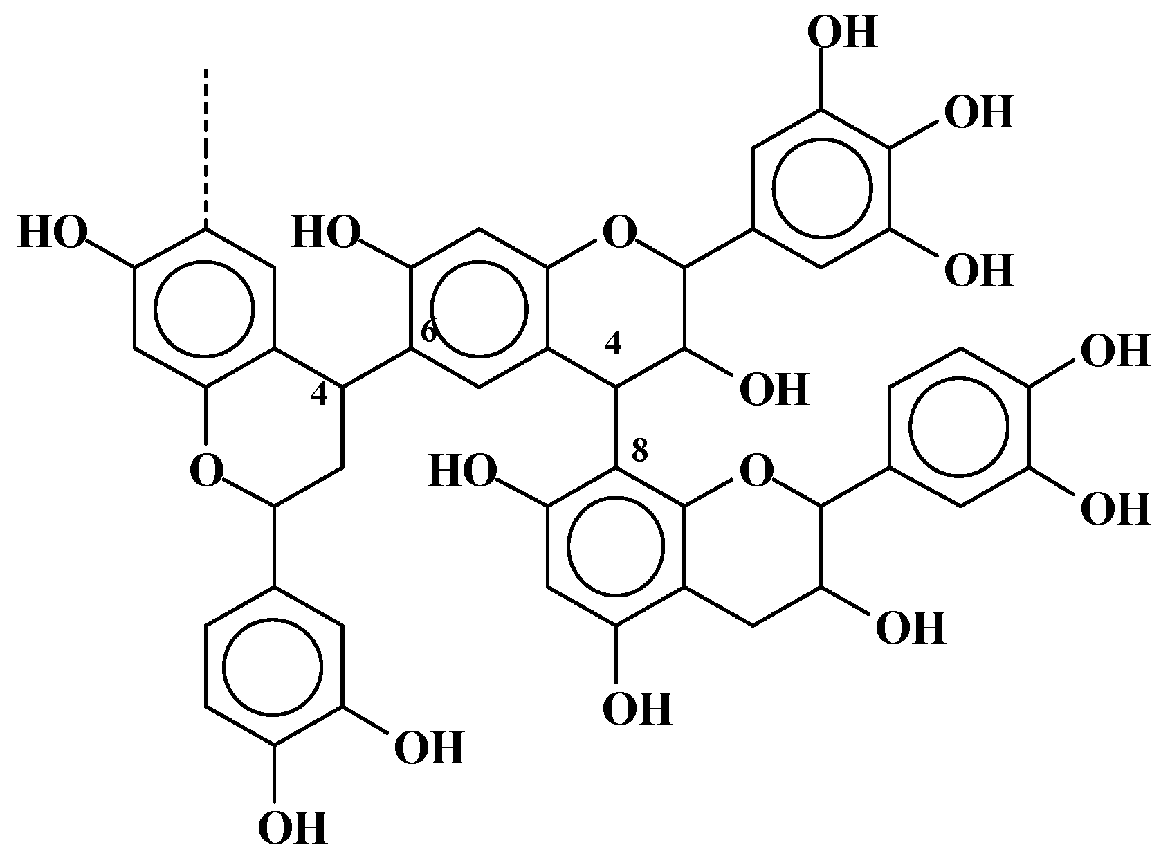
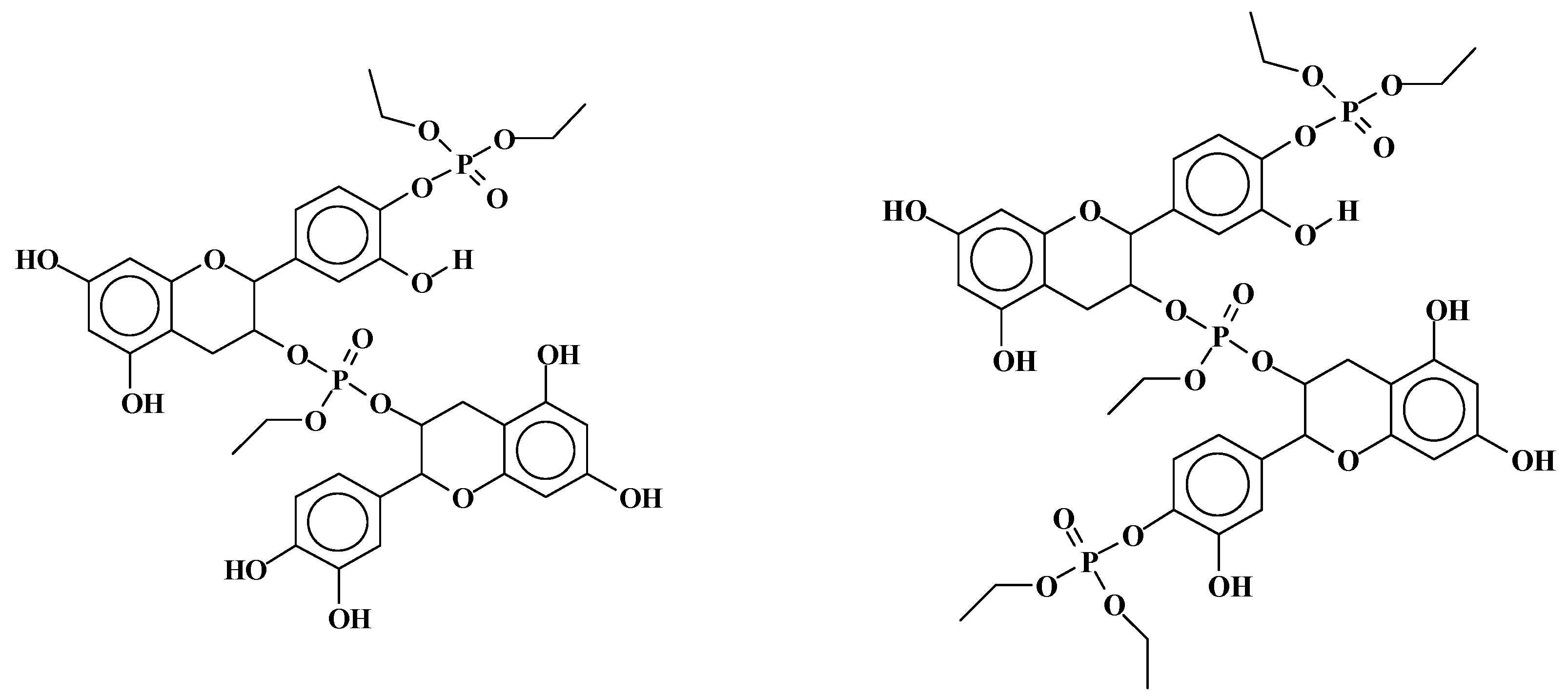
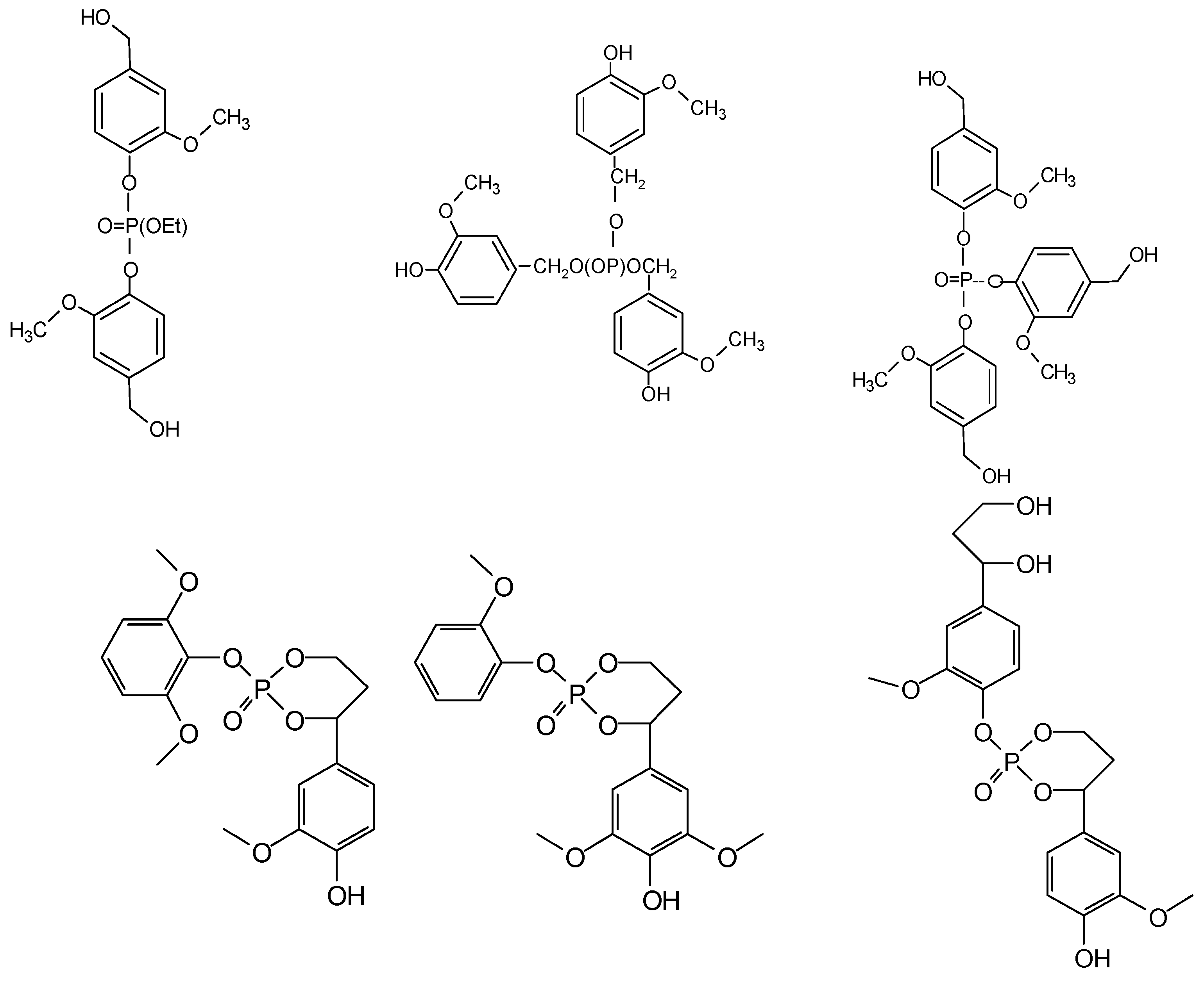
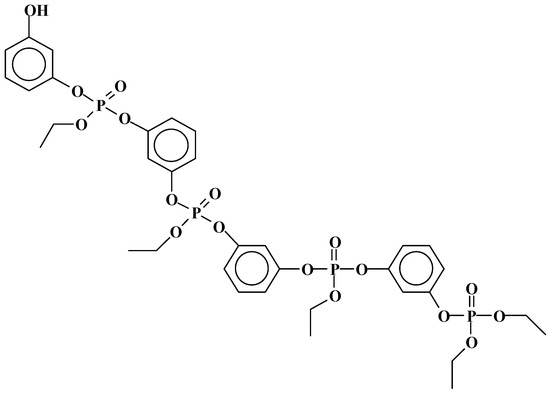
2. Tannin Triethyl Phosphate for Biobinders for Metal/Teflon Assemblies
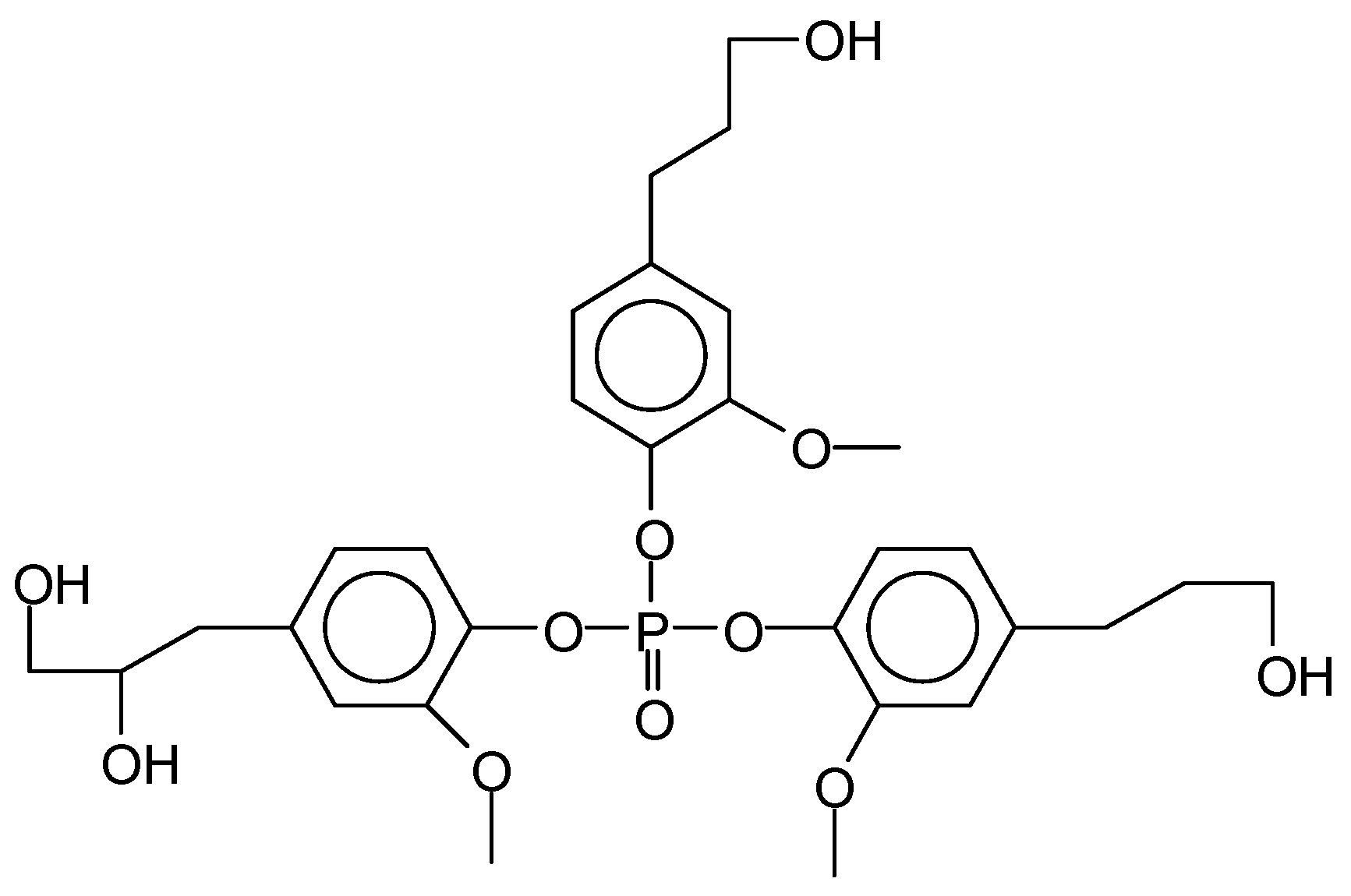
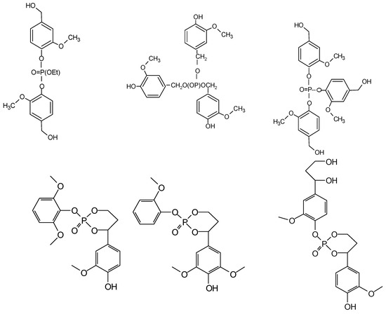
3. Lignin Triethyl Phosphate for Wood Surface Coatings and Bioadhesive for Metals/Teflon Assembly
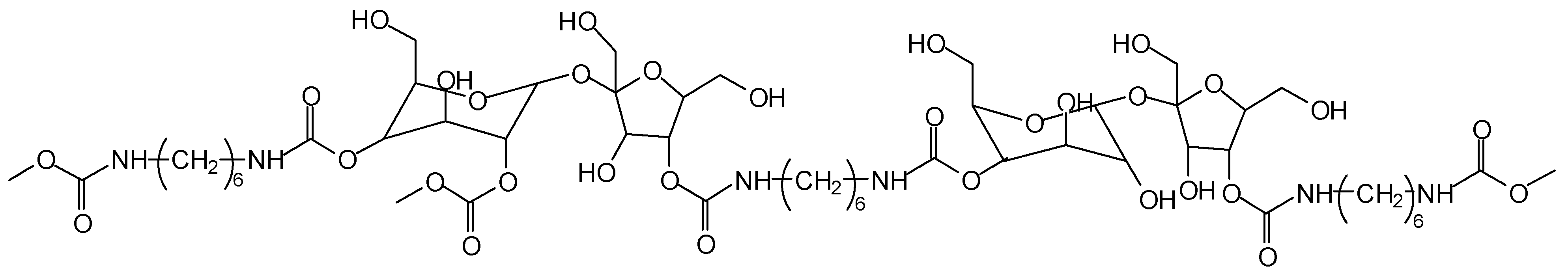
4. Totally Bio-Sourced Non-Isocyanate Polyurethanes (NIPU)
5. PVA–Citric Acid Metal and Glass Bonding
6. Conclusions
Funding
Conflicts of Interest
References
- Caillol, S.; Boutevin, B.; Pascault, J.-P. Biosourced Epoxy monomers and polymers. In Handbook of Adhesive Technology, 3rd ed.; Pizzi, A., Mittal, J.K., Eds.; CRC Press: Boca Raton, FL, USA, 2018. [Google Scholar]
- Pizzi, A. (Ed.) Tannin-based adhesives. In Wood Adhesives Chemistry and Technology; Dekker: New York, NY, USA, 1983; pp. 177–246. [Google Scholar]
- Pizzi, A. Advanced Wood Adhesives Technology; Dekker: New York, NY, USA, 1994. [Google Scholar]
- Pizzi, A. Little Secrets for the Successful Industrial Use of Tannin Adhesives: A Review. J. Renew. Mater. 2023, 11, 3403–3415. [Google Scholar] [CrossRef]
- Pizzi, A. Lignin Adhesives. In Handbook of Adhesive Technology, 2nd ed.; Pizzi, A., Mittal, J.K., Eds.; Dekker: New York, NY, USA, 2003. [Google Scholar]
- Pizzi, A. Recent development in advanced lignin-based adhesives and binders. In Advanced Lignin Technologies; IntechOpen: London, UK, 2024. [Google Scholar]
- Dunky, M. Wood Adhesives Based on Natural Resources: A Critical Review. Part I. Protein-Based Adhesives. Rev. Adhes. Adhes. 2020, 8, 199–332. [Google Scholar] [CrossRef]
- Dunky, M. Wood Adhesives Based on Natural Resources: A Critical Review. Part II. Carbohydrate-Based Adhesives. Rev. Adhes. Adhes. 2020, 8, 333–378. [Google Scholar] [CrossRef]
- Maiti, B.; Abramov, A.; Finn, M.G.; Díaz, D.D. Biopolymers as sustainable metal bio-adhesives. J. Appl. Polym. Sci. 2021, 138, 49783. [Google Scholar] [CrossRef]
- Ma, Y.; Kou, Z.; Hu, Y.; Zhou, J.; Bei, Y.; Hu, L.; Huang, Q.; Jia, P.; Zhou, Y. Research advances in bio-based adhesives. Int. J. Adhes. Adhes. 2023, 126, 103444. [Google Scholar] [CrossRef]
- Dang, Q.D.; Moon, J.R.; Jeon, Y.S.; Kim, J.H. Supramolecular adhesive gels based on biocompatible poly(2-ethyl-2-oxazoline) and tannic acid via hydrogen bonding complexation. J. Appl. Polym. Sci. 2019, 137, 48285. [Google Scholar] [CrossRef]
- Zhao, Q.X.; Mu, S.D.; Long, Y.R.; Zhou, J.; Chen, W.Y.; Astruc, D.; Gaidau, C.; Gu, H.B. Tannin-tethered gelatin hydrogels with considerable self-healing and adhesive performances. Macromol. Mater. Eng. 2019, 304, 1800664. [Google Scholar] [CrossRef]
- Zhang, H.; Chen, T.; Li, Y.; Han, Y.; Sun, Y.; Sun, G. Novel lignin-containing high-performance adhesive for extreme environment. Int. J. Biol. Macromol. 2020, 164, 1832–1839. [Google Scholar] [CrossRef]
- Liu, W.; Fang, C.; Chen, F.; Qiu, X. Strong, reusable, and self-healing lignin-containing polyurea adhesives. ChemSusChem 2020, 13, 4691–4701. [Google Scholar] [CrossRef]
- Zhu, Y.; Di, B.; Chen, H.; Wang, X.; Tian, Y. In situ synthesis of novel biomass lignin/silica based epoxy resin adhesive from renewable resources at different pHs. J. Adhes. Sci. Technol. 2019, 33, 1806–1820. [Google Scholar] [CrossRef]
- Chen, H.; Ling, M.; Hencz, L.; Ling, H.Y.; Li, G.; Lin, Z.; Liu, G.; Zhang, S. Exploring chemical, mechanical, and electrical functionalities of binders for advanced energy-storage devices. Chem. Rev. 2018, 118, 8936–8982. [Google Scholar] [CrossRef] [PubMed]
- Ling, M.; Xu, Y.; Zhao, H.; Gu, X.; Qiu, J.; Li, S.; Wu, M.; Song, X.; Yan, C.; Liu, G.; et al. Dual-functional gum arabic binder for silicon anodes in lithium ion batteries. Nano Energy 2015, 12, 178–185. [Google Scholar] [CrossRef]
- Li, Z.; Wan, Z.; Zeng, X.; Zhang, S.; Yan, L.; Ji, J.; Wang, H.; Ma, Q.; Liu, T.; Lin, Z.; et al. A robust network binder via localized linking by small molecules for high-areal-capacity silicon anodes in lithium-ion batteries. Nano Energy 2020, 79, 105430. [Google Scholar] [CrossRef]
- Panchireddy, S.; Grignard, B.; Thomassin, J.-M.; Jerome, C.; Detrembleur, C. Bio-based poly(hydroxyurethane) glues for metal substrates. Polym. Chem. 2018, 9, 2650–2659. [Google Scholar] [CrossRef]
- Jenkins, C.L.; Siebert, H.M.; Wilker, J.J. Integrating Mussel Chemistry into a Bio-Based Polymer to Create Degradable Adhesives. Macromolecules 2017, 50, 561–568. [Google Scholar] [CrossRef]
- Schneiderman, D.K.; Vanderlaan, M.E.; Mannion, A.M.; Panthani, T.R.; Batiste, D.C.; Wang, J.Z.; Bates, F.S.; Macosko, C.W.; Hillmyer, M.A. Chemically Recyclable Biobased Polyurethanes. ACS Macro Lett. 2016, 5, 515–518. [Google Scholar] [CrossRef]
- Strube, O.I.; Rüdiger, A.A.; Bremser, W. Buildup of biobased adhesive layers by enzymatically controlled deposition on the example of casein. Int. J. Adhes. Adhes. 2015, 63, 9–13. [Google Scholar] [CrossRef]
- Ruediger, A.A.; Bremser, W.; Strube, O.I. The enzyme-mediated autodeposition of casein: Effect of enzyme immobilization on deposition of protein structures. J. Coat. Technol. Res. 2016, 13, 597–611. [Google Scholar] [CrossRef]
- Kim, S.; Jeong, Y.K.; Wang, Y.; Lee, H.; Choi, J.W. A “Sticky” Mucin-Inspired DNA-Polysaccharide Binder for Silicon and Silicon–Graphite Blended Anodes in Lithium-Ion Batteries. Adv. Mater. 2018, 30, 1707594. [Google Scholar] [CrossRef]
- Hussin, M.H.; Latif, N.H.A.; Hamidon, T.S.; Idris, N.N.; Hashim, R.; Appaturi, J.N.; Brosse, N.; Ziegler-Devin, I.; Chrusiel, L.; Fatriasari, W.; et al. Latest advancements in high-performance bio-based wood adhesives: A critical review. J. Mater. Res. Technol. 2022, 21, 3909–3946. [Google Scholar] [CrossRef]
- Dunky, M. Applications and Industrial Implementations of Naturally-Based Adhesives. In Biobased Adhesives: Sources, Characteristics, and Applications; Dunky, M., Mittal, K.L., Eds.; Wiley-Scrivener: New York, NY, USA, 2023. [Google Scholar]
- Basso, M.; Pizzi, A.; Maris, J.P.; Delmotte, L.; Colin, B.; Rogaume, Y. MALDI-TOF, 13C NMR and FTIR analysis of the cross-linking reaction of condensed tannins by triethyl phosphate. Ind. Crops Prod. 2017, 95, 621–631. [Google Scholar] [CrossRef]
- Braghiroli, F.; Fierro, V.; Pizzi, A.; Rode, K.; Radke, W.; Delmotte, L.; Parmentier, J.; Celzard, A. Condensation reaction of flavonoid tannins with ammonia. Ind. Crops Prod. 2013, 44, 330–335. [Google Scholar] [CrossRef]
- Polesel-Maris, J.; Joutang, I. Anti-Adhesive Coatings Based on Condensed Tannins. WO Patent 2017/037393A1, 9 March 2017. [Google Scholar]
- Norme Francaise XP D21-503. Articles Culinaires Métalliques à Usage Domestique pour Cuisinières et Plaques de Cuisson—Compatibilité avec les Différentes Sources de Chaleur: Exigences et Méthodes d’Essai. 2003. Available online: https://www.boutique.afnor.org/fr-fr/norme/xp-d21503/articles-culinaires-metalliques-a-usage-domestique-pour-cuisinieres-et-plaq/fa135063/22040 (accessed on 12 November 2024).
- Normes HACCP (Hazard Analysis Critical Control Point), RÈGLEMENT (CE) No 852/2004 DU PARLEMENT EUROPÉEN ET DU CONSEIL du 29 Avril 2004 Relatif à l’hygiène des Denrées Alimentaire. 2004. Available online: https://www.economie.gouv.fr/files/files/directions_services/dgccrf/securite/produits_alimentaires/Hygiene_alimentaire/ha-reg-852.pdf (accessed on 12 November 2024).
- Basso, M.C.; Pizzi, A.; Delmotte, L.; Abdalla, S. MALDI-TOF and 13C NMR Analysis of the Cross-linking Reaction of Lignin by Triethyl Phosphate. Polymers 2017, 9, 206. [Google Scholar] [CrossRef] [PubMed]
- Pizzi, A. Lignin Adhesives. In Handbook of Adhesive Technology, 3rd ed.; Pizzi, A., Mittal, J.K., Eds.; Dekker: New York, NY, USA, 2017. [Google Scholar]
- Peng, Y.; Zheng, Z.; Sun, P.; Wang, X.; Zhang, T. Synthesis and characterization of polyphenol-based polyurethane. New J. Chem. 2012, 37, 729–734. [Google Scholar] [CrossRef]
- Ge, J.-J.; Sakai, K. Compressive Properties and Biodegradabilities of Polyurethane Foams Derived from Condensed Tannins. Mokuzai Gakkaishi 1993, 39, 801–806. [Google Scholar]
- Ge, J.-J.; Sakai, K. Decomposition of polyurethane foams derived from condensed tannin II: Hydrolysis and aminolysis of polyurethane foams. J. Wood Sci. 1998, 44, 103–105. [Google Scholar] [CrossRef]
- Ge, J.; Shi, X.; Cai, M.; Wu, R.; Wang, M. A novel biodegradable antimicrobial PU foam from wattle tannin. J. Appl. Polym. Sci. 2003, 90, 2756–2763. [Google Scholar] [CrossRef]
- Faruk, O.; Sain, M. Continuous Extrusion Foaming of Lignin Enhanced Thermoplastic Polyurethane (TPU). J. Biobased Mater. Bioenergy 2013, 7, 309–314. [Google Scholar] [CrossRef]
- Hatakeyama, H.; Hatakeyama, T. Advances of Polyurethane Foams Derived from Lignin. J. Renew. Mater. 2013, 1, 113–123. [Google Scholar] [CrossRef]
- Liu, J.; Liu, H.; Deng, L.; Liao, B.; Guo, Q. Improving aging resistance and mechanical properties of waterborne polyurethanes modified by lignin amines. J. Appl. Polym. Sci. 2013, 130, 1736–1742. [Google Scholar] [CrossRef]
- Wang, Z.; Xu, S.; Hu, W.-P.; Xie, Y.-J. Fractionation of the Biopolyols from Lignocellulosic Biomass for the Production of Rigid Foams. BioEnergy Res. 2013, 6, 896–902. [Google Scholar] [CrossRef]
- Whelan, J.M., Jr.; Hill, M.; Cotter, R.J. Multiple Cyclic Carbonate Polymers. U.S. Patent 3,072,613, 8 January 1963. [Google Scholar]
- Rokicki, G.; Piotrowska, A. A new route to polyurethanes from ethylene carbonate, diamines and diols. Polymer 2002, 43, 2927–2935. [Google Scholar] [CrossRef]
- Kihara, N.; Endo, T. Synthesis and properties of poly(hydroxyurethane)s. J. Polym. Sci. Part A Polym. Chem. 1993, 31, 2765–2773. [Google Scholar] [CrossRef]
- Kihara, N.; Kushida, Y.; Endo, T. Optically active poly(hydroxyurethane)s derived from cyclic carbonate andL-lysine derivatives. J. Polym. Sci. Part A Polym. Chem. 1996, 34, 2173–2179. [Google Scholar] [CrossRef]
- Tomita, H.; Sanda, F.; Endo, T. Structural analysis of polyhydroxyurethane obtained by polyaddition of bifunctional five-membered cyclic carbonate and diamine based on the model reaction. J. Polym. Sci. Part A Polym. Chem. 2001, 39, 851–859. [Google Scholar] [CrossRef]
- Tomita, H.; Sanda, F.; Endo, T. Polyaddition behavior of bis(five- and six-membered cyclic carbonate)s with diamine. J. Polym. Sci. Part A Polym. Chem. 2001, 39, 860–867. [Google Scholar] [CrossRef]
- Tomita, H.; Sanda, F.; Endo, T. Model reaction for the synthesis of polyhydroxyurethanes from cyclic carbonates with amines: Substituent effect on the reactivity and selectivity of ring-opening direction in the reaction of five-membered cyclic carbonates with amine. J. Polym. Sci. Part A Polym. Chem. 2001, 39, 3678–3685. [Google Scholar] [CrossRef]
- Birukov, O.; Potashnikova, R.; Leykin, A.; Figovsky, O.; Shapovalov, L. Advantages in chemistry and technology of non-isocyanate polyurethane. J. Sci. Israel-Technol. Adv. 2009, 11, 160–167. [Google Scholar]
- Figovsky, O.; Shapovalov, L. Features of reaction amino-cyclocarbonate for production of new type polyurethanes. Macromol. Symp. 2002, 187, 325–332. [Google Scholar] [CrossRef]
- Camara, F.; Benyahya, S.; Besse, V.; Boutevin, G.; Auvergne, R.; Boutevin, B.; Caillol, S. Reactivity of secondary amines for the synthesis of non-isocyanate polyurethanes. Eur. Polym. J. 2014, 55, 17–26. [Google Scholar] [CrossRef]
- Blattmann, H.; Fleischer, M.; Bähr, M.; Mülhaupt, R. Isocyanate- and phosgene-free routes to polyfunctional cyclic carbonates and green polyurethanes by fixation of carbon dioxide. Macromol. Rapid Commun. 2014, 35, 1238–1254. [Google Scholar] [CrossRef] [PubMed]
- Boyer, A.; Cloutet, E.; Tassaing, T.; Gadenne, B.; Alfos, C.; Cramail, H. Solubility in CO2 and carbonation studies of epoxidized fatty acid diesters: Towards novel precursors for polyurethane synthesis. Green Chem. 2010, 12, 2205–2213. [Google Scholar] [CrossRef]
- Kim, M.; Kim, H.; Ha, C.; Park, D.; Lee, J. Syntheses and thermal properties of poly(hydroxy)urethanes by polyaddition reaction of bis(cyclic carbonate) and diamines. J. Appl. Polym. Sci. 2001, 81, 2735–2743. [Google Scholar] [CrossRef]
- Ochiai, B.; Inoue, S.; Endo, T. Salt effect on polyaddition of bifunctional cyclic carbonate and diamine. J. Polym. Sci. Part A Polym. Chem. 2005, 43, 6282–6286. [Google Scholar] [CrossRef]
- Ubaghs, L.; Fricke, N.; Keul, H.; Höcker, H. Polyurethanes with pendant hydroxyl groups: Synthesis and Characterization. Macromol. Rapid Commun. 2004, 25, 517–521. [Google Scholar] [CrossRef]
- Fleischer, M.; Blattmann, H.; Mülhaupt, R. Glycerol-, pentaerythritol- and trimethylolpropane-based polyurethanes and their cellulose carbonate composites prepared via the non-isocyanate route with catalytic carbon dioxide fixation. Green Chem. 2013, 15, 934–942. [Google Scholar] [CrossRef]
- Besse, V.; Auvergne, R.; Carlotti, S.; Boutevin, G.; Otazaghine, B.; Caillol, S.; Pascault, J.-P.; Boutevin, B. Synthesis of isosorbide based polyurethanes: An isocyanate free method. React. Funct. Polym. 2013, 73, 588–594. [Google Scholar] [CrossRef]
- Cornille, A.; Auvergne, R.; Figovsky, O.; Boutevin, B.; Caillol, S. A perspective approach to sustainable routes for non-isocyanate polyurethanes. Eur. Polym. J. 2017, 87, 535–552. [Google Scholar] [CrossRef]
- Xi, X.; Pizzi, A.; Delmotte, L. Isocyanate-Free Polyurethane Coatings and Adhesives from Mono- and Di-Saccharides. Polymers 2018, 10, 402. [Google Scholar] [CrossRef]
- Tundo, P.; Selva, M. The Chemistry of Dimethyl Carbonate. Acc. Chem. Res. 2002, 35, 706–716. [Google Scholar] [CrossRef]
- Xi, X.; Wu, Z.; Pizzi, A.; Gerardin, C.; Lei, H.; Zhang, B.; Du, G. Non-isocyanate polyurethane adhesive from sucrose used for particleboard. Wood Sci. Technol. 2019, 53, 393–405. [Google Scholar] [CrossRef]
- Norme Francaise NF EN ISO 2409; Peintures et Vernis—Essai de Quadrillage. AFNOR: St. Denis, France, 2020.
- Li, J.; Lei, H.; Xi, X.; Li, C.; Hou, D.; Song, J.; Du, G. A sustainable tannin-citric acid wood adhesive with favorable bonding properties and water resistance. Ind. Crops Prod. 2023, 201, 116933. [Google Scholar] [CrossRef]
- Umemura, K.; Ueda, T.; Munawar, S.S.; Kawai, S. Application of citric acid as natural adhesive for wood. J. Appl. Polym. Sci. 2011, 123, 1991–1996. [Google Scholar] [CrossRef]
- Umemura, K.; Sugihara, O.; Kawai, S. Investigation of a new natural adhesive composed of citric acid and sucrose for particleboard. J. Wood Sci. 2013, 59, 203–208. [Google Scholar] [CrossRef]
- Del Menezzi, C.; Amirou, S.; Pizzi, A.; Xi, X.; Delmotte, L. Reactions with Wood Carbohydrates and Lignin of Citric Acid as a Bond Promoter of Wood Veneer Panels. Polymers 2018, 10, 833. [Google Scholar] [CrossRef]
- Li, C.; Lei, H.; Wu, Z.; Xi, X.; DU, G.; Pizzi, A. Fully Biobased Adhesive from Glucose and Citric Acid for Plywood with High Performance. ACS Appl. Mater. Interfaces 2022, 14, 23859–23867. [Google Scholar] [CrossRef]
- Liao, R.; Xu, J.; Umemura, K. Low Density Sugarcane Bagasse Particleboard Bonded with Citric Acid and Sucrose: Effect of board density and additive content. BioResources 2015, 11, 2174–2185. [Google Scholar] [CrossRef]
- Widyorini, R.; Nugraha, P.A.; Rahman, M.Z.A.; Prayitno, T.A. Bonding ability of a new adhesive composed of citric acid-sucrose for particleboard. BioResources 2016, 11, 4526–4535. [Google Scholar] [CrossRef]
- Lin, C.-F.; Karlsson, O.; Jones, D.; Sandberg, D. Bio-based adhesive derived from citric acid and sorbitol for wood-composite manufacture. Wood Mater. Sci. Eng. 2022, 17, 397–399. [Google Scholar] [CrossRef]
- Kurkowiak, K.; Hentges, D.; Dumarçay, S.; Gérardin, P.; Militz, H. Understanding the Mode of Action of Sorbitol and Citric Acid (SorCA) in Wood. In Proceedings of the Tenth European Conference on Wood Modification, Nancy, France, 25–26 April 2022; pp. 209–216. [Google Scholar]
- Kusumah, S.S.; Jayadi; Wibowo, D.T.; A Pramasari, D.; A Widyaningrum, B.; Darmawan, T.; Ismadi; Dwianto, W.; Umemura, K. Investigation of eco-friendly plywood bonded with citric acid—Starch based adhesive. In IOP Conference Series: Earth and Environmental Science; IOP Publishing: Bristol, UK, 2020; Volume 460. [Google Scholar] [CrossRef]
- Li, C.; Hou, D.; Lei, H.; Xi, X.; Du, G.; Zhang, H.; Cao, M.; Tondi, G. Effective and eco-friendly safe self-antimildew strategy to simultaneously improve the water resistance and bonding strength of starch-based adhesive. Int. J. Biol. Macromol. 2023, 248, 125889. [Google Scholar] [CrossRef]
- Cai, L.; Chen, Y.; Lu, Z.; Wei, M.; Zhao, X.; Xie, Y.; Li, J.; Xiao, S. Citric acid/chitosan adhesive with viscosity-controlled for wood bonding through supramolecular self-assembly. Carbohydr. Polym. 2024, 329, 121765. [Google Scholar] [CrossRef] [PubMed]
- Sakai, S.; Chen, S.; Matsuo-Ueda, M.; Umemura, K. Curing behavior of sucrose with p-toluenesulfonic acid. Polymers 2023, 15, 4592. [Google Scholar] [CrossRef] [PubMed]
- Crisostomo, M.; Del Menezzi, C.; Militz, H.; Kurkowiak, K.; Mayer, A.; Carvalho, L.; Martins, J. Effect of Citric Acid on the Properties of Sapwood of Pinus sylvestris Submitted to Thermomechanical Treatment. Forests 2023, 14, 1839. [Google Scholar] [CrossRef]
- Li, X.; Wang, Z.; Li, W.; Sun, J. Superstrong Water-Based Supramolecular Adhesives Derived from Poly(Vinyl Alcohol)/Poly(Acrylic Acid) Complexes. ACS Mater. Lett. 2021, 3, 875–882. [Google Scholar] [CrossRef]
- Machalická, K.; Eliášová, M. Adhesive Joints in Glass Structures: Effects of Various Materials int he Connection, Thickness of the Adhesive Layer, and Ageing. Int. J. Adhes. Adhes. 2017, 72, 10–22. [Google Scholar] [CrossRef]
- Overend, M.; Jin, Q.; Watson, J. The Selection and Performance of Adhesives for a Steel–Glass Connection. Int. J. Adhes. Adhes. 2011, 31, 587–597. [Google Scholar] [CrossRef]
- Qi, G.; Sun, X.S. Peel Adhesion Properties of Modified Soy Protein Adhesive on a Glass Panel. Ind. Crops Prod. 2010, 32, 208–212. [Google Scholar] [CrossRef]
- Kumar, A.; Kumar, K.; Ghosh, P.; Rathi, A.; Yadav, K. MWCNTs toward Superior Strength of Epoxy Adhesive Joint on Mild Steel Adherent. Compos. Part B Eng. 2018, 143, 207–216. [Google Scholar] [CrossRef]
- Roberts, A.D.; Finnigan, W.; Kelly, P.P.; Faulkner, M.; Breitling, R.; Takano, E.; Scrutton, N.S.; Blaker, J.J.; Hay, S. Non-covalent protein-based adhesives for transparent substrates—Bovine serum albumin vs. recombinant spider silk. Mater. Today Bio 2020, 7, 100068. [Google Scholar] [CrossRef]
- Zhou, Y.; Fang, Z.; Zeng, G.; Tang, Z.; Zhang, F.; Luo, J.; Li, X.; Li, K.; Li, J. Tough protein based adhesive reinforced by molecular spring strengthening strategy. Chem. Eng. J. 2022, 436, 135023. [Google Scholar] [CrossRef]
- Allen, G.; Griffin, S.; Clifford, B.; Phillips, C.; Van Keulen, G. Development of bio-inspired protein-based materials as novel transparent adhesives for glass laminates. Access Microbiol. 2019, 1. [Google Scholar] [CrossRef]
- Heinritz, C.; Ng, X.J.; Scheibel, T. Bio-inspired Protein-Based and Activatable Adhesion Systems. Adv. Funct. Mater. 2024, 34, 2303609. [Google Scholar] [CrossRef]
- Xu, D.; Li, C.; Zhou, Y.; Wang, Z.; Hou, D.; Lei, H.; Chen, Z.; Du, G. Feasibly developing Polyester-type poly(vinyl alcohol) adhesive in one go with high water resistance and bonding performance. Langmuir, 2024; in press. [Google Scholar]




















| CA:PVA Mass Ratio | ||||||
|---|---|---|---|---|---|---|
| 0:1 | 0.25:1 | 0.5:1 | 0.75:1 | 1:1 | 1.1:1 | |
| Glass sheet (MPa) | 5.2 | 5.75 | 6.0 | 6.1 | 6.4 | 5.9 |
| Steel sheet (MPa) | 4.7 | 5.5 | 5.7 | 5.8 | 6.3 | 5.9 |
| Adhesive Type | MPa |
|---|---|
| PF | 0.77 |
| MUF | 1.36 |
| Modified Soy protein | 1.07 |
| Modified Starch | 0.81 |
| PVA-citric acid | 1.52 |
Disclaimer/Publisher’s Note: The statements, opinions and data contained in all publications are solely those of the individual author(s) and contributor(s) and not of MDPI and/or the editor(s). MDPI and/or the editor(s) disclaim responsibility for any injury to people or property resulting from any ideas, methods, instructions or products referred to in the content. |
© 2024 by the author. Licensee MDPI, Basel, Switzerland. This article is an open access article distributed under the terms and conditions of the Creative Commons Attribution (CC BY) license (https://creativecommons.org/licenses/by/4.0/).
Share and Cite
Pizzi, A. Unusual Lignocellulosic Bioresins: Adhesives and Coatings for Metals and Glass. Molecules 2024, 29, 5401. https://doi.org/10.3390/molecules29225401
Pizzi A. Unusual Lignocellulosic Bioresins: Adhesives and Coatings for Metals and Glass. Molecules. 2024; 29(22):5401. https://doi.org/10.3390/molecules29225401
Chicago/Turabian StylePizzi, Antonio. 2024. "Unusual Lignocellulosic Bioresins: Adhesives and Coatings for Metals and Glass" Molecules 29, no. 22: 5401. https://doi.org/10.3390/molecules29225401
APA StylePizzi, A. (2024). Unusual Lignocellulosic Bioresins: Adhesives and Coatings for Metals and Glass. Molecules, 29(22), 5401. https://doi.org/10.3390/molecules29225401
