Abstract
New approaches for the synthesis of organic thio- and selenocyanates, and methods to incorporate them into more complex structures, including a wide variety of heterocyclic and polycylic derivatives, are reviewed. Protocols that convert the SCN and SeCN moieties into the thio and seleno derivatives by transforming the cyano group are also examined. In representative cases, the bioactivity data for these classes of compounds are reviewed.
1. Introduction
The organic thio- and selenocyano derivatives (R-XCN, X = S, Se) constitute a large family of naturally occurring 1–4, semi-natural 5–6 and synthetic 7–10 scaffolds (Figure 1) of high significance, not only because they are used as key precursors for diverse chemical transformations into more elaborate organic and heterocyclic compounds, but also for their notable biological properties.
Figure 1.
Selected set of bioactive thio- and selenocyanated compounds.
A large number of research papers on thio-/selenocyanated compounds have appeared in the past two decades along with several reviews [1,2,3,4,5,6,7,8,9,10,11]. Encouraged by their diverse chemical properties, we have focused the present article on the relevant literature published from 2011 to the present, focusing primarily on the new and improved methods for the direct synthesis of organic thio- and selenocyanated (SCN and SeCN) compounds and their elaboration into more complex structures, while also addressing their biological activity.
Focusing on the naturally occurring -SCN and -SeCN compounds, the isomeric marine sesquiterpenes thiocyanatoneopupukeananes 1 and 2 were isolated from two classes of sponges collected in Pohnpei and Okinawa (Japan). Lipidic extracts of Pohnpei sponges were active against solid tumors; this was attributed to the presence of thiocyanoterpenes [12]. In another study, both compounds were found to be toxic toward brine shrimp, and weakly and moderately active against B. subtilis and C. albicans, respectively [13]. Fasicularin 3 is a tricyclic thiocyanate-containing alkaloid isolated from the Micronesian ascidian Nephteis fasicularis displaying cytotoxic activity associated with its ability to damage cellular DNA through an alkylation process [14]. Sesquiterpenoid cavernothiocyanate 4 was isolated for the first time from the marine sponges Acanthella cf. cavernosa and from the nudibranch Phyllidia ocellata, and exhibited impressive antifungal properties [15].
The hemi-synthesis of selenocyanocholestanic steroid 5 was achieved from cholesterol. Its bioactivity was evaluated against cervicouterine cancer cells and non-tumor cells, and was shown to possess selective antitumor activity [16]. The hemi-synthesis of the selenium-aspirin derivative 6, which is part of the selenium-nonsteroidal anti-inflammatory drug (Se-NSAID) family, was synthesized from aspirin; its anti-cancer activity was evaluated against various human cancer cell lines and was shown to be 10-fold more potent than the reference drug 5-fluorouracil (5-FU) against colorectal cancer (CRC) cells [17].
Synthetic compound selenocoxib-2 7 displayed strong anti-inflammatory activity and was considered as a potential anti-cancer agent [18], while the o-XSC 8, a synthetic bis-selenocyanated derivative, displayed powerful stimulation on enzyme activities in the liver of female CD rats, which was confirmed by diverse experiments on xenobiotic metabolizing enzymes in vivo for cancer chemoprevention studies [19]. A series of thiocyanated derivatives 9 were synthesized and evaluated as antiproliferative agents against Trypanosoma cruzi. Interestingly, the most active compounds resulted when the R and R1 groups were nonpolar substituents [20]. Further, the heterocyclic thiocyanated compound 10 was synthesized and screened against human carbonic anhydrase I, II (hCAs I and II), acetylcholinesterase (AChE), and α-glycosidase, and proved to be a potent inhibitor of such enzymes compared to the standard drugs [21], as shown in Figure 1.
Organic thiocyanates (R-SCN) have shown diverse anti-bacterial and antifungal [22,23], nematocidal [24], and antitumor [25] bioactivities, among others, while they can be also transformed into other functional groups such as thioethers, sulfonylcyanides and thiocarbamates [26,27], disulfides [28], thioesters [29], imidazoles [30], thiazoles [31], among others.
Since the selenium element has been identified as a micronutrient present in different enzymes and proteins, the organic selenocyanates (R-SeCNs) have also been recognized as important precursors for the synthesis of various bioactive seleno-containing compounds displaying activities like anti-cancer, antimicrobial, antioxidant [32], and leishmanicidal [33] activities, for the treatment of Alzheimer’s disease [34]. Additionally, they have been used as strategic synthons for conversion into selenolates and diselenides [35], selenium-containing heterocycles [36], selenoesters [37], and for applications in material science and nanotechnology [38,39].
Remarkably, according to the selected reports for this review, several of the target R-SCN/R-SeCN products, resulting from the direct thio-/selenocyanation of diverse substrates, were subjected to further reaction without isolation, in a one-pot approach, to obtain more complex SCN and SeCN derivatives. This finding highlights the fact that the organic thio- and selenocyanated products are not only useful by themselves, because of their biological properties, but also as strategic intermediates for the formation of more complex structures of major practical interest.
As depicted in Table 1, this review is organized based on the type of synthetic strategy for the direct thio- and selenocyanation of diverse organic substrates, highlighting the catalysts/catalytic systems employed, including transition-metal-catalyzed reactions, transition-metal-free catalyzed/uncatalyzed reactions, as well as the thio- and selenocyanating reagents employed.
Table 1.
Summary of the type of synthetic approaches, the thio-/selenocyanating reagents, and the catalysts/catalytic systems described for the direct thio-/selenocyanation of diverse organic substrates in this review article.
2. Type of Thio-/Selenocyanation Reactions
2.1. Synthesis of Thio- and Seleno-Derivatives Employing Transition Metals as Catalysts
2.1.1. Thiocyanation Reactions
Given the biological and synthetic efficacy of both quinoline and thiocyanate moieties, a general protocol for the synthesis of C5-quinoline-substituted thiocyanates 12 was developed using KSCN as a thiocyanation reagent, in the presence of a catalytic amount of CuCl and K2S2O8 as oxidants (Scheme 1) [26]. A further synthetic utility of this protocol was demonstrated when the thiocyano derivative 12 (R = CO(CH2)2CH3) was subjected to diverse reaction conditions, affording the sulfinyl cyanide 13 in 86% yield after oxidation with mCPBA, the corresponding thiocarbamate 14 in 82% yield by treatment with conc. H2SO4, and the respective thioether 15 72% yield by catalytic coupling with PhI mediated by cuprous iodide, as shown in Scheme 1.
Scheme 1.
CuCl/K2S2O8-catalyzed synthesis of C5-quinoline-substituted thiocyanates 12 using KSCN as thiocyanation reagent.
2.1.2. Selenocyanation Reactions
Over the past decade, there have been remarkable advancements in the synthesis of organic selenocyanates through photocatalysis protocols. For instance, a visible-light-promoted selenocyanation reaction was documented, involving cyclobutanone oxime esters 16 and potassium selenocyanate catalyzed by fac-Ir(ppy)3 under irradiation with 24 W blue LEDs. This protocol was conducted in THF, resulting in the formation of cyano and selenocyano bifunctional-substituted alkanes 17 in 64–99% yields (Scheme 2) [40]. To demonstrate the application of the selenocyanated compounds 17, the SeCN group was transformed into trifluoromethylselenated products 18 in 76–80% yields through treatment with TMSCF3 and tetrabutylammonium fluoride (TBAF) in THF. Similarly, the SeCN group was converted into difluoromethylselenated product 19 in 61% yield via treatment with TMSCF2H and cesium fluoride in DMF. Finally, CuI-catalyzed selenoalkynylation of compounds 17 with phenylacetylene in the presence of Cs2CO3 in ACN afforded alkynyl selenides 20 in good yields.
Scheme 2.
Visible-light-promoted selenocyanation of cyclobutanone oxime esters 16 with KSeCN.
The proposed mechanism for the selenocyanation of unsubstituted cyclobutanone oxime ester 16a (R,R1,R2 = H) is depicted in Scheme 3. Initially, oxime ester 16a undergoes reduction via a single electron transfer from the excited state of the Ir(III)* photocatalyst, forming the iminyl radical A. Subsequently, radical A undergoes ring-opening C−C bond cleavage, generating the highly reactive cyanoalkyl radical B. Finally, selenocyanate anion is oxidized by the Ir(IV) photocatalyst to form the selenocyano radical C, which is captured by cyanoalkyl radical B to give the desired product 17a [40].
Scheme 3.
Plausible mechanism for the selenocyanation of cyclobutanone oxime esters 16.
When looking for an SeCN group transfer reagent suitable for catalytic and selective selenocyanation of inert C(sp3)−H bonds, the (1-selenocyanatoethyl)-benzene reagent 22 was employed as the SeCN group transfer substance for site-selective selenocyanation of aliphatic C(sp3)−H bonds of diverse N-fluoro-alkylsulfonamides 21 [41]. This approach involved the use of catalytic amounts of cuprous acetate in the presence of the 2,9-dimethyl-1,10-phenanthroline ligand (L), affording a large series of selenocyanated products 23 in 20–84% yields, as shown in Scheme 4. The synthetic utility of products 23 was established by the transformation of product 23a into the corresponding selenol 24 upon reduction with NaBH4. Treatment of 23a with trifluoromethyl-TMS reagent afforded the trifluoromethyl derivative 25, while the diselenide derivative 26 was obtained in the presence of an alcoholic solution of potassium hydroxide, as shown in Scheme 4.
Scheme 4.
Site-selective selenocyanation of aliphatic C(sp3)−H bonds of N-fluoro-alkylsulfonamides 21 under catalytic amounts of cuprous acetate.
The alkylselenocyanate-based bifunctional reagents 27 have been synthesized and used as new reagents for the simultaneous transfer of an alkyl group in addition to –SeCN to olefins under photocatalytic conditions [42]. In this approach, mixtures of alkylselenocyanates 27 and olefins 28 were subjected to reaction in the presence of fac-Ir(ppy)3 as a catalyst, under irradiation with blue LEDs in ACN solvent, generating the corresponding functionalized selenocyanated products 29 in acceptable-to-good yields (Scheme 5). To demonstrate the application of the selenocyanated compounds 29, the SeCN group of the representative derivative 29a was converted to the diselenide derivative 30a in 58% yield by reductive treatment with LiAlH4 in THF. The CN functionality of 29a was transformed into the CF3Se-product 31a in 63% yield by treatment with TMSCF3 in the presence of Cs2CO3. Additionally, the nucleophilic substitution of the CN group afforded the alkynylselenate 32a in 72% yield by reacting derivative 29a with phenylacetylene in the presence of Cs2CO3.
Scheme 5.
Photoredox-promoted selenocyanation of olefins 28 with alkylselenocyanates 27.
2.1.3. Combined Thio- and Selenocyanation Reactions
A domino process involving thiocyanation, ipso-cyclization, and dearomatization of N-(p-methoxyaryl)propiolamides 33 was recently reported using AgSCN as a thiocyanating agent and ceric ammonium nitrate (CAN) as an oxidant in DMSO, affording thiocyanated spiro-fused cyclohexadienones 34 in 76–92% yields (Scheme 6) [43]. Subsequently, selenocyanation and ipsocyclization of N-(p-methoxyphenyl)-propiolamides 27 in the presence of KSeCN and CAN in DMSO gave selenocyanated products 35 in 58–78% yields. The reduced reactivity of the SeCN radical compared to SCN radical was attributed to differences in their redox potentials and the size of the radicals [44]. Significantly, the SCN group in product 34 was transformed into sulfur-containing spiro-fused 2,5-cyclohexadienones (Scheme 6). Specifically, the SCN group was converted into trifluoromethylthiolate 36 in 80% yield using TMSCF3 and CsF in acetonitrile at room temperature. Furthermore, employing a click reaction with NaN3 and ZnCl2 in isopropanol, the thiotetrazole 37 was obtained in 84% yield. The synthesis of alkynyl sulfide 38 was achieved with a 90% yield via a CuI-catalyzed thio-alkynylation reaction involving phenylacetylene and Cs2CO3 in acetonitrile at room temperature.
Scheme 6.
Synthesis of thio-/cyanoselenated spiro-fused 2,5-cyclohexadienones 34/35 via thio(seleno)cyanative ipso-cyclization of propiolamides 33 mediated by CAN.
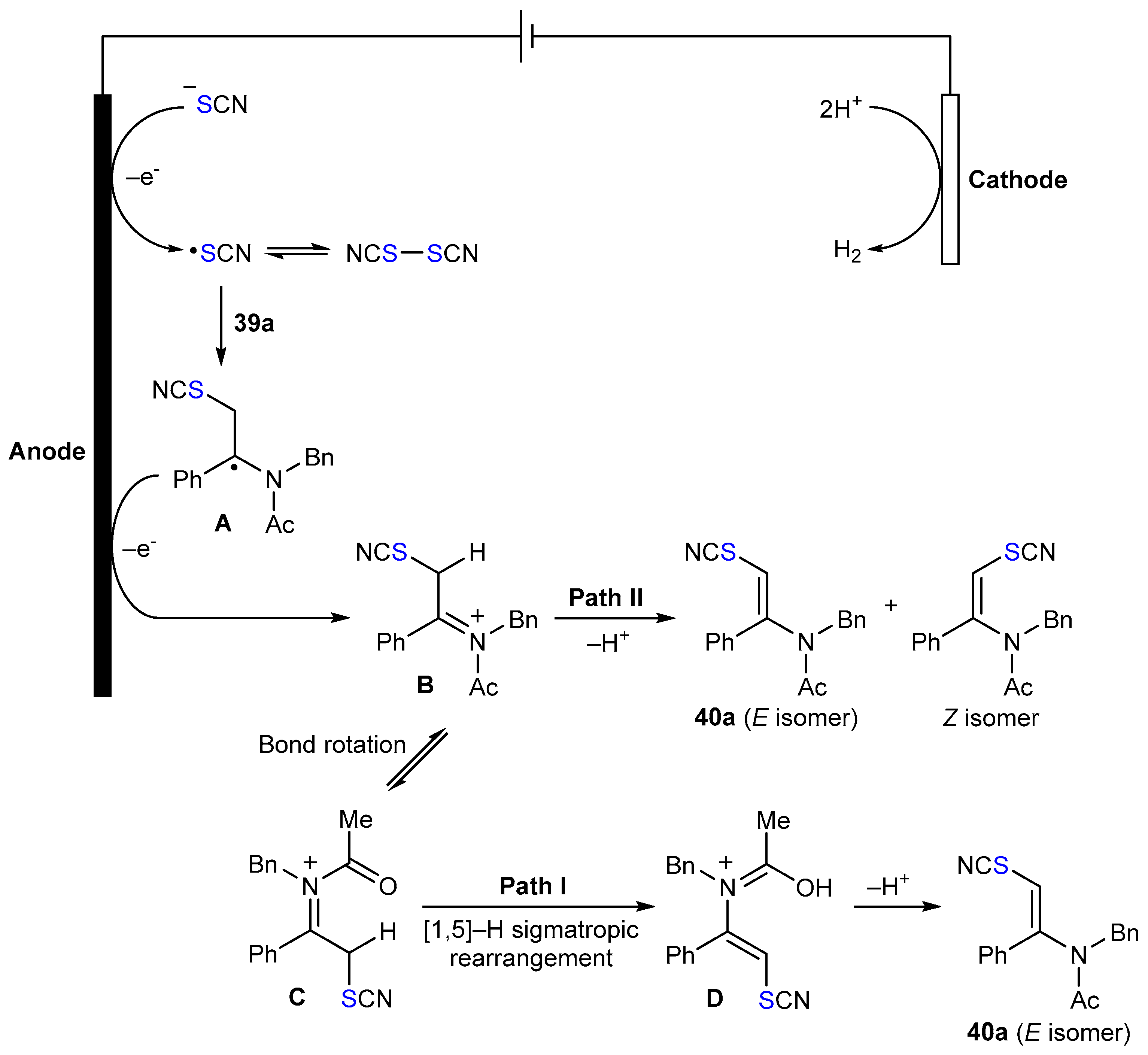
The electrochemical oxidative thio(seleno)cyanation of enamides 39 (R2 = CO-alkyl) to prepare fully substituted (E)-β-thio(seleno)cyanated enamides 40/41 was designed to afford these products in moderate-to-high yields with exclusive regio- and stereo-selectivity (Scheme 7) [45]. This electrochemical approach utilized LiBF4 as the electrolyte in an undivided cell, with a C plate as the anode and an Fe plate as the cathode, under a constant current of 20 mA at room temperature. Mechanistic study unveiled that the exclusive E-stereoselectivity occurred via a [1,5]-H sigmatropic rearrangement. Synthetic applicability of the method was demonstrated through Pd-catalyzed annulation reactions for preparing benzo[b]thiophene 42 and benzo[b]selenophene 43 in 50% and 46% yields, respectively.
Scheme 7.
Electrochemical oxidative regio- and stereo-selective thio(seleno)cyanation of enamides 39.
The proposed mechanism for the electrochemical oxidative thiocyanation of enamides is shown in Scheme 8. The anodic oxidation of NH4SCN generates an ∙SCN radical, which adds to enamide 39a (R = Ph, R1 = Ac, R2 = Bn), resulting in the formation of intermediate A. The observed stereoselectivity can be explained by two possible pathways. Notably, intermediates B and C are rotational isomers that can interconvert by bond rotation. In path I, intermediate C undergoes a [1,5]-H sigmatropic rearrangement to form intermediate D, which subsequently deprotonates to yield the exclusive E isomer 40a. In path II, deprotonation of intermediate B leads to the formation of the E isomer 40a. The exclusive formation of the E isomer with acyclic enamides is likely due to the preference of path I over path II [45].
Scheme 8.
Plausible mechanism for electrochemical oxidative thiocyanation of enamides 39.
The reaction described in Scheme 7 requires pre-installed halogenated functional groups, transition-metal catalysts, and strong redox reagents to obtain functionalized benzothiophenes 42 and benzoselenophenes 43. An alternative approach has been reported utilizing more environmentally friendly reaction conditions, without isolation of the enamides 40/41. The synthesis of benzothiophenes 42 involved a two-step process. In the first step, DMF and Rongalite were used to obtain a disulfide intermediate. Subsequently, the disulfide was treated with I2 and Na2CO3 under heating in toluene, to afford the desired products 42 in 50–77% yields. In the case of heterocyclic products 43, the reaction was carried out in the presence of atmospheric oxygen in DMSO, resulting in 22 derivatives with yields ranging from 39 to 80%, as shown in Scheme 9 [46].
Scheme 9.
Electrochemical oxidative thio(seleno)cyanation of enamides 39 in the presence of atmospheric oxygen.
A photoredox-catalyzed intermolecular Meerwein-type arylthio- and selenocyanation of alkenes was reported, resulting in a series of vicinal aryl-substituted alkyl thio- and selenocyanates 45 and 46, employing aryl diazonium salts 44 as arylating agents and NH4SCN/KSeCN as thio- and selenocyanation reagents [47]. Reactions proceeded in the presence of a Ru-based catalyst under blue LED light irradiation in acetonitrile (Table 2).
Table 2.
Synthesis of vicinal thio-/selenocyanates 45/46 by a photoredox-catalyzed intermolecular Meerwein arylthio- and selenocyanation of alkenes 28.
The synthetic utility of the resulting products was demonstrated by the Pd-catalyzed coupling reaction of 45t with phenyl acetylene, affording the trisubstituted alkene 47t in 83% yield, via cleavage of the sulfur−cyano bond of SCN functionality (Scheme 10). Additionally, treatment of 45u with TMSCF3 in the presence of Cs2CO3 afforded the SCF3 derivative 48u of biological interest in 63% yield.
Scheme 10.
Pd-catalyzed coupling reaction of thiocyano derivative 45t with phenyl acetylene and Cs2CO3-mediated reaction of thiocyano derivative 45u with TMSCF3.
Recent investigations have revealed an efficient thio(seleno)cyano-difluoroalkylation reaction involving three-component systems that utilize alkenes 28 and ethyl bromodifluoroacetate 49 in a solvent mixture of N,N-dimethylformamide and 1,4-dioxane. This reaction was carried out under blue LED irradiation using iridium (or ruthenium) complexes as photocatalysts and resulted in the formation of the cyano derivatives 50 and 51 with yields ranging from 26 to 69% and from 22 to 69%, respectively, as shown in Scheme 11. Subsequently, the SCN functionality was converted to thiotetrazole 52 in 67% yield by treating 50 (R = Br) with NaN3 and ZnCl2. In addition, the phosphate analog 53 was prepared in 63% yield by reacting 50 (R = Br) with diethyl phosphonate in the presence of DBU [48].
Scheme 11.
Synthesis of thio- and selenocyano derivatives 50/51 from an iridium-mediated three-component thio(seleno)cyano-difluoroalkylation reaction.
2.2. Transition-Metal-Free Synthesis of Thio/Seleno Derivatives
2.2.1. Selenocyanation Reactions
The umpolung selenocyanation of ketone derivatives 54 (e.g., aryl ketones, alkyl ketones, as well as cyclic and acyclic β-ketoesters) using the KSeCN-NaNO2-HCl system in acetonitrile at room temperature resulted in diverse α-carbonyl selenocyanates 56 in 32–99% yields (Scheme 12) [49]. The same procedure was employed for electron-rich arenes 55, resulting in arylselenocyanates 57 in 27–99% yields. Despite its simplicity, efficiency, and cost-effectiveness compared to previous methods, this approach necessitates extended reaction times. The practical application of the protocol was evidenced through a gram-scale reaction, along with the successful conversion of 1-methoxy-2-methyl-4-selenocyanatobenzene 57 to diselenide 58 in a potassium hydroxide solution in methanol at room temperature.
Scheme 12.
Oxidative umpolung selenocyanation of ketone derivatives 54 and electron-rich arenes 55.
It has been shown that ionic liquids (ILs) bearing SeCN counterion may be employed as a reagent for nucleophilic selenocyanation. In this context, a solvent-free selenocyanation reaction involving diverse alkyl bromides 59 and 1-butyl-3-methylimidazolium selenocyanate [bmim][SCN] 60 was developed. The reaction took place under microwave irradiation, leading to the formation of selenocyanates 61 in 34–99% yields (Scheme 13) [50]. The resulting selenocyanates 61 were then successfully converted to trifluoromethyl, bromodifluoromethyl, and pentafluoroethylselenides 62 in 58–98% yields (Scheme 13).
Scheme 13.
Solvent-free selenocyanation of alkyl bromides 59 with [bmim][SeCN] 60.
The selenocyanation of ketene dithioacetals has so far received limited attention. In this juncture, a transition-metal-free selenocyanation reaction involving acyclic and cyclic ketene dithioacetals 63 with SeO2 and malononitrile 64 was carried out in DMSO, forming the selenocyanated products 65 in 91–99% yields (Scheme 14) [51]. A further transformation was performed to underscore the utility of the resulting selenocyanated products. Thus, treatment of product 65 with TMSCF3 in the presence of Cs2CO3 in acetonitrile at room temperature gave the trifluoromethylselenated product 66 (R = Me, R1 = Ph) in 90% yield.
Scheme 14.
Transition-metal-free selenocyanation of ketene dithioacetals 63 using malononitrile 64 and SeO2.
A three-component strategy involving the selective ring-opening selenocyanation of strained three-membered rings to five-membered rings 67 was developed by using elemental selenium and TMSCN in isopropanol, resulting in the production of β to δ-hydroxy selenocyanates 68 (32–89%) and β to γ-amino selenocyanates 69 (25–89%) under catalyst- and additive-free conditions (Scheme 15) [52]. The synthetic utility of the aliphatic selenocyanate 68 was demonstrated by its conversion into diselenide 70 and SeCF3-containing cyclohexanol 71 in 85% and 75% yields, respectively.
Scheme 15.
Selective ring-opening selenocyanation of heterocycles 67 with elemental selenium and TMSCN.
The synthesis of a novel electrophilic selenocyanation reagent, N-selenocyanato-dibenzenesulfonimide (Scheme 16), was reported [53], and subsequently its reactivity was investigated for various electrophilic selenocyanation reactions of nucleophiles. For instance, the selenocyanation of aniline, phenol, and anisole derivatives 55 with N-selenocyanato-dibenzenesulfonimide 72 in ACN at room temperature resulted in the formation of selenocyanated products 57 in 54–95% yields. Similarly, the selenocyanation of indoles, benzothiophene, and thiophene 73 furnished the mono-selenocyanated products 74 in 56–98% yields. Finally, the intramolecular tandem selenocyanation/cyclization reaction of γ-substituted 2-allylphenols 75 or β-substituted 2-allylphenols 77 led to the formation of selenocyanated chromans 76 or dihydrobenzofurans 78, respectively, in acceptable yields and with excellent diastereoselectivity under mild conditions.
Scheme 16.
N-Selenocyanato-dibenzenesulfonimide 72 as a new electrophilic selenocyanation reagent.
A visible-light-induced decarboxylative selenocyanation reaction of aliphatic carboxylic acids 79 and 80 was performed using N-selenocyanatophthalimide (PhthSeCN) as SeCN radical transfer reagent, with the pyrylium salt 81 as a photocatalyst in 1,2-dichloroethane at room temperature under an argon atmosphere (Scheme 17) [54]. This approach led to the formation of alkyl selenocyanates 82 and 83 with yields in the 32–84% and 42–88% range, respectively, under transition-metal and oxidant-free conditions. The SeCN group was then transformed into the trifluoromethylselenated product 84 in 63% yield by treatment with TMSCF3 and CsF in DMF. Furthermore, the CuI-catalyzed selenoalkynylation of the SeCN group with 4-chlorophenylacetylene in the presence of Cs2CO3 in ACN produced alkynyl selenide 85 in 82% yield.
Scheme 17.
Photocatalytic decarboxylative selenocyanation of 2-aryloxy and 2-aryl carboxylic acids 79/80 with N-selenocyanatophthalimide.
There is increasing interest in organoselenide derivatives due to their utility in synthesis [55] and biology [56]. In this connection, a one-pot and metal-free protocol for the synthesis of unsymmetrical organoselenides 90–92 was developed, via alkylation, arylation, or alkynylation of selenium anions derived from the key arylselenocyanated intermediates 57 [57]. The first step in the process involves the arylation of potassium selenocyanate with the iodonium reagents 86 (electrophile 1) in AcOEt, affording the arylselenocyanates 57 in 84–95% yields. Subsequently, the synthetic utility of 57 was demonstrated after reduction with NaBH4 in the presence of a second iodonium reagent, like salts 87–89 (electrophile 2), to produce the desired aryl-selenide products 90–92 in 68–94% yields, as shown in Table 3.
Table 3.
Iodonium-mediated synthesis of unsymmetrical organoselenides 90–92.
Expanding the scope of the above protocol pointed to the synthesis of selenoglycosides 94 with varied electronic properties for potential use in glycosylation reactions [57]; a representative set of arylselenocyanates 57 was prepared from the iodonium reagents 86 (electrophile 1), as shown in Scheme 18. Subsequently, reduction of 57 in the presence of peracetylated α-glucosyl and α-galactosyl bromides 93 (electrophile 2) instead of a second iodonium salt afforded the expected arylselenoglycosides 94 in 58–85% yields as their β-anomers in all cases. This latter finding suggests that the second step of this procedure involves an SN2 pathway, resulting in the inversion of configuration, as shown in Scheme 18.
Scheme 18.
Iodonium-mediated synthesis of unsymmetrical selenoglycosides 94.
An I2-mediated procedure was designed for the synthesis of styrenyl selenocyanates 96 in 45−76% yields from the reaction of styrenyl bromides 95 with KSeCN in DMSO, as shown in Table 4 [58].
Table 4.
I2-mediated synthesis of styrenyl selenocyanates 96 and their subsequent transformation into benzoselenophenes 97.
Interestingly, when styrenyl bromides contained electron-releasing substituents (X) (i.e., 95 and 98a–d), and under prolonged heating and longer reaction times, the corresponding benzoselenophenes 97 and 99–106, which are of practical significance, were isolated as unique products in a one-pot fashion, as shown in Table 4 and Scheme 19 (for X = R, R1, R2, R3) [59,60].
Scheme 19.
I2-mediated synthesis of benzoselenophenes 99–106 from prolonged heating of styrenyl bromides 98 with KSeCN.
An eco-friendly three-component functionalization of alkynes 107 was reported for the regioselective synthesis of a varied series of Z-vinyl selenolates 108 in 78–96% yields, as shown in Table 5, by stirring a mixture of alkynes 107 and KSeCN in deep eutectic solvent (DES) choline chloride/glycolic acid (ChCl/glyCO2H, 1:2) under ultrasonic irradiation (USI) [61]. A mechanistic sequence proposed for this DES-catalyzed selenocyanation process suggests that the added water to the reaction is the source of the new hydrogen atoms present in products 108. Additionally, a series of control experiments showed that the DES system could be reused in up to five consecutive runs without significant loss, generating in all cases the Z-isomer as major product.
Table 5.
Synthesis of Z-vinyl selenolates 108 from a USI-mediated three-component reaction using ChCl/glyCO2H as catalytic system.
The Z-3-selenocyanatoacrylates 108 are considered as important selenium-containing compounds with practical applications [62,63]. In this connection, and in continuation of their DES (ChCl/glyCO2H)-catalyzed selenocyanation of the activated alkynes 107, the same research group reported an alternative way to perform these reactions: in lactic acid acting both as a reusable catalyst and reaction medium, instead of the non-commercial (ChCl/glyCO2H) mixture [64]. This protocol afforded the expected products 108 in excellent yields, as shown in Table 6, without producing chemical wastes after the purification process, in addition to higher regioselectivity—exclusively generating the Z-isomer—and reusability in up to five consecutive runs without significant loss.
Table 6.
Synthesis of Z-3-selenocyanatoacrylates 108 from a USI-mediated three-component reaction using lactic acid as catalyst.
Focusing on transition-metal-free ipso-functionalization of arylboronic acids, as a way to form new carbon–heteroatom bonds (C–X) in aromatic compounds [65], a metal-free procedure for the ipso-selenocyanation of diversely substituted arylboronic acids 109 was developed. The reaction utilized selenium dioxide and malononitrile 64 and mild conditions to furnish the respective selenocyanated products 57 in acceptable-to-excellent yields, as shown in Table 7. The practical utility of products 57 was demonstrated by treatment of a sub-set of these compounds, without isolation, with KOH (two equiv.) under heating to furnish the corresponding diaryldiselenide derivatives 58 in 57–75% yields [66].
Table 7.
An ipso-selenocyanation of arylboronic acids 109 and subsequent transformation leading to diaryldiselenides 58.
In another study, a mechanochemical method was developed in order to synthesize (hetero)aryl selenocyanates from arenes and heteroarenes using the electrophilic selenocyanating reagent PhthSeCN. This protocol enabled the production of the selenocyanate 111 in 76% yield under ball milling, as shown in Scheme 20. The synthetic utility of the method was demonstrated by the facile synthesis of organoselenium derivatives. For example, the trifluoromethylselenylated indoline 112 was obtained in 58% yield by treating selenocyanate 111 with (trifluoromethyl)trimethylsilane (TMSCF3) in the presence of tetrabutylammonium fluoride (TBAF) in THF. Furthermore, selenocyanate 111 was converted to diarylselenide 113 in 96% yield by using PhMgBr as a Grignard reagent, as shown in Scheme 20 [67].
Scheme 20.
A mechanochemical synthesis of (hetero)aryl selenocyanates 111 from arenes/heteroarenes 110, mediated by the electrophilic selenocyanating reagent PhthSeCN.
An interesting method for the cyclization of electrophilic selenocyanogens to obtain benzofurylselenocyanates, benzothienylselenocyanates, and indolylselenocyanates was developed by employing AgSeCN, NCS, and Et2O∙BF3 in ACN at room temperature. This method afforded selenocyanates 115 with yields ranging from 32% to 94%. Subsequently, selenocyanate 115 (Y = O, R = Ph) was coupled with phenylacetylene and TMSCF3 to obtain the benzofuran derivatives 116 and 117 in 83% and 65% yield, respectively, as shown in Scheme 21 [68].
Scheme 21.
The NCS-mediated synthesis of selenocyanates 115 by intramolecular cyclization of arylacetylenes 114 in the presence of AgSeCN and coupling with phenylacetylene and TMSCF3.
In response to the growing interest in the development of eco-friendly light-mediated technologies in organic synthesis, an alternative method for the synthesis of α-carbonyl selenocyanates 119 via the reaction of triselenium dicyanide (TSD) 118 with styrenes 28 under blue light irradiation and O2 atmosphere was reported. This new approach provided a series of α-carbonyl selenocyanate derivatives in 47–90% yields. Subsequently, the selenocyanates 119 were employed as synthetic platforms to prepare 2-arylimidazo[1,2-a]pyridine derivatives 121 through a multicomponent process. For this purpose, 2-aminopyridines 120, styrene 28 and TSD 118 were subjected to the established reaction conditions affording products 121 in acceptable-to-good yields, as shown in Scheme 22 [69].
Scheme 22.
LED-mediated synthesis of α-carbonyl selenocyanates 119 from the reaction of triselenium dicyanide 118 with styrenes 28.
The proposed mechanism for the synthesis of products 121 begins with the absorption of blue light by triselenium dicyanide 118, leading to the formation of NCSe radicals II and elemental selenium, as shown in Scheme 23. These radicals react with styrene to form the radical intermediate III, which reacts with oxygen to form peroxyl radicals IV. The peroxyl radicals are converted to alkoxy radicals V and then to benzyl radicals VI, which are oxidized to the stable benzyl carbocation intermediate VII, which undergoes deprotonation to give α-carbonyl selenocyanates 120. In addition, α-carbonyl selenocyanates react with 2-aminopyridines by an SN2 reaction to give the pyridinium salt intermediate VIII, which is converted to intermediate IX by ionic annulation. Finally, deprotonation by the SeCN− anion gives intermediate X, which is converted to product 121 by dehydration [69].
Scheme 23.
Plausible mechanism for the photochemical selenocyanation of olefins 28 and subsequent cyclization to form heterocyclic compounds 121.
Given the wide application and bioactivity of pyrazole, uracil, and selenoethers, a method for the synthesis of compounds containing selenocyanates and selenoethers linked to pyrazole or uracil was recently reported. This procedure involved a three-component reaction of amino-pyrazoles 122 or amino-uracil derivatives 125 with malononitrile 64 and selenium dioxide in DMSO. This approach afforded, in a one-pot fashion, the selenoethers 124 and 127 in 71–75% and 69–73% yields via the selenocyanate intermediates 123 and 126, respectively, as shown in Scheme 24. Furthermore, treatment of selenocyanates 123 with phenylacetylenes 128 in the presence of Cs2CO3/CuI as catalysts afforded the alkyne-selenoethers 129 in 65–75% yields [70].
Scheme 24.
SeO2-mediated three-component synthesis and chemical transformation of pyrazolylselenocyanate intermediates 123.
The synthesis of some steroidal selenocyanate derivatives by direct selenocyanation of pregnenolone 130 and estradiol 133 using an oxidative selenocyanation strategy was reported [71]. The selenocyanation of pregnenolone 130 was performed by its treatment with KSeCN in the presence of sodium nitrite and HCl, leading to the formation of the selenocyanated products 131 and 132. A selenocyanate group was also added to the two-position of 3-methoxyestradiol 133 by following the aforementioned method to give derivative 134, as shown in Scheme 25. The antiproliferative activity of the synthesized selenocyanated compounds was evaluated in a variety of tumor cell lines (PC-3, Sk-Ov-3, T47-D, MCF-7, HEK-293T and HeLa). Compound 132 showed cytotoxicity against HEK-293 with an IC50 (half-maximal inhibitory concentration) value of 7.3 μM. However, compound 131 did not show cytotoxicity against the cell lines tested, while compound 134 showed inhibitory effects against HeLa cells with an IC50 value of 17.3 μM [71].
Scheme 25.
NaNO2-mediated synthesis of steroidal selenocyanates 131/132/134 by a direct oxidative selenocyanation of pregnenolone 130 and estradiol 133.
Another recent synthetic route for the construction of the 2-amino-1,3-selenazole skeleton 137 was reported [72]. This method involved PhICl2/KSeCN-mediated electrophilic selenocyanation of β-enaminones and β-enamino esters 135, affording the key selenocyano intermediates 136 without isolation. Subsequently, the intramolecular cyclization of 136 under basic conditions generated a wide range of products 137 in 70–90% yields, as shown in Scheme 26. This approach contrasts with traditional methods, such as the Hantzsch synthesis, which typically requires selenourea or selenoamide as precursors. Instead, this procedure uses selenocyanate salt as a source of both selenium and nitrogen atoms, offering a more direct and accessible route to the desired selenazoles 137.
Scheme 26.
PhICl2/KSeCN-mediated synthesis of the 2-amino-1,3-selenazoles 137 from electrophilic selenocyanation of β-enaminones and β-enamino esters 135.
2.2.2. Combined Thio- and Selenocyanation Reactions
A visible-light-promoted trifluoromethyl thiocyanation of alkenes 28 using a mixture of Umemoto reagent II 138 and NH4SCN was developed. Reaction took place under irradiation with a blue LED (450 nm) in acetonitrile at room temperature, yielding the thiocyanated products 45 in 42–93% yields (Scheme 27) [73]. The trifluoromethyl-thiocyanation protocol was efficiently applied to styrenes, unactivated alkenes, acrylates, and complex organic molecules derived from estrone and clonixin. The same method was employed for the synthesis of trifluoromethyl-selenocyanated compounds 46 in 41–61% yields, using KSeCN under the optimized conditions. These protocols utilize the stable Umemoto reagent II as the CF3 source and inexpensive NH4SCN (KSeCN) as the thio(seleno)cyanating reagent, exhibit good functional group tolerance (with respect to the alkene), and require no additives and no transition metals. The study explored the conversion of indoline-containing thiocyanate into sulfur-containing frameworks. For instance, the SCN group in 45a (R = N-trimethylenylphthalimidyl, R1 = R2 = H) was converted into trifluoromethylthiolate 139 in 77% yield using TMSCF3 and Cs2CO3 in acetonitrile at room temperature. In addition, the SCN group was also transformed into phosphonothioate 140 in 43% yield, using Ph2P(O)H and DBU (5 mol%) in toluene at room temperature.
Scheme 27.
Visible-light-promoted trifluoromethyl-thio(seleno)cyanation of alkenes 28.
Pyrrolo[1,2-a]quinoxalines are widely recognized in medicinal chemistry for their diverse range of biological activities, and various methods for their synthesis have been documented [74,75]. In a recent study [76], an efficient NCS-promoted selenocyanation of pyrrolo[1,2-a]quinoxalines 141 utilizing KSeCN in EtOAc or ACN at room temperature afforded 1-selenocyanatopyrrolo[1,2-a]quinoxalines 142 in 38–72% yields (Scheme 28). Employing a similar strategy, the NCS-promoted thiocyanation of pyrrolo[1,2-a]quinoxalines 141 in the presence of NH4SCN or KSCN led to the formation of diverse 1-thiocyanatopyrrolo[1,2-a]quinoxalines 143 in 29–90% yields. Subsequently, 1-selenocyanatopyrrolo[1,2-a]quinoxaline 142a (R = R1 = H) and 1-thiocyanatopyrrolo[1,2-a]quinoxaline 143a (R = R1 = H) were utilized as building blocks for the synthesis of functionalized pyrrolo[1,2-a]quinoxaline derivatives (Scheme 28). For instance, treatment of product 142a with phenylacetylene in the presence of a catalytic mixture of Cu(OAc)2 and Ag2CO3 resulted in the formation of selenide 144 in 44% yield. Additionally, subjecting product 143a to concentrated sulfuric acid facilitated its transformation into pyrrolo[1,2-a]quinoxaline-1-thiol 145 in 84% yield. Moreover, the reaction of product 143a with TMSCF3 mediated by Cs2CO3 afforded 1-((trifluoromethyl)thio)pyrrolo[1,2-a]quinoxaline 146 in 45% yield.
Scheme 28.
NCS-promoted selenocyanation and thiocyanation of pyrrolo[1,2-a]quinoxalines 141.
There are limited reported studies aimed at the development of novel electrophilic selenocyanating agents for the synthesis of selenocyanates. In this juncture, the N-selenocyanatophthalimide (PhthSeCN) has shown promise as an efficient reagent for the selenocyanation of enaminones 147, containing 2-hydroxyphenyl- or 2-aminophenyl groups, to furnish the 3-selenocyanato chromones or quinolinones 148, respectively, in 55–91% yields under solventless (grinding) conditions (Scheme 29) [77]. Following a similar approach, the thiocyanation of enaminones 147 with PhthSCN gave the thiocyanated products 149 in 77–92% yields. The noteworthy features of the process are the absence of solvents, metal salts, and oxidizing agents. The efficacy of the method was demonstrated by the conversion of 3-selenocyanato chromone 148 into 3-(phenylselanyl)chromone 150 and diselenide 151 in 61% and 74% yields, respectively.
Scheme 29.
Synthesis of 3-seleno-/3-thiocyanato chromones and quinolinones 148–151 under grinding conditions.
Additionally, a plausible mechanistic sequence for the selenocyanation of the enaminone 147a (R = H, X = O as representative precursor) and the subsequent cyclization process was proposed, as shown in Scheme 30. Firstly, the imine intermediate A is delivered via an electrophilic selenocyanation of compound 147a. Then, species B is formed through intramolecular cyclization, with the subsequent elimination of dimethylamine to afford the expected 3-selenocyanato chromone 148a [77].
Scheme 30.
Proposed mechanism for the grinding-mediated selenocyanation of enaminone 147a with PhthSeCN and the subsequent cyclization to form the 3-selenocyanato chromone 148a.
Synthesis of a series of N-Fmoc-protected amino alkyl thio- and selenocyanates 153 and 154, by thio- and selenocyanation of the corresponding N-Fmoc-protected alkyl iodides 152, has been reported [78]. Thus, the iodide 152 was treated with potassium thiocyanate at reflux in THF in the presence of a catalytic amount of TBAB to afford the expected thiocyanates 153 in 71–94% yields, and the selenocyanates 154 in 86–89% yields, as shown in Table 8. Then, compounds 153 and 154 were subjected to [2 + 3]-cycloaddition with NaN3 catalyzed by ZnBr2 to give the corresponding N-Fmoc-protected amino alkyl S- and Se-linked tetrazoles 155/156 and 157/158, respectively, in good-to-excellent yields, as shown in Table 8.
Table 8.
TBAB-mediated synthesis of N-Fmoc-protected amino alkyl thio-/selenocyanates 153/154 by thio- and selenocyanation of N-Fmoc-protected alkyl iodides 152.
In search of practical methods that could utilize iodine derivatives as catalytic systems, [79] an N-iodosuccinimide (NIS)-based protocol was implemented for seleno- and thiocyanation of electron-rich arenes, such as indole 159 and imidazo[1,2a]pyridine 121 derivatives, to form the corresponding seleno- and thiocyanated derivatives 160 and 161 in 96% and 90% yields, respectively, as shown in Scheme 31. The method utilized aq. tert-butyl hydroperoxide (TBHP) along with NIS in an AcOH/ACN mixture as solvent at ambient temperature. The synthetic utility of products 160 and 161 was then demonstrated by conversion into their corresponding CF3 derivatives 162 and 163 via a reaction with TMSCF3 in the presence of TBAF/THF and Cs2CO3/ACN, as shown in Scheme 31 [79].
Scheme 31.
NIS-based seleno-/thiocyanation of indole 159 and imidazo[1,2a]pyridines 121 to form seleno-/thiocyanated derivatives 160/161.
It is well known that Selectfluor (F-TEDA) is not only a highly versatile electrophilic fluorinating agent but also a versatile oxidant [80,81]. Taking advantage of the latter property, a Selectfluor-mediated oxidative approach for the direct thio- and selenocyanation of diversely substituted indole derivatives 164 was reported. Utilizing this approach, substituted indoles and carbazoles reacted in the presence of NH4SCN or KSeCN salts in ACN at room temperature to furnish the thio-/selenocyano indoles 165/160 and thio-/selenocyanocarbazoles 166/167 in acceptable-to-good yields, as shown in Scheme 32. The practical synthetic utility of compounds 166 and 167 was demonstrated by their conversion into the corresponding S- and Se-tetrazoles 168 and 169, respectively, after treatment with NaN3 in the presence of Cu-Zn alloy nanopowder as a catalyst [82].
Scheme 32.
A Selectfluor-mediated oxidative thio-/selenocyanation of diversely substituted indole derivatives 164.
In an effort to combine the demonstrated biological potential of the organo-thio- and selenocyanated compounds with the antiparasitic properties of the 4-quinolone pharmacophore [83], an alternative transition-metal-free procedure for the synthesis of 3-thio- and selenocyanide derivatives 171 and 172 was reported by the direct C-H bond functionalization of 4-quinolones 170 with NH4SCN and KSeCN reagents, as shown in Table 9. Reaction occurs in the presence of K2S2O8 as an oxidant in DMSO at ambient temperature to furnish the expected 3-thio- and selenocyanated 4-quinolones 171 and 172 in good-to-excellent yields [84].
Table 9.
Transition metal-free synthesis of 3-thio-/selenocyanated quinolones 171/172 by direct C-H bond functionalization of 4-quinolones 170 with NH4SCN and KSeCN reagents.
Compounds 171 and 172 were screened against the Gram-stain-positive (Bacilus subtillis CCM 4062) and Gram-stain-negative (Escherichia coli K12) bacteria. The results showed that products 171f, 172e, 172f, 172g, 172h, 172g, 172j, and 172n inhibited the growth of both bacterial strains, with compound 172e as the most active, as shown in Table 9. The data indicated that, in general, SeCN derivatives 172 displayed higher activity compared to SCN derivatives 171 against both bacterial strains [84].
The synthesis of biologically active S/SeCN-containing isocoumarins 174, 175 using PhICl2/NH4SCN and PhICl2/KSeCN reagents was performed via a process involving the thio- and selenocyanation of o-(1-(1-alkynyl)benzoates 173, followed by an intramolecular lactonization. The conditions that provided the best results included a heated mixture of NH4SCN and PhICl2 in DCE, as shown in Scheme 33. In addition, the corresponding thio- and selenocyanate Xiridines A 174 and 175 (R = -CH2OCH2-, R1 = propyl) were transformed into their -SCF3- and -SeCF3-contained derivatives 176 and 177, respectively, by treatment with TMSCF3 and Cs2CO3 in CAN. Moreover, a [3 + 2] cycloaddition of 174 and 175 (R = -CH2OCH2-, R1 = propyl) with sodium azide was performed to produce Xiridines A containing the thiotetrazole ring 178, 179 in 94% and 96% yields, respectively, as shown in Scheme 33 [85].
Scheme 33.
Synthesis of S/SeCN-containing isocoumarins 174/175 employing PhICl2/NH4SCN and PhICl2/KSeCN as thio-/selenocyanating reagents.
A plausible mechanism proposed for this reaction begins with the formation of the reactive thiocyanogen chloride III, which is produced by the reaction of PhICl2 with thiocyanate, as shown in Scheme 34. The reaction of thiocyanate with III gives (SCN)2 IV which subsequently reacts oxidatively with PhICl2 affording III. An electrophilic addition between III and substrate 173 results in the formation of intermediate V. In addition, the presence of an adjacent electron-withdrawing group (methoxycarbonyl) in V favors its intramolecular 6-exo cyclisation, leading to the formation of the cyclic intermediate VI. Subsequently, a chloride ion promoted the desmethylation of V, affording the corresponding thiocyanated isocoumarins 174 [85].
Scheme 34.
Mechanistic proposal for the synthesis of thiocyanated isocoumarins 174.
The selective trifluoromethylation-based difunctionalization of alkenes 28 using PhICF3Cl as a CF3 agent and NaSCN and KSeCN as a SCN/SeCN source has recently been reported [86]. This method was carried out in an environmentally friendly manner by using water as a solvent under ambient conditions and exhibited high tolerance to different functional groups, enabling the synthesis of various trifluoromethylated thio(seleno)cyanates 45 and 46 in 39−91% yields, as shown in Scheme 35. To demonstrate the synthetic utility of this synthetic approach, several transformations were performed with products 45. First, tetrazole 180 was obtained from 45a (R = N-ethylenylphthalimidyl, R1 = Me, R2 = H) through a click reaction using NaN3 catalyzed by ZnBr2. In addition, thiol 181 was obtained by treating compound 45a with Ph2P(O)H and DBU in toluene at room temperature. Additionally, the thiocarbamate 182 was obtained by hydrolysis of the SCN functionality in 45a under acidic conditions [86].
Scheme 35.
Selective trifluoromethylation-based difunctionalization of alkenes 28 using PhICF3Cl as CF3 source and NaSCN/KSeCN as SCN/SeCN sources.
In an interesting approach, a series of thianthrenium salts 183 were employed in a photo-induced electron transfer process to synthesize the aryl thio- and selenocyanates 184/57. Thus, reaction of 183 with CuSCN or KSeCN in the presence of Na2CO3 under irradiation with purple LEDs (380–390 nm, 24 W) afforded the arylthio- and selenocyanated products 184/57, respectively, in 30–95% yields. To further highlight the versatility of products 184/57, some derivatizations were carried out (Scheme 36). For example, the selenocyanated compound 57b (X = Se) was reacted with the α-carbanion sulfone nucleophile (generated in situ by reaction with DMSO/KOH) to give the sulfonated selenoether 185 in 74% yield. Furthermore, reduction of 57b with sodium borohydride followed by reaction with glycosyl bromide furnished the glycosyl-selenoether 186 in 81% yield, and nucleophilic substitution of aryl thiocyanate 184a (X = S) with Grignard reagents gave sulfides 187 in 80–85% yields. In a further study, the thio- and selenocyanates 184c/57c were reacted with TMSCF3 and separately with NaN3 to give the trifluoromethyl derivatives 188/189 in 73–77% yields and the tetrazolo derivatives 190/191 in 86–94% yields, as shown in Scheme 36 [87].
Scheme 36.
Synthesis of aryl thio-/selenocyanates 184/57 via thianthrenium salt-catalyzed photo-induced electron transfer processes.
In recent studies [88], an organophotocatalyzed three-component approach for the 1,2-difluoroacetyl/alkyl/perfluoroalkylative thio-/selenocyanation of styrene derivatives was reported. The method operates under mild, redox-neutral conditions without the need for transition metals, oxidants or additives. Reaction was carried out starting from a mixture of styrenes 28, sodium or selenium thiocyanate and the bromo reagents 192 and 194, catalyzed by 4CzIPN under blue LED irradiation to afford the thio- and selenocyanated products 193 and 195 in 59–89% and 52–81% yields, respectively, as shown in Scheme 37. A wide range of applicability was demonstrated over various primary, secondary and tertiary alkyl bromides 192/194, as well as with aliphatic and aromatic alkenes [88].
Scheme 37.
Organophotocatalyzed 1,2-difluoroacetyl/alkyl/perfluoroalkylative thio-/selenocyanation reactions of styrene derivatives 28.
An electrophilic selenocyanation method for heterocycles was developed as a convenient strategy for the direct selenocyanation of pyrazole compounds [89]. In this regard, 4-thiocyanated pyrazoles 197 and 4-selenocyanated pyrazoles 198 were synthesized in 40–93% and 42–90% yields, respectively, by reacting 4-unsubstituted pyrazoles 196 with NH4SCN/KSeCN as thio-/selenocyanogen sources in toluene solvent with PhICl2 as the hypervalent iodine oxidant (Scheme 38). The synthetic utility of the obtained 4-thio-/selenocyanated pyrazoles 197/198 was demonstrated by reacting the representative derivatives (197–198)a with TMSCF3 in the presence of Cs2CO3 to afford the corresponding SCF3- and SeCF3-containing products 199a and 200a in 63% and 60% yields, respectively. Additionally, the same precursors could be transformed into the thiomethyl- and selenomethyl-substituted pyrazoles 201a and 202a in 56% and 62% yields, respectively, by treatment with MeMgBr in THF.
Scheme 38.
PhICl2-metal-free-promoted direct thio-/selenocyanation of pyrazoles 196 using NH4SCN/KSeCN as thio-/selenocyanogen sources.
Moreover, a plausible mechanism for the selenocyanation of pyrazoles 196 was proposed via a three-step sequence, as shown in Scheme 39. Specifically, this metal-free approach was postulated to involve the in situ generation of the key reactive selenocyanogen chloride (Cl–SeCN) (A) from the reaction of PhICl2 with KSeCN, followed by an electrophilic selenocyanation of the pyrazole skeleton 196 with A to afford products 198, as shown in Scheme 39 [89].
Scheme 39.
Mechanistic proposal for the synthesis of selenocyanated pyrazoles 198.
3. Summary and Future Outlook
We have presented and discussed new approaches for the synthesis of organic thio- and selenocyanated (SCN and SeCN) compounds, with and without the use of transition metals, employing a wide variety of reagents and catalysts. We also examined various methods to incorporate the SCN and SeCN moieties into a vast number of more complex structures including heterocyclic and polycylic derivatives such as chromones or quinolinones, as well as protocols that convert the SCN and SeCN moieties into thio and seleno derivatives by transforming the cyano group. Several SCN and SeCN compounds synthesized by these methods proved to possess anti-bacterial, anti-inflammatory or anti-carcinogenic activity. Introduction of new reagents such as N-selenocyanato-dibenzenesulfonimide and N-fluoro-alkylsulfonamide derivatives offer new opportunities for further developments. Moreover, organophotocatalyzed reactions employing LED lights (blue or purple) promise to open new possibilities to enhance the utility of thio- and selenocyanated compounds.
Author Contributions
K.K.L. conceived the project and worked with R.A., D.I. and J.-C.C. through various stages of manuscript preparation, including organization/development, writing/rewriting, reviewing, and editing. R.A. constructed the project, organized the material, and wrote various drafts of the manuscript with D.I. and J.-C.C. R.A., D.I. and J.-C.C. performed the literature searches, assembled the references, and prepared the graphics and tables. All authors have read and agreed to the published version of the manuscript.
Funding
This research received no external funding.
Institutional Review Board Statement
Not applicable.
Informed Consent Statement
Not applicable.
Data Availability Statement
Not applicable.
Acknowledgments
D.I. would like to thank the Universidad del Norte for their partial financial support of this work. R.A. would like to thank Minciencias, the Universidad del Valle, and CIBioFi for partial financial support. J.-C.C. acknowledges the support of Universidad Pedagógica y Tecnológica de Colombia (Project SGI 3470).
Conflicts of Interest
The authors declare no conflicts of interest.
Abbreviations
| AChE | Acetylcholinesterase |
| bmim | 1-Butyl-3-methylimidazolium |
| Boc | tert-Butyloxycarbonyl protecting group |
| bpy | 2,2′-Bipyridine ligand |
| CD rats | Caesarean-derived Sprague Dawley rat |
| ChCl | Choline chloride |
| CRC | Colorectal cancer |
| 4CzIPN | 2,4,5,6-tetrakis(9H-carbazol-9-yl) isophthalonitrile (1,2,3,5-Tetrakis(carbazol-9-yl)-4,6-dicyanobenzene) |
| DBU | 1,8-Diazabicyclo(5.4.0)undec-7-ene |
| DES | Deep eutectic solvent |
| dtbpy | 4,4′-Di-tert-butyl-2,2′-dipyridyl ligand |
| EWG | Electron-withdrawing group |
| fac-Ir(ppy)3 | fac-Tris(2-phenylpyridine)iridium |
| 5-FU | 5-Fluorouracil |
| hCAs | Human carbonic anhydrase |
| IC50 | Half maximal inhibitory concentration |
| ILs | Ionic liquids |
| LED | Light emitting diodes |
| mCPBA | meta-Chloroperoxybenzoic acid |
| MWI | Microwave irradiation |
| NCS | N-Chlorosuccinimide |
| N-Fmoc | Fluorenylmethyloxycarbonyl protecting group |
| NIS | N-Iodosuccinimide |
| NMP | N-Methyl-2-Pyrrolidone |
| NSAID | Nonsteroidal anti-inflammatory drugs |
| o-XSC | 1,2-Phenylenebis(methylene)selenocyanate |
| PEG 600 | Polyethylene glycol 6000 |
| Phen | 1,10-Phenanthroline ligand |
| PhthSCN | N-thiocyanatophthalimide |
| PhthSeCN | N-selenocyanatophthalimide |
| ppy | 2-Phenylpyridine |
| Rongalite | Sodium hydroxymethanesulfinate |
| Selectfluor (F-TEDA) | 1-Chloromethyl-4-fluoro-1,4-diazoniabicyclo [2.2.2]octane bis(tetrafluoroborate) |
| TBAB | Tetrabutylammonium bromide |
| TBAF | Tetra-n-butylammonium fluoride |
| TBAI | Tetrabutylammonium iodide |
| TBHP | tert-Butyl hydroperoxide |
| TMSCF3 | Trifluoromethyltrimethylsilane |
| TMSCN | Trimethylsilyl cyanide |
| Ts | Tosyl group |
| TSD | Triselenium dicyanide |
| TTSO | Thianthrene S-oxide |
| USI | Ultrasound irradiation |
References
- Karmaker, P.G.; Huo, F. Organic selenocyanates: Rapid advancements and applications in the field of organic chemistry. Asian J. Org. Chem. 2022, 11, e202200226. [Google Scholar] [CrossRef]
- Hassanpour, A.; Ghavidelaghdam, E.; Ebadi, A.G.; Poor Heravi, M.R.; Vessally, E. Progress and recent trends in the direct selenocyanation selenocyanation of (hetero)aromatic C-H bonds. RSC Adv. 2021, 11, 22305–22316. [Google Scholar] [CrossRef] [PubMed]
- Narajji, C.; Karvekar, M.D.; Das, A.K. Biological importance of organoselenium compounds. Indian J. Pharm. Sci. 2007, 69, 344–351. [Google Scholar] [CrossRef]
- Karmaker, P.G.; Md Alam, A.; Huo, F. Recent advances in photochemical and electrochemically induced thiocyanation: A greener approach for SCN-containing compound formation. RSC Adv. 2022, 12, 6214–6233. [Google Scholar] [CrossRef]
- Ali, W.; Álvarez-Pérez, M.; Marć, M.A.; Salardón-Jiménez, N.; Handzlik, J.; Domínguez-Álvarez, E. The anticancer and chemopreventive activity of selenocyanate-containing compounds. Curr. Pharmacol. Rep. 2018, 4, 468–481. [Google Scholar] [CrossRef]
- Gao, M.; Vuagnat, M.; Chen, M.-Y.; Pannecoucke, X.; Jubault, P.; Besset, T. Design and use of electrophilic thiocyanating and selenocyanating reagents: An interesting trend for the construction of SCN- and SeCN-containing compounds. Chem. Eur. J. 2021, 27, 6145–6160. [Google Scholar] [CrossRef]
- Buttard, F.; Besset, T. Emergent strategies for catalytic enantioselective direct thiocyanation and selenocyanation reactions. SynOpen 2023, 7, 117–120. [Google Scholar] [CrossRef]
- Peng, L.; Hu, Z.; Wang, H.; Wu, L.; Jiao, Y.; Tang, Z.; Xu, X. Direct cyanation, hydrocyanation, dicyanation and cyanofunctionalization of alkynes. RSC Adv. 2020, 10, 10232–10244. [Google Scholar] [CrossRef]
- Tlili, A.; Ismalaj, E.; Glenadel, Q.; Ghiazza, C.; Billard, T. Synthetic approaches to trifluoromethylselenolated compounds. Chem. Eur. J. 2018, 24, 3659–3670. [Google Scholar] [CrossRef]
- Saroha, M.; Swami, R.; Singh, B.; Kumar, A.; Tomar, D. Selenium dioxide as a selenylating reagent: An overview and its sanguine future. ChemistrySelect 2023, 8, e202303071. [Google Scholar] [CrossRef]
- Bijian, K.; Wernic, D.; Nivedha, A.K.; Su, J.; Lim, F.P.L.; Miron, C.E.; Amzil, H.; Moitessier, N.; Alaoui-Jamali, M.A. Novel aurora A and protein kinase C (α, β1, β2, and θ) multitarget inhibitors: Impact of selenium atoms on the potency and selectivity. J. Med. Chem. 2022, 65, 3134–3150. [Google Scholar] [CrossRef] [PubMed]
- Pham, A.T.; Ichiba, T.; Yoshida, W.Y.; Scheuer, P.J.; Uchida, T.; Tanaka, J.-I.; Higa, T. Two marine sesquiterpenethiocyanates. Tetrahedron Lett. 1991, 32, 4843–4846. [Google Scholar] [CrossRef]
- Yasman, Y.; Edrada, R.A.; Wray, V.; Proksch, P. New 9-thiocyanatopupukeanane sesquiterpenes from the nudibranch Phyllidia varicosa and its sponge-prey Axinyssa aculeata. J. Nat. Prod. 2003, 66, 1512–1514. [Google Scholar] [CrossRef] [PubMed]
- Dutta, S.; Abe, H.; Aoyagi, S.; Kibayashi, C.; Gates, K.S. DNA damage by Fasicularin. J. Am. Chem. Soc. 2005, 127, 15004–15005. [Google Scholar] [CrossRef]
- Fusetani, N.; Wolstenholme, H.J.; Shinoda, K.; Asai, N.; Matsunaga, S.; Onuki, H.; Hirota, H. Two sesquiterpene isocyanides and a sesquiterpene thiocyanate from the marine sponge Acanthella cf. cavernosa and the Nudibranch Phyllidia ocellata. Tetrahedron Lett. 1992, 33, 6823–6826. [Google Scholar] [CrossRef]
- Fernández-Herrera, M.A.; Sandoval-Ramírez, J.; Sánchez-Sánchez, L.; López-Muñoz, H.; Escobar-Sánchez, M.L. Probing the selective antitumor activity of 22-oxo-26-selenocyanocholestane derivatives. Eur. J. Med. Chem. 2014, 74, 451–460. [Google Scholar] [CrossRef]
- Plano, D.; Karelia, D.N.; Pandey, M.K.; Spallholz, J.E.; Amin, S.; Sharma, A.K. Design, synthesis, and biological evaluation of novel selenium (Se-NSAID) molecules as anticancer agents. J. Med. Chem. 2016, 59, 1946–1959. [Google Scholar] [CrossRef]
- Desai, D.; Kaushal, N.; Gandhi, U.H.; Arner, R.J.; D’Souza, C.; Chen, G.; Vunta, H.; El-Bayoumy, K.; Amin, S.; Prabhu, K.S. Synthesis and evaluation of the anti-inflammatory properties of selenium-derivatives of celecoxib. Chem. Biol. Interact. 2010, 188, 446–456. [Google Scholar] [CrossRef]
- Sohn, O.S.; Fiala, E.S.; Upadhyaya, P.; Chae, Y.-H.; El-Bayoumy, K. Comparative effects of phenylenebis(methylene)selenocyanate isomers on xenobiotic metabolizing enzymes in organs of female CD rats. Carcinogenesis 1999, 20, 615–621. [Google Scholar] [CrossRef]
- Szajnman, S.H.; Yan, W.; Bailey, B.N.; Docampo, R.; Elhalem, E.; Rodriguez, J.B. Design and synthesis of aryloxyethyl thiocyanate derivatives as potent inhibitors of Trypanosoma cruzi proliferation. J. Med. Chem. 2000, 43, 1826–1840. [Google Scholar] [CrossRef]
- Israfilova, Z.; Taslimi, P.; Gülçin, İ.; Abdullayev, Y.; Farzaliyev, V.; Karaman, M.; Sujayev, A.; Alwasel, S.H. Some thiocyanate containing heterocyclic compounds: Synthesis, bioactivity and molecular docking study. ChemistrySelect 2023, 8, e202203653. [Google Scholar] [CrossRef]
- Mandolesi Sá, M.; Ferreira, M.; Silva Lima, E.; dos Santos, I.; Puccinelli Orlandi, P.; Fernandes, L. Antimicrobial activity of allylic thiocyanates derived from the Morita-Baylis-Hillman reaction. Braz. J. Microbiol. 2014, 45, 807–812. [Google Scholar] [CrossRef][Green Version]
- Li, Y.; Yang, H.; Ma, Y.; Cao, Y.; Xu, D.; Liu, X.; Xu, G. Discovery of novel pyrazol-5-yl-benzamide derivatives containing a thiocyanato group as broad-spectrum fungicidal candidates. J. Agric. Food Chem. 2023, 71, 17700–17712. [Google Scholar] [CrossRef]
- Capon, R.J.; Skene, C.; Liu, E.H.-T.; Lacey, E.; Gill, J.H.; Heiland, K.; Friedel, T. The isolation and synthesis of novel nematocidal dithiocyanates from an australian Marine sponge, Oceanapia sp. J. Org. Chem. 2001, 66, 7765–7769. [Google Scholar] [CrossRef]
- Banerjee, K.; Padmavathi, G.; Bhattacherjee, D.; Saha, S.; Kunnumakkara, A.B.; Bhabak, K.P. Potent anti-proliferative activities of organochalcogenocyanates towards breast cancer. Org. Biomol. Chem. 2018, 16, 8769–8782. [Google Scholar] [CrossRef]
- Chen, J.; Wang, T.; Wang, T.; Lin, A.; Yao, H.; Xu, J. Copper-catalyzed C5-selective thio/selenocyanation of 8-aminoquinolines. Org. Chem. Front. 2017, 4, 130–134. [Google Scholar] [CrossRef]
- Arkhipova, A.V.; Malkova, K.V.; Sokolova, T.N.; Kartashov, V.R. Synthesis of a new thiocarbamate by the reaction of benzyl thiocyanate with camphene, catalyzed by heteropoly acids. Russ. J. Appl. Chem. 2007, 80, 162–163. [Google Scholar] [CrossRef]
- Lu, X.; Wang, H.; Gao, R.; Sun, D.; Bi, X. Microwave-assisted synthesis of asymmetric disulfides. RSC Adv. 2014, 4, 28794–28797. [Google Scholar] [CrossRef]
- Toste, F.D.; LaRonde, F.; Still, I.W.J. Thiocyanate as a versatile synthetic unit: Efficient conversion of ArSCN to aryl alkyl sulfides and aryl thioesters. Tetrahedron Lett. 1995, 36, 2949–2952. [Google Scholar] [CrossRef]
- Laufer, S.A.; Liedtke, A.J. A concise and optimized four-step approach toward 2-(aryl-) alkylsulfanyl-, 4 (5)-aryl-, 5 (4)-heteroaryl-substituted imidazoles using alkyl-or arylalkyl thiocyanates. Tetrahedron Lett. 2006, 47, 7199–7203. [Google Scholar] [CrossRef]
- Aoyama, T.; Murata, S.; Takido, T.; Kodomari, M. Novel one-pot three-step reaction using supported reagents system: Synthesis of 2-aminothiazoles. Tetrahedron 2007, 63, 1933–11937. [Google Scholar] [CrossRef]
- Al-Abdallah, B.; Al-Faiyz, Y.S.; Shaaban, S. Organoselenocyanates tethered methyl anthranilate hybrids with promising anticancer, antimicrobial, and antioxidant activities. Inorganics 2022, 10, 246. [Google Scholar] [CrossRef]
- Martín-Montes, Á.; Plano, D.; Martín-Escolano, R.; Alcolea, V.; Díaz, M.; Pérez-Silanes, S.; Espuelas, S.; Moreno, E.; Marín, C.; Gutiérrez-Sánchez, R.; et al. Library of seleno-compounds as novel agents against Leishmania species. Antimicrob. Agents Chemother. 2017, 61, e02546-16. [Google Scholar] [CrossRef] [PubMed]
- Wang, Z.; Wang, Y.; Li, W.; Mao, F.; Sun, Y.; Huang, L.; Li, X. Design, synthesis, and evaluation of multitarget-directed selenium-containing clioquinol derivatives for the treatment of Alzheimer’s disease. ACS Chem. Neurosci. 2014, 5, 952–962. [Google Scholar] [CrossRef]
- Krief, A.; Dumont, W.; Delmotte, C. Reaction of organic selenocyanates with hydroxides: The one-pot synthesis of dialkyl diselenides from alkyl bromides. Angew. Chem. Int. Ed. 2000, 39, 1669–1672. [Google Scholar] [CrossRef]
- Meinke, P.T.; Krafft, G.A. Synthesis and cycloaddition reactivity of selenoaldehydes. J. Am. Chem. Soc. 1988, 110, 8671–8679. [Google Scholar] [CrossRef]
- Mullen, G.P.; Luthra, N.P.; Dunlap, R.B.; Odom, J.D. Synthesis and multinuclear magnetic resonance study of para-substituted phenyl selenobenzoates. J. Org. Chem. 1985, 50, 811–816. [Google Scholar] [CrossRef]
- Joshi, P.G.; More, M.S.; Jadhav, A.A.; Khanna, P.K. Materials and biological applications of 1,2,3-selenadiazoles: A review. Mater. Today Chem. 2020, 16, 100255. [Google Scholar] [CrossRef]
- Arora, A.; Oswal, P.; Rao, G.K.; Kumar, S.; Kumar, A. Organoselenium ligands for heterogeneous and nanocatalytic systems: Development and applications. Dalton Trans. 2021, 50, 8628–8656. [Google Scholar] [CrossRef]
- Zhao, X.; Ji, L.; Gao, Y.; Sun, T.; Qiao, J.; Li, A.; Lu, K. Visible-light-promoted selenocyanation of cyclobutanone oxime esters using potassium selenocyanate. J. Org. Chem. 2021, 86, 11399–11406. [Google Scholar] [CrossRef]
- Yu, F.; Li, C.; Wang, C.; Zhang, H.; Cao, Z.-Y. (1-Selenocyanatoethyl)benzene: A selenocyanation reagent for site-selective selenocyanation of inert alkyl C(sp3)−H bonds. Org. Lett. 2021, 23, 7156–7160. [Google Scholar] [CrossRef] [PubMed]
- Pramanik, S.; Das, A.K.; Debnath, S.; Maity, S. Introducing alkyl selenocyanates as bifunctional reagents in photoredox catalysis: Divergent access to ambident isomers of −SeCN. Org. Lett. 2024, 26, 8447–8452. [Google Scholar] [CrossRef] [PubMed]
- Reddy, C.R.; Ajaykumar, U.; Kolgave, D.H. Expeditious access to spiro-fused 2,5-cyclohexadienones via thio(seleno)cyanative ipso-cyclization. J. Org. Chem. 2020, 85, 15521–15531. [Google Scholar] [CrossRef] [PubMed]
- Holm, A.H.; Yusta, L.; Carlqvist, P.; Brinck, T.; Daasbjerg, K. Thermochemistry of arylselanyl radicals and the pertinent ions in acetonitrile. J. Am. Chem. Soc. 2003, 125, 2148–2157. [Google Scholar] [CrossRef]
- Gu, Q.; Cheng, Z.; Xiong, X.; Xiong, B.; Zhao, Y.; Xu, H.-D.; Zhang, Y.; Qiu, X.; Zeng, X. Electrochemical oxidative regio- and stereo-selective thio(seleno)cyanation of enamides and mechanistic insights. Green Chem. 2022, 24, 6556–6561. [Google Scholar] [CrossRef]
- Cheng, Z.; Gu, Q.; Zeng, X. Synthesis of benzoselenophenes and benzothiophenes via electrochemical oxidative seleno(thio)cyanation/cyclization tandem reaction of enamides. Asian J. Org. Chem. 2023, 12, e202300461. [Google Scholar] [CrossRef]
- Hoque, I.U.; Chowdhury, S.R.; Maity, S. Photoredox-catalyzed intermolecular radical arylthiocyanation/arylselenocyanation of alkenes: Access to aryl-substituted alkylthiocyanates/alkylselenocyanates. J. Org. Chem. 2019, 84, 3025–3035. [Google Scholar] [CrossRef]
- Choi, Y.R.; Lee, S.B.; Lee, J.K.; Kwak, Y.; An, H.; Choi, S.; Hong, K.B. Thio(seleno)cyano-difluoroalkylation of alkenes using visible-light photocatalysis. Org. Lett. 2023, 25, 3564–3567. [Google Scholar] [CrossRef]
- Cui, J.; Wei, M.; Pang, L.; Xiao, J.; Gan, C.; Guo, J.; Xie, C.; Zhu, Q.; Huang, Y. Oxidative umpolung selenocyanation of ketones and arenes: An efficient protocol to the synthesis of selenocyanates. Tetrahedron 2020, 76, 130978. [Google Scholar] [CrossRef]
- Banliat, A.D.-Z.; Grollier, K.; Damond, A.; Billard, T.; Dagousset, G.; Magnier, E.; Pégot, B. Solvent free nucleophilic selenocyanation with [bmim][SeCN]. Direct access to perfluoroalkylselenide compounds. Tetrahedron 2021, 101, 132507. [Google Scholar] [CrossRef]
- Rai, V.; Sorabad, G.S.; Maddani, M.R. Efficient and direct selenocyanation of ketene dithioacetals using malononitrile-SeO2 under transition-metal-free conditions. ChemistrySelect 2021, 6, 6468–6471. [Google Scholar] [CrossRef]
- Lu, L.-G.; Bi, K.; Huang, X.-B.; Liu, M.-C.; Zhou, Y.-B.; Wu, H.-Y. Catalyst and additive-free selective ring-opening selenocyanation of heterocycles with elemental selenium and TMSCN. Adv. Synth. Catal. 2021, 363, 1346–1351. [Google Scholar] [CrossRef]
- Zhu, D.; Ye, A.-H.; Chen, Z.-M. N-Selenocyanato-dibenzenesulfonimide: A new electrophilic selenocyanation reagent. Synthesis 2021, 53, 3744–3750. [Google Scholar] [CrossRef]
- Gao, Y.; Hua, R.; Yin, H.; Chen, F.-X. Photocatalytic decarboxylative selenocyanation of 2-aryloxy and 2-aryl carboxylic acids with N-selenocyanatophthalimide. Org. Chem. Front. 2023, 10, 2538–2543. [Google Scholar] [CrossRef]
- Reich, H.J.; Wollowitz, S.; Trend, J.E.; Chow, F.; Wendelborn, D.F. Syn elimination of alkyl selenoxides. Side reactions involving selenenic acids. Structural and solvent effects of rates. J. Org. Chem. 1978, 43, 1697–1705. [Google Scholar] [CrossRef]
- Valerio, S.; Iadonisi, A.; Adinolfi, M.; Ravida, A. Novel approaches for the synthesis and activation of thio- and selenoglycoside donors. J. Org. Chem. 2007, 72, 6097–6106. [Google Scholar] [CrossRef]
- Guan, Y.; Townsend, S.D. Metal-free synthesis of unsymmetrical organoselenides and selenoglycosides. Org. Lett. 2017, 19, 5252–5255. [Google Scholar] [CrossRef]
- Maity, P.; Paroi, B.; Ranu, B.C. Transition-metal-free iodine catalyzed selenocayanation of styrenyl bromides and an easy access to benzoselenophenes via intermediacy of styrenyl selenocyanate. Org. Lett. 2017, 19, 5748–5751. [Google Scholar] [CrossRef]
- Paegle, E.; Belyakov, S.; Arsenyan, P. An Approach to the selenobromination of aryl(thienyl)alkynes: Access to 3-bromobenzo[b]selenophenes and selenophenothiophenes. Eur. J. Org. Chem. 2014, 5, 3831–3840. [Google Scholar] [CrossRef]
- Paegle, E.; Domracheva, I.; Turovska, B.; Petrova, M.; Kanepe-Lapsa, I.; Gulbe, A.; Liepinsh, E.; Arsenyan, P. Natural-antioxidant-inspired benzo[b]selenophenes: Synthesis, redox properties, and antiproliferative activity. Chem. Asian J. 2016, 11, 1929–1938. [Google Scholar] [CrossRef]
- Wu, C.; Xiao, H.-J.; Wang, S.-W.; Tang, M.-S.; Tang, Z.-L.; Xia, W.; Li, W.-F.; Cao, Z.; He, W.-M. Natural deep eutectic solvent-catalyzed selenocyanation of activated alkynes via an intermolecular H-bonding activation process. ACS Sustain. Chem. Eng. 2019, 7, 2169–2175. [Google Scholar] [CrossRef]
- Guo, T.; Wei, X.N.; Liu, Y.; Zhang, P.K.; Zhao, Y.H. Oxidative dual C–H selenation of imidazoheterocycles with ethers or alkanes using selenium powder via a radical pathway. Org. Chem. Front. 2019, 6, 1414–1422. [Google Scholar] [CrossRef]
- Lu, L.H.; Zhou, S.J.; He, W.B.; Xia, W.; Chen, P.; Yu, X.; Xu, X.; He, W.-M. Metal-free difunctionalization of alkynes leading to alkenyl dithiocyanates and alkenyl diselenocyanates at room temperature. Org. Biomol. Chem. 2018, 16, 9064–9068. [Google Scholar] [CrossRef] [PubMed]
- Lu, L.-H.; Wang, Z.; Xia, W.; Cheng, P.; Zhang, B.; Cao, Z.; He, W.-M. Sustainable routes for quantitative green selenocyanation of activated alkynes. Chin. Chem. Lett. 2019, 30, 1237–1240. [Google Scholar] [CrossRef]
- Zhu, C.; Falck, J.R. Transition metal-free ipso-functionalization of arylboronic acids and derivatives. Adv. Synth. Catal. 2014, 356, 2395–2410. [Google Scholar] [CrossRef]
- Redon, S.; Obah Kosso, A.R.; Broggi, J.; Vanelle, P. Metal-free ipso-selenocyanation of arylboronic acids using malononitrile and selenium dioxide. Synthesis 2019, 51, 3758–3764. [Google Scholar] [CrossRef]
- Xiao, J.; Liang, J.; Zhang, H.; Meng, R.; Su, W.; Lin, C.; Cui, J.; Huang, Y. Solid-state direct electrophilic selenocyanation of (hetero)arenes using mechanochemistry. Eur. J. Org. Chem. 2022, 2022, e202200902. [Google Scholar] [CrossRef]
- Wang, J.; Lu, X.; Tan, X.; Yan, Y.; Zhang, P.; Chao, S.; Liu, L.; Shang, X.; Chu, Z. Electrophilic selenocyanogen cyclization of alkynes; synthesis of benzofurylselenocyanates, benzothienylselenocyanates and indolylselenocyanates. Adv. Synth. Catal. 2022, 364, 2235–2240. [Google Scholar] [CrossRef]
- Anghinoni, J.M.; Ferreira, S.S.; Piquini, P.C.; Iglesias, B.A.; Perin, G.; Penteado, F.; Lenardão, E.J. Visible light and triselenium dicyanide (tsd): New horizons in the synthesis of organic selenocyanates. Chem. Eur. J. 2023, 29, e202301934. [Google Scholar] [CrossRef]
- Ali, D.; Mondal, N.; Panday, A.K.; Choudhury, L.H. Synthesis of selenocyanates and selenoethers of amino pyrazoles and amino uracils by in situ triselenium dicyanide from malononitrile and selenium dioxide. ACS Omega 2023, 8, 25349–25357. [Google Scholar] [CrossRef]
- Huang, Y.; Peng, Z.; Wei, M.; Pang, L.; Cheng, Y.; Xiao, J.-A.; Gan, C.; Cui, J. Straightforward synthesis of steroidal selenocyanates through oxidative umpolung selenocyanation of steroids and their antitumor activity. J. Steroid Biochem. Mol. Biol. 2023, 225, 106203. [Google Scholar] [CrossRef] [PubMed]
- Tao, S.; Xu, L.; Yang, K.; Zhang, J.; Du, Y. Construction of the 2-amino-1,3-selenazole skeleton via PhICl2/KSeCN-mediated selenocyanation/cyclization. Org. Lett. 2022, 24, 4187–4191. [Google Scholar] [CrossRef] [PubMed]
- Nadiveedhi, M.R.; Cirandur, S.R.; Akondi, S.M. Visible-light promoted photocatalyst and additive-free intermolecular trifluoromethyl-thio(seleno)cyanation of alkenes. Green Chem. 2020, 22, 5589–5593. [Google Scholar] [CrossRef]
- Castillo, J.C.; Abonía, R.; Cobo, J.; Glidewell, C. A chain of π-stacked molecules in 4-(2-chlorophenyl)pyrrolo[1,2-a]quinoxaline and a hydrogen-bonded sheet in (4RS)-4-(1,3-benzodioxol-6-yl)-4,5-dihydropyrrolo[1,2-a]quinoxaline. Acta Cryst. 2013, C69, 544–548. [Google Scholar] [CrossRef]
- Liu, Q.; Wang, W.; Liu, M. Recent progress in the catalytic synthesis of pyrrolo[1,2-a]quinoxaline. Asian J. Org. Chem. 2023, 12, e202300277. [Google Scholar] [CrossRef]
- Yang, Z.; He, J.; Wei, Y.; Li, W.; Liu, P.; Zhao, J.; Wei, Y. NCS-promoted thiocyanation and selenocyanation of pyrrolo[1,2-a]quinoxalines. Org. Biomol. Chem. 2020, 18, 9088–9094. [Google Scholar] [CrossRef]
- Xiao, J.-A.; Cheng, X.-L.; Meng, R.-F.; Qin, X.-S.; Peng, H.; Ren, J.-W.; Xie, Z.-Z.; Cui, J.-G.; Huang, Y.-M. Straightforward synthesis of 3-selenocyanato-substituted chromones through electrophilic selenocyanation of enaminones under grinding conditions. Synthesis 2021, 53, 954–960. [Google Scholar] [CrossRef]
- Sureshbabu, V.V.; Vasantha, B.; Hemantha, H.P. Synthesis of N-Fmoc-protected amino alkyl thiocyanates/selenocyanates and their application in the preparation of 5-substituted S/Se-linked tetrazoles. Synthesis 2011, 2011, 1447–1455. [Google Scholar] [CrossRef]
- Muniraj, N.; Dhineshkumar, J.; Prabhu, K.R. N-Iodosuccinimide catalyzed oxidative selenocyanation and thiocyanation of electron rich arenes. ChemistrySelect 2016, 5, 1033–1038. [Google Scholar] [CrossRef]
- Laali, K.K.; Borodkin, G.I. First application of ionic liquids in electrophilic fluorination of arenes; Selectfluor™ (F-TEDA-BF4) for “green” fluorination. J. Chem. Soc., Perkin Trans. 2002, 2, 953–957. [Google Scholar] [CrossRef]
- Ventre, S.; Petronijevic, F.R.; MacMillan, D.W.C. Decar-boxylative fluorination of aliphatic carboxylic acids via photoredox catalysis. J. Am. Chem. Soc. 2015, 137, 5654–5657. [Google Scholar] [CrossRef] [PubMed]
- Abonia, R.; Gutierrez, L.F.; Zwarycz, A.T.; Correa Smits, S.; Laali, K.K. An efficient Selectfluor-mediated oxidative thio- and selenocyanation of diversely substituted indoles and carbazoles. Heteroat. Chem. 2019, 2019, 1459681. [Google Scholar] [CrossRef]
- Cross, R.M.; Monastyrskyi, A.; Mutka, T.S.; Burrows, J.N.; Kylem, D.E.; Manetsch, R. Endochin optimization: Structure−activity and structure−property relationship studies of 3-substituted 2-methyl-4(1H)-quinolones with antimalarial activity. J. Med. Chem. 2010, 53, 7076–7094. [Google Scholar] [CrossRef] [PubMed]
- Ghosh, P.; Chhetri, G.; Nandi, A.K.; Sarkar, S.; Saha, T.; Das, S. Creation of thio and selenocyanate derivatives of 4-quinolone via regioselective C–H bond functionalization under ambient conditions. New J. Chem. 2019, 43, 10959–10964. [Google Scholar] [CrossRef]
- Tao, S.; Huo, A.; Gao, Y.; Zhang, X.; Yang, J.; Du, Y. PhICl2-mediated regioselective and electrophilic oxythio/selenocyanation of o-(1-alkynyl)benzoates: Access to biologically active S/SeCN-containing isocoumarins. Front. Chem. 2022, 10, 859995. [Google Scholar] [CrossRef]
- Gao, C.; Liu, Y.; Zhu, H.-Y.; Wang, M. Radical thiocyano(selenocyano)trifluoromethylations of alkenes on water. Eur. J. Org. Chem. 2023, 26, e202300868. [Google Scholar] [CrossRef]
- Chen, X.; Kuang, X.; Wu, Y.; Zhou, J.; Wang, P. Thianthrene radical cation as a transient set mediator: Photoinduced thiocyanation and selenocyanation of arylthianthrenium salts. Chin. J. Chem. 2023, 41, 1979–1986. [Google Scholar] [CrossRef]
- Pal, K.; Chandu, P.; Das, D.; Jinilkumar, A.V.; Mallick, M.; Sureshkumar, D. Organophotocatalyzed mono- and bis-alkyl/difluoroalkylative thio/selenocyanation of alkenes. J. Org. Chem. 2023, 88, 17527–17537. [Google Scholar] [CrossRef]
- Wu, J.; Shi, H.; Li, X.; He, J.; Zhang, C.; Sun, F.; Du, Y. Synthesis of 4-functionalized pyrazoles via oxidative thio- or selenocyanation mediated by PhICl2 and NH4SCN/KSeCN. Beilstein J. Org. Chem. 2024, 20, 1453–1461. [Google Scholar] [CrossRef]
Disclaimer/Publisher’s Note: The statements, opinions and data contained in all publications are solely those of the individual author(s) and contributor(s) and not of MDPI and/or the editor(s). MDPI and/or the editor(s) disclaim responsibility for any injury to people or property resulting from any ideas, methods, instructions or products referred to in the content. |
© 2024 by the authors. Licensee MDPI, Basel, Switzerland. This article is an open access article distributed under the terms and conditions of the Creative Commons Attribution (CC BY) license (https://creativecommons.org/licenses/by/4.0/).












