Catalytic Reactivity Assessment of AgM and CuM (M = Cr, Fe) Catalysts for Dry Reforming of Methane Process with CO2
Abstract
1. Introduction
2. Results
2.1. Structural Characterization by XRD
2.2. Textural and Surface Characterization by BET, SEM-EDX, and XPS
2.3. Reducibility Properties by H2-TPR
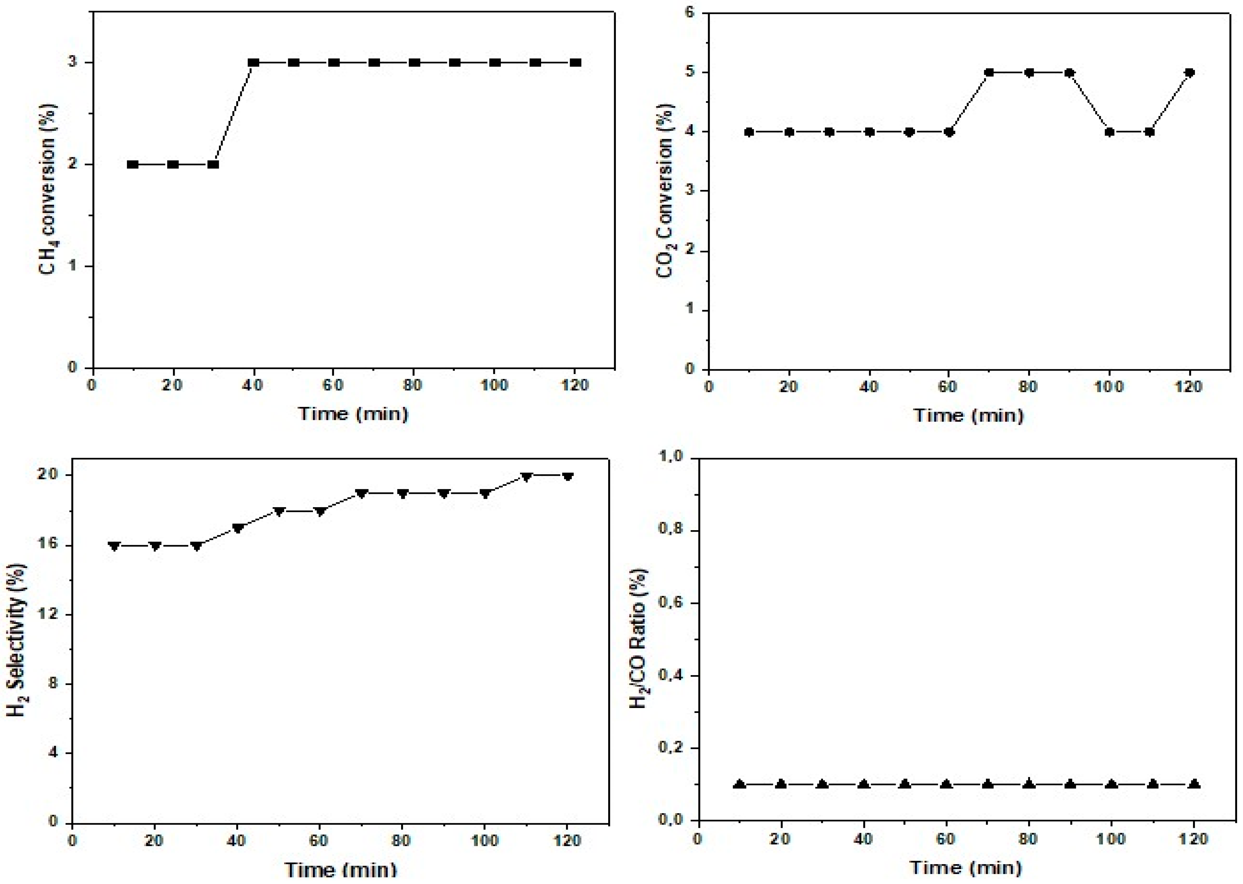
2.4. Catalytic Properties
3. Materials and Methods
3.1. Chemicals
3.2. Catalyst Preparation
3.3. Catalysts Characterization
3.4. Catalytic Reforming Experiments
4. Conclusions
Author Contributions
Funding
Institutional Review Board Statement
Informed Consent Statement
Data Availability Statement
Acknowledgments
Conflicts of Interest
References
- UNECE. How Natural Gas Can Support the Uptake of Renewable Energy; United Nations Ecconomic Commission for Europe: Geneva, Switzerland, 2019. [Google Scholar]
- Burkart, M.D.; Hazari, N.; Tway, C.L.; Zeitler, E.L. Opportunities and Challenges for Catalysis in Carbon Dioxide Utilization. ACS Catal. 2019, 9, 7937–7956. [Google Scholar] [CrossRef]
- Karakaya, C.; Kee, R.J. Progress in the direct catalytic conversion of methane to fuels and chemicals. Prog. Energy Combust. Science 2016, 55, 60–97. [Google Scholar] [CrossRef]
- Elbashir, N.O. Introduction to natural gas monetization. In Natural Gas Processing from Midstream to Downstream; John Wiley Sons: Hoboken, NJ, USA; Chichester, UK, 2018; pp. 1–15. [Google Scholar]
- York, A.P.E.; Xiao, T.; Green, M.L.H. Brief overview of the partial oxidation of methane to synthesis gas. Top. Catal. 2003, 22, 345–358. [Google Scholar] [CrossRef]
- Challiwala, M.S.; Ghouri, M.M.; Linke, P.; El-Halwagi, M.M.; Elbashir, N.O. A combined thermo-kinetic analysis of various methane reforming technologies: Comparison with dry reforming. J. CO2 Util. 2017, 17, 99–111. [Google Scholar] [CrossRef]
- Fidalgo, B.; Domínguez, A.; Pis, J.J.; Menéndez, J.A. Microwave-assisted dry reforming of methane. Int. J. Hydrogen Energy 2008, 33, 4337–4344. [Google Scholar] [CrossRef]
- Jang, W.-J.; Shim, J.-O.; Kim, H.-M.; Yoo, S.-Y.; Roh, H.-S. A review on dry reforming of methane in aspect of catalytic properties. Catal. Today 2019, 324, 15–26. [Google Scholar] [CrossRef]
- Usman, M.; Daud, W.M.A.W.; Abbas, H.F. Dry reforming of methane: Influence of process parameters—A review. Renew. Sustain. Energy Rev. 2015, 45, 710–744. [Google Scholar] [CrossRef]
- Wolf, M.; de Oliveira, A.L.; Taccardi, N.; Maisel, S.; Heller, M.; Antara, S.K.; Søgaard, A.; Felfer, P.; Görling, A.; Haumann, M.; et al. Dry reforming of methane over gallium-based supported catalytically active liquid metal solutions. Commun. Chem. 2023, 6, 224. [Google Scholar] [CrossRef]
- Patel, N.; Al, A.S.; Bamatraf, N.A.; Osman, A.I.; Alreshaidan, S.B.; Fakeeha, A.H.; Wazeer, I.; Kumar, R. 5Ni/MgO and 5Ni/MgO + MOx (M = Zr, Ti, Al) Catalyst for Hydrogen Production via Dry Reforming of Methane: Promotor-Free, Cost-Effective, and Handy Catalyst System. Catal. Lett. 2024, 154, 3441–3456. [Google Scholar] [CrossRef]
- Hussien, A.G.S.; Polychronopoulou, K. A Review on the Different Aspects and Challenges of the Dry Reforming of Methane (DRM) Reaction. Nanomaterials 2022, 12, 3400. [Google Scholar] [CrossRef]
- He, C.; Wu, S.; Wang, L.; Zhang, J. Recent advances in photo-enhanced dry reforming of methane: A review. J. Photochem. Photobiol. C Photochem. Rev. 2022, 51, 100468. [Google Scholar] [CrossRef]
- Lavoie, J.-M. Review on dry reforming of methane, a potentially more environmentally-friendly approach to the increasing natural gas exploitation. Front. Chem. 2014, 2, 81. [Google Scholar] [CrossRef] [PubMed]
- Pakhare, D.; Spivey, J. A review of dry (CO2) reforming of methane over noble metal catalysts. Chem. Soc. Rev. 2014, 43, 7813–7837. [Google Scholar] [CrossRef]
- Benguerba, Y.; Virginie, M.; Dumas, C.; Ernst, B. Computational fluid dynamics study of the dry reforming of methane over Ni/Al2O3 catalyst in a membrane reactor. Coke deposition. Kinet. Catal. 2017, 58, 328–338. [Google Scholar] [CrossRef]
- Durán, P.; Sanz-Martínez, A.; Soler, J.; Menéndez, M.; Herguido, J. Pure hydrogen from biogas: Intensified methane dry reforming in a two-zone fluidized bed reactor using permselective membranes. Chem. Eng. J. 2019, 370, 772–781. [Google Scholar] [CrossRef]
- Olah, G.A.; Goeppert, A.; Czaun, M.; Prakash, G.K.S. Bi-reforming of methane from any source with steam and carbon dioxide exclusively to metgas (CO–2H2) for methanol and hydrocarbon synthesis. J. Am. Chem. Soc. 2013, 135, 648–650. [Google Scholar] [CrossRef]
- Shi, L.-Y.; Li, Y.X.; Xue, D.M.; Tan, P.; Jiang, Y.; Liu, X.Q.; Sun, L.B. Fabrication of highly dispersed nickel in nanoconfined spaces of as-made SBA-15 for dry reforming of methane with carbon dioxide. Chem. Eng. J. 2020, 390, 124491. [Google Scholar] [CrossRef]
- Song, Y.; Ozdemir, E.; Ramesh, S.; Adishev, A.; Subramanian, S.; Harale, A.; Albuali, M.; Fadhel, B.A.; Jamal, A.; Moon, D. Dry reforming of methane by stable Ni–Mo nanocatalysts on single-crystalline MgO. Science 2020, 367, 777–781. [Google Scholar] [CrossRef]
- Androulakis, A.; Yentekakis, I.V.; Panagiotopoulou, P. Dry reforming of methane over supported Rh and Ru catalysts: Effect of the support (Al2O3, TiO2, ZrO2, YSZ) on the activity and reaction pathway. Int. J. Hydrogen Energy 2023, 48, 33886–33902. [Google Scholar] [CrossRef]
- Liang, D.; Wang, Y.; Chen, M.; Xie, X.; Li, C.; Wang, J.; Yuan, L. Dry reforming of methane for syngas production over noble metals modified M-Ni@S-1 catalysts (M = Pt, Pd, Ru, Au). Int. J. Hydrogen Energy 2024, 51, 1002–1015. [Google Scholar] [CrossRef]
- Maina, S.C.P.; Ballarini, A.D.; Vilella, J.I.; de Miguel, S.R. Study of the performance and stability in the dry reforming of methane of doped alumina supported iridium catalysts. Catal. Today 2020, 344, 129–142. [Google Scholar] [CrossRef]
- Özkara-Aydınoğlu, Ş.; Özensoy, E.; Aksoylu, A.E. The effect of impregnation strategy on methane dry reforming activity of Ce promoted Pt/ZrO2. Int. J. Hydrogen Energy 2009, 34, 9711–9722. [Google Scholar] [CrossRef]
- Wang, H.Y.; Ruckenstein, E. Carbon dioxide reforming of methane to synthesis gas over supported rhodium catalysts: The effect of support. Appl. Catal. A Gen. 2000, 204, 143–152. [Google Scholar] [CrossRef]
- Ballarini, A.D.; de Miguel, S.R.; Jablonski, E.L.; Scelza, O.A.; Castro, A.A. Reforming of CH4 with CO2 on Pt-supported catalysts: Effect of the support on the catalytic behaviour. Catal. Today 2005, 107, 481–486. [Google Scholar] [CrossRef]
- Da Fonseca, R.O.; Rabelo-Neto, R.C.; Simões, R.C.C.; Mattos, L.V.; Noronha, F.B. Pt supported on doped CeO2/Al2O3 as catalyst for dry reforming of methane. Int. J. Hydrogen Energy 2020, 45, 5182–5191. [Google Scholar] [CrossRef]
- Abdullah, B.; Ghani, N.A.A.; Vo, D.-V.N. Recent advances in dry reforming of methane over Ni-based catalysts. J. Clean. Prod. 2017, 162, 170–185. [Google Scholar] [CrossRef]
- Wang, Y.; Yao, L.; Wang, S.; Mao, D.; Hu, C. Low-temperature catalytic CO2 dry reforming of methane on Ni-based catalysts: A review. Fuel Process. Technol. 2018, 169, 199–206. [Google Scholar] [CrossRef]
- Faro, M.L.; Frontera, P.; Antonucci, P.; Aricò, A.S. Ni–Cu based catalysts prepared by two different methods and their catalytic activity toward the ATR of methane. Chem. Eng. Res. Des. 2015, 93, 269–277. [Google Scholar] [CrossRef]
- Pendem, S.; Mondal, I.; Shrotri, A.; Rao, B.S.; Lingaiah, N.; Mondal, J. Unraveling the structural properties and reactivity trends of Cu–Ni bimetallic nanoalloy catalysts for biomass-derived levulinic acid hydrogenation. Sustain. Energy Fuels 2018, 2, 1516–1529. [Google Scholar] [CrossRef]
- Zhang, R.; Guo, X.; Wang, B.; Ling, L. Insight into the effect of CuNi (111) and FeNi (111) surface structure and second metal composition on surface carbon elimination by O or OH: A comparison study with Ni (111) surface. J. Phys. Chem. C 2015, 119, 14135–14144. [Google Scholar] [CrossRef]
- Lee, J.; Bae, Y.; Hong, K.; Hong, J. Comparative evaluation of Ni-based bimetallic catalysts for dry reforming of methane at low temperature: The effect of alloy itself on performance. Int. J. Energy Res. 2022, 46, 11228–11249. [Google Scholar] [CrossRef]
- Sagar, T.V.; Padmakar, D.; Lingaiah, N.; Prasad, P.S.S. Influence of solid solution formation on the activity of CeO2 supported Ni–Cu mixed oxide catalysts in dry reforming of methane. Catal. Lett. 2019, 149, 2597–2606. [Google Scholar] [CrossRef]
- Song, K.; Lu, M.; Xu, S.; Chen, C.; Zhan, Y.; Li, D.; Au, C.; Jiang, L.; Tomishige, K. Effect of alloy composition on catalytic performance and coke-resistance property of Ni-Cu/Mg (Al) O catalysts for dry reforming of methane. Appl. Catal. B Environ. 2018, 239, 324–333. [Google Scholar] [CrossRef]
- Rahemi, N.; Haghighi, M.; Babaluo, A.A.; Jafari, M.F.; Khorram, S. Non-thermal plasma assisted synthesis and physicochemical characterizations of Co and Cu doped Ni/Al2O3 nanocatalysts used for dry reforming of methane. Int. J. Hydrogen Energy 2013, 38, 16048–16061. [Google Scholar] [CrossRef]
- Zhang, J.; Wang, H.; Dalai, A.K. Development of stable bimetallic catalysts for carbon dioxide reforming of methane. J. Catal. 2007, 249, 300–310. [Google Scholar] [CrossRef]
- Sutthiumporn, K.; Maneerung, T.; Kathiraser, Y.; Kawi, S. CO2 dry-reforming of methane over La0. 8Sr0. 2Ni0. 8M0. 2O3 perovskite (M = Bi, Co, Cr, Cu, Fe): Roles of lattice oxygen on C–H activation and carbon suppression. Int. J. Hydrogen Energy 2012, 37, 11195–11207. [Google Scholar] [CrossRef]
- Misture, S.T.; McDevitt, K.M.; Glass, K.C.; Edwards, D.D.; Howe, J.Y.; Rector, K.D.; He, H.; Vogel, S.C. Sulfur-resistant and regenerable Ni/Co spinel-based catalysts for methane dry reforming. Catal. Sci. Technol. 2015, 5, 4565–4574. [Google Scholar] [CrossRef]
- Reshetenko, T.V.; Avdeeva, L.B.; Ismagilov, Z.R.; Chuvilin, A.L.; Ushakov, V.A. Carbon capacious Ni-Cu-Al2O3 catalysts for high-temperature methane decomposition. Appl. Catal. A Gen. 2003, 247, 51–63. [Google Scholar] [CrossRef]
- Lee, J.-H.; Lee, E.-G.; Joo, O.-S.; Jung, K.-D. Stabilization of Ni/Al2O3 catalyst by Cu addition for CO2 reforming of methane. Appl. Catal. A Gen. 2004, 269, 1–6. [Google Scholar] [CrossRef]
- Bian, Z.; Zhong, W.; Yu, Y.; Jiang, B.; Kawi, S. Cu/SiO2 derived from copper phyllosilicate for low-temperature water-gas shift reaction: Role of Cu+ sites. Int. J. Hydrogen Energy 2020, 45, 27078–27088. [Google Scholar] [CrossRef]
- Papargyriou, D.; Miller, D.N.; Irvine, J.T.S. Exsolution of Fe–Ni alloy nanoparticles from (La, Sr)(Cr, Fe, Ni) O3 perovskites as potential oxygen transport membrane catalysts for methane reforming. J. Mater. Chem. A 2019, 7, 15812–15822. [Google Scholar] [CrossRef]
- Joo, S.; Kwon, O.; Kim, K.; Kim, S.; Kim, H.; Shin, J.; Jeong, H.Y.; Sengodan, S.; Han, J.W.; Kim, G. Cation-swapped homogeneous nanoparticles in perovskite oxides for high power density. Nat. Commun. 2019, 10, 697. [Google Scholar] [CrossRef] [PubMed]
- Du, Z.; Yi, S.; Xia, Q.; Gong, Y.; Zhang, Y.; Cheng, X.; Li, Y.; Gu, L.; Świerczek, K. High-performance anode material Sr2FeMo0. 65Ni0. 35O6− δ with in situ exsolved nanoparticle catalyst. ACS Nano 2016, 10, 8660–8669. [Google Scholar] [CrossRef] [PubMed]
- Wang, Y.; Liu, T.; Li, M.; Xia, C.; Zhou, B.; Chen, F. Exsolved Fe–Ni nano-particles from Sr 2 Fe 1.3 Ni 0.2 Mo 0.5 O 6 perovskite oxide as a cathode for solid oxide steam electrolysis cells. J. Mater. Chem. A 2016, 4, 14163–14169. [Google Scholar] [CrossRef]
- Li, J.; Yu, Y.; Yin, Y.-M.; Zhou, N.; Ma, Z.-F. A novel high performance composite anode with in situ growth of Fe-Ni alloy nanoparticles for intermediate solid oxide fuel cells. Electrochim. Acta 2017, 235, 317–322. [Google Scholar] [CrossRef]
- Zhu, T.; Troiani, H.E.; Mogni, L.V.; Han, M.; Barnett, S.A. Ni-substituted Sr (Ti, Fe) O3 SOFC anodes: Achieving high performance via metal alloy nanoparticle exsolution. Joule 2018, 2, 478–496. [Google Scholar] [CrossRef]
- Jun, B.-H. Silver nano/microparticles: Modification and applications. Int. J. Mol. Sci. 2019, 20, 2609. [Google Scholar] [CrossRef]
- Pham, X.-H.; Kim, J.; Jun, B.-H. Silver nano/microparticles: Modification and applications 2.0. Int. J. Mol. Sci. 2020, 21, 4395. [Google Scholar] [CrossRef]
- Suttikul, T.; Nuchdang, S.; Rattanaphra, D.; Photsathain, T.; Phalakornkule, C. Plasma-assisted CO2 reforming of methane over Ni-based catalysts: Promoting role of Ag and Sn secondary metals. Int. J. Hydrogen Energy 2022, 47, 30830–30842. [Google Scholar] [CrossRef]
- Yu, M.; Zhu, Y.A.; Lu, Y.; Tong, G.; Zhu, K.; Zhou, X. The promoting role of Ag in Ni-CeO2 catalyzed CH4-CO2 dry reforming reaction. Appl. Catal. B Environ. 2015, 165, 43–56. [Google Scholar] [CrossRef]
- Vang, R.T.; Honkala, K.; Dahl, S.; Vestergaard, E.K.; Schnadt, J.; Lægsgaard, E.; Clausen, B.S.; Nørskov, J.K.; Besenbacher, F. Controlling the catalytic bond-breaking selectivity of Ni surfaces by step blocking. Nat. Mater. 2005, 4, 160–162. [Google Scholar] [CrossRef]
- Parizotto, N.V.; Rocha, K.O.; Damyanova, S.; Passos, F.B.; Zanchet, D.; Marques, C.M.P.; Bueno, J.M.C. Alumina-supported Ni catalysts modified with silver for the steam reforming of methane: Effect of Ag on the control of coke formation. Appl. Catal. A Gen. 2007, 330, 12–22. [Google Scholar] [CrossRef]
- Abu-Zied, B.M.; Ali, T.T. Fabrication, characterization and catalytic activity measurements of nano-crystalline Ag-Cr-O catalysts. Appl. Surf. Sci. 2018, 457, 1126–1135. [Google Scholar] [CrossRef]
- Wang, J.; Gupta, A.; Klein, T.M. Plasma enhanced chemical vapor deposition of Cr2O3 thin films using chromium hexacarbonyl (Cr(CO)6) precursor. Thin Solid Films 2008, 516, 7366–7372. [Google Scholar] [CrossRef]
- Wang, T.G.; Jeong, D.; Liu, Y.; Wang, Q.; Iyengar, S.; Melin, S.; Kim, H.K. Study on nanocrystalline Cr2O3 films deposited by arc ion plating: II. Mechanical and tribological properties. Surf. Coat. Technol. 2012, 206, 2638–2644. [Google Scholar] [CrossRef]
- Alharbi, W. Structural, compositional study, and thermal behavior of TiO2/Cr2O3/GO nanocomposite for methylene blue degradation. J. Photochem. Photobiol. A Chem. 2023, 439, 114597. [Google Scholar] [CrossRef]
- Zheng, S.; Wang, S.X.; Li, S.J. Influence of Cr2O3 on Catalytic Performance of MXOY(M = Cu, Ni, Ce)/Al2O3-ZrO2 for Methane Combustion. J. Eng. Sci. Technol. Rev. 2021, 14, 206–213. [Google Scholar] [CrossRef]
- Ordóñez, S.; Paredes, J.R.; Díez, F.V. Sulphur poisoning of transition metal oxides used as catalysts for methane combustion. Appl. Catal. A Gen. 2008, 341, 174–180. [Google Scholar] [CrossRef]
- Li, L.; Zhu, Z.H.; Wang, S.B.; Yao, X.D.; Yan, Z.F. Chromium oxide catalysts for COx-free hydrogen generation via catalytic ammonia decomposition. J. Mol. Catal. A Chem. 2009, 304, 71–76. [Google Scholar] [CrossRef]
- Henni, H.; Benrabaa, R.; Roussel, P.; Löfberg, A. Ni-Ag Catalysts for Hydrogen Production through Dry Reforming of Methane: Characterization and Performance Evaluation. Catalysts 2024, 14, 400. [Google Scholar] [CrossRef]
- Mierczynski, P.; Kaczorowski, P.; Maniecki, T.P.; Bawolak-Olczak, K.; Maniukiewicz, W. The influence of Pd loading on the physicochemical properties of the Cu-Cr-Al methanol synthesis catalysts. React. Kinet. Mech. Catal. 2013, 109, 13–27. [Google Scholar] [CrossRef][Green Version]
- Prieto, P.; Nistor, V.; Nouneh, K.; Oyama, M.; Abd-Lefdil, M.; Díaz, R. XPS study of silver, nickel and bimetallic silver–nickel nanoparticles prepared by seed-mediated growth. Appl. Surf. Sci. 2012, 258, 8807–8813. [Google Scholar] [CrossRef]
- X-ray Photoelectron Spectroscopy (XPS) Reference Pages. Available online: http://www.xpsfitting.com/ (accessed on 23 September 2024).
- Biesinger, M.C.; Payne, B.P.; Grosvenor, A.P.; Lau, L.W.M.; Gerson, A.R.; Smart, R.S.C. Resolving surface chemical states in XPS analysis of first row transition metals, oxides and hydroxides: Cr, Mn, Fe, Co and Ni. Appl. Surf. Sci. 2011, 257, 2717–2730. [Google Scholar] [CrossRef]
- Xiao, Z.; Xiu, J.; Wang, X.; Zhang, B.; Williams, C.T.; Su, D.; Liang, C. Controlled preparation and characterization of supported CuCr2O4 catalysts for hydrogenolysis of highly concentrated glycerol. Catal. Sci. Technol. 2013, 3, 1108–1115. [Google Scholar] [CrossRef]
- Kanuri, S.; Dinda, S.; Singh, S.A.; Roy, S.; Chakraborty, C.; Datta, S.P. Microrod networks CuO–ZnO–Al2O3 catalyst for methanol synthesis from CO2: Synthesis, characterization, and performance demonstration. Mater. Today Chem. 2024, 36, 101959. [Google Scholar] [CrossRef]
- Mobini, S.; Meshkani, F.; Rezaei, M. Surfactant-assisted hydrothermal synthesis of CuCr2O4 spinel catalyst and its application in CO oxidation process. J. Environ. Chem. Eng. 2017, 5, 4906–4916. [Google Scholar] [CrossRef]
- Babu, G.S.; Rekha, V.; Francis, S.; Lingaiah, N. Vapour Phase Selective Hydrogenation of Furfural to Furfuryl Alcohol Over Cu–Cr–Zn Mixed Oxide Catalysts Prepared by Utilizing Gamma Radiation. Catal. Lett. 2019, 149, 2758–2766. [Google Scholar] [CrossRef]
- Wang, X.; Sun, Y.; Han, F.; Zhao, Y. Effect of Fe addition on the structure and SCR reactivity of one-pot synthesized Cu-SSZ-13. J. Environ. Chem. Eng. 2022, 10, 107888. [Google Scholar] [CrossRef]
- Ma, L.; Zhang, Y.X.; Gao, X.H.; Ma, Q.X.; Zhang, J.L.; Zhao, T.S. Preparation of Fe3O4@PI and its catalytic performances in Fischer-Tropsch synthesis. Ranliao Huaxue Xuebao/J. Fuel Chem. Technol. 2020, 48, 813–820. [Google Scholar] [CrossRef]
- Jermwongratanachai, T.; Jacobs, G.; Shafer, W.D.; Pendyala, V.R.R.; Ma, W.; Gnanamani, M.K.; Hopps, S.; Thomas, G.A.; Kitiyanan, B.; Khalid, S.; et al. Fischer-Tropsch synthesis: TPR and XANES analysis of the impact of simulated regeneration cycles on the reducibility of Co/alumina catalysts with different promoters (Pt, Ru, Re, Ag, Au, Rh, Ir). Catal. Today 2014, 228, 15–21. [Google Scholar] [CrossRef]
- Venugopal, A.; Scurrell, M.S. Low temperature reductive pretreatment of Au/Fe2O3 catalysts, TPR/TPO studies and behaviour in the water-gas shift reaction. Appl. Catal. A Gen. 2004, 258, 241–249. [Google Scholar] [CrossRef]
- Benrabaa, R.; Löfberg, A.; Rubbens, A.; Bordes-Richard, E.; Vannier, R.N.; Barama, A. Structure, reactivity and catalytic properties of nanoparticles of nickel ferrite in the dry reforming of methane. Catal. Today 2013, 203, 188–195. [Google Scholar] [CrossRef]
- Benrabaa, R.; Boukhlouf, H.; Löfberg, A.; Rubbens, A.; Vannier, R.N.; Bordes-Richard, A.; Barama, A. Nickel ferrite spinel as catalyst precursor in the dry reforming of methane: Synthesis, characterization and catalytic properties. J. Nat. Gas Chem. 2012, 21, 595–604. [Google Scholar] [CrossRef]
- Benrabaa, R.; Trentesaux, M.; Roussel, P.; Rubbens, A.; Vannier, R.-N.; Löfberg, A. NiAlxFe2− xO4 mixed oxide catalysts for methane reforming with CO2: Effect of Al vs Fe contents and precursor salts. J. CO2 Util. 2023, 67, 102319. [Google Scholar] [CrossRef]
- Hallassi, M.; Benrabaa, R.; Cherif, N.F.; Lerari, D.; Chebout, R.; Bachari, K.; Rubbens, A.; Roussel, P.; Vannier, R.N.; Trentesaux, M.; et al. Characterization and Syngas Production at Low Temperature via Dry Reforming of Methane over Ni-M (M = Fe, Cr) Catalysts Tailored from LDH Structure. Catalysts 2022, 12, 1507. [Google Scholar] [CrossRef]
- Lee, M.; Oh, S.; Suh, K.; Kim, D. Preparation of silver nanoparticles in hexagonal phase formed by nonionic Triton X-100 surfactant. Colloids Surf. A Physicochem. Eng. Asp. 2002, 210, 49–60. [Google Scholar] [CrossRef]
- Ayyub, P. Observation of a hexagonal (4H) phase in nanocrystalline silver. Phys. Rev. B 2014, 26, 033405. [Google Scholar] [CrossRef]
- Chakraborty, I.; Shirodkar, S.N.; Gohil, S. The nature of the structural phase transition from the hexagonal (4H) phase to the cubic (3C) phase of silver. J. Phys. Condens. Matter 2014, 26, 115405. [Google Scholar] [CrossRef]

















| Catalysts | XRD Data | S.S.A. | ||||||||
|---|---|---|---|---|---|---|---|---|---|---|
| Detected Phases | Cs (nm) | Lattice Parameters | Phase (%) | SB.E.T. (m2/g) | ||||||
| a (Å) | b (Å) | c (Å) | α (°) | β (°) | γ (°) | |||||
| AgCr-700 | AgCrO2 | 64 (4) | 2.9860 (4) | 2.9860 (4) | 18.509 (3) | 90 | 90 | 120 | 72 (2) | 1 |
| Ag2CrO4 | 41 (12) | 10.05 (1) | 7.028 (7) | 5.543 (6) | 90 | 90 | 90 | 15 (2) | ||
| Ag | 26 (5) | 4.088 (2) | 4.088 (2) | 4.088 (2) | 90 | 90 | 90 | 13 (1) | ||
| AgFe-700 | Fe2O3 | 89 (3) | 5.0360 (2) | 5.0360 (2) | 13.7530 (8) | 90 | 90 | 120 | 55.0 (6) | 4 |
| Ag | 113 (2) | 4.069 (7) | 4.069 (7) | 4.069 (7) | 90 | 90 | 90 | 43 (2) | ||
| Na2O | 59 (9) | 5.5550 (7) | 5.5550 (7) | 5.5550 (7) | 90 | 90 | 90 | 2.2 (3) | ||
| CuCr-700 | CuO | 70 (12) | 4.687 (2) | 3.426 (2) | 5.130 (3) | 90 | 99.52 (3) | 90 | 27 (2) | 4 |
| CuCr2O4 | 46 (4) | 6.028 (2) | 6.028 (2) | 7.806 (3) | 90 | 90 | 90 | 73 (2) | ||
| CuFe-700 | CuO | 71 (2) | 4.6870 (2) | 3.4251 (2) | 5.1316 (3) | 90 | 99.497 (3) | 90 | 52.1 (9) | 6 |
| Fe2O3 | 79 (2) | 5.0366 (2) | 5.0366 (2) | 13.7505 (8) | 90 | 90 | 120 | 39.2 (4) | ||
| CuFe2O4 | 21 (3) | 5.819 (3) | 5.819 (3) | 8.6982 (6) | 90 | 90 | 90 | 8.7 (6) | ||
| Catalysts | EDS Data | XPS Data | ||
|---|---|---|---|---|
| Ag/M or Cu/M (M = Cr or Fe) | Ag or Cu * (eV) | Cr or Fe * (eV) | Ag/M or Cu/M (M = Cr or Fe) | |
| AgCr-700 | 1.2 | 368.1 | 575.3 | 1.7 |
| AgFe-700 | 0.2 | 368.4 | 711 | 0.2 |
| CuCr-700 | 1 | 934.5 | 577 | 1.2 |
| CuFe-700 | 0.8 | 933.7 | 710.8 | 0.3 |
Disclaimer/Publisher’s Note: The statements, opinions and data contained in all publications are solely those of the individual author(s) and contributor(s) and not of MDPI and/or the editor(s). MDPI and/or the editor(s) disclaim responsibility for any injury to people or property resulting from any ideas, methods, instructions or products referred to in the content. |
© 2024 by the authors. Licensee MDPI, Basel, Switzerland. This article is an open access article distributed under the terms and conditions of the Creative Commons Attribution (CC BY) license (https://creativecommons.org/licenses/by/4.0/).
Share and Cite
Barr, A.; Benrabaa, R.; Henni, H.; Meddour-Boukhobza, L.; Roussel, P.; Löfberg, A. Catalytic Reactivity Assessment of AgM and CuM (M = Cr, Fe) Catalysts for Dry Reforming of Methane Process with CO2. Molecules 2024, 29, 4597. https://doi.org/10.3390/molecules29194597
Barr A, Benrabaa R, Henni H, Meddour-Boukhobza L, Roussel P, Löfberg A. Catalytic Reactivity Assessment of AgM and CuM (M = Cr, Fe) Catalysts for Dry Reforming of Methane Process with CO2. Molecules. 2024; 29(19):4597. https://doi.org/10.3390/molecules29194597
Chicago/Turabian StyleBarr, Amel, Rafik Benrabaa, Hayat Henni, Laaldja Meddour-Boukhobza, Pascal Roussel, and Axel Löfberg. 2024. "Catalytic Reactivity Assessment of AgM and CuM (M = Cr, Fe) Catalysts for Dry Reforming of Methane Process with CO2" Molecules 29, no. 19: 4597. https://doi.org/10.3390/molecules29194597
APA StyleBarr, A., Benrabaa, R., Henni, H., Meddour-Boukhobza, L., Roussel, P., & Löfberg, A. (2024). Catalytic Reactivity Assessment of AgM and CuM (M = Cr, Fe) Catalysts for Dry Reforming of Methane Process with CO2. Molecules, 29(19), 4597. https://doi.org/10.3390/molecules29194597

