Exploring the Impact of Subtle Differences in the Chemical Structure of 1-Alkylsulfates and 1-Alkylsulfonates on Their Interactions with Human Serum Albumin
Abstract
1. Introduction
2. Results and Discussion
2.1. Interactions of 1-Alkylsulfonates (KXS) and 1-Alkylsulfates (SXS) Ions with Human Serum Albumin (HSA)
2.1.1. The Stoichiometry and the Number of the Binding Sites
2.1.2. The Thermodynamic Parameters of the Interactions
2.1.3. Effect of KXS and SXS on the Tryptophan Environment of Human Serum Albumin
2.2. Potential Binding Sites for KXS and SXS on Human Serum Albumin
2.2.1. A Molecular Dynamics Simulation Approach to Binding Site Determination
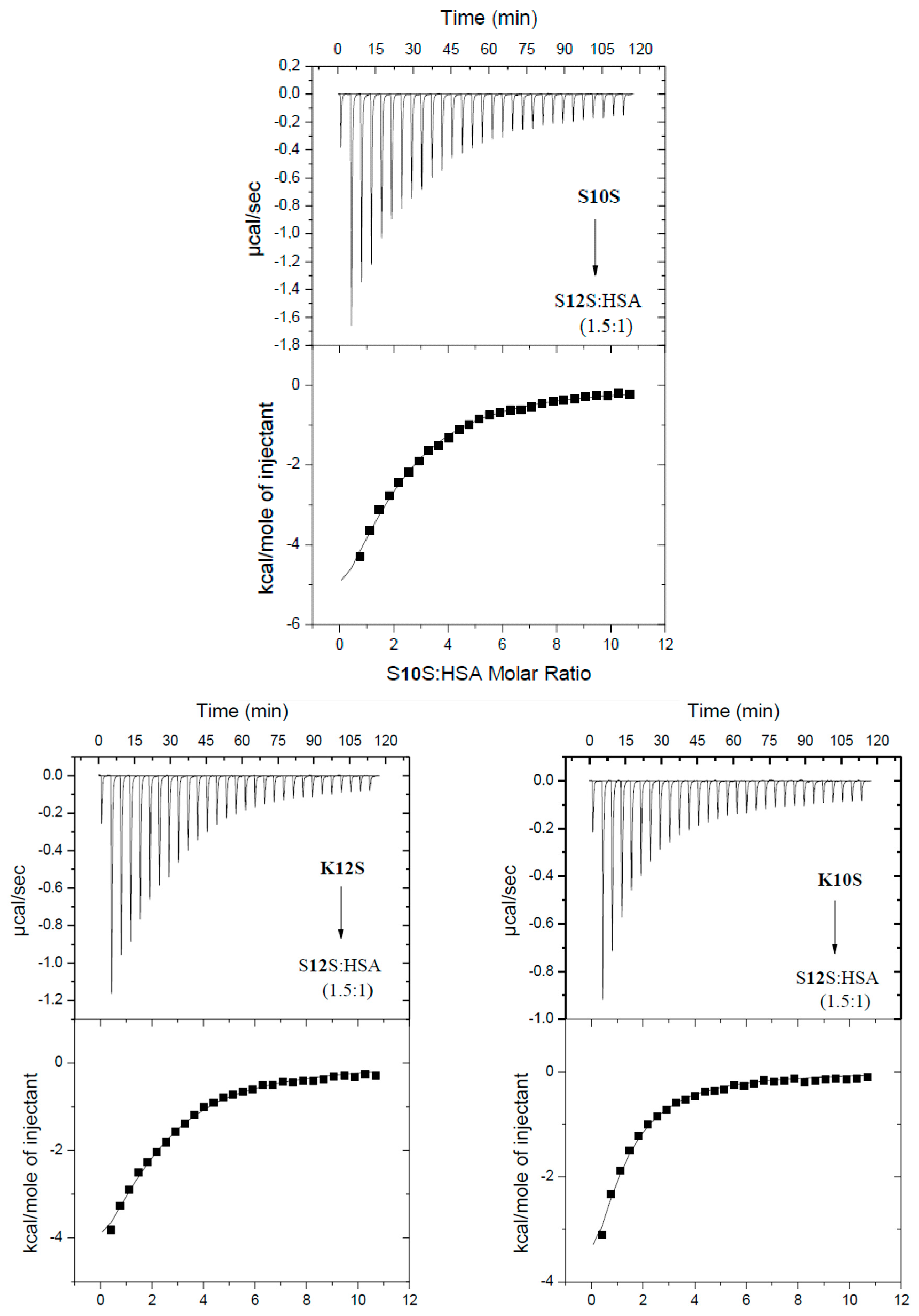
2.2.2. Competitive ITC Displacement Assays for Binding Site Determination
2.3. The Hydration Patterns of 1-Alkylsulfonates (KXS) and 1-Alkylsulfates (SXS) Ions
3. Materials and Methods
3.1. Materials
3.2. Methods
3.2.1. Isothermal Titration Calorimetry (ITC)
3.2.2. Steady-State Fluorescence Spectroscopy (SF)
3.2.3. Molecular Dynamics (MD) Simulations
4. Conclusions
Author Contributions
Funding
Institutional Review Board Statement
Informed Consent Statement
Data Availability Statement
Conflicts of Interest
References
- Taha, A.; Ahmed, E.; Ismaiel, A.; Ashokkumar, M.; Xu, X.; Pan, S.; Hu, H. Ultrasonic emulsification: An overview on the preparation of different emulsifiers-stabilized emulsions. Trends Food Sci. Technol. 2020, 105, 363–377. [Google Scholar] [CrossRef]
- Song, T.; Gao, F.; Guo, S.; Zhang, Y.; Li, S.; Youa, H.; Du, Y. A review of the role and mechanism of surfactants in the morphology control of metal nanoparticles. Nanoscale 2021, 13, 3895–3910. [Google Scholar] [CrossRef]
- Song, J.; Sun, C.; Gul, K.; Mata, A.; Fang, Y. Prolamin-based complexes: Structure design and food-related applications. Compr. Rev. Food Sci. Food Saf. 2021, 20, 1120–1149. [Google Scholar] [CrossRef]
- Yue, Z.; Yao, M.; Bai, G.; Wang, J.; Zhuo, K.; Wang, J.; Wang, Y. Controllable enzymatic superactivity α-chymotrypsin activated by the electrostatic interaction with cationic gemini surfactants. RSC Adv. 2021, 11, 7294–7304. [Google Scholar] [CrossRef] [PubMed]
- Shaban, S.M.; Kang, J.; Kim, D.H. Surfactants: Recent advances and their applications. Compos. Commun. 2020, 22, 100537. [Google Scholar] [CrossRef]
- Yan, P.; Xiao, J.X. Polymer–surfactant interaction: Differences between alkyl sulfate and alkyl sulfonate. Colloids Surf. A Physicochem. Eng. Asp. 2004, 244, 39–44. [Google Scholar] [CrossRef]
- Mehringer, J.; Hofmann, E.; Touraud, D.; Koltzenburg, S.; Kellermeier, M.; Kunz, W. Salting-in and salting-out effects of short amphiphilic molecules: A balance between specific ion effects and hydrophobicity. Phys. Chem. Chem. Phys. 2021, 23, 1381–1391. [Google Scholar] [CrossRef]
- Trawiſska, A.; Hallmann, E.; MĿdrzycka, K. The effect of alkyl chain length on synergistic effects in micellization and surface tension reduction in nonionic gemini (S-10) and anionic surfactants mixtures. Colloids Surf. A Physicochem. Eng. Asp. 2016, 506, 114–126. [Google Scholar] [CrossRef]
- Sadeghi, R.; Shahabi, S. A comparison study between sodium dodecyl sulfate and sodium dodecyl sulfonate with respect to the thermodynamic properties, micellization, and interaction with poly (ethylene glycol) in aqueous solutions. J. Chem. Thermodyn. 2011, 43, 1361–1370. [Google Scholar] [CrossRef]
- Chen, L.; Xiao, J.X.; Ma, J. Striking differences between alkyl sulfate and alkyl sulfonate when mixed with cationic surfactants. Colloid Polym. Sci. 2004, 282, 524–529. [Google Scholar] [CrossRef]
- Grabowska, O.; Żamojć, K.; Olewniczak, M.; Chmurzyński, L.; Wyrzykowski, D. Can sodium 1-alkylsulfonates participate in the sodium dodecyl sulfate micelle formation? J. Mol. Liq. 2023, 377, 121568. [Google Scholar] [CrossRef]
- Tesmar, A.; Kogut, M.M.; Żamojć, K.; Grabowska, O.; Chmur, K.; Samsonov, S.A.; Makowska, J.; Wyrzykowski, D.; Chmurzyński, L. Physicochemical nature of sodium dodecyl sulfate interactions with bovine serum albumin revealed by interdisciplinary approaches. J. Mol. Liq. 2021, 340, 117185. [Google Scholar] [CrossRef]
- Aslam, J.; Lone, I.H.; Ansari, F.; Aslam, A.; Aslam, R.; Akram, M. Molecular binding interaction of pyridinium based gemini surfactants with bovine serum albumin: Insights from physicochemical, multispectroscopic, and computational analysis, Spectrochim. Acta A Mol. Biomol. Spectrosc. 2021, 250, 119350. [Google Scholar] [CrossRef] [PubMed]
- Sharma, V.; Yañez, O.; Zúñiga, C.; Kumar, A.; Singh, G.; Cantero-López, P. Protein-surfactant interactions: A multitechnique approach on the effect of Co-solvents over bovine serum albumin (BSA)-cetyl pyridinium chloride (CPC) system. Chem. Phys. Lett. 2020, 747, 137349. [Google Scholar] [CrossRef]
- Andersen, K.K.; Oliveira, C.L.P.; Larsen, K.L.; Poulsen, F.M.; Callisen, T.H.; Westh, P.; Pedersen, J.S.; Otzen, D.E. The role of decorated SDS micelles in sub-cmc protein denaturation and association. J. Mol. Biol. 2009, 391, 207–226. [Google Scholar] [CrossRef]
- Otzen, D.E.; Sehgal, P.; Westh, P. α-Lactalbumin is unfolded by all classes of detergents but with different mechanisms. J. Colloid Interface Sci. 2009, 329, 273–283. [Google Scholar] [CrossRef]
- Otzen, D.E.; Nesgaard, L.; Andersen, K.K.; Hansen, J.H.; Christiansen, G.; Doe, H.; Sehgal, P. Aggregation of S6 in a quasi-native state by monomeric SDS, Biochim. Biophys. Acta 2008, 1784, 400–414. [Google Scholar]
- Andersen, K.; Westh, P.; Otzen, D.E. A global study of myoglobin–surfactant interactions. Langmuir 2008, 15, 399–407. [Google Scholar] [CrossRef]
- Nielsen, M.M.; Andersen, K.K.; Westh, P.; Otzen, D.E. Unfolding of β-sheet proteins in SDS. Biophys. J. 2007, 92, 3674–3685. [Google Scholar] [CrossRef]
- Otzen, D. Protein-surfactant interactions: A tale of many states, Biochim. Biophyis. Acta 2011, 1814, 562–591. [Google Scholar] [CrossRef]
- Grabowska, O.; Samsonov, S.A.; Kogut-Günthel, M.M.; Żamojć, K.; Wyrzykowski, D. Elucidation of binding mechanisms of bovine serum albumin and 1-alkylsulfonates with different hydrophobic chain lengths. Int. J. Biol. Macromol. 2024, 266, 131134. [Google Scholar] [CrossRef] [PubMed]
- Gelamo, E.L.; Tabak, M. Spectroscopic studies on the interaction of bovine (BSA) and human (HSA) serum albumins with ionic surfactants. Spectrochim. Acta A Mol. Biomol. Spectrosc. 2000, 56, 2255–2271. [Google Scholar] [CrossRef] [PubMed]
- Żamojć, K.; Wyrzykowski, D.; Chmurzyński, L. On the effect of pH, temperature, and surfactant structure on bovine serum albumin–cationic/anionic/nonionic surfactants interactions in cacodylate buffer–fluorescence quenching studies supported by UV spectrophotometry and CD spectroscopy. Int. J. Mol. Sci. 2021, 23, 41. [Google Scholar] [CrossRef]
- Gelamo, E.L.; Silva, C.H.T.P.; Imasato, H.; Tabak, M. Interaction of bovine (BSA) and human (HSA) serum albumins with ionic surfactants: Spectroscopy and modelling. Biochim. Biophys. Acta Protein Struct. Mol. Enzym. 2002, 1594, 84–99. [Google Scholar] [CrossRef]
- Gao, W.; Li, N.; Chen, Y.; Xu, Y.; Lin, Y.; Yin, Y.; Hu, Z. Study of interaction between syringin and human serum albumin by multi-spectroscopic method and atomic force microscopy. J. Mol. Struct. 2010, 983, 133–140. [Google Scholar] [CrossRef]
- Zhao, T.; Liu, Z.; Niu, J.; Lv, B.; Xiao, Y.; Li, Y. Investigation of the interaction mechanism between salbutamol and human serum albumin by multispectroscopic and molecular docking. BioMed Res. Int. 2020, 2020, 1693602. [Google Scholar] [CrossRef]
- Kabir, M.Z.; Seng, J.; Mohamad, S.B.; Uslu, B. Decoding the intermolecular recognition mode of a potent anticancer drug, abiraterone with human serum albumin: Assessments through spectroscopic and computational techniques. J. Mol. Struct. 2024, 1302, 137509. [Google Scholar] [CrossRef]
- Reynolds, J.A.; Herbert, S.; Polet, H.; Steinhardt, J. The binding of divers detergent anions to bovine serum albumin. Biochemistry 1967, 6, 937–947. [Google Scholar] [CrossRef]
- Yamasaki, K.; Miyoshi, T.; Maruyama, T.; Takadate, A.; Otagiri, M. Characterization of region Ic in site I on human serum albumin. Microenvironmental analysis using fluorescence spectroscopy. Biol. Pharm. Bull. 1994, 17, 1656–1662. [Google Scholar] [CrossRef][Green Version]
- Case, D.A.; Cerutti, D.S.; III Cheatham, T.E.; Darden, T.A.; Duke, R.E.; Giese, T.J.; Gohlke, H.; Goetz, A.W.; Greene, D.; Homeyer, N.; et al. AMBER 2017; University of California: San Francisco, CA, USA, 2017. [Google Scholar]
- Wang, J.; Wolf, R.M.; Caldwell, J.W.; Kollman, P.A.; Case, D.A. Development and testing of a general amber force field. J. Comput. Chem. 2004, 25, 1157–1174. [Google Scholar] [CrossRef]
- Bayly, C.I.; Cieplak, P.; Cornell, W.; Kollman, P.A. A well-behaved electrostatic potential based method using charge restraints for deriving atomic charges: The RESP model. J. Phys. Chem. 1993, 97, 10269–10280. [Google Scholar] [CrossRef]
- Maier, J.A.; Martinez, C.; Kasavajhala, K.; Wickstrom, L.; Hauser, K.E.; Simmerling, C. ff14SB: Improving the accuracy of protein side chain and backbone parameters from ff99SB. J. Chem. Theory Comput. 2015, 11, 3696–3713. [Google Scholar] [CrossRef] [PubMed]
- Humphrey, W.; Dalke, A.; Schulten, K. VMD: Visual molecular dynamics. J. Mol. Graph. 1996, 4, 33–38. [Google Scholar] [CrossRef] [PubMed]










| Parameters | K12S/HSA | K10S/HSA | S12S/HSA | S10S/HSA |
|---|---|---|---|---|
| N1 | 1.47 (±0.02) | 0.89 (±0.06) | 0.99 (±0.08) | 0.77 (±0.01) |
| logK(ITC)1 | 4.60 (±0.02) | 4.54 (±0.04) | 6.14 (±0.20) | 5.78 (±0.07) |
| ΔG(ITC)1 [kcal mol−1] | −6.28 (±0.03) | −6.20 (±0.05) | −8.38 (±0.28) | −7.89 (±0.10) |
| ΔH(ITC)1 [kcal mol−1] | −11.29 (±0.20) | −11.33 (±0.86) | −9.03 (±0.54) | −11.68 (±0.77) |
| TΔS(ITC)1 [kcal mol−1] | −5.01 | −5.13 | −0.65 | −3.79 |
| N2 | - | - | 4.13 (±0.17) | 4.03 (±0.76) |
| logK(ITC)2 | - | - | 4.72 (±0.05) | 4.29 (±0.10) |
| ΔG(ITC)2 [kcal mol−1] | - | - | −6.44 (±0.06) | −5.85 (±0.14) |
| ΔH(ITC)2 [kcal mol−1] | - | - | −6.47 (±0.51) | −5.10 (±1.33) |
| TΔS(ITC)2 [kcal mol−1] | - | - | −0.03 | 0.75 |
| Parameters | S10S → HSA:S12S a | S10S → HSA:S12S b | K12S → HSA:S12S a | K12S → HSA:S12S b | K10S → HSA:S12S a | K10S → HSA:S12S b |
|---|---|---|---|---|---|---|
| The first SXS/KXS-binding site in HSA | ||||||
| N1 | 1.94 (±0.05) | 1.96 (±0.07) | 1.99 (±0.02) | - | 0.99 (±0.01) | - |
| logK(ITC)1 | 4.51 (±0.01) | 4.23 (±0.03) | 4.45 (±0.02) | - | 4.61 (±0.02) | - |
| ΔG(ITC)1 [kcal mol−1] | −6.15 (±0.01) | −5.77 (±0.04) | −6.08 (±0.02) | - | −6.29 (±0.03) | - |
| ΔH(ITC)1 [kcal mol−1] | −8.89 (±0.21) | −3.06 (±0.13) | −7.37 (±0.11) | - | −7.51 (±0.15) | - |
| TΔS(ITC)1 [kcal mol−1] | −2.74 | 2.71 | −1.29 | - | −1.22 | - |
Disclaimer/Publisher’s Note: The statements, opinions and data contained in all publications are solely those of the individual author(s) and contributor(s) and not of MDPI and/or the editor(s). MDPI and/or the editor(s) disclaim responsibility for any injury to people or property resulting from any ideas, methods, instructions or products referred to in the content. |
© 2024 by the authors. Licensee MDPI, Basel, Switzerland. This article is an open access article distributed under the terms and conditions of the Creative Commons Attribution (CC BY) license (https://creativecommons.org/licenses/by/4.0/).
Share and Cite
Grabowska, O.; Singh, A.; Żamojć, K.; Samsonov, S.A.; Wyrzykowski, D. Exploring the Impact of Subtle Differences in the Chemical Structure of 1-Alkylsulfates and 1-Alkylsulfonates on Their Interactions with Human Serum Albumin. Molecules 2024, 29, 4598. https://doi.org/10.3390/molecules29194598
Grabowska O, Singh A, Żamojć K, Samsonov SA, Wyrzykowski D. Exploring the Impact of Subtle Differences in the Chemical Structure of 1-Alkylsulfates and 1-Alkylsulfonates on Their Interactions with Human Serum Albumin. Molecules. 2024; 29(19):4598. https://doi.org/10.3390/molecules29194598
Chicago/Turabian StyleGrabowska, Ola, Ankur Singh, Krzysztof Żamojć, Sergey A. Samsonov, and Dariusz Wyrzykowski. 2024. "Exploring the Impact of Subtle Differences in the Chemical Structure of 1-Alkylsulfates and 1-Alkylsulfonates on Their Interactions with Human Serum Albumin" Molecules 29, no. 19: 4598. https://doi.org/10.3390/molecules29194598
APA StyleGrabowska, O., Singh, A., Żamojć, K., Samsonov, S. A., & Wyrzykowski, D. (2024). Exploring the Impact of Subtle Differences in the Chemical Structure of 1-Alkylsulfates and 1-Alkylsulfonates on Their Interactions with Human Serum Albumin. Molecules, 29(19), 4598. https://doi.org/10.3390/molecules29194598

