Phytoecdysteroids: Quantification in Selected Plant Species and Evaluation of Some Effects on Gastric Smooth Muscles
Abstract
1. Introduction
2. Results
2.1. HPTLC Analysis
2.2. Biological Activity
2.2.1. Biological Activity on Primary Smooth Muscle (SM) Culture
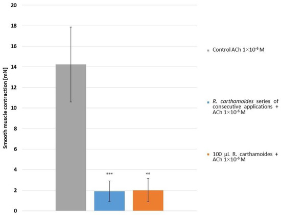
2.2.2. The Influence of R. carthamoides on the Contractile Activity of Gastric SM Preparations
2.2.3. Effect of R. carthamoides on the Strength of Acetylcholine-Induced Contractions
2.2.4. Effect of Ecdysterone on the Strength of ACh-Induced Contractions
3. Discussion
4. Materials and Methods
4.1. Reference Standards and Chemicals
4.2. Sample Preparation
4.3. HPTLC Analysis
4.4. Smooth Muscle Activity—Animals, Tissues and Preparations
4.4.1. Primary Smooth Muscle Cell Culture: Cells Cultivation
4.4.2. Investigation of Spontaneous Contractile Activity (SCA) and Reactivity of Isolated Smooth Muscles (SM)
4.5. Statistical Methods
5. Conclusions
Author Contributions
Funding
Institutional Review Board Statement
Informed Consent Statement
Data Availability Statement
Acknowledgments
Conflicts of Interest
References
- Lafont, R. Ecdysteroids and Related Molecules in Animals and Plants. Arch. Insect Biochem. Physiol. 1997, 35, 3–20. [Google Scholar] [CrossRef]
- Bakrim, A.; Maria, A.; Sayah, F.; Lafont, R.; Takvorian, N. Ecdysteroids in Spinach (Spinacia oleracea L.): Biosynthesis, Transport and Regulation of Levels. Plant Physiol. Biochem. 2008, 46, 844–854. [Google Scholar] [CrossRef] [PubMed]
- Grebenok, R.J.; Ripa, P.V.; Adler, J.H. Occurrence and Levels of Ecdysteroids in Spinach. Lipids 1991, 26, 666–668. [Google Scholar] [CrossRef]
- Fang, X.; Szołtysik, R.; Tang, J.; Bajkacz, S. Efficient Extraction and Sensitive HPLC-MS/MS Quantification of Selected Ecdysteroids in Plants. J. Food Compos. Anal. 2022, 110, 104580. [Google Scholar] [CrossRef]
- Bajguz, A.; Bąkała, I.; Talarek, M. Chapter 5—Ecdysteroids in Plants and Their Pharmacological Effects in Vertebrates and Humans. In Studies in Natural Products Chemistry; Atta-ur-Rahman, Ed.; Elsevier: Amsterdam, The Netherlands, 2015; Volume 45, pp. 121–145. [Google Scholar]
- Bathori, M.; Toth, N.; Hunyadi, A.; Marki, A.; Zador, E. Phytoecdysteroids and Anabolic-Androgenic Steroids—Structure and Effects on Humans. CMC 2008, 15, 75–91. [Google Scholar] [CrossRef]
- Bathori, M.; Pongracz, Z. Phytoecdysteroids—From Isolation to Their Effects on Humans. Curr. Med. Chem. 2005, 12, 153–172. [Google Scholar] [CrossRef]
- Gorelick-Feldman, J.; MacLean, D.; Ilic, N.; Poulev, A.; Lila, M.A.; Cheng, D.; Raskin, I. Phytoecdysteroids Increase Protein Synthesis in Skeletal Muscle Cells. J. Agric. Food Chem. 2008, 56, 3532–3537. [Google Scholar] [CrossRef]
- Kokoska, L.; Janovska, D. Chemistry and Pharmacology of Rhaponticum carthamoides: A Review. Phytochemistry 2009, 70, 842–855. [Google Scholar] [CrossRef]
- Skała, E.; Sitarek, P.; Różalski, M.; Krajewska, U.; Szemraj, J.; Wysokińska, H.; Śliwiński, T. Antioxidant and DNA Repair Stimulating Effect of Extracts from Transformed and Normal Roots of Rhaponticum carthamoides against Induced Oxidative Stress and DNA Damage in CHO Cells. Oxidative Med. Cell. Longev. 2016, 2016, 5753139. [Google Scholar] [CrossRef]
- Todorova, V.; Ivanov, K.; Karcheva-Bahchevanska, D.; Ivanova, S. Development and Validation of High-Performance Liquid Chromatography for Identification and Quantification of Phytoecdysteroids Ecdysterone and Turkesterone in Dietary Supplements. Processes 2023, 11, 1786. [Google Scholar] [CrossRef]
- Grucza, K.; Wicka, M.; Drapała, A.; Kwiatkowska, D. Determination of Ecdysterone in Dietary Supplements and Spinach by Ultra-High-Performance Liquid Chromatography-Tandem Mass Spectrometry. Separations 2022, 9, 8. [Google Scholar] [CrossRef]
- Pálinkás, Z.; Békési, D.; Utczás, M. Quantitation of Ecdysterone and Targeted Analysis of WADA-Prohibited Anabolic Androgen Steroids, Hormones, and Metabolic Modulators in Ecdysterone-Containing Dietary Supplements. Separations 2023, 10, 242. [Google Scholar] [CrossRef]
- Thiem, B.; Kikowska, M.; Maliński, M.P.; Kruszka, D.; Napierała, M.; Florek, E. Ecdysteroids: Production in Plant in Vitro Cultures. Phytochem. Rev. 2017, 16, 603–622. [Google Scholar] [CrossRef]
- Dinan, L.; Balducci, C.; Guibout, L.; Lafont, R. Database of Human Food Plants and Whether They Have Been Assessed for the Presence or Absence of Ecdysteroids; Cybersales: Prague, Czech Republic, 2019. [Google Scholar]
- Chaudhary, N.; Walia, S.; Kumar, R. Functional Composition, Physiological Effect and Agronomy of Future Food Quinoa (Chenopodium quinoa Willd.): A Review. J. Food Compos. Anal. 2023, 118, 105192. [Google Scholar] [CrossRef]
- Ren, G.; Teng, C.; Fan, X.; Guo, S.; Zhao, G.; Zhang, L.; Liang, Z.; Qin, P. Nutrient Composition, Functional Activity and Industrial Applications of Quinoa (Chenopodium quinoa Willd.). Food Chem. 2023, 410, 135290. [Google Scholar] [CrossRef]
- Navruz-Varli, S.; Sanlier, N. Nutritional and Health Benefits of Quinoa (Chenopodium quinoa Willd.). J. Cereal Sci. 2016, 69, 371–376. [Google Scholar] [CrossRef]
- Vilcacundo, R.; Hernández-Ledesma, B. Nutritional and Biological Value of Quinoa (Chenopodium quinoa Willd.). Curr. Opin. Food Sci. 2017, 14, 1–6. [Google Scholar] [CrossRef]
- Repo-Carrasco, R.; Espinoza, C.; Jacobsen, S.-E. Nutritional Value and Use of the Andean Crops Quinoa (Chenopodium quinoa) and Kañiwa (Chenopodium pallidicaule). Food Rev. Int. 2003, 19, 179–189. [Google Scholar] [CrossRef]
- Kim, D.-S.; Iida, F. Kaniwa (Chenopodium pallidicaule)’s Nutritional Composition and Its Applicability as an Elder-Friendly Food with Gelling Agents. Gels 2023, 9, 61. [Google Scholar] [CrossRef]
- Repo-Carrasco-Valencia, R.; Vidaurre-Ruiz, J.M. Bioactive Compounds in Quinoa (Chenopodium quinoa) and Kañiwa (Chenopodium pallidicaule). In Biology and Biotechnology of Quinoa: Super Grain for Food Security; Varma, A., Ed.; Springer: Singapore, 2021; pp. 243–264. ISBN 9789811638329. [Google Scholar]
- Moscoso-Mujica, G.; Mujica, Á.; Chávez, J.; Peña, C.; Begazo, N.; Estrella, J.; Estrada, Z.; Tello, L.; Ramos, Y.; Rivera, D.; et al. Antianemic Activity of Quinoa (Chenopodium quinoa Willd) Collana Negra Variety and Kanihua (Chenopodium pallidicaule Aellen) Ramis Variety Seed Flour in Anemic Rats. SN Appl. Sci. 2022, 4, 318. [Google Scholar] [CrossRef]
- Chirinos, R.; Ochoa, K.; Aguilar-Galvez, A.; Carpentier, S.; Pedreschi, R.; Campos, D. Obtaining of Peptides with in Vitro Antioxidant and Angiotensin I Converting Enzyme Inhibitory Activities from Cañihua Protein (Chenopodium pallidicaule Aellen). J. Cereal Sci. 2018, 83, 139–146. [Google Scholar] [CrossRef]
- Graf, B.L.; Rojo, L.E.; Delatorre-Herrera, J.; Poulev, A.; Calfio, C.; Raskin, I. Phytoecdysteroids and Flavonoid Glycosides among Chilean and Commercial Sources of Chenopodium Quinoa: Variation and Correlation to Physico-Chemical Characteristics. J. Sci. Food Agric. 2016, 96, 633–643. [Google Scholar] [CrossRef]
- Graf, B.L.; Kamat, S.; Cheong, K.Y.; Komarnytsky, S.; Driscoll, M.; Di, R. Phytoecdysteroid-Enriched Quinoa Seed Leachate Enhances Healthspan and Mitochondrial Metabolism in Caenorhabditis Elegans. J. Funct. Foods 2017, 37, 1–7. [Google Scholar] [CrossRef]
- Hussain, M.I.; Farooq, M.; Syed, Q.A.; Ishaq, A.; Al-Ghamdi, A.A.; Hatamleh, A.A. Botany, Nutritional Value, Phytochemical Composition and Biological Activities of Quinoa. Plants 2021, 10, 2258. [Google Scholar] [CrossRef]
- Simko, I.; Hayes, R.J.; Mou, B.; McCreight, J.D. Lettuce and Spinach. In Yield Gains in Major U.S. Field Crops; John Wiley & Sons, Ltd.: Hoboken, NJ, USA, 2014; pp. 53–85. ISBN 978-0-89118-620-5. [Google Scholar]
- Roberts, J.L.; Moreau, R. Functional Properties of Spinach (Spinacia oleracea L.) Phytochemicals and Bioactives. Food Funct. 2016, 7, 3337–3353. [Google Scholar] [CrossRef]
- Morelock, T.E.; Correll, J.C. Spinach. In Vegetables I: Asteraceae, Brassicaceae, Chenopodicaceae, and Cucurbitaceae; Prohens, J., Nuez, F., Eds.; Handbook of Plant Breeding; Springer: New York, NY, USA, 2008; pp. 189–218. ISBN 978-0-387-30443-4. [Google Scholar]
- Salehi, B.; Tumer, T.B.; Ozleyen, A.; Peron, G.; Dall’Acqua, S.; Rajkovic, J.; Naz, R.; Nosheen, A.; Mudau, F.N.; Labanca, F.; et al. Plants of the Genus Spinacia: From Bioactive Molecules to Food and Phytopharmacological Applications. Trends Food Sci. Technol. 2019, 88, 260–273. [Google Scholar] [CrossRef]
- Guo, Q.; Wang, N.; Liu, H.; Li, Z.; Lu, L.; Wang, C. The Bioactive Compounds and Biological Functions of Asparagus Officinalis L.—A Review. J. Funct. Foods 2020, 65, 103727. [Google Scholar] [CrossRef]
- Wang, C.; Cheng, D.; Zhao, D.; Wang, L.; Yan, M. Chemical Constituents of Asparagus Officinalis. Chem. Nat. Compd. 2023, 59, 410–411. [Google Scholar] [CrossRef]
- Chitrakar, B.; Zhang, M.; Adhikari, B. Asparagus (Asparagus officinalis): Processing Effect on Nutritional and Phytochemical Composition of Spear and Hard-Stem Byproducts. Trends Food Sci. Technol. 2019, 93, 1–11. [Google Scholar] [CrossRef]
- Saeng-ngam, S.; Juntawong, N.; Vajarothai, S.; Visetson, S. Comparative study of moulting hormone content in different plant species. In Proceedings of the 42nd Kasetsart University Annual Conference, Kasetsart, Thailand, 3–6 February 2004; pp. 284–290. [Google Scholar]
- Arif, Y.; Singh, P.; Bajguz, A.; Hayat, S. Phytoecdysteroids: Distribution, Structural Diversity, Biosynthesis, Activity, and Crosstalk with Phytohormones. Int. J. Mol. Sci. 2022, 23, 8664. [Google Scholar] [CrossRef]
- Savchenko, R.G.; Veskina, N.A.; Odinokov, V.N.; Benkovskaya, G.V.; Parfenova, L.V. Ecdysteroids: Isolation, Chemical Transformations, and Biological Activity. Phytochem. Rev. 2022, 21, 1445–1486. [Google Scholar] [CrossRef]
- Nakanishi, K.; Koreeda, M.; Sasaki, S.; Chang, M.L.; Hsu, H.Y. Insect Hormones. The Structure of Ponasterone A, Insect-Moulting Hormone from the Leaves of Podocarpus Nakaii Hay. Chem. Commun. 1966, 24, 915–917. [Google Scholar] [CrossRef]
- Tóth, N.; Szabó, A.; Kacsala, P.; Héger, J.; Zádor, E. 20-Hydroxyecdysone Increases Fiber Size in a Muscle-Specific Fashion in Rat. Phytomedicine 2008, 15, 691–698. [Google Scholar] [CrossRef]
- Romaniuk-Drapała, A.; Lisiak, N.; Totoń, E.; Matysiak, A.; Nawrot, J.; Nowak, G.; Kaczmarek, M.; Rybczyńska, M.; Rubiś, B. Proapoptotic and Proautophagic Activity of 20-Hydroxyecdysone in Breast Cancer Cells in Vitro. Chem. Biol. Interact. 2021, 342, 109479. [Google Scholar] [CrossRef]
- Isenmann, E.; Ambrosio, G.; Joseph, J.F.; Mazzarino, M.; de la Torre, X.; Zimmer, P.; Kazlauskas, R.; Goebel, C.; Botrè, F.; Diel, P.; et al. Ecdysteroids as Non-Conventional Anabolic Agent: Performance Enhancement by Ecdysterone Supplementation in Humans. Arch. Toxicol. 2019, 93, 1807–1816. [Google Scholar] [CrossRef]
- Chen, L.; Zheng, S.; Huang, M.; Ma, X.; Yang, J.; Deng, S.; Huang, Y.; Wen, Y.; Yang, X. β-Ecdysterone from Cyanotis arachnoidea Exerts Hypoglycemic Effects through Activating IRS-1/Akt/GLUT4 and IRS-1/Akt/GLUT2 Signal Pathways in KK-Ay Mice. J. Funct. Foods 2017, 39, 123–132. [Google Scholar] [CrossRef]
- Catalán, R.E.; Martinez, A.M.; Aragones, M.D.; Miguel, B.G.; Robles, A.; Godoy, J.E. Alterations in Rat Lipid Metabolism Following Ecdysterone Treatment. Comp. Biochem. Physiol. Part B Comp. Biochem. 1985, 81, 771–775. [Google Scholar] [CrossRef]
- Little, A.; Murphy, K.; Solverson, P. Quinoa’s Potential to Enhance Dietary Management of Obesity and Type-2 Diabetes: A Review of the Current Evidence. Diabetology 2021, 2, 77–94. [Google Scholar] [CrossRef]
- Kizelsztein, P.; Govorko, D.; Komarnytsky, S.; Evans, A.; Wang, Z.; Cefalu, W.T.; Raskin, I. 20-Hydroxyecdysone Decreases Weight and Hyperglycemia in a Diet-Induced Obesity Mice Model. Am. J. Physiol. Endocrinol. Metab. 2009, 296, E433–E439. [Google Scholar] [CrossRef]
- The WADA 2020 Monitoring Program. Available online: https://www.wada-ama.org/sites/default/files/wada_2020_english_monitoring_program_.pdf (accessed on 3 May 2023).
- Todorova, V.; Ivanov, K.; Ivanova, S. Comparison between the Biological Active Compounds in Plants with Adaptogenic Properties (Rhaponticum carthamoides, Lepidium meyenii, Eleutherococcus senticosus and Panax ginseng). Plants 2021, 11, 64. [Google Scholar] [CrossRef]
- Todorova, V.; Ivanov, K.; Delattre, C.; Nalbantova, V.; Karcheva-Bahchevanska, D.; Ivanova, S. Plant Adaptogens—History and Future Perspectives. Nutrients 2021, 13, 2861. [Google Scholar] [CrossRef] [PubMed]
- Todorova, V.; Savova, M.S.; Ivanova, S.; Ivanov, K.; Georgiev, M.I. Anti-Adipogenic Activity of Rhaponticum carthamoides and Its Secondary Metabolites. Nutrients 2023, 15, 3061. [Google Scholar] [CrossRef] [PubMed]
- Srivastava, M.M. An Overview of HPTLC: A Modern Analytical Technique with Excellent Potential for Automation, Optimization, Hyphenation, and Multidimensional Applications. In High-Performance Thin-Layer Chromatography (HPTLC); Springer: Berlin/Heidelberg, Germany, 2011; p. 3. [Google Scholar]
- Koll, K.; Reich, E.; Blatter, A.; Veit, M. Validation of Standardized High-Performance Thin-Layer Chromatographic Methods for Quality Control and Stability Testing of Herbals. J. AOAC Int. 2003, 86, 909–915. [Google Scholar] [CrossRef] [PubMed]
- Kumpun, S.; Maria, A.; Crouzet, S.; Evrard-Todeschi, N.; Girault, J.-P.; Lafont, R. Ecdysteroids from Chenopodium quinoa Willd., an Ancient Andean Crop of High Nutritional Value. Food Chem. 2011, 125, 1226–1234. [Google Scholar] [CrossRef]
- Foucault, A.-S.; Mathe, V.; Lafont, R.; Even, P.; Dioh, W.; Veillet, S.; Tome, D.; Huneau, J.-F.; Hermier, D.; Quignard-Boulange, A. Quinoa Extract Enriched in 20-Hydroxyecdysone Protects Mice from Diet-Induced Obesity and Modulates Adipokines Expression. Obesity 2012, 20, 270–277. [Google Scholar] [CrossRef]
- Rastrelli, L.; De Tommasi, N.; Ramos, I. Ecdysteroids in Chenopodium pallidicaule seeds. Biochem. Syst. Ecol. 1996, 24, 353. [Google Scholar] [CrossRef]
- Bajkacz, S.; Rusin, K.; Wolny, A.; Adamek, J.; Erfurt, K.; Chrobok, A. Highly Efficient Extraction Procedures Based on Natural Deep Eutectic Solvents or Ionic Liquids for Determination of 20-Hydroxyecdysone in Spinach. Molecules 2020, 25, 4736. [Google Scholar] [CrossRef]
- Modlin, R.F.; Alred, P.A.; Tjerneld, F. Utilization of Temperature-Induced Phase Separation for the Purification of Ecdysone and 20-Hydroxyecdysone from Spinach. J. Chromatogr. A 1994, 668, 229–236. [Google Scholar] [CrossRef]
- Dinan, L. Phytoecdysteroids: Biological Aspects. Phytochemistry 2001, 57, 325–339. [Google Scholar] [CrossRef]
- Gorelick, J.; Iraqi, R.H.; Bernstein, N. Ecdysteroid Content and Therapeutic Activity in Elicited Spinach Accessions. Plants 2020, 9, 727. [Google Scholar] [CrossRef]
- Dinan, L. Ecdysteroid Structure-Activity Relationships. In Studies in Natural Products Chemistry; Atta-ur-Rahman, Ed.; Bioactive Natural Products (Part J); Elsevier: Amsterdam, The Netherlands, 2003; Volume 29, pp. 3–71. [Google Scholar]
- Cao, W.; Chen, Q.; Sohn, U.D.; Kim, N.; Kirber, M.T.; Harnett, K.M.; Behar, J.; Biancani, P. Ca2+-Induced Contraction of Cat Esophageal Circular Smooth Muscle Cells. Am. J. Physiol. Cell Physiol. 2001, 280, C980–C992. [Google Scholar] [CrossRef]
- Kang, H.; Kim, J.; Park, C.H.; Jeong, B.; So, I. Direct Modulation of TRPC Ion Channels by Gα Proteins. Front. Physiol. 2024, 15, 1362987. [Google Scholar] [CrossRef]
- Sanders, K.M. G Protein-Coupled Receptors in Gastrointestinal Physiology. IV. Neural Regulation of Gastrointestinal Smooth Muscle. Am. J. Physiol. 1998, 275, G1–G7. [Google Scholar] [CrossRef]
- Gorelick-Feldman, J.; Cohick, W.; Raskin, I. Ecdysteroids Elicit a Rapid Ca2+ Flux Leading to Akt Activation and Increased Protein Synthesis in Skeletal Muscle Cells. Steroids 2010, 75, 632–637. [Google Scholar] [CrossRef]
- Sharp, G.W.; Wiedenkeller, D.E.; Kaelin, D.; Siegel, E.G.; Wollheim, C.B. Stimulation of Adenylate Cyclase by Ca2+ and Calmodulin in Rat Islets of Langerhans: Explanation for the Glucose-Induced Increase in Cyclic AMP Levels. Diabetes 1980, 29, 74–77. [Google Scholar] [CrossRef]
- Katzenellenbogen, B.S.; Choi, I.; Delage-Mourroux, R.; Ediger, T.R.; Martini, P.G.V.; Montano, M.; Sun, J.; Weis, K.; Katzenellenbogen, J.A. Molecular Mechanisms of Estrogen Action: Selective Ligands and Receptor Pharmacology. J. Steroid Biochem. Mol. Biol. 2000, 74, 279–285. [Google Scholar] [CrossRef]
- Zaghloul, E.; Handousa, H.; Singab, A.N.B.; Elmazar, M.M.; Ayoub, I.M.; Swilam, N. Phytoecdysteroids and Anabolic Effect of Atriplex Dimorphostegia: UPLC-PDA-MS/MS Profiling, In Silico and In Vivo Models. Plants 2023, 12, 206. [Google Scholar] [CrossRef]
- Kuiper, G.G.J.M.; Carlsson, B.; Grandien, K.; Enmark, E.; Häggblad, J.; Nilsson, S.; Gustafsson, J.-Å. Comparison of the Ligand Binding Specificity and Transcript Tissue Distribution of Estrogen Receptors α and β. Endocrinology 1997, 138, 863–870. [Google Scholar] [CrossRef]
- Zhang, Y.; Seeram, N.P.; Lee, R.; Feng, L.; Heber, D. Isolation and Identification of Strawberry Phenolics with Antioxidant and Human Cancer Cell Antiproliferative Properties. J. Agric. Food Chem. 2008, 56, 670–675. [Google Scholar] [CrossRef]
- Seeram, N.P.; Adams, L.S.; Zhang, Y.; Lee, R.; Sand, D.; Scheuller, H.S.; Heber, D. Blackberry, Black Raspberry, Blueberry, Cranberry, Red Raspberry, and Strawberry Extracts Inhibit Growth and Stimulate Apoptosis of Human Cancer Cells in Vitro. J. Agric. Food Chem. 2006, 54, 9329–9339. [Google Scholar] [CrossRef]
- Ibatov, A.N. The use of a decoction of the rhizome of Leuzea carthamoides for the treatment of alcoholics with depressive states. Zhurnal Nevrol. I Psikhiatrii Im. SS Korsakova 1995, 95, 78–79. [Google Scholar]
- Azizov, A.P.; Seĭfulla, R.D.; Ankudinova, I.A.; Kondrat’eva, I.I.; Borisova, I.G. The Effect of the Antioxidants Elton and Leveton on the Physical Work Capacity of Athletes. Eksperimental’naia I Klin. Farmakol. 1998, 61, 60–62. [Google Scholar]
- Home—BFSA. Available online: https://bfsa.egov.bg/wps/portal/bfsa-web-en/home (accessed on 29 September 2024).







| Product/Plant Extract | 20-Hydroxyecdysterone | Ponasterone A | Turkesterone |
|---|---|---|---|
| Commercial product | 28.2 mg/mL | <LOQ | 10.6 µg/ mL |
| White quinoa | 310 µg/g dry mass | ND | ND |
| Red quinoa | 259 µg/g dry mass | ND | ND |
| Kaniwa | 670 µg/g dry mass | ND | ND |
| Spinach S1 | 455 µg/g dry mass | ND | ND |
| Spinach S2 | 266 µg/g dry mass | ND | ND |
| Spinach S3 | 252 µg/g dry mass | ND | ND |
| Asparagus | 189 µg/g dry mass | ND | ND |
| Concentration [μL/mL] | Mean ± SD [h−1] |
|---|---|
| 10 | −0.002 ± 0.002 |
| 8 | −0.005 ± 0.001 |
| 5 | 0.011 ± 0.001 |
| 3 | 0.061 ± 0.007 |
| 2 | 0.091 ± 0.009 |
| 1 | 0.127 ± 0.009 |
| Control | 0.136 ± 0.005 |
| Concentration [mg/mL] | 20-Hydroxyecdysone | Turkesterone |
|---|---|---|
| Mean ± SD [h−1] | Mean ± SD [h−1] | |
| 100 | 0.001 ± 0.0002 | 0.002 ± 0.0003 |
| 10 | 0.097 ± 0.032 * | 0.013 ± 0.001 |
| 1 | 0.033 ± 0.007 | 0.035 ± 0.008 |
| 0.1 | 0.043 ± 0.016 | 0.025 ± 0.004 |
| 0.01 | 0.029 ± 0.018 | - |
| Control | 0.036 ± 0.015 | 0.017 ± 0.003 |
Disclaimer/Publisher’s Note: The statements, opinions and data contained in all publications are solely those of the individual author(s) and contributor(s) and not of MDPI and/or the editor(s). MDPI and/or the editor(s) disclaim responsibility for any injury to people or property resulting from any ideas, methods, instructions or products referred to in the content. |
© 2024 by the authors. Licensee MDPI, Basel, Switzerland. This article is an open access article distributed under the terms and conditions of the Creative Commons Attribution (CC BY) license (https://creativecommons.org/licenses/by/4.0/).
Share and Cite
Todorova, V.; Ivanova, S.; Yotov, V.; Zaytseva, E.; Ardasheva, R.; Turiyski, V.; Prissadova, N.; Ivanov, K. Phytoecdysteroids: Quantification in Selected Plant Species and Evaluation of Some Effects on Gastric Smooth Muscles. Molecules 2024, 29, 5145. https://doi.org/10.3390/molecules29215145
Todorova V, Ivanova S, Yotov V, Zaytseva E, Ardasheva R, Turiyski V, Prissadova N, Ivanov K. Phytoecdysteroids: Quantification in Selected Plant Species and Evaluation of Some Effects on Gastric Smooth Muscles. Molecules. 2024; 29(21):5145. https://doi.org/10.3390/molecules29215145
Chicago/Turabian StyleTodorova, Velislava, Stanislava Ivanova, Viktor Yotov, Ekaterina Zaytseva, Raina Ardasheva, Valentin Turiyski, Natalia Prissadova, and Kalin Ivanov. 2024. "Phytoecdysteroids: Quantification in Selected Plant Species and Evaluation of Some Effects on Gastric Smooth Muscles" Molecules 29, no. 21: 5145. https://doi.org/10.3390/molecules29215145
APA StyleTodorova, V., Ivanova, S., Yotov, V., Zaytseva, E., Ardasheva, R., Turiyski, V., Prissadova, N., & Ivanov, K. (2024). Phytoecdysteroids: Quantification in Selected Plant Species and Evaluation of Some Effects on Gastric Smooth Muscles. Molecules, 29(21), 5145. https://doi.org/10.3390/molecules29215145

