Storage Effects on the Physicochemical Properties, Phytochemical Composition, and Sugars in Red-Fleshed Cultivars, ‘Rubycot’ Plumcot, and ‘Queen Garnet’ Plum
Abstract
1. Introduction
2. Results and Discussion
2.1. Physicochemical Properties
2.2. Total Phenolic Content (TPC)
2.3. Anthocyanins
2.4. Quercetins
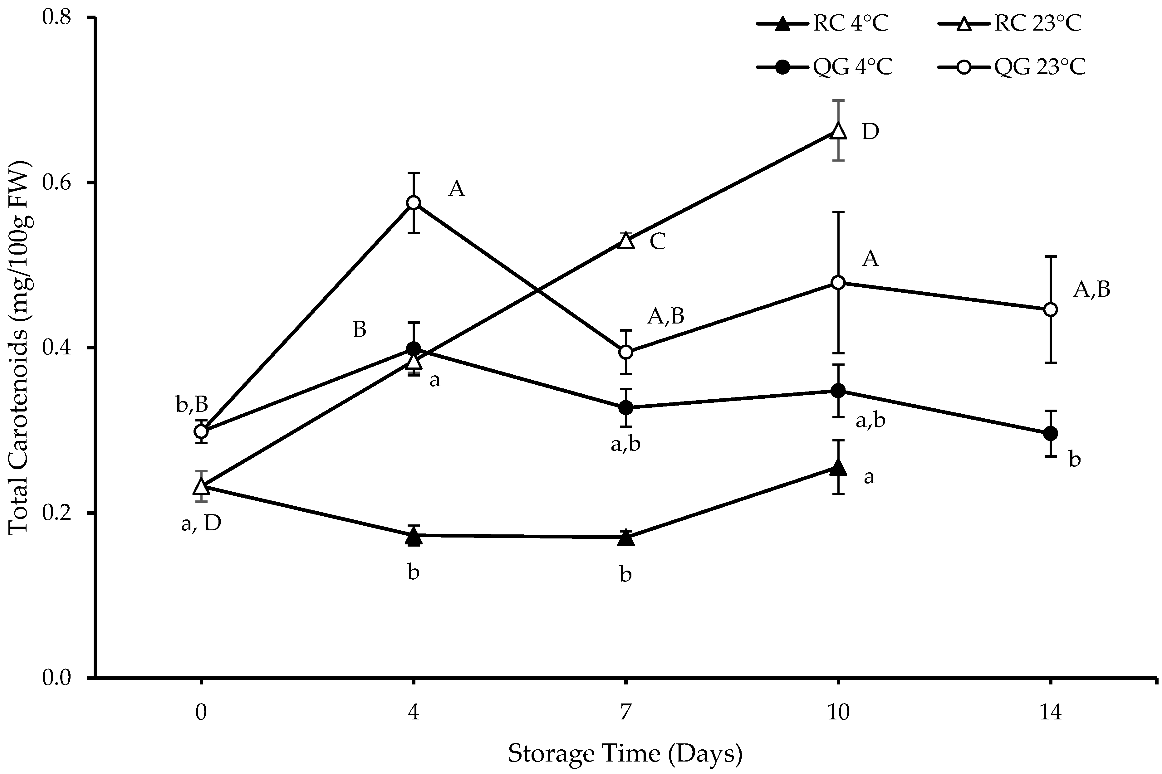
2.5. Carotenoids
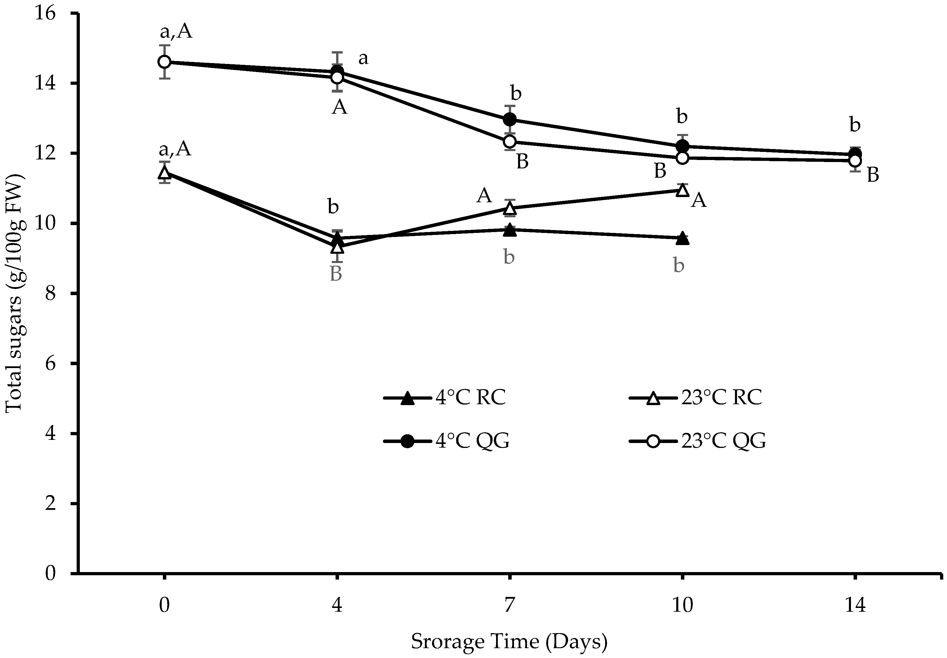
2.6. Sugars
3. Materials and Methods
3.1. Plant Materials
3.2. Chemicals
3.3. Methods
3.3.1. TSS and TA
3.3.2. Colour
3.3.3. Total Phenolic Concentration, Anthocyanins, and Quercetins
- Extraction
- TPC
- Anthocyanins and quercetins
3.3.4. Carotenoids
- Extraction
- Analysis
3.3.5. Sugars
3.3.6. Statistical Analysis
4. Conclusions
Author Contributions
Funding
Institutional Review Board Statement
Informed Consent Statement
Data Availability Statement
Acknowledgments
Conflicts of Interest
References
- Yahia, E.M.; Ornelas-Paz, J.J.; Emanuelli, T.; Jacob-Lopes, E.; Zepka, L.Q.; Cervantes-Paz, B. Chemistry, Stability, and Biological Actions of Carotenoids. In Fruit and Vegetable Phytochemicals: Chemistry and Human Health, 2nd ed.; Yahia, E.M., Ed.; John Wiley & Sons Ltd.: Hoboken, NJ, USA, 2018; pp. 285–346. [Google Scholar]
- Ravi, P.; Isaq, M.; Ramachandra, Y.L.; Somu, P.; Rai, P.S.; Poojari, C.C.; Anand, K.H.B.; Shilali, K.; Shabbirahmed, A.M.; Kumaravel, M. Therapeutic effectiveness of phytochemicals targeting specific cancer cells: A review of the evidence. In Recent Frontiers of Phytochemicals; Pati, S., Sarkar, T., Lahiri, D., Eds.; Elsevier: Amsterdam, The Netherlands, 2023; pp. 247–259. ISBN 9780443191435. [Google Scholar]
- Yoo, S.; Kim, K.; Nam, H.; Lee, D. Discovering Health Benefits of Phytochemicals with Integrated Analysis of the Molecular Network, Chemical Properties and Ethnopharmacological Evidence. Nutrients 2018, 10, 1042. [Google Scholar] [CrossRef] [PubMed]
- Hartley, L.; Igbinedion, E.; Holmes, J.; Flowers, N.; Thorogood, M.; Clarke, A.; Stranges, S.; Hooper, L.; Rees, K. Increased consumption of fruit and vegetables for the primary prevention of cardiovascular diseases. Cochrane Database Syst. Rev. 2013, 6. [Google Scholar] [CrossRef]
- Guruvayoorappan, C.; Sakthivel, K.M.; Padmavathi, G.; Bakliwal, V.; Monisha, J.; Kunnumakkara, A.B. Cancer Preventive and Therapeutic Properties of Fruits and Vegetables: An Overview. In Anticancer Properties of Fruits and Vegetables; Kunnumakkara, A.B., Ed.; World Sceintific Publishing Co. Pte. Ltd.: Singapore, 2015; pp. 1–52. [Google Scholar]
- Gan, Y.; Tong, X.; Li, L.; Cao, S.; Yin, X.; Gao, C.; Herath, C.; Li, W.; Jin, Z.; Chen, Y.; et al. Consumption of fruit and vegetable and risk of coronary heart disease: A meta-analysis of prospective cohort studies. Int. J. Cardiol. 2015, 183, 129–137. [Google Scholar] [CrossRef] [PubMed]
- Devalaraja, S.; Shalini, J.; Yadav, H. Exotic fruits as therapeutic complements for diabetes, obesity and metabolic syndrome. Food Res. Int. 2011, 44, 1856–1865. [Google Scholar] [CrossRef] [PubMed]
- Abuajah, C.I.; Ogbonna, A.C.; Osuji, C.M. Functional components and medicinal properties of food: A review. J. Food Sci. Technol. 2015, 52, 2522–2529. [Google Scholar] [CrossRef]
- Campos-Vega, R.; Oomah, B.D. Chemistry and classification of phytochemicals. In Handbook of Plant Food Phytochemicals, 1st ed.; John Wiley & Sons, Ltd.: Oxford, UK, 2013; pp. 5–48. [Google Scholar]
- Okie, W. ‘Spring Satin’ Plumcot. J. Am. Pom. Soc. 2005, 59, 119–124. [Google Scholar]
- Russell, D.; Topp, B. Queen Garnet Plum. Plant Var. 2011, 24, 141–143. [Google Scholar]
- El-Sharkawy, I.; Sherif, S.; Qubbaj, T.; Sullivan, A.J.; Jayasankar, S. Stimulated auxin levels enhance plum fruit ripening, but limit shelf-life characteristics. Postharvest Biol. Technol. 2016, 112, 215–223. [Google Scholar] [CrossRef]
- Pan, H.; Wang, R.; Li, L.; Wang, J.; Cao, J.; Jiang, W. Manipulation of ripening progress of different plum cultivars during shelf life by post-storage treatments with ethylene and 1-methylcyclopropene. Sci. Hortic. 2016, 198, 176–182. [Google Scholar] [CrossRef]
- Pan, H.; Wang, L.; Wang, R.; Xie, F.; Cao, J. Modifications of cell wall pectin in chilling-injured ‘Friar’ plum fruit subjected to intermediate storage temperatures. Food Chem. 2018, 242, 538–547. [Google Scholar] [CrossRef]
- Chaves-Silva, S.; Santos, A.L.d.; Chalfun-Júnior, A.; Zhao, J.; Peres, L.E.P.; Benedito, V.A. Understanding the genetic regulation of anthocyanin biosynthesis in plants—Tools for breeding purple varieties of fruits and vegetables. Phytochemistry 2018, 153, 11–27. [Google Scholar] [CrossRef] [PubMed]
- Myracle, A.D.; Castonguay, Z.J.; Elwell, A.; Moran, R.E. Fruit Quality and Consumer Acceptability of Three Plum Types and 14 Plum Cultivars Grown in Maine for a Local Market. Hort. Technol. 2018, 28, 230–238. [Google Scholar] [CrossRef]
- Crisosto, C.H.; Garner, D.; Crisosto, G.M.; Bowerman, E. Increasing ‘Blackamber’ plum (Prunus salicina Lindell) consumer acceptance. Postharvest Biol. Technol. 2004, 34, 237–244. [Google Scholar] [CrossRef]
- Díaz-Mula, H.M.; Zapata, P.J.; Guillén, F.; Martínez-Romero, D.; Castillo, S.; Serrano, M.; Valero, D. Changes in hydrophilic and lipophilic antioxidant activity and related bioactive compounds during postharvest storage of yellow and purple plum cultivars. Postharvest Biol. Technol. 2009, 51, 354–363. [Google Scholar] [CrossRef]
- Díaz-Mula, H.M.; Zapata, P.J.; Guillén, F.; Castillo, S.; Martínez-Romero, D.; Valero, D.; Serrano, M. Changes in physicochemical and nutritive parameters and bioactive compounds during development and on-tree ripening of eight plum cultivars: A comparative study. J. Sci. Food Agric. 2008, 88, 2499–2507. [Google Scholar] [CrossRef]
- Ahmad Sattar, K. Differences in fruit growth and ripening of early-, mid- and late-season maturing Japanese plum cultivars. Fruits 2016, 71, 329–338. [Google Scholar] [CrossRef]
- Kodagoda, G.; Hong, H.T.; O’Hare, T.J.; Sultanbawa, Y.; Topp, B.; Netzel, M.E. Effect of Storage on the Nutritional Quality of Queen Garnet Plum. Foods 2021, 10, 352. [Google Scholar] [CrossRef]
- Vuolo, M.M.; Lima, V.S.; Maróstica Junior, M.R. Phenolic Compounds: Structure, Classification, and Antioxidant Power. In Bioactive Compounds; Campos, M.R.S., Ed.; Woodhead Publishing: Sawston, UK, 2019; pp. 33–50. [Google Scholar]
- Ronald Ross Watson, V.R.P. Prunes and Plums in Health Promotion. In Bioactive Foods and Extracts: Cancer Treatment and Prevention, 1st ed.; CRC Press: Boca Raton, FL, USA, 2010; p. 6. [Google Scholar]
- Cosmulescu, S.; Trandafir, I.; Nour, V.; Botu, M. Total Phenolic, Flavonoid Distribution and Antioxidant Capacity in Skin, Pulp and Fruit Extracts of Plum Cultivars. J. Food Biochem. 2015, 39, 64–69. [Google Scholar] [CrossRef]
- Gil, M.I.; Tomas-Barberan, F.A.; Hess-Pierce, B.; Kader, A.A. Antioxidant capacities, phenolic compounds, carotenoids, and vitamin C contents of nectarine, peach, and plum cultivars from California. J. Agric. Food Chem. 2002, 50, 4976–4982. [Google Scholar] [CrossRef]
- Kim, D.; Jeong, S.W.; Lee, C.Y. Antioxidant capacity of phenolic phytochemicals from various cultivars of plums. Food Chem. 2003, 81, 321–326. [Google Scholar] [CrossRef]
- Kim, D.-O.; Chun, O.K.; Kim, Y.J.; Moon, H.-Y.; Lee, C.Y. Quantification of polyphenolics and their antioxidant capacity in fresh plums. J. Agric. Food Chem. 2003, 51, 6509–6515. [Google Scholar] [CrossRef] [PubMed]
- Rupasinghe, H.P.V.; Jayasankar, S.; Lay, W. Variation in total phenolics and antioxidant capacity among European plum genotypes. Sci. Hortic. 2006, 108, 243–246. [Google Scholar] [CrossRef]
- Nemanja, M.; Branko, P.; Olga, M.; Miodrag, K. Phenolic content and antioxidant capacity of fruits of plum cv. ‘Stanley’ (Prunus domestica L.) as influenced by maturity stage and on-tree ripening. Aust. J. Crop Sci. 2012, 6, 681–687. [Google Scholar]
- Xu, C.; Zhang, Y.; Zhu, L.; Huang, Y.; Lu, J. Influence of Growing Season on Phenolic Compounds and Antioxidant Properties of Grape Berries from Vines Grown in Subtropical Climate. J. Agric. Food Chem. 2011, 59, 1078–1086. [Google Scholar] [CrossRef] [PubMed]
- Sahamishirazi, S.; Moehring, J.; Claupein, W.; Graeff-Hoenninger, S. Quality assessment of 178 cultivars of plum regarding phenolic, anthocyanin and sugar content. Food Chem. 2017, 214, 694–701. [Google Scholar] [CrossRef]
- Bahrin, A.A.; Moshawih, S.; Dhaliwal, J.S.; Kanakal, M.M.; Khan, A.; Lee, K.S.; Goh, B.H.; Goh, H.P.; Kifli, N.; Ming, L.C. Cancer protective effects of plums: A systematic review. Biomed. Pharmacother. 2022, 146, 112568. [Google Scholar] [CrossRef]
- Huang, D.; Ou, B.; Prior, R.L. The Chemistry behind Antioxidant Capacity Assays. J. Agric. Food Chem. 2005, 53, 1841–1856. [Google Scholar] [CrossRef]
- Prior, R.L.; Wu, X.; Schaich, K. Standardized Methods for the Determination of Antioxidant Capacity and Phenolics in Foods and Dietary Supplements. J. Agric. Food Chem. 2005, 53, 4290–4302. [Google Scholar] [CrossRef]
- Bobrich, A.; Fanning, K.J.; Rychlik, M.; Russell, D.; Topp, B.; Netzel, M. Phytochemicals in Japanese plums: Impact of maturity and bioaccessibility. Food Res. Int. 2014, 65, 20–26. [Google Scholar] [CrossRef]
- Chun, O.K.; Kim, D.-O.; Moon, H.Y.; Kang, H.G.; Lee, C.Y. Contribution of individual polyphenolics to total antioxidant capacity of plums. J. Agric. Food Chem. 2003, 51, 7240–7245. [Google Scholar] [CrossRef]
- Tomás-Barberán, F.A.; Gil, M.I.; Cremin, P.; Waterhouse, A.L.; Hess-Pierce, B.; Kader, A.A. HPLC-DAD-ESIMS analysis of phenolic compounds in nectarines, peaches, and plums. J. Agric. Food Chem. 2001, 49, 4748–4760. [Google Scholar] [CrossRef] [PubMed]
- Usenik, V.; Štampar, F.; Veberič, R. Anthocyanins and fruit colour in plums (Prunus domestica L.) during ripening. Food Chem. 2009, 114, 529. [Google Scholar] [CrossRef]
- Suleria, H.A.R.; Barrow, C.J.; Dunshea, F.R. Screening and Characterization of Phenolic Compounds and Their Antioxidant Capacity in Different Fruit Peels. Foods 2020, 9, 1206. [Google Scholar] [CrossRef] [PubMed]
- Ruiz, D.; Egea, J.; Gil, M.I.; Tomás-Barberán, F.A. Characterization and Quantitation of Phenolic Compounds in New Apricot (Prunus armeniaca L.) Varieties. J. Agric. Food Chem. 2005, 53, 9544–9552. [Google Scholar] [CrossRef] [PubMed]
- Bureau, S.; Renard, C.M.G.C.; Reich, M.; Ginies, C.; Audergon, J.-M. Change in anthocyanin concentrations in red apricot fruits during ripening. LWT-Food Sci. Technol. 2009, 42, 372–377. [Google Scholar] [CrossRef]
- Xi, W.; Feng, J.; Liu, Y.; Zhang, S.; Zhao, G. The R2R3-MYB transcription factor PaMYB10 is involved in anthocyanin biosynthesis in apricots and determines red blushed skin. BMC Plant Biol. 2019, 19, 287. [Google Scholar] [CrossRef]
- Fanning, K.; Edwards, D.; Netzel, M.; Stanley, R.; Netzel, G.; Russell, D.; Topp, B. Increasing Anthocyanin Content in Queen Garnet Plum and Correlations with In-Field Measures. Acta Hortic. 2013, 985, 97–104. [Google Scholar] [CrossRef]
- Venter, A.; Joubert, E.; de Beer, D. Characterisation of phenolic compounds in South African plum fruits (Prunus salicina Lindl.) using HPLC coupled with diode-array, fluorescence, mass spectrometry and on-line antioxidant detection. Molecules 2013, 18, 5072–5090. [Google Scholar] [CrossRef]
- Jang, G.H.; Kim, H.W.; Lee, M.K.; Jeong, S.Y.; Bak, A.R.; Lee, D.J.; Kim, J.B. Characterization and quantification of flavonoid glycosides in the Prunus genus by UPLC-DAD-QTOF/MS. Saudi J. Biol. Sci. 2018, 25, 1622–1631. [Google Scholar] [CrossRef]
- Liaudanskas, M.; Okulevičiūtė, R.; Lanauskas, J.; Kviklys, D.; Zymonė, K.; Rendyuk, T.; Žvikas, V.; Uselis, N.; Janulis, V. Variability in the content of phenolic compounds in plum fruit. Plants 2020, 9, 1611. [Google Scholar] [CrossRef]
- Zhou, W.; Niu, Y.; Ding, X.; Zhao, S.; Li, Y.; Fan, G.; Zhang, S.; Liao, K. Analysis of carotenoid content and diversity in apricots (Prunus armeniaca L.) grown in China. Food Chem. 2020, 330, 127223. [Google Scholar] [CrossRef] [PubMed]
- Britton, G.; Khachik, F. Carotenoids in Food. In Carotenoids: Volume 5: Nutrition and Health; Britton, G., Pfander, H., Liaaen-Jensen, S., Eds.; Birkhäuser: Basel, Switzerland, 2009; pp. 45–66. [Google Scholar]
- Štampar, F.; Usenik, V.; Dolenc-Šturm, K. Evaluating of some quality parameters of different apricot cultivars using HPLC method. Acta Aliment. 1999, 28, 297–309. [Google Scholar] [CrossRef]
- Martınez-Madrid, M.C.; López-Gómez, E.; Pretel, M.T.; Sánchez-Bel, P.; Egea, I.; Garcıa-Legaz, M.F. Changes in organic acid and sugars at ripening and after storage of three local plums. In Proceedings of the VIII International Postharvest Symposium, Murcia, Spain, 21–24 June 2016; pp. 1025–1032. [Google Scholar]
- Bae, H.; Yun, S.K.; Yoon, I.K.; Nam, E.Y.; Kwon, J.H.; Jun, J.H. Assessment of organic acid and sugar composition in apricot, plumcot, plum, and peach during fruit development. J. Appl. Bot. Food Qual. 2014, 87, 24–29. [Google Scholar] [CrossRef]
- Rapaille, A.; Goosens, J.; Heume, M. Sugar Alcohols. In Encyclopedia of Food Sciences and Nutrition, 2nd ed.; Caballero, B., Ed.; Academic Press: Oxford, UK, 2003; pp. 5665–5671. [Google Scholar]
- Singh, S.P.; Singh, Z.; Swinny, E.E. Sugars and organic acids in Japanese plums (Prunus salicina Lindell) as influenced by maturation, harvest date, storage temperature and period. Int. J. Food Sci. 2009, 44, 1973–1982. [Google Scholar] [CrossRef]
- Guerra, M.; Casquero, P.A. Effect of harvest date on cold storage and postharvest quality of plum cv. Green Gage. Postharvest Biol. Technol. 2008, 47, 325–332. [Google Scholar] [CrossRef]
- Usenik, V.; Kastelec, D.; Veberič, R.; Štampar, F. Quality changes during ripening of plums (Prunus domestica L.). Food Chem. 2008, 111, 830–836. [Google Scholar] [CrossRef]
- Hong, H.T.; Netzel, M.E.; O’Hare, T.J. Anthocyanin composition and changes during kernel development in purple-pericarp supersweet sweetcorn. Food Chem. 2020, 315, 126284. [Google Scholar] [CrossRef]
- Singleton, V.L.; Rossi, J.A. Colorimetry of total phenolics with phosphomolybdic-phosphotungstic acid reagents. Am. J. Enol. Vitic. 1965, 16, 144–158. [Google Scholar] [CrossRef]
- Phan, A.D.T.; Netzel, G.; Chhim, P.; Netzel, M.E.; Sultanbawa, Y. Phytochemical Characteristics and Antimicrobial Activity of Australian Grown Garlic (Allium Sativum L.) Cultivars. Foods 2019, 8, 358. [Google Scholar] [CrossRef]
- Hong, H.T.; Netzel, M.E.; O’Hare, T.J. Optimisation of extraction procedure and development of LC–DAD–MS methodology for anthocyanin analysis in anthocyanin-pigmented corn kernels. Food Chem. 2020, 319, 126515. [Google Scholar] [CrossRef]
- Hong, H.T.; Takagi, T.; O’Hare, T.J. An optimal saponification and extraction method to determine carotenoids in avocado. Food Chem. 2022, 387, 132923. [Google Scholar] [CrossRef] [PubMed]
- Hong, H.T.; Phan, A.D.T.; O’Hare, T.J. Temperature and Maturity Stages Affect Anthocyanin Development and Phenolic and Sugar Content of Purple-Pericarp Supersweet Sweetcorn during Storage. J. Agric. Food Chem. 2021, 63, 922–931. [Google Scholar] [CrossRef] [PubMed]











| Physicochemical Property | Storage Temperature (°C) | ‘Queen Garnet’ Plum | ‘Rubycot’ Plumcot | |||||||
|---|---|---|---|---|---|---|---|---|---|---|
| Storage Time (Days) | ||||||||||
| 0 | 4 | 7 | 10 | 14 | 0 | 4 | 7 | 10 | ||
| TSS | 4 | 15.1 ± 0.03 a,A | 15.5 ± 0.12 a,A | 15.1 ± 0.09 a,A | 15.8 ± 0.06 a,A | 15.6 ± 0.52 a,A | 15.6 ± 0.67 a,A | 16.2 ± 0.95 a,A | 16.7 ± 1.53 a,A | 16.9 ± 0.55 a,A |
| 23 | 15.1 ± 0.03 a,A | 15.3 ± 0.28 a,A | 16.1 ± 0.67 a,A | 15.8 ± 0.75 a,A | 15.6 ± 0.24 a,A | 15.6 ± 0.67 a,A | 16.8 ± 0.38 a,A | 16.2 ± 0.21 a,A | 15.1 ± 0.18 a,A | |
| TA | 4 | 1.27 ± 0.00 a,A | 1.3 ± 0.07 a,A | 1.2 ± 0.11 a,A | 1.22 ± 0.04 a,A | 1.22 ± 0.03 a,A | 2.18 ± 0.24 a,A | 2.39 ± 0.04 a,A | 2.11 ± 0.02 a,A | 2.19 ± 0.13 a,A |
| 23 | 1.27 ± 0.00 a,A | 1.09 ± 0.00 a,b,B | 0.96 ± 0.01 b,c,B | 0.85 ± 0.04 b,c,B | 0.72 ± 0.05 c,B | 2.18 ± 0.42 a,A | 1.94 ± 0.51 a,B | 1.54 ± 0.09 a,B | 1.67 ± 0.06 a,B | |
| Chroma | 4 | 9.18 ± 0.46 a,A | 10.8 ±0.94 a,A | 9.58 ± 0.78 a,A | 10.1 ± 0.65 a,A | 9.57 ± 0.68 a,A | 23.0 ± 0.68 b,A | 24.1 ± 0.41 a,b,A | 25.4 ± 0.61 a,A | 23.4 ± 0.56 a,b,A |
| 23 | 9.18 ± 0.46 a,A | 6.15 ± 1.62 b,B | 4.68 ± 1.54 b,c,B | 3.68± 0.69 c,B | 3.36 ± 0.13 c,B | 23.00 ± 0.68 a,A | 19.8 ± 0.74 a,b,B | 18.7 ± 1.41 b,A,B | 17.9 ± 0.28 b,B | |
| Hue | 4 | 14.7 ± 1.21 a,A | 6.58 ± 1.19 b,B | 6.56 ± 1.00 b,A | 5.46 ± 1.43 b,A | 5.42 ± 1.48 b,A | 39.4 ± 2.83 a,A | 40.4 ± 3.28 a,A | 39.7 ± 2.37 a,A | 39.8 ± 2.04 a,A |
| 23 | 14.7 ± 1.21 a,A | 11.9 ± 1.62 a,b,A | 8.20 ± 1.27 b,c,A | 9.12 ± 0.69 b,c,A | 5.82 ± 0.74 c,A | 39.4 ± 2.83 a,A | 43.5 ± 1.87 a,A | 38.7 ± 1.89 a,A | 37.8 ± 2.72 a,A | |
| Anthocyanin | Elution Time (min) | λmax (nm) * | Precursor Ions (m/z) (M+) | Fragments | Molecular Formula | |
|---|---|---|---|---|---|---|
| Observed | Theoretical | |||||
| cyanidin-3-glucoside | 5.36 | 515 | 449.1085 | 449.1078 | 399.9877 (C21H4O9), 287.0549 (C15H11O6), 193.0496 (C10H9O4) | C21H21O11+ |
| cyanidin-3-rutinoside | 6.46 | 517 | 595.1667 | 595.1657 | 287.0550 (C15H11O6) | C27H31O15+ |
| peonidin-3-glucoside | 9.06 | 521 | 463.1241 | 463.1235 | 286.0472 (C15H10O6) | C22H23O11+ |
| peonidin-3-rutinoside | 9.68 | 519 | 609.1821 | 609.1814 | 517.0426 (C26H13O12), 516.0350 (C26H12O12), 427.0113 (C23H7O9), 301.0707 (C16H13O6) | C28H33O15+ |
| Compound | Elution Time (min) | λmax (nm) * | Precursor Ion (m/z) | Fragments | |
|---|---|---|---|---|---|
| Observed | Theoretical | ||||
| quercetin-3-rutinoside (rutin) | 10.87 | 354 | 609.1463 a | 609.145 a | 300.0276 [C15H8O7]−, 255.0299 [C14H7O5]−, 151.0027 [C7H3O4]− |
| 611.1615 b | 611.1607 b | 303.0500 [C15H11O7]+, 464.9974 [C25H6O10]+, 304.0530 [C22H8O2]+ | |||
| quercetin-3-glucoside | 11.24 | 351 | 463.0886 a | 463.0871 a | 300.0276 [C15H8O7]−, 271.0249 [C14H7O6]−, 255.0299 [C14H7O5]−, 243.0294 [C13H7O5]−, 151.0027 [C7H3O4]− |
| 465.1035 b | 465.1028 b | 303.0500 [C15H11O7]+, 229.0496 [C13H9O4]+, 153.0183 [C7H5O4]+ | |||
| quercetin-3-glucosyl-xyloside | 11.84 | 355 | 595.1303 a | 595.1294 a | 271.0249 [C14H8O7]−, 463.0884 [C21H19O12]−, 299.0201 [C15H7O7]−, 255.0299 [C14H7O5]− |
| 597.1460 b | 597.1450 b | 392.9906 [C19H5O10]+, 374.9799 [C19H3O9] +, 303.0500 [C15H11O7]+ | |||
| quercetin-3-xyloside | 12.39 | 351 | 433.0778 a | 433.0765 a | 300.0276 [C15H8O7]−, 271.0249 [C14H7O6]−, 243.0294 [C13H7O5]−, 151.0027 [C7H3O4]− |
| 435.0929 b | 432.0922 b | 303.0500 [C15H11O7]+, 229.0496 [C13H9O4]+, 153.0182 [C7H5O4]+ | |||
| quercetin-3- rhamnoside | 13.11 | 359 | 447.0935 a | 447.0922 a | 356.9707 [C12H5O13]−, 271.0250 [C14H7O6]−, 151.0027 [C7H3O4]− |
| 449.1085 b | 449.1078 b | 374.9799 [C19H3O9]+, 392.9904 [C16H13O7]+, 229.0495 [C13H9O4]+, 153.0182 [C7H5O4]+ | |||
| isorhamnetin-3-rutinoside | 13.7 | 347 | 623.1624 a | 623.1607 a | 315.0514 [C16H11O7] - |
| 625.1775 b | 625.1763 b | 392.9904 [C19H5O10]+, 317.0656 [C16H13O7]+, 229.0496 [C13H9O4]+, 153.0182 [C7H5O4] + | |||
| quercetin | 17.4 | 369 | 301.0356 a | 301.0343 a | 145.0285 [C9H5O2]−, 117.0334 [C8H5O]− |
Disclaimer/Publisher’s Note: The statements, opinions and data contained in all publications are solely those of the individual author(s) and contributor(s) and not of MDPI and/or the editor(s). MDPI and/or the editor(s) disclaim responsibility for any injury to people or property resulting from any ideas, methods, instructions or products referred to in the content. |
© 2024 by the authors. Licensee MDPI, Basel, Switzerland. This article is an open access article distributed under the terms and conditions of the Creative Commons Attribution (CC BY) license (https://creativecommons.org/licenses/by/4.0/).
Share and Cite
Kodagoda, G.K.; Hong, H.T.; O’Hare, T.J.; Topp, B.; Sultanbawa, Y.; Netzel, M.E. Storage Effects on the Physicochemical Properties, Phytochemical Composition, and Sugars in Red-Fleshed Cultivars, ‘Rubycot’ Plumcot, and ‘Queen Garnet’ Plum. Molecules 2024, 29, 4641. https://doi.org/10.3390/molecules29194641
Kodagoda GK, Hong HT, O’Hare TJ, Topp B, Sultanbawa Y, Netzel ME. Storage Effects on the Physicochemical Properties, Phytochemical Composition, and Sugars in Red-Fleshed Cultivars, ‘Rubycot’ Plumcot, and ‘Queen Garnet’ Plum. Molecules. 2024; 29(19):4641. https://doi.org/10.3390/molecules29194641
Chicago/Turabian StyleKodagoda, Gethmini Kavindya, Hung Trieu Hong, Tim J. O’Hare, Bruce Topp, Yasmina Sultanbawa, and Michael Erich Netzel. 2024. "Storage Effects on the Physicochemical Properties, Phytochemical Composition, and Sugars in Red-Fleshed Cultivars, ‘Rubycot’ Plumcot, and ‘Queen Garnet’ Plum" Molecules 29, no. 19: 4641. https://doi.org/10.3390/molecules29194641
APA StyleKodagoda, G. K., Hong, H. T., O’Hare, T. J., Topp, B., Sultanbawa, Y., & Netzel, M. E. (2024). Storage Effects on the Physicochemical Properties, Phytochemical Composition, and Sugars in Red-Fleshed Cultivars, ‘Rubycot’ Plumcot, and ‘Queen Garnet’ Plum. Molecules, 29(19), 4641. https://doi.org/10.3390/molecules29194641

