Characterization of Differences in Chemical Profiles and Antioxidant Activities of Schisandra chinensis and Schisandra sphenanthera Based on Multi-Technique Data Fusion
Abstract
1. Introduction
2. Results
2.1. Profiling of Non-Volatile Components
2.2. Profiling of Volatile Components
2.3. PCA Results
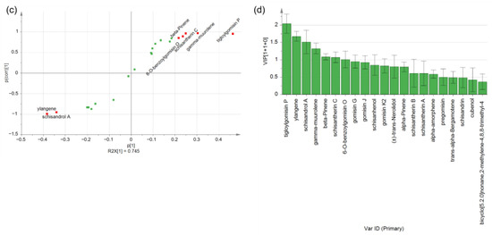
2.4. OPLS-DA Results
2.5. Heatmap Analysis of Differential Chemical Components
2.6. DPPH Assay Results
2.7. ABTS Assay Results
2.8. Gray Relational Analysis
3. Discussion
4. Materials and Methods
4.1. Plant Materials
4.2. Chemicals and Reagents
4.3. UPLC-Q-TOF/MS Analysis
4.4. GC-MS Analysis
4.5. DPPH Assay
4.6. ABTS Assay
4.7. Data Processing
4.8. Statistical Analysis
5. Conclusions
Supplementary Materials
Author Contributions
Funding
Institutional Review Board Statement
Informed Consent Statement
Data Availability Statement
Conflicts of Interest
References
- Committee, C.P. Pharmacopoeia of the People’s Republic of China; China Chemical Industry Press: Beijing, China, 2020. [Google Scholar]
- Zhang, M.X.; Huang, G.Y.; Bai, Y.Q.; Li, H.; Yang, B. Advances in chemical constituents and hepatoprotective effect of Schisandrae sphenantherae fructus and Schisandrae chinensis fructus. China J. Chin. Mater. Med. 2021, 46, 1017–1025. [Google Scholar]
- Qiu, H.T.; Zhao, X.P.; Li, Z.; Wang, L.L.; Wang, Y. Study on main pharmacodynamic effects for schisandra lignans based upon network pharmacology. China J. Chin. Mater. Med. 2015, 40, 522–527. [Google Scholar]
- Jeong, H.J.; Han, N.R.; Kim, K.Y.; Choi, I.S.; Kim, H.M. Gomisin A decreases the LPS-induced expression of iNOS and COX-2 and activation of RIP2/NF-κB in mouse peritoneal macrophages. Immunopharm Immunot. 2014, 36, 195–201. [Google Scholar] [CrossRef] [PubMed]
- Ip, S.P.; Poon, M.K.; Wu, S.S.; Che, C.T.; Ng, K.H.; Kong, Y.C.; Ko, K.M. Effect of schisandrin B on hepatic glutathione antioxidant system in mice: Protection against carbon tetrachloride toxicity. Planta Med. 1995, 61, 398–401. [Google Scholar] [CrossRef] [PubMed]
- Fan, X.M.; Chen, P.; Jiang, Y.M.; Wang, Y.; Tan, H.S.; Zeng, H.; Wang, Y.T.; Qu, A.J.; Gonzalez, F.J.; Huang, M.; et al. Therapeutic efficacy of Wuzhi tablet (Schisandra sphenanthera Extract) on acetaminophen-induced hepatotoxicity through a mechanism distinct from N-acetylcysteine. Drug Metab. Dispos. 2015, 43, 317–324. [Google Scholar] [CrossRef]
- Han, Z.Z.; Yang, Y.; Jia, H.M.; Wei, M.; Ma, Q.; Zhan, R.T.; Chen, W.W.; Zhou, Z.M. Chemical comparison of cultivated and wild type Flos Chrysanthemi Indici base on plant metabolomics and determination of the chemical constituents by UPLC. Chin. J. Pharm. Anal. 2017, 37, 1196–1206. [Google Scholar]
- Guo, Z.Y.; Zhao, A.H.; Chen, T.L.; Xie, G.X.; Zhou, M.M.; Qiu, M.F.; Jia, W. Differentiation of Schisandra chinensis and Schisandra sphenanthera using metabolite profiles based on UPLC-MS and GC-MS. Nat. Prod. Res. 2012, 26, 255–263. [Google Scholar] [CrossRef]
- Zhang, X.Y.; Liu, J.S.; Gao, S.M.; Chen, R.C.; Qi, Y.D.; Zhang, B.G.; Liu, H.T.; Xiao, P.G. Research methods and applications progress on spectrum-effect relationships in study of traditional Chinese medicine. China J. Chin. Mater. Med. 2019, 44, 4405–4411. [Google Scholar]
- Willcox, J.K.; Ash, S.L.; Catignani, G.L. Antioxidants and prevention of chronic disease. Crit. Rev. Food Sci. Nutr. 2004, 44, 275–295. [Google Scholar] [CrossRef] [PubMed]
- Davies, K.J.A. Free radicals and redox regulation in ageing. Free Radic. Biol. Med. 2019, 134, 688–689. [Google Scholar] [CrossRef]
- Pi, Z.F.; Hou, G.Y.; Ai, J.; Song, F.R.; Liu, Z.Q.; Liu, S.Y. Correlation between lignan content and antioxidant activity in Schisandra chinensis studied by chemometric methods. China J. Chin. Mater. Med. 2012, 37, 1133–1139. [Google Scholar]
- Cannavacciuolo, C.; Pagliari, S.; Giustra, C.M.; Carabetta, S.; Guidi Nissim, W.; Russo, M.; Branduardi, P.; Labra, M.; Campone, L. LC-MS and GC-MS data fusion metabolomics profiling coupled with multivariate analysis for the discrimination of different parts of Faustrime Fruit and evaluation of their antioxidant activity. Antioxidants 2023, 12, 1–17. [Google Scholar] [CrossRef] [PubMed]
- Lin, T.J.; Liu, G.T.; Li, X.J.; Zhao, B.L.; Xin, W.J. Scavenging effect of Schisandra chinensis on reactive oxygen radicals. Chin. J. Pharmacol. Toxicol. 1989, 3, 153. [Google Scholar]
- Wang, Z.M. Study on the Lignans Contents of Schisandrae Chinensis Fructus. Master’s Thesis, Jilin Agricultural University, Jilin, China, 2016. [Google Scholar]
- Li, W.; Liu, Y.L.; Song, Y.G.; Liu, K.Y.; Su, D.; Feng, Y.L.; Li, Y. Rapid identification on chemical constituents in fruits of Schisandra sphenanthera and Schisandra chinensis and discrimination markers by UPLC-QTOF-MS combined with OPLS-DA. Chin. Herb. Med. 2015, 46, 2212–2218. [Google Scholar]
- Fu, S.L.; Chen, B.; Yao, S.Z. Comparative analysis of chemical constituents in fruits of Schisandra chinensis (Turcz. )Baill. and Schisandra sphenanthera Rehd. et Wils. Chin. J. Pharm. Anal. 2009, 29, 524–531. [Google Scholar]
- Shen, Z.Y.; Chen, X.H.; Xiong, L.; Bi, K.S. Establishment and analysis of GC fingerprints for evaluating the quality of Schisandra chinensis and Schisandra sphenanthera. J. Shenyang Pharm. Univ. 2008, 151, 650–655. [Google Scholar]
- Mocan, A.; Schafberg, M.; Crișan, G.; Rohn, S. Determination of lignans and phenolic components of Schisandra chinensis (Turcz.) Baill. using HPLC-ESI-ToF-MS and HPLC-online TEAC: contribution of individual components to overall antioxidant activity and comparison with traditional antioxidant assays. J. Funct. Foods 2016, 24, 579–594. [Google Scholar] [CrossRef]
- Lin, L.J.; Zhang, M.X.; Li, H.; Lan, X.M.; Wei, X.L.; Guo, C.; Yang, B. Identification of Q-markers for Schisandrae sphenantherae Fructus in treating drug-induced liver injury based on network pharmacology, fingerprint and quantitative analysis. China J. Chin. Mater. Med. 2023, 48, 5460–5473. [Google Scholar]
- Sheng, Y.H.; Wang, R.; Wang, Y.K.; Li, M.M.; Hunag, X.; Chen, C.B. Analysis of volatile components in Schisandra chinensis by GC-MS. West Chin. J. Pharm. Sci. 2022, 37, 648–651. [Google Scholar]
- Liu, Y.R.; Guo, M.J.; Yang, L.X.; Qu, Y.; Pan, X.L.; Yang, B.; Li, H. Comparative study on main components and antioxidant activity of Scutellaria Radix from different genuine producing areas. Nat. Prod. Res. Dev. 2024, 36, 1–19. [Google Scholar]
- Nijat, D.; Lu, C.F.; Lu, J.J.; Abdulla, R.; Hasan, A.; Aidarhan, N.; Aisa, H.A. Spectrum-effect relationship between UPLC fingerprints and antidiabetic and antioxidant activities of Rosa rugosa. J. Chromatogr. B Anal. Technol. Biomed. Life Sci. 2021, 1179, 122843. [Google Scholar] [CrossRef] [PubMed]
- Huang, X.; Song, F.R.; Liu, Z.Q.; Liu, S.Y. Structural characterization and identification of dibenzocyclooctadiene lignans in Fructus Schisandrae using electrospray ionization ion trap multiple-stage tandem mass spectrometry and electrospray ionization fourier transform ion cyclotron resonance multiple-stage tandem mass spectrometry. Anal. Chim. Acta 2008, 615, 124–135. [Google Scholar] [PubMed]
- Zhou, Y.; Huang, S.X.; Pu, J.X.; Li, J.R.; Ding, L.S.; Chen, D.F.; Sun, H.D.; Xu, H.X. Ultra performance liquid chromatography coupled with quadrupole time-of-flight mass spectrometric procedure for qualitative and quantitative analyses of nortriterpenoids and lignans in the genus Schisandra. J. Pharm. Biomed. Anal. 2011, 56, 916–927. [Google Scholar] [CrossRef] [PubMed]
- Liu, H.T.; Zhang, J.; Li, X.B.; Qi, Y.D.; Peng, Y.; Zhang, B.G.; Xiao, P.G. Chemical analysis of twelve lignans in the fruit of Schisandra sphenanthera by HPLC-PAD-MS. Phytomedicine 2012, 19, 1234–1241. [Google Scholar] [CrossRef] [PubMed]
- Liu, H.T.; Lai, H.W.; Jia, X.Y.; Liu, J.S.; Zhang, Z.; Qi, Y.D.; Zhang, J.; Song, J.B.; Wu, C.M.; Zhang, B.G.; et al. Comprehensive chemical analysis of Schisandra chinensis by HPLC-DAD-MS combined with chemometrics. Phytomedicine 2013, 20, 1135–1143. [Google Scholar] [CrossRef]
- Zhang, J.P.; Guo, X.F.; Yang, Y.Y.; Zhao, Z.Y.; Li, B.L.; Liu, Y.Y.; Qi, Y.X. Simultaneous determination of fifteen components in purified lignans from Schisandrae chinensis fructus by UPLC. Chin. J. Pharm. Anal. 2022, 42, 1697–1707. [Google Scholar]
- Charve, J.; Chen, C.; Hegeman, A.D.; Reineccius, G.A. Evaluation of instrumental methods for the untargeted analysis of chemical stimuli of orange juice flavour. Flavour Fragr. J. 2011, 26, 429–440. [Google Scholar] [CrossRef]





| Peak No. | Retention Time/min | Compound | Formula | Plant Source | Classification | |
|---|---|---|---|---|---|---|
| S. chinensis | S. sphenanthera | |||||
| 1 | 5.106 | α-Pinene | C10H16 | + | + | monoterpene |
| 2 | 5.377 | Camphene | C10H16 | + | − | monoterpene |
| 3 | 6.025 | β-Pinene | C10H16 | + | + | monoterpene |
| 4 | 6.552 | Bornylene | C10H16 | + | − | monoterpene |
| 5 | 6.695 | m-Cymene | C10H14 | + | − | monoterpene |
| 6 | 6.78 | D-Limonene | C10H16 | + | − | monoterpene |
| 7 | 7.33 | γ-Terpinene | C10H16 | + | − | monoterpene |
| 8 | 9.808 | 4-Terpineol | C10H18O | + | − | alcohol |
| 9 | 11.246 | 2-Isopropyl-5-methylanisole | C11H16O | + | − | ether |
| 10 | 13.072 | Bornyl acetate | C12H20O2 | + | − | ester |
| 11 | 15.363 | 3-Carene | C10H16 | − | + | monoterpene |
| 12 | 16.118 | α-Cubebene | C15H24 | − | + | sesquiterpene |
| 13 | 16.893 | α-Bisabolene | C15H24 | − | + | sesquiterpene |
| 14 | 17.127 | 1,2,4-Methenoazulene | C15H24 | + | − | sesquiterpene |
| 15 | 17.432 | Ylangene | C15H24 | + | + | sesquiterpene |
| 16 | 17.687 | Copaene | C15H24 | − | + | sesquiterpene |
| 17 | 18.248 | Cyclobuta[1,2:3,4]dicyclopentene,decahydro-3a-methyl-6-methylene-1-(1-methylethyl)-, (1S,3aS,3bR,6aS,6bR) | C15H24 | − | + | sesquiterpene |
| 18 | 19.37 | Naphthalene,1,2,3,4,4a,5,6,8a-octahydro-7-methyl-4-methylene-1-(1-methylethyl)-,(1α,4aβ,8aα) | C15H24 | − | + | sesquiterpene |
| 19 | 20.475 | Sativene | C15H24 | + | − | sesquiterpene |
| 20 | 20.72 | Tricyclo[2.2.1.0(2,6)]heptane,1,7-dimethyl-7-(4-methyl-3-pentenyl) | C15H24 | − | + | sesquiterpene |
| 21 | 21.091 | Isoledene | C15H24 | − | + | sesquiterpene |
| 22 | 21.356 | (−)-Thujopsene | C15H24 | + | − | sesquiterpene |
| 23 | 23.561 | β-(Z)-Farnesene | C15H24 | + | − | sesquiterpene |
| 24 | 23.945 | Germacrene D | C15H24 | − | + | sesquiterpene |
| 25 | 24.137 | α-cis-Bisabolene | C15H24 | + | − | sesquiterpene |
| 26 | 24.374 | α-Acoradiene | C15H24 | + | − | sesquiterpene |
| 27 | 25.145 | Cyclohexene,4-ethenyl-4-methyl-3-(1-methylethenyl) | C15H24 | − | + | sesquiterpene |
| 28 | 25.258 | Bicyclo[5.2.0]nonane, 2-methylene-4,8,8-trimethyl-4-viny | C15H24 | + | + | sesquiterpene |
| 29 | 25.546 | α-Amorphene | C15H24 | + | + | sesquiterpene |
| 30 | 26.007 | α-Selinene | C15H24 | + | − | sesquiterpene |
| 31 | 26.676 | Naphthalene,1,2,4a,5,8,8a-hexahydro-4,7-dimethyl-1-(1-methylethyl) | C15H24 | + | − | sesquiterpene |
| 32 | 27.185 | β-Himachalene | C15H24 | + | − | sesquiterpene |
| 33 | 27.413 | α-Longipinene | C15H24 | − | + | sesquiterpene |
| 34 | 27.79 | Cadina-1(10) | C15H24 | + | − | sesquiterpene |
| 35 | 27.798 | Benzene,1-methyl-4-(1,2,2-trimethylcyclopentyl)-, (R) | C15H22 | − | + | alkene |
| 36 | 27.993 | β-Bisabolene | C15H24 | + | − | sesquiterpene |
| 37 | 28.308 | γ-Muurolene | C15H24 | + | + | sesquiterpene |
| 38 | 29.172 | Cedrene | C15H24 | + | − | sesquiterpene |
| 39 | 29.298 | Naphthalene,1,2,4a,5,8,8a-hexahydro-4,7-dimethyl-1-(1-methylethyl)-,(1S,4aR,8aS) | C15H24 | − | + | sesquiterpene |
| 40 | 29.715 | trans-α-Bergamotene | C15H24 | + | + | sesquiterpene |
| 41 | 30.312 | α-Muurolene | C15H24 | − | + | sesquiterpene |
| 42 | 31.015 | γ-Elemene | C15H24 | − | + | sesquiterpene |
| 43 | 31.476 | Alloaromadendrene | C15H24 | + | − | sesquiterpene |
| 44 | 31.579 | β-Vatirenene | C15H22 | − | + | alkene |
| 45 | 32.353 | (±)-trans-Nerolidol | C15H26O | + | + | alcohol |
| 46 | 33.19 | (−)-Spathulenol | C15H24O | − | + | alcohol |
| 47 | 33.466 | Caryophyllene oxide | C15H24O | − | + | ether |
| 48 | 35.812 | Aromadendreneoxide-(1) | C15H24O | − | + | ether |
| 49 | 36.761 | Alloaromadendreneoxide-(2) | C15H24O | − | + | ether |
| 50 | 37.408 | Cubenol | C15H26O | + | + | alcohol |
| 51 | 38.555 | trans-(Z)-α-Bergamotol | C15H24O | − | + | alcohol |
| 52 | 39.485 | α-Santalol | C15H24O | − | + | alcohol |
| 53 | 39.829 | Ledol | C15H26O | − | + | alcohol |
| 54 | 41.157 | 1H-cycloprop[e]azulen-7-ol, decahydro-1,1,7-trimethyl-4-methylene-,[1ar-(1aα,4aα,7β,7aβ,7bα)] | C15H24O | − | + | alcohol |
| 55 | 42.162 | α-Santalol | C15H24O | − | + | alcohol |
| 56 | 47.815 | Cis-cyclohexane, 1, 2-diethenyl-4-(1-methylethylidene) | C13H20 | + | − | alkene |
| 57 | 48.338 | Docosahexaenoic acid methyl ester | C14H2O | + | − | ester |
| 58 | 48.807 | 2,4a-Methanonaphthalen-7(4aH)-one,1,2,3, 4,5,6-hexahydro-1,1,5,5-tetramethyl-,(2s-cis) | C15H22O | + | − | alkone |
| 59 | 49.506 | Bicyclo[7.2.0]undec-4-ene,4,11,11-trimethyl-8-methylene | C15H24 | + | − | sesquiterpene |
| 60 | 49.968 | 2,5,6-Trimethylhepta-1,3,6-triene | C10H16 | + | − | monoterpene |
| 61 | 50.315 | Isomer of Bicyclo[5.2.0]nonane, 2-methylene-4,8,8-trimethyl-4-vinyl | C15H24 | + | − | sesquiterpene |
| 62 | 51.099 | Farnesyl acetate | C17H28O2 | + | − | ester |
Disclaimer/Publisher’s Note: The statements, opinions and data contained in all publications are solely those of the individual author(s) and contributor(s) and not of MDPI and/or the editor(s). MDPI and/or the editor(s) disclaim responsibility for any injury to people or property resulting from any ideas, methods, instructions or products referred to in the content. |
© 2024 by the authors. Licensee MDPI, Basel, Switzerland. This article is an open access article distributed under the terms and conditions of the Creative Commons Attribution (CC BY) license (https://creativecommons.org/licenses/by/4.0/).
Share and Cite
Lin, L.; Tang, Z.; Xie, H.; Yang, L.; Yang, B.; Li, H. Characterization of Differences in Chemical Profiles and Antioxidant Activities of Schisandra chinensis and Schisandra sphenanthera Based on Multi-Technique Data Fusion. Molecules 2024, 29, 4865. https://doi.org/10.3390/molecules29204865
Lin L, Tang Z, Xie H, Yang L, Yang B, Li H. Characterization of Differences in Chemical Profiles and Antioxidant Activities of Schisandra chinensis and Schisandra sphenanthera Based on Multi-Technique Data Fusion. Molecules. 2024; 29(20):4865. https://doi.org/10.3390/molecules29204865
Chicago/Turabian StyleLin, Lujie, Zhuqian Tang, Huijuan Xie, Lixin Yang, Bin Yang, and Hua Li. 2024. "Characterization of Differences in Chemical Profiles and Antioxidant Activities of Schisandra chinensis and Schisandra sphenanthera Based on Multi-Technique Data Fusion" Molecules 29, no. 20: 4865. https://doi.org/10.3390/molecules29204865
APA StyleLin, L., Tang, Z., Xie, H., Yang, L., Yang, B., & Li, H. (2024). Characterization of Differences in Chemical Profiles and Antioxidant Activities of Schisandra chinensis and Schisandra sphenanthera Based on Multi-Technique Data Fusion. Molecules, 29(20), 4865. https://doi.org/10.3390/molecules29204865

