Improving Hydrolytic Activity and Enantioselectivity of Epoxide Hydrolase from Phanerochaete chrysosporium by Directed Evolution
Abstract
1. Introduction
2. Results
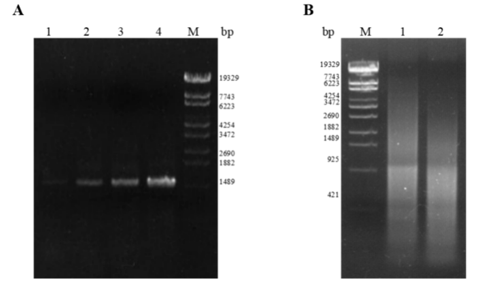
2.1. Construction of the Mutation Library
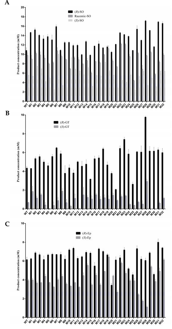
2.2. Screening of the Mutation Library
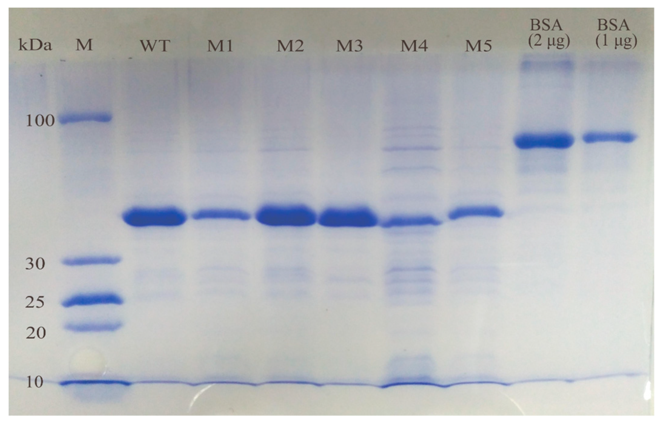
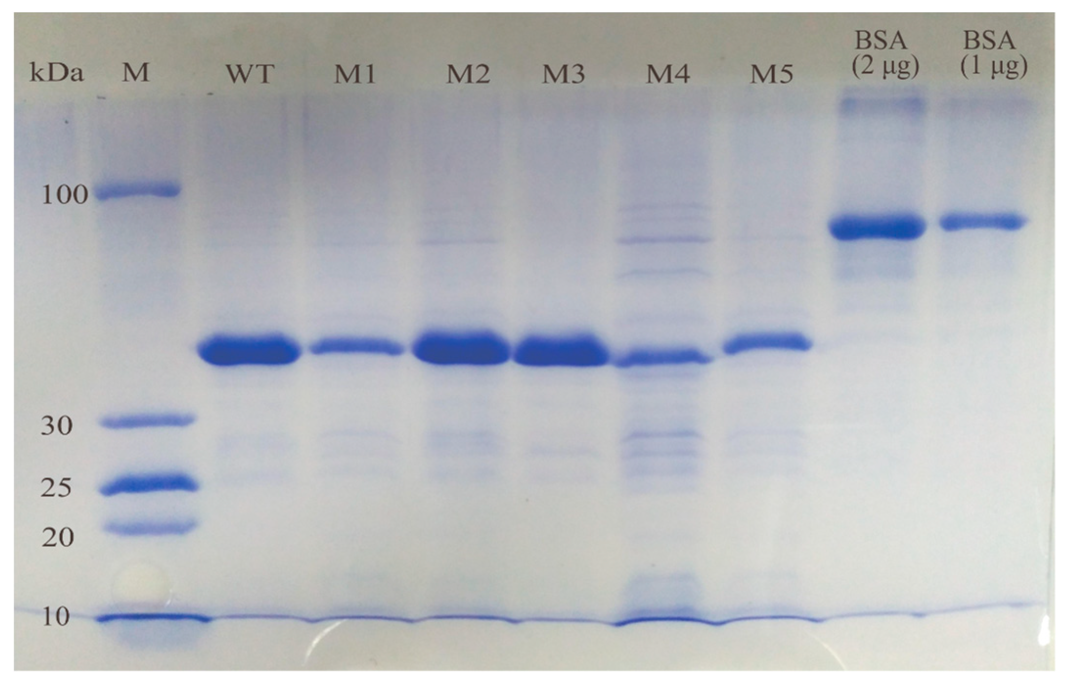
2.3. Protein Expression of Mutants
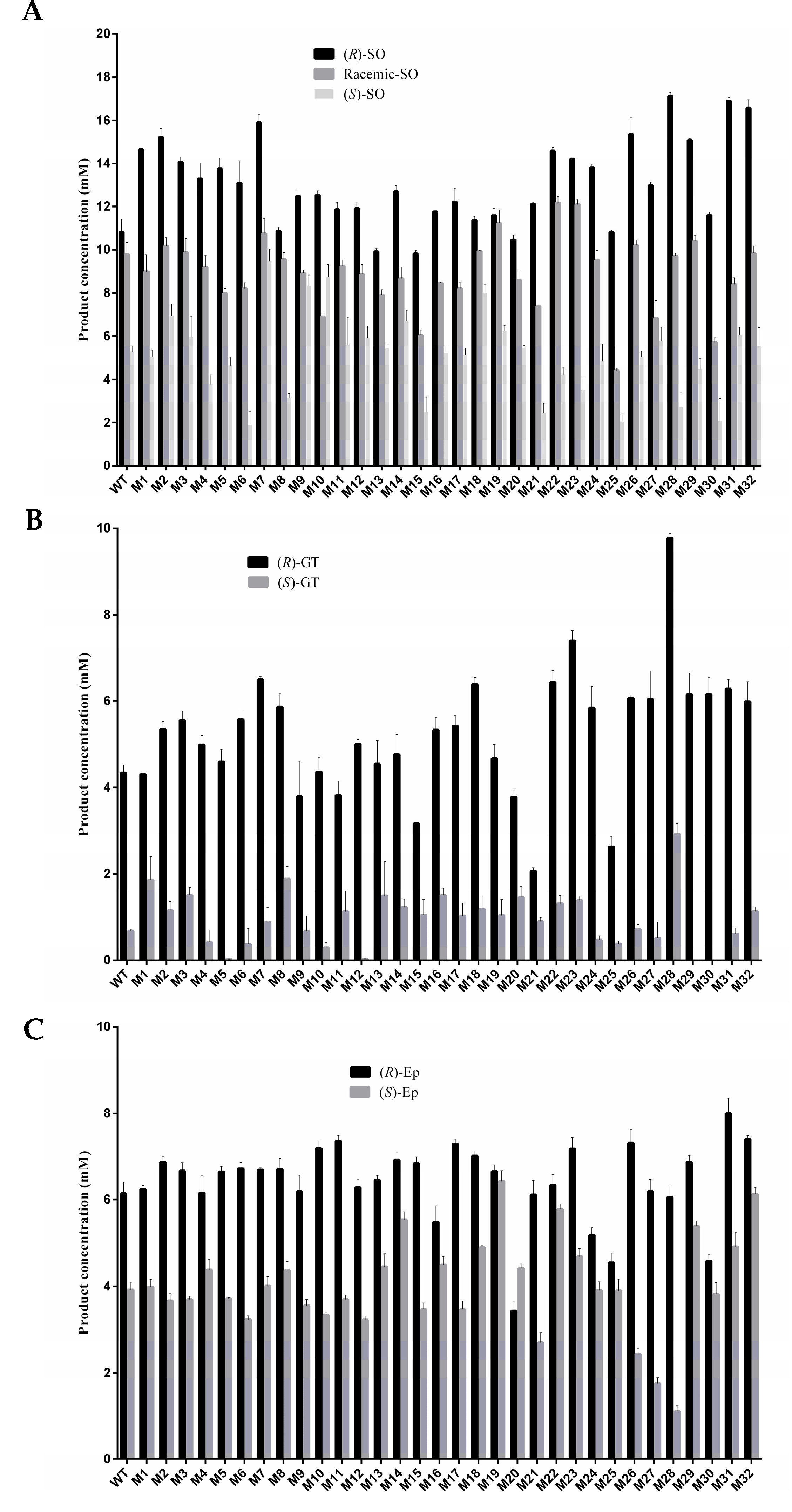
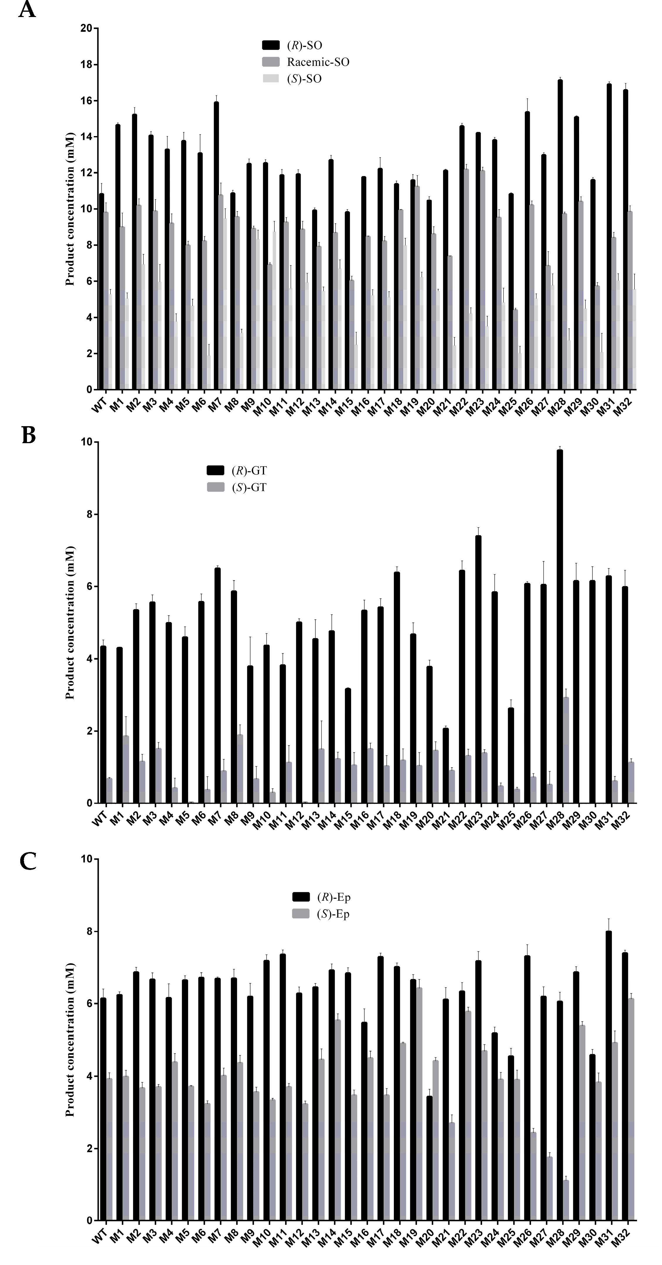
2.4. Enzyme Activity Determination
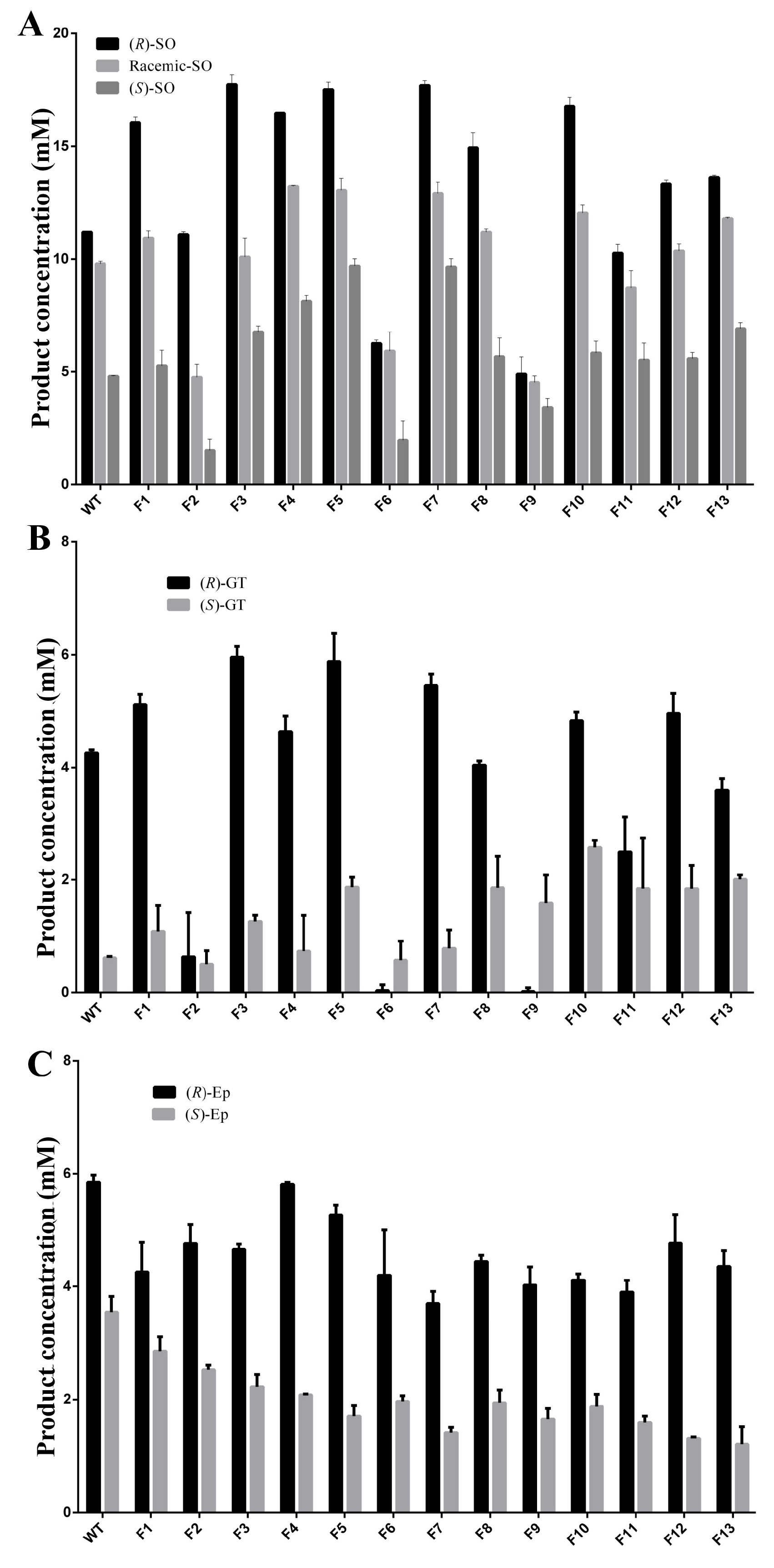
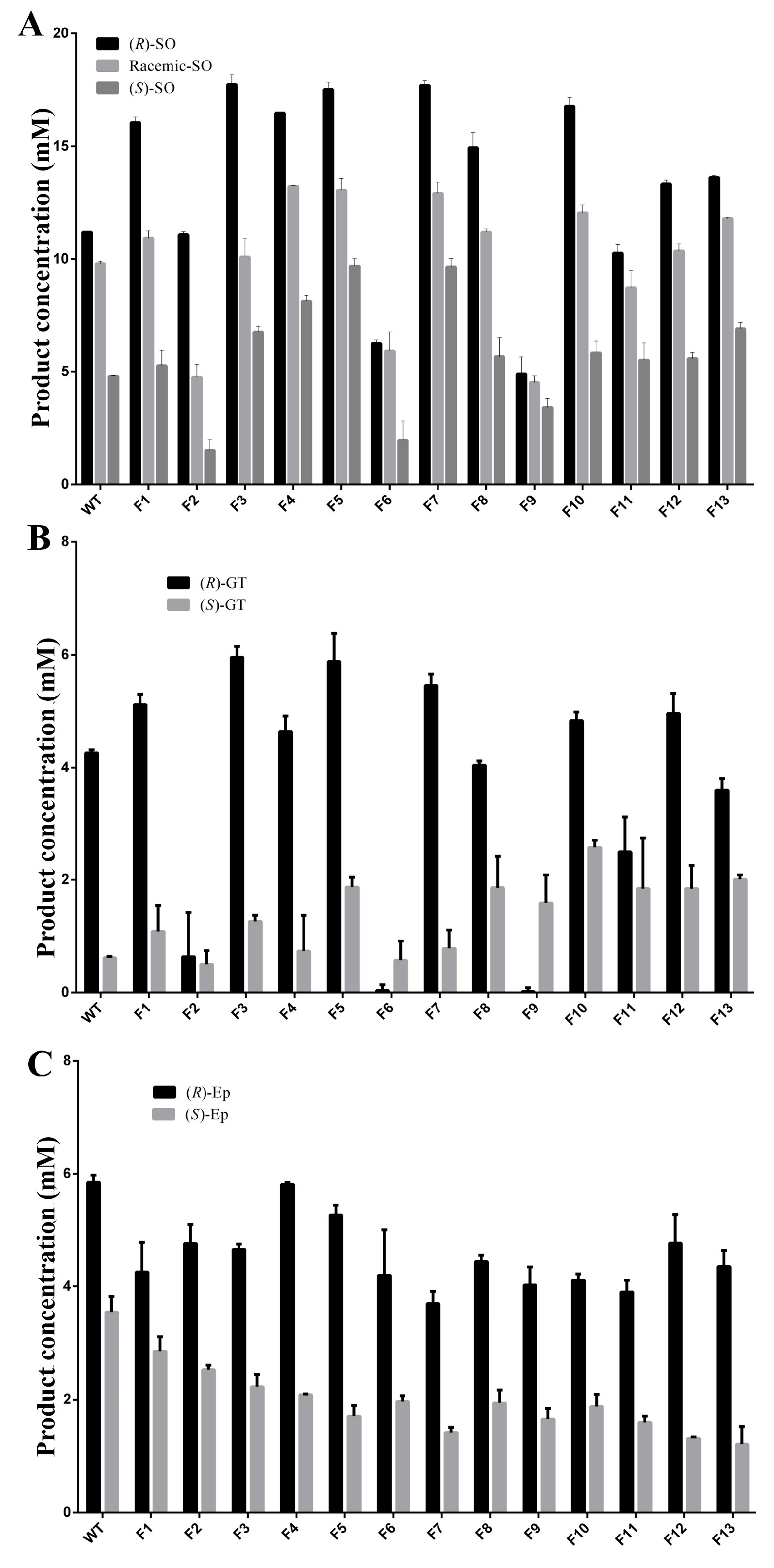
2.5. Acquisition of the Combined Mutants and Determination of Protease Activity
2.6. Kinetic Curve Determination of the Combined Mutant Proteins
2.7. Molecular Simulations Revealed the Mechanism of F3
3. Discussion
4. Materials and Methods
4.1. Materials
4.2. Mutation Library Construction
4.3. Mutation Library Screening
4.4. Protein Expression and Purification
4.5. Enzymatic Determination
4.6. Site-Directed Mutagenesis
4.7. Determination of Kinetic Properties
4.8. Structure Analysis and Molecular Docking
Supplementary Materials
Author Contributions
Funding
Institutional Review Board Statement
Informed Consent Statement
Data Availability Statement
Conflicts of Interest
References
- Iyer, M.R.; Kundu, B.; Wood, C.M. Soluble epoxide hydrolase inhibitors: An overview and patent review from the last decade. Expert Opin. Ther. Pat. 2022, 32, 629–647. [Google Scholar] [CrossRef] [PubMed]
- Zaugg, J.; Gumulya, Y.; Bodén, M.; Mark, A.E.; Malde, A.K. Effect of Binding on Enantioselectivity of Epoxide Hydrolase. Chem. Inf. Model. 2018, 58, 630–640. [Google Scholar] [CrossRef] [PubMed]
- Rui, L.; Cao, L.; Chen, W.; Reardon, K.F.; Wood, T.K. Protein engineering of epoxide hydrolase from Agrobacterium radiobacter AD1 for enhanced activity and enantioselective production of (R)-1-phenylethane-1, 2-diol. Appl. Environ. Microbiol. 2005, 71, 3995–4003. [Google Scholar] [CrossRef] [PubMed]
- Fukatsu, K.; Fujii, N.; Ohkawa, S. Synthesis of TAK-218 using (R)-2-methylglycidyl tosylate as a chiral building block. Tetrahedron Asymmetry 1999, 10, 1521–1526. [Google Scholar] [CrossRef]
- Askin, D.; Eng, K.K.; Rossen, K.; Purick, R.M.; Wells, K.M.; Volante, R.P.; Reider, P.J. Highly diastereoselective reaction of a chiral, non-racemic amide enolate with (S)-glycidyl tosylate. Synthesis of the orally active HIV-1 protease inhibitor L-735,524. Tetrahedron Lett. 1994, 35, 673–676. [Google Scholar] [CrossRef]
- Song, G.W.; Zhu, J.T.; Yao, G.X.; Chen, G. Asymmetric Synthesis of (S)-Metoprolol. Chin. J. Appl. Chem. 2010, 27, 1286–1290. [Google Scholar]
- Jiang, C.; Hong, H.A. New Practical Synthesis of Ethyl (R)-(-)-4-Cyano-3-hydroxybutyrate From (S)-3-chloro-1,2-propanediol. Lett. Org. Chem. 2012, 9, 520–521. [Google Scholar] [CrossRef]
- Nardini, M.; Ridder, I.S.; Rozeboom, H.J.; Kalk, K.H.; Rink, R.; Janssen, D.B.; Dijkstra, B.W. The X-ray Structure of Epoxide Hydrolase from Agrobacterium radiobacter AD1 An enzyme to detoxify harmful epoxides. J. Biol. Chem. 1999, 274, 14579–14586. [Google Scholar] [CrossRef] [PubMed]
- Eldrup, A.B.; Soleymanzadeh, F.; Taylor, S.J.; Muegge, I.; Farrow, N.A.; Joseph, D.; McKellop, K.; Man, C.C.; Kukulka, A.; Lombaert, S.D. Structure-based optimization of arylamides as inhibitors of soluble epoxide hydrolase. J. Med. Chem. 2009, 52, 5880–5895. [Google Scholar] [CrossRef]
- Wilson, C.; De Oliveira, G.S.; Adriani, P.P.; Chambergo, F.S.; Dias, M.V.B. Structure of a soluble epoxide hydrolase identified in Trichoderma reesei. Biochim. Biophys. Acta Proteins Proteom. 2017, 1865, 1039–1045. [Google Scholar] [CrossRef]
- Zou, S.; Zheng, Y.; Wu, Q.; Wang, Z.; Xue, Y.; Liu, Z. Enhanced catalytic efficiency and enantioselectivity of epoxide hydrolase from Agrobacterium radiobacter AD1 by iterative saturation mutagenesis for (R)-epichlorohydrin synthesis. Appl. Microbiol. Biotechnol. 2018, 102, 733–742. [Google Scholar] [CrossRef] [PubMed]
- Zhang, L.; Wu, J.; Feng, H. Homology modelling and site-directed mutagenesis studies of the epoxide hydrolase from Phanerochaete chrysosporium. J. Biochem. 2011, 149, 673–684. [Google Scholar] [CrossRef] [PubMed]
- Bredikhina, Z.A.; Fayzullin, R.R.; Kurenkov, A.V.; Pashagin, A.V.; Bredikhin, A.A. From racemic epichlorohydrin to a single enantiomer of the drug timolol maleate. Tetrahedron Asymmetry 2015, 26, 797–801. [Google Scholar] [CrossRef]
- Decker, M.; Arand, M.; Cronin, A. Mammalian epoxide hydrolases in xenobiotic metabolism and signalling. Arch. Toxicol. 2009, 83, 297–318. [Google Scholar] [CrossRef]
- Martinez, D.; Larrondo, L.F.; Putnam, N.; Gelpke, M.D.S.; Huang, K.; Chapman, J.; Helfenbein, K.G.; Ramaiya, P.; Detter, J.C.; Larimer, F.; et al. Genome sequence of the lignocellulose degrading fungus Phanerochaete chrysosporium strain RP78. Nat. Biotechnol. 2004, 22, 695–700. [Google Scholar] [CrossRef]
- Zhang, C.; Liu, Y.Y.; Li, C.; Xu, Y.H.; Su, Y.J.; Li, J.P.; Zhao, J.; Wu, M.C. Significant improvement in catalytic activity and enantioselectivity of a Phaseolus vulgaris epoxide hydrolase, Pv EH3, towards ortho-cresyl glycidyl ether based on the semi-rational design. Sci. Rep. 2020, 10, 1680. [Google Scholar]
- Bauer, P.; Carlsson, A.J.; Amrein, B.A.; Dobritzsch, D.; Widersten, M.; Kamerlin, S.C.L. Conformational diversity and enantioconvergence in potato epoxide hydrolase 1. Org. Biomol. Chem. 2016, 14, 5639–5651. [Google Scholar] [CrossRef]
- Argiriadi, M.A.; Morisseau, C.; Hammock, B.D.; Christianson, D.W. Detoxification of environmental mutagens and carcinogens: Structure, mechanism, and evolution of liver epoxide hydrolase. Proc. Natl. Acad. Sci. USA 1999, 96, 10637–10642. [Google Scholar] [CrossRef]
- Bučko, M.; Kaniaková, K.; Hronská, H.; Gemeiner, P.; Rosenberg, M. Epoxide hydrolases: Multipotential biocatalysts. Int. J. Mol. Sci. 2023, 24, 7334. [Google Scholar] [CrossRef]
- Rink, R.; Spelberg, J.H.L.; Pieters, R.J.; Kingma, J.; Nardini, M.; Kellogg, R.M.; Dijkstra, B.W.; Janssen, D.B. Mutation of tyrosine residues involved in the alkylation half reaction of epoxide hydrolase from Agrobacterium radiobacter AD1 results in improved enantioselectivity. J. Am. Chem. Soc. 1999, 121, 7417–7418. [Google Scholar] [CrossRef]
- Liu, Y.Y.; Wu, M.D.; Zhu, X.X.; Zhang, X.D.; Zhang, C.; Xu, Y.H.; Wu, M.C. Remarkable improvement in the regiocomplementarity of a Glycine max epoxide hydrolase by reshaping its substrate-binding pocket for the enantioconvergent preparation of (R)-hexane-1, 2-diol. Mol. Catal. 2021, 514, 111851. [Google Scholar] [CrossRef]
- Li, N.; Zhang, Y.; Feng, H. Biochemical characterization and transcriptional analysis of the epoxide hydrolase from white-rot fungus Phanerochaete chrysosporium. Acta Biochim. Biophys. Sin. 2009, 41, 638–647. [Google Scholar] [CrossRef] [PubMed]
- Wang, Z.; Wang, H.Y.; Feng, H. A simple and reproducible method for directed evolution: Combination of random mutation with dITP and DNA fragmentation with endonuclease V. Mol. Biotechnol. 2013, 53, 49–54. [Google Scholar] [CrossRef] [PubMed]
- Sun, Z.; Lonsdale, R.; Kong, X.D.; Xu, J.H.; Zhou, J.; Reetz, M.T. Reshaping an enzyme binding pocket for enhanced and inverted stereoselectivity: Use of smallest amino acid alphabets in directed evolution. Angew. Chem. 2015, 127, 12587–12592. [Google Scholar] [CrossRef]
- Van, L.B.; Spelberg, J.H.L.; Kingma, J.; Sonke, T.; Wubbolts, M.G.; Janssen, D.B. Directed evolution of epoxide hydrolase from A. radiobacter toward higher enantioselectivity by error-prone PCR and DNA shuffling. Chem. Biol. 2004, 11, 981–990. [Google Scholar] [CrossRef]
- Hu, D.; Tang, C.D.; Yang, B.; Liu, J.C.; Yu, T.; Deng, C.; Wu, M.C. Expression of a novel epoxide hydrolase of Aspergillus usamii E001 in Escherichia coli and its performance in resolution of racemic styrene oxide. J. Ind. Microbiol. Biotechnol. 2015, 42, 671–680. [Google Scholar] [CrossRef]
- Li, C.; Cui, H.; Ji, A.; Tian, X.; Qu, Y. Determination of epoxides in cell suspensions by double-wavelength spectrophotometry. J. Anal. Sci. 2004, 20, 245–247. [Google Scholar]
- Carta, G.; Jungbauer, A. Protein Chromatography: Process Development and Scale-Up, 2nd ed.; John Wiley & Sons: Hoboken, NJ, USA, 2020; pp. 78–84. [Google Scholar]
- Mateo, C.; Archelas, A.; Furstoss, R. A spectrophotometric assay for measuring and detecting an epoxide hydrolase activity. Anal. Biochem. 2003, 314, 135–141. [Google Scholar] [CrossRef]


denotes β-sheets,
represents an α-helix.
denotes β-sheets,
represents an α-helix.




| Mutant Type | Base Changes | Number | Percentage |
|---|---|---|---|
| Transition | A-G | 48 | 27.91 |
| G-A | 33 | 19.19 | |
| C-T | 39 | 22.67 | |
| T-C | 32 | 18.60 | |
| Transversion | T-A | 2 | 1.16 |
| C-A | 3 | 1.74 | |
| C-G | 6 | 3.48 | |
| A-T | 3 | 1.74 | |
| G-T | 3 | 1.74 | |
| G-C | 3 | 1.74 |
| Mutant | Mutant Sites | Mutant | Mutant Sites |
|---|---|---|---|
| M1 | A189T | M20 | G167D/T245A |
| M2 | G82C/S116G/A330T | M21 | A60T/A189T/T198M/A287T |
| M3 | D124G | M22 | N16D/K192R/V318I |
| M4 | A3V/H93Y | M23 | I139V/Q151R/E323G |
| M5 | G153R | M24 | R13H/I136V/P188S/A330V |
| M6 | L145P/A189T | M25 | K161R/A273T/D305G |
| M7 | Y163H | M26 | A130V/Q150R/L284S |
| M8 | Y117C/R242K | M27 | G26A/A306T |
| M9 | P119H | M28 | G14A/K291R |
| M10 | I299V | M29 | E220G/A283V |
| M11 | S131P | M30 | A24T |
| M12 | L31F/K192M | M31 | I123T/K149R/D305G |
| M13 | P138L/F221S | M32 | K98E/S164G/K223E |
| M14 | A3V/N230S | M33 | G103D/D316G |
| M15 | G82S/W209R | M34 | A76P/S80L/A126V/S131P/E165G/A273T/D316E |
| M16 | D74G/E293V | M35 | F15S/G26D/A130T/G167S/M244I/F329L |
| M17 | L176S | M36 | G107D/A129T/D187G/K192M/L206P/F270L/D292G/W294R |
| M18 | A330S | M37 | S53G/S110L/G134D/I148V/T218S/A250V/I256V/G332E |
| M19 | E327G | M38 | D2G |
| (R)-SO | (S)-SO | E-Value | |||||
|---|---|---|---|---|---|---|---|
| Mutant | Km (mM) | Kcat (s−1) | kcat/Km (s−1·mM−1) | Km (mM) | kcat (s−1) | kcat/Km (s−1·mM−1) | - |
| wt | 25.75 ± 2.08 | 1738.40 ± 50.79 | 67.51 | 39.23 ± 4.49 | 1351.63 ± 68.47 | 34.45 | 1.96 |
| F1 (G82C/C108S/S116G/A330T) | 21.9 ± 2.71 | 1775.98 ± 73.05 | 81.10 | 27.38 ± 3.05 | 1349.58 ± 56.08 | 49.29 | 1.65 |
| F2 (C108S/K161R/A273T/D305G) | 30.36 ± 0.95 | 1506.07 ± 18.46 | 49.61 | 68.35 ± 8.39 | 1253.92 ± 86.03 | 18.35 | 2.70 |
| F3 (G14A/C108S/K291R) | 21.71 ± 2.6 | 3023.75 ± 119.99 | 139.28 | 51.04 ± 2.04 | 1003.82 ± 19.95 | 19.67 | 7.08 |
| F4 (G82C/S116G/Y163H/A330T) | 20 ± 4.44 | 2101.25 ± 148.08 | 105.06 | 77.82 ± 11.99 | 1910.60 ± 172.81 | 24.55 | 4.28 |
| F5 (Y163H/E251G) | 14.16 ± 1.19 | 2349.98 ± 52.27 | 165.96 | 30.39 ± 2.99 | 986.05 ± 37.98 | 32.45 | 5.11 |
| F6 (K161R/Y163H/A273T/D305G) | 38.24 ± 3.51 | 1263.48 ± 50.66 | 33.04 | 93.45 ± 12.21 | 1336.60 ± 198.71 | 14.30 | 2.31 |
| F7 (G14A/Y163H/K291R) | 20.36 ± 1.34 | 2483.92 ± 52.43 | 122.00 | 57.82 ± 7.75 | 2080.07 ± 145.89 | 35.97 | 3.39 |
| F8 (G82C/S116G/E251G/A330T) | 16.28 ± 2.45 | 1697.40 ± 72.77 | 104.26 | 41.4 ± 3.53 | 1409.03 ± 54.45 | 34.03 | 3.06 |
| F9 (K161R/E251G/A273T/D305G) | 76.34 ± 9.38 | 1819.03 ± 130.31 | 23.83 | 52.71 ± 7.07 | 1195.83 ± 80.84 | 22.69 | 1.05 |
| F10 (G14A/E251G/K291R) | 22.6 ± 1.75 | 2250.22 ± 59.03 | 99.57 | 41.96 ± 2.07 | 1605.83 ± 36.09 | 38.27 | 2.60 |
| F11 (A24T/E251G) | 26.28 ± 3.79 | 1657.77 ± 87.26 | 63.08 | 43.98 ± 3.94 | 1137.75 ± 47.52 | 25.87 | 2.44 |
| F12 (I123T/K149R/E251G/D305G) | 22.45 ± 0.88 | 1777.35 ± 23.40 | 79.17 | 21.98 ± 1.01 | 1093.33 ± 16.68 | 49.74 | 1.59 |
| F13 (K98E/S164G/K223E/E251G) | 20.92 ± 2.08 | 1622.92 ± 52.49 | 77.58 | 28.65 ± 2.65 | 1390.58 ± 49.01 | 48.54 | 1.60 |
Disclaimer/Publisher’s Note: The statements, opinions and data contained in all publications are solely those of the individual author(s) and contributor(s) and not of MDPI and/or the editor(s). MDPI and/or the editor(s) disclaim responsibility for any injury to people or property resulting from any ideas, methods, instructions or products referred to in the content. |
© 2024 by the authors. Licensee MDPI, Basel, Switzerland. This article is an open access article distributed under the terms and conditions of the Creative Commons Attribution (CC BY) license (https://creativecommons.org/licenses/by/4.0/).
Share and Cite
Shao, H.; Xu, P.; Tao, X.; He, X.; Pu, C.; Liang, S.; Shi, Y.; Wang, X.; Feng, H.; Yong, B. Improving Hydrolytic Activity and Enantioselectivity of Epoxide Hydrolase from Phanerochaete chrysosporium by Directed Evolution. Molecules 2024, 29, 4864. https://doi.org/10.3390/molecules29204864
Shao H, Xu P, Tao X, He X, Pu C, Liang S, Shi Y, Wang X, Feng H, Yong B. Improving Hydrolytic Activity and Enantioselectivity of Epoxide Hydrolase from Phanerochaete chrysosporium by Directed Evolution. Molecules. 2024; 29(20):4864. https://doi.org/10.3390/molecules29204864
Chicago/Turabian StyleShao, Huanhuan, Pan Xu, Xiang Tao, Xinyi He, Chunyan Pu, Shaorong Liang, Yingxin Shi, Xiaoyan Wang, Hong Feng, and Bin Yong. 2024. "Improving Hydrolytic Activity and Enantioselectivity of Epoxide Hydrolase from Phanerochaete chrysosporium by Directed Evolution" Molecules 29, no. 20: 4864. https://doi.org/10.3390/molecules29204864
APA StyleShao, H., Xu, P., Tao, X., He, X., Pu, C., Liang, S., Shi, Y., Wang, X., Feng, H., & Yong, B. (2024). Improving Hydrolytic Activity and Enantioselectivity of Epoxide Hydrolase from Phanerochaete chrysosporium by Directed Evolution. Molecules, 29(20), 4864. https://doi.org/10.3390/molecules29204864

