Investigation into the Influence of the Process Parameters on the Stability of a Poly(Vinyl)-Alcohol-Based Coating System
Abstract
1. Introduction
2. Results and Discussion
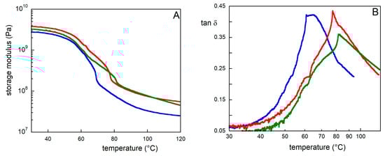
2.1. Thermal Ageing
2.2. Photochemical Ageing
2.3. Further Studies on Opadry_O-Based Samples
3. Materials and Methods
3.1. Materials
3.2. Preparation of the Aqueous Casting Films
3.3. Preparation of the Coated Tablets
3.4. Ageing of the Samples
3.5. Water-Desorbing Experiments
3.6. Rheological Measurements
3.7. UV-Vis and FTIR Absorption Spectroscopy
3.8. NMR Spectroscopy
3.9. Colorimetry Experiments
3.10. Dynamic Mechanical Thermal Analysis
3.11. Disintegration Tests
4. Conclusions
Supplementary Materials
Author Contributions
Funding
Institutional Review Board Statement
Informed Consent Statement
Data Availability Statement
Conflicts of Interest
References
- Desai, S.D.; Kundu, I.; Swamy, N.P.; Crull, G.B.; Pan, D.; Zhao, J.; Shah, R.P.; Venkatesh, C.; Vig, B.; Varia, S.A.; et al. Cross-linking of poly (vinyl alcohol) films under acidic and thermal stress. Eur. J. Pharm. Sci. 2020, 152, 105429. [Google Scholar] [CrossRef] [PubMed]
- Koo, O.M.; Fiske, J.D.; Yang, H.; Nikfar, F.; Thakur, A.; Scheer, B.; Adams, M.L. Investigation into stability of poly (vinyl alcohol)-based Opadry II films. AAPS PharmSciTech 2011, 12, 746–754. [Google Scholar] [CrossRef] [PubMed][Green Version]
- Felton, L. Drugs and the pharmaceutical sciences. In Aqueous Polymeric Coating for Pharmaceutical Dosage Forms, 4th ed.; CRC Press: Boca Raton, FL, USA; Taylor & Francis Group: New York, NY, USA, 2017; ISBN 9781315369938. [Google Scholar]
- Bley, O.; Siepmann, J.; Bodmeier, R. Importance of glassy-to-rubbery state transitions in moisture-protective polymer coatings. Eur. J. Pharm. Biopharm. 2009, 73, 146–153. [Google Scholar] [CrossRef] [PubMed]
- Mwesigwa, E.; Buckton, G.; Basit, A.W. The hygroscopicity of moisture barrier film coatings. Drug Dev. Ind. Pharm. 2005, 31, 959–968. [Google Scholar] [CrossRef]
- Mwesigwa, E.; Basit, A.W.; Buckton, G. Moisture sorption and permeability characteristics of polymer films: Implications for their use as barrier coatings for solid dosage forms containing hydrolyzable drug substances. J. Pharm. Sci. 2008, 97, 4433–4445. [Google Scholar] [CrossRef] [PubMed]
- Mwesigwa, E.; Basit, A.W. An investigation into moisture barrier film coating efficacy and its relevance to drug stability in solid dosage forms. Int. J. Pharm. 2016, 497, 70–77. [Google Scholar] [CrossRef]
- Felton, L.A.; McGinity, J.W. Influence of insoluble excipients on film coating systems. Drug Dev. Ind. Pharm. 2002, 28, 225–243. [Google Scholar] [CrossRef] [PubMed]
- Higueras, M.; Collado-Montero, F.J.; Medina, V.J. Colourimetric evaluation of 3D printing polymers exposed to accelerated aging for Cultural Heritage applications. Colour Res. Appl. 2023, 48, 283–295. [Google Scholar] [CrossRef]
- Rynkowska, E.; Fatyeyeva, K.; Marais, S.; Kujawa, J.; Kujawski, W. Chemically and thermally crosslinked PVA-based membranes: Effect on swelling and transport behavior. Polymers 2019, 11, 1799. [Google Scholar] [CrossRef]
- Majerczak, K.; Manning, J.R.; Shi, Z.; Zhang, Z.; Zhang, Z.J. Surface wetting kinetics of water soluble organic film. Prog. Org. Coat. 2023, 177, 107436. [Google Scholar] [CrossRef]
- Liu, B.; Zhang, J.; Guo, H. Research progress of polyvinyl alcohol water-resistant film materials. Membranes 2022, 12, 347. [Google Scholar] [CrossRef] [PubMed]
- Cano, A.I.; Cháfer, M.; Chiralt, A.; González-Martínez, C. Physical and microstructural properties of biodegradable films based on pea starch and PVA. J. Food Eng. 2015, 167, 59–64. [Google Scholar] [CrossRef]
- Moll, C.J.; Meister, K.; Kirschner, J.; Bakker, H.J. Surface Structure of Solutions of Poly (vinyl alcohol) in Water. J. Phys. Chem. B 2018, 122, 10722–10727. [Google Scholar] [CrossRef]
- Kong, D.; Wei, W.; Zhi, X.; Du, B.; Chen, X. Poly(vinyl alcohol) antibacterial films containing cross-linked chitosan-citric and photosensitive curcumin. J. Appl. Polym. Sci. 2023, 140, e54545. [Google Scholar] [CrossRef]
- Lee, J.; Lee, K.J.; Jang, J. Effect of silica nanofillers on isothermal crystallization of poly (vinyl alcohol): In-situ ATR-FTIR study. Polym. Test. 2008, 27, 360–367. [Google Scholar] [CrossRef]
- Khatri, Z.; Wei, K.; Kim, B.S.; Kim, I.S. Effect of deacetylation on wicking behavior of co-electrospun cellulose acetate/polyvinyl alcohol nanofibers blend. Carbohydr. Polym. 2012, 87, 2183–2188. [Google Scholar] [CrossRef]
- Chen, Y.; Sun, Z.; Yang, Y.; Ke, Q. Heterogeneous photocatalytic oxidation of polyvinyl alcohol in water. J. Photochem. Photobiol. A Chem. 2001, 142, 85–89. [Google Scholar] [CrossRef]
- Gaume, J.; Wong-Wah-Chung, P.; Rivaton, A.; Thérias, S.; Gardette, J.L. Photochemical behavior of PVA as an oxygen-barrier polymer for solar cell encapsulation. RSC Adv. 2011, 1, 1471–1481. [Google Scholar] [CrossRef]
- Lin, Y.P.; Dhib, R.; Mehrvar, M. Recent Advances in Dynamic Modeling and Process Control of PVA Degradation by Biological and Advanced Oxidation Processes: A Review on Trends and Advances. Environments 2021, 8, 116. [Google Scholar] [CrossRef]
- Bossmann, S.H.; Oliveros, E.; Göb, S.; Kantor, M.; Göppert, A.; Braun, A.M.; Lei, L.; Yue, P.L. Oxidative degradation of polyvinyl alcohol by the photochemically enhanced Fenton reaction. Evidence for the formation of super-macromolecules. Prog. React. Kinet. Mech. 2001, 26, 113–137. [Google Scholar] [CrossRef]
- Hsu, L.J.; Lee, L.T.; Lin, C.C. Adsorption and photocatalytic degradation of polyvinyl alcohol in aqueous solutions using P-25 TiO2. Chem. Eng. J. 2011, 173, 698–705. [Google Scholar] [CrossRef]
- Luo, Y.; Jiang, X.; Zhang, W.; Li, X. Effect of aluminium nitrate hydrate on the crystalline, thermal and mechanical properties of poly (vinyl alcohol) film. Polym. Polym. Compos. 2015, 23, 555–562. [Google Scholar] [CrossRef]
- Prosanov, I.Y.; Bulina, N.V.; Gerasimov, K.B. Complexes of polyvinyl alcohol with insoluble inorganic compounds. Phys. Solid State 2013, 55, 2132–2135. [Google Scholar] [CrossRef]
- Wiese, G.R.; Healy, T.W. Adsorption of Al (III) at the TiO2-H2O interface. J. Colloid Interface Sci. 1975, 51, 434–442. [Google Scholar] [CrossRef]
- Bravar, M.; Rek, V.; Kostelac-Biffl, R. The effect of ultraviolet irradiation on photo-oxidation and crosslinking reactions in a poly (vinyl alcohol)-ammonium dichromate system. J. Polym. Sci. Polym. Symp. 1973, 40, 19–31. [Google Scholar] [CrossRef]
- Sours, R.E.; Fink, D.A.; Swift, J.A. Dyeing uric acid crystals with methylene blue. J. Am. Chem. Soc. 2002, 124, 8630–8636. [Google Scholar] [CrossRef]
- Mandal, S.; Dasmahapatra, A.K. Effect of aging on the microstructure and physical properties of Poly(vinyl alcohol) hydrogel. J. Polym. Res. 2021, 28, 269. [Google Scholar] [CrossRef]
- Vijayalakshmi, S.P.; Madras, G. Photodegradation of poly (vinyl alcohol) under UV and pulsed-laser irradiation in aqueous solution. J. Appl. Polym. Sci. 2006, 102, 958–966. [Google Scholar] [CrossRef]
- Dong, R.; Nassar, M.; Friend, B.; Teckoe, J.; Zeitler, J.A. Studying the dissolution of immediate release film coating using terahertz pulsed imaging. Int. J. Pharm. 2023, 630, 122456. [Google Scholar] [CrossRef]
- Barretta, P.; Bordi, F.; Rinaldi, C.; Paradossi, G. A dynamic light scattering study of hydrogels based on telechelic poly(vinyl alcohol). J. Phys. Chem. B 2000, 104, 11019–11026. [Google Scholar] [CrossRef]
- Shin, J.; Kim, Y.; Lim, Y.M.; Nho, Y.C. Removal of sodium acetate in poly (vinyl alcohol) and its quantification by 1H NMR spectroscopy. J. Appl. Polym. Sci. 2008, 107, 3179–3183. [Google Scholar] [CrossRef]
- Jordan, M.P.; Taylor, J. Film Coatings and Film Coating Compositions Based on Polyvinyl Alcohol. U.S. Patent 6,448,323, 10 October 2002. [Google Scholar]
- Phillips, S.D.; Shakarji, C.M.; Balsamo, A.; Krystek, M.; Morse, E. The 2016 Revision of ISO 1—Standard Reference Temperature for the Specification of Geometrical and Dimensional Properties. J. Res. Natl. Inst. Stand. Technol. 2016, 121, 498–504. [Google Scholar] [CrossRef] [PubMed][Green Version]
- European Pharmacopoeia Commission; European Directorate for the Quality of Medicines & Healthcare. European Pharmacopoeia; Council of Europe: Strasbourg, France, 2010. [Google Scholar]









| Name | Composition | Abbreviation |
|---|---|---|
| Opadry White II | PVA, PEG 3000, lecithin (soy), talc, TiO2 | Opadry_W |
| Opadry Orange II | PVA, PEG 3000, talc, TiO2, Sunset Yellow #6 | Opadry_O |
| PVA | Poly(vinyl alcohol) | PVA |
| PVA-Al(OH)3-TiO2 | PVA/Al(OH)3/TiO2 = 76/4/20 (w/w) | PVA_Al_Ti |
| PVA-TiO2-Sunset Yellow #6 | PVA/ Sunset Yellow #6/TiO2 = 76/4/20 (w/w) | PVA_Ti_SY |
| Sample | Non-Aged | T-Aged | UV-Aged |
|---|---|---|---|
| Opadry_O | (42 ± 1)° | (38 ± 2)° | (43 ± 1)° |
| Opadry_W | (44 ± 1)° | (35 ± 1)° | (49 ± 2)° |
| PVA | (55 ± 2)° | (47 ± 1)° | (57 ± 2)° |
| PVA_Al_Ti | (61 ± 1)° | (37 ± 1)° | (61 ± 2)° |
| PVA_Ti_SY | (46 ± 2)° | (42 ± 2)° | (53 ± 1)° |
| Disintegration Time (s) | Not Aged Tablet | T Aged Tablet | UV Aged Tablet |
|---|---|---|---|
| start-end | 6–34 | 35–70 | 4–35 |
Disclaimer/Publisher’s Note: The statements, opinions and data contained in all publications are solely those of the individual author(s) and contributor(s) and not of MDPI and/or the editor(s). MDPI and/or the editor(s) disclaim responsibility for any injury to people or property resulting from any ideas, methods, instructions or products referred to in the content. |
© 2024 by the authors. Licensee MDPI, Basel, Switzerland. This article is an open access article distributed under the terms and conditions of the Creative Commons Attribution (CC BY) license (https://creativecommons.org/licenses/by/4.0/).
Share and Cite
Canale, V.C.; Paleari, L.; Bragaglia, M.; Petrella, G.; Severini, L.; Nanni, F.; Mazzuca, C.; Palleschi, A. Investigation into the Influence of the Process Parameters on the Stability of a Poly(Vinyl)-Alcohol-Based Coating System. Molecules 2024, 29, 386. https://doi.org/10.3390/molecules29020386
Canale VC, Paleari L, Bragaglia M, Petrella G, Severini L, Nanni F, Mazzuca C, Palleschi A. Investigation into the Influence of the Process Parameters on the Stability of a Poly(Vinyl)-Alcohol-Based Coating System. Molecules. 2024; 29(2):386. https://doi.org/10.3390/molecules29020386
Chicago/Turabian StyleCanale, Viviana Claudia, Lorenzo Paleari, Mario Bragaglia, Greta Petrella, Leonardo Severini, Francesca Nanni, Claudia Mazzuca, and Antonio Palleschi. 2024. "Investigation into the Influence of the Process Parameters on the Stability of a Poly(Vinyl)-Alcohol-Based Coating System" Molecules 29, no. 2: 386. https://doi.org/10.3390/molecules29020386
APA StyleCanale, V. C., Paleari, L., Bragaglia, M., Petrella, G., Severini, L., Nanni, F., Mazzuca, C., & Palleschi, A. (2024). Investigation into the Influence of the Process Parameters on the Stability of a Poly(Vinyl)-Alcohol-Based Coating System. Molecules, 29(2), 386. https://doi.org/10.3390/molecules29020386

