The Development and Application of Tritium-Labeled Compounds in Biomedical Research
Abstract
1. Introduction
2. Properties of Tritium-Labeled Compounds
2.1. Physical and Chemical Properties of Tritium
2.2. Storage of Tritiated Compounds
2.3. Biological Properties of the Tritium Isotope
3. Synthesis of Tritium-Labeled Compounds
3.1. Tritium–Halogen Exchange
3.2. Tritide Reductions
3.3. Methylation
3.4. Metal-Catalyzed Hydrogen Isotope Exchange
3.5. Photoredox-Catalyzed Hydrogen Isotope Exchange
4. Applications of the Tritium-Labeled Compounds
4.1. Cell Cytotoxicity Estimation
4.2. Human ADME Studies
4.3. Autoradiography Distribution Studies
4.4. Tagging for Protein Binding
5. Conclusions
Author Contributions
Funding
Acknowledgments
Conflicts of Interest
References
- Wang, C.H.; Willis, D.L. Radioactive Isotopes. (Book Reviews: Radiotracer Methodology in Biological Science). Science 1965, 150, 877. [Google Scholar]
- Uhl, P.; Fricker, G.; Haberkorn, U.; Mier, W. Radionuclides in drug development. Drug Discov. Today 2015, 20, 198–208. [Google Scholar] [CrossRef]
- Isin, E.M.; Elmore, C.S.; Nilsson, G.N.; Thompson, R.A.; Weidolf, L. Use of radiolabeled compounds in drug metabolism and pharmacokinetic studies. Chem. Res. Toxicol. 2012, 25, 532–542. [Google Scholar] [CrossRef] [PubMed]
- Elmore, C.S.; Bragg, R.A. Isotope chemistry; a useful tool in the drug discovery arsenal. Bioorg. Med. Chem. Lett. 2015, 25, 167–171. [Google Scholar] [CrossRef] [PubMed]
- Marathe, P.H.; Shyu, W.C.; Humphreys, W.G. The use of radiolabeled compounds for ADME studies in discovery and exploratory development. Curr. Pharm. Des. 2004, 10, 2991–3008. [Google Scholar] [CrossRef]
- Elmore, C.S. Use of Isotopically Labeled Compounds in Drug Discovery. Annu. Rep. Med. Chem. 2009, 45, 515. [Google Scholar]
- Krauser, J.A. A perspective on tritium versus carbon-14: Ensuring optimal label selection in pharmaceutical research and development. J. Label. Compd. Radiopharm. 2013, 56, 441–446. [Google Scholar] [CrossRef]
- McEwen, A.; Henson, C. Quantitative whole-body autoradiography: Past, present and future. Bioanalysis 2015, 7, 557–568. [Google Scholar] [CrossRef]
- Sadaghiani, A.M.; Verhelst, S.H.; Bogyo, M. Tagging and detection strategies for activity-based proteomics. Curr. Opin. Chem. Biol. 2007, 11, 20–28. [Google Scholar] [CrossRef]
- Lockley, W.J.S.; McEwen, A.; Cooke, R. Tritium: A coming of age for drug discovery and development ADME studies. J. Label. Compd. Radiopharm. 2012, 55, 235–257. [Google Scholar] [CrossRef]
- Saljoughian, M.; Williams, P.G. Recent developments in tritium incorporation for radiotracer studies. Curr. Pharm. Des. 2000, 6, 1029–1056. [Google Scholar] [CrossRef]
- Atzrodt, J.; Derdau, V.; Kerr, W.J.; Reid, M. Deuterium- and Tritium-Labelled Compounds: Applications in the Life Sciences. Angew. Chem. Int. Ed. 2018, 57, 1758–1784. [Google Scholar] [CrossRef]
- Zouridakis, N.; Ochsenkuhn, K.M.; Savidou, A. Determination of uranium and radon in potable water samples. J. Environ. Radioact. 2002, 61, 225–232. [Google Scholar] [CrossRef]
- Palmblad, M.; Buchholz, B.A.; Hillegonds, D.J.; Vogel, J.S. Neuroscience and accelerator mass spectrometry. J. Mass Spectrom. 2005, 40, 154–159. [Google Scholar] [CrossRef]
- Elmore, C.S.; Brush, K.; Schou, M.; Palmer, W.; Dorff, P.N.; Powell, M.E.; Hoesch, V.; Hall, J.E.; Hudzik, T.; Halldin, C. Synthesis of a delta opioid agonist in [2H6], [2H4], [11C], and [14C] labeled forms. J. Label. Compd. Radiopharm. 2011, 54, 847. [Google Scholar] [CrossRef]
- Raja, S.N.; Surber, B.W.; Du, J.; Cross, J.L. Synthesis of [3H] ABT-518, a matrix metalloproteinase inhibitor (MMPI) labeled in the phenyl rings. J. Label. Compd. Radiopharm. 2009, 52, 98–102. [Google Scholar] [CrossRef]
- Elmore, C.S.; Dorff, P.N.; Powell, M.E.; Hall, J.E.; Simpson, T.R. Synthesis of the NK3 receptor antagonist AZD2624 in C-14-, H-3-and C-13-labeled forms. J. Label. Compd. Radiopharm. 2011, 54, 239–246. [Google Scholar] [CrossRef]
- Yu, R.P.; Hesk, D.; Rivera, N.; Pelczer, I.; Chirik, P.J. Iron-catalysed tritiation of pharmaceuticals. Nature 2016, 529, 195–199. [Google Scholar] [CrossRef] [PubMed]
- Lockley, W.J.S.; Heys, J.R. Metal-catalysed hydrogen isotope exchange labelling: A brief overview. J. Label. Compd. Radiopharm. 2010, 53, 635–644. [Google Scholar] [CrossRef]
- Tritiated 2-deoxy-D-glucose: A high-resolution marker for autoradiographic localization of brain metabolism. J. Comp. Neurol. 2010, 222, 128–139.
- Filer, C.N. Synthesis and characterization of tritium-labelled substances. Appl. Radiat. Isot. 2018, 137, 261–272. [Google Scholar] [CrossRef] [PubMed]
- Evans, E.A.; Warrell, D.; Elvidge, J.; Jones, J. Handbook of Tritium NMR Spectroscopy and Applications; John Wiley & Sons: Hoboken, NJ, USA, 1985. [Google Scholar]
- Schenk, D.J.; Dormer, P.G.; Hesk, D.; Pollack, S.R.; Lavey, C.F. NMR-based approach to the analysis of radiopharmaceuticals: Radiochemical purity, specific activity, and radioactive concentration values by proton and tritium NMR spectroscopy. J. Label. Compd. Radiopharm. 2015, 58, 291–298. [Google Scholar] [CrossRef]
- Vogt, F.G.; Freyer, A.J.; Levinson, S.H.; Shu, A.Y.L.; Richard Heys, J. Improved methods for 1H–3H heteronuclear shift correlation. Magn. Reson. Chem. 2005, 43, 147–155. [Google Scholar] [CrossRef] [PubMed]
- Williams, P.G.; Morimoto, H.; Wemmer, D.E. Application of modern sup 3H NMR techniques to analysis of complex isotopic products from a hydrogenation reaction. J. Am. Chem. Soc. 1988, 110, 8038–8044. [Google Scholar] [CrossRef]
- Filer, C.N. Isotopic fractionation of organic compounds in chromatography. J. Label. Compd. Radiopharm. 1999, 42, 169–197. [Google Scholar] [CrossRef]
- Waterbeemd, V.D. The parametrization of lipophilicity and other structural properties in drug design. Adv. Drug Res. 1987, 16, 85–225. [Google Scholar]
- Vliegen, M.; Janssen, C.; Verluyten, W.; Thijssen, J.; Cuyckens, F. Tritium labelling of a new tuberculosis drug, undesired isotope effects and alternative solution via ICP-MS. J. Label. Compd. Radiopharm. 2010, 53, 153–154. [Google Scholar]
- Wolf, J.R. Review: Self-radiolysis of compounds containing tritium and carbon-14. J. Label. Compd. Radiopharm. 2021, 64, 286–335. [Google Scholar] [CrossRef]
- Eyrolle, F.; Ducros, L.; Le Dizes, S.; Beaugelin-Seiller, K.; Charmasson, S.; Boyer, P.; Cossonnet, C. An updated review on tritium in the environment. J. Environ. Radioact. 2018, 181, 128–137. [Google Scholar] [CrossRef]
- Ekstrom, A.; Garnett, J.L. Recent developments in the mechanism of the protection effect of aromatic compounds on the radiolysis of aliphatics. J. Label. Compd. 1967, 3, 167–183. [Google Scholar] [CrossRef]
- Sheppard, G.; Sheppard, H.C.; Stivala, J.F. The stability of thymidine, uridine and their related nucleotides, labelled with tritium. J. Label. Compd. 1974, 10, 557–567. [Google Scholar] [CrossRef]
- Bayly, R.J.; Evans, E.A. Storage and stability of compounds labelled with radioisotopes—Part II. J. Label. Compd. 1967, 3, 349–379. [Google Scholar] [CrossRef]
- Evans, E.A.; Stanford, F.G. Stability of Thymidine Labelled with Tritium or Carbon-14. Nature 1963, 199, 762–765. [Google Scholar] [CrossRef]
- Browne, T.R.; Avenue, S.H. Stable Isotopes in Pharmaceutical Research; Elsevier: Amsterdam, The Netherlands, 1997. [Google Scholar]
- Guengerich, F.P. Kinetic deuterium isotope effects in cytochrome P450 oxidation reactions. J. Label. Compd. Radiopharm. 2013, 56, 428–431. [Google Scholar] [CrossRef] [PubMed]
- Guroff, G.; Daly, J.W.; Jerina, D.M.; Renson, J.; Witkop, B.; Udenfriend, S. Hydroxylation-induced migration: The NIH shift. Recent experiments reveal an unexpected and general result of enzymatic hydroxylation of aromatic compounds. Science 1967, 157, 1524. [Google Scholar] [CrossRef]
- Sharma, R.; Strelevitz, T.J.; Gao, H.; Clark, A.J.; Schildknegt, K.; Obach, R.S.; Ripp, S.L.; Spracklin, D.K.; Tremaine, L.M.; Vaz, A.D. Deuterium isotope effects on drug pharmacokinetics. I. System-dependent effects of specific deuteration with aldehyde oxidase cleared drugs. Drug Metab. Dispos. Biol. Fate Chem. 2011, 40, 625–634. [Google Scholar] [CrossRef]
- Brues, A.M.; Stroud, A.N.; Rietz, L. Toxicity of tritium oxide to mice. Proc. Soc. Exp. Biol. Med. 1952, 79, 174–176. [Google Scholar] [CrossRef]
- Yang, X.; Liu, H.; Jiang, X.; Jin, C.; Xu, Z.; Li, T.; Wang, Z.; Wang, J. Cyclooxygenase-2-mediated upregulation of heme oxygenase 1 mitigates the toxicity of deuterium-tritium fusion radiation. Int. J. Mol. Med. 2018, 42, 1945–1954. [Google Scholar] [CrossRef]
- Arcanjo, C.; Adam-Guillermin, C.; Murat El Houdigui, S.; Loro, G.; Della-Vedova, C.; Cavalie, I.; Camilleri, V.; Floriani, M.; Gagnaire, B. Effects of tritiated water on locomotion of zebrafish larvae: A new insight in tritium toxic effects on a vertebrate model species. Aquat. Toxicol. 2020, 219, 105384. [Google Scholar] [CrossRef]
- Edelmann, M.R.; Muser, T. Tritium O-Methylation of N-Alkoxy Maleimide Derivatives as Labeling Reagents for Biomolecules. Bioconjug. Chem. 2021, 32, 1027–1033. [Google Scholar] [CrossRef]
- Yue, D.; Hirao, H. Mechanism of Selective Aromatic Hydroxylation in the Metabolic Transformation of Paclitaxel Catalyzed by Human CYP3A4. J. Chem. Inf. Model. 2023, 63, 7826–7836. [Google Scholar] [CrossRef] [PubMed]
- Voges, R.; Heys, J.R.; Moenius, T. Preparation of Compounds Labeled With Tritium and Carbon-14; John Wiley & Sons: Hoboken, NJ, USA, 2009; Volume 26, pp. 645–648. [Google Scholar]
- Wang, X.-C.; Hu, Y.; Bonacorsi, S.; Hong, Y.; Burrell, R.; Yu, J.-Q. Pd(II)-Catalyzed C-H Iodination Using Molecular I2 as the Sole Oxidant. J. Am. Chem. Soc. 2013, 135, 10326–10329. [Google Scholar] [CrossRef] [PubMed]
- Allen, P.; Bragg, R.A.; Caffrey, M.; Ericsson, C.; Hickey, M.J.; Kingston, L.P.; Elmore, C.S. The synthesis of a tritium, carbon-14, and stable isotope-labeled cathepsin C inhibitors. J. Label. Compd. Radiopharm. 2017, 60, 124–129. [Google Scholar] [CrossRef] [PubMed]
- Rauh, J.J.; Lahm, G.P.; Pahutski, T.F.; Ullas, G.V.; Filer, C.N. Lindlar catalyst mediated tritiation of a triazole substituted isoxazoline insecticide. J. Label. Compd. 2010, 53, 51–52. [Google Scholar] [CrossRef]
- Schou, S.C.; Hunneche, C.S.; Binderup, E.; Grue-Sørensen, G. Synthesis of tritium labelled CHS 828 and its prodrug EB 1627. J. Label. Compd. Radiopharm. 2005, 48, 789–795. [Google Scholar] [CrossRef]
- Di Marco, A.; Cellucci, A.; Chaudhary, A.; Fonsi, M.; Laufer, R. High-Throughput Radiometric CYP2C19 Inhibition Assay Using Tritiated (S)-Mephenytoin. Drug Metab. Dispos. 2007, 35, 1737–1743. [Google Scholar] [CrossRef]
- Thomas, S.; Greenhalgh, M.D. Heterogeneous Catalytic Hydrogenation of C=C and C≡C; Elsevier: Amsterdam, The Netherlands, 2014. [Google Scholar]
- Rylander, P. Catalytic Hydrogenation in Organic Syntheses; Academic Press: New York, NY, USA, 1979; pp. 2193–2200. [Google Scholar]
- Dutton, H.J.; Scholfield, C.R.; Selke, E.; Rohwedder, W.K. Double bond migration, geometric isomerization, and deuterium distribution during heterogeneous catalytic deuteration of methyl oleate. J. Catal. 1968, 10, 316–327. [Google Scholar] [CrossRef]
- Wyrick, S.D.; Susan, M.N.; Lauf, P.K. Synthesis of tritiated bumetanide. J. Label. Compd. Radiopharm. 1984, 21, 173–180. [Google Scholar] [CrossRef]
- Egan, J.A.; Nugent, R.P.; Filer, C.N. Potent antiviral agent WIN 54954: High specific activity labelling with tritium. Appl. Radiat. Isot. 2004, 60, 851–853. [Google Scholar] [CrossRef]
- Zhang, Z.; Butt, N.A.; Zhang, W. Asymmetric Hydrogenation of Nonaromatic Cyclic Substrates. Chem. Rev. 2016, 116, 14769–14827. [Google Scholar] [CrossRef]
- Wheeler, W.J.; Clodfelter, D.K. Synthesis of the tritiated isotopomers of enzastaurin and its N-des-pyridylmethyl metabolite for use in ADME studies. J. Label. Compd. Radiopharm. 2008, 51, 175–181. [Google Scholar] [CrossRef]
- Bolton, R. Isotopic methylation. J. Label. Compd. Radiopharm. 2001, 44, 701–736. [Google Scholar] [CrossRef]
- Hintermann, S.; Vranesic, I.; Allgeier, H.; Brülisauer, A.; Hoyer, D.; Lemaire, M.; Moenius, T.; Urwyler, S.; Whitebread, S.; Gasparini, F. ABP688, a novel selective and high affinity ligand for the labeling of mGlu5 receptors: Identification, in vitro pharmacology, pharmacokinetic and biodistribution studies. Bioorg. Med. Chem. 2007, 15, 903. [Google Scholar] [CrossRef]
- Pipal, R.W.; Stout, K.T.; Musacchio, P.Z.; Ren, S.; Graham, T.J.A.; Verhoog, S.; Gantert, L.; Lohith, T.G.; Schmitz, A.; Lee, H.S.; et al. Metallaphotoredox aryl and alkyl radiomethylation for PET ligand discovery. Nature 2021, 589, 542–547. [Google Scholar] [CrossRef]
- Wang, L.; Xia, Y.; Derdau, V.; Studer, A. Remote Site-Selective Radical C(sp3)-H Monodeuteration of Amides using D2O. Angew. Chem. Int. Ed. 2021, 60, 18645–18650. [Google Scholar] [CrossRef]
- Heys, J.R. Organoiridium complexes for hydrogen isotope exchange labeling. J. Label. Compd. Radiopharm. 2007, 50, 770–778. [Google Scholar] [CrossRef]
- Levernier, E.; Tatoueix, K.; Garcia-Argote, S.; Pfeifer, V.; Kiesling, R.; Gravel, E.; Feuillastre, S.; Pieters, G. Easy-to-Implement Hydrogen Isotope Exchange for the Labeling of N-Heterocycles, Alkylkamines, Benzylic Scaffolds, and Pharmaceuticals. JACS Au 2022, 2, 801–808. [Google Scholar] [CrossRef]
- Kopf, S.; Bourriquen, F.; Li, W.; Neumann, H.; Junge, K.; Beller, M. Recent Developments for the Deuterium and Tritium Labeling of Organic Molecules. Chem. Rev. 2022, 122, 6634–6718. [Google Scholar] [CrossRef] [PubMed]
- Heys, R. Investigation of [IrH2(Me2CO)2(PPh3)2]BF4 as a catalyst of hydrogen isotope exchange of substrates in solution. J. Chem. Soc. Chem. Commun. 1992, 9, 680–681. [Google Scholar] [CrossRef]
- Hesk, D.; Das, P.R.; Evans, B. Deuteration of acetanilides and other substituted aromatics using [Ir(COD)(Cy3P)(Py)]PF6 as catalyst. J. Label. Compd. 1995, 36, 497–502. [Google Scholar] [CrossRef]
- Brown, J.A.; Cochrane, A.R.; Irvine, S.; Kerr, W.J.; Mondal, B.; Parkinson, J.A.; Paterson, L.C.; Reid, M.; Tuttle, T.; Andersson, S.; et al. The Synthesis of Highly Active Iridium(I) Complexes and their Application in Catalytic Hydrogen Isotope Exchange. Adv. Synth. Catal. 2014, 356, 3551–3562. [Google Scholar] [CrossRef]
- Cochrane, A.R.; Irvine, S.; Kerr, W.J.; Reid, M.; Andersson, S.; Nilsson, G.N. Application of neutral iridium(I) N-heterocyclic carbene complexes in ortho-directed hydrogen isotope exchange. J. Label. Compd. Radiopharm. 2013, 56, 451–454. [Google Scholar] [CrossRef]
- Di Giuseppe, A.; Castarlenas, R.; Oro, L.A. Mechanistic considerations on catalytic H/D exchange mediated by organometallic transition metal complexes. Comptes Rendus Chim. 2015, 18, 713–741. [Google Scholar] [CrossRef]
- Cochrane, A.R.; Idziak, C.; Kerr, W.J.; Mondal, B.; Paterson, L.C.; Tuttle, T.; Andersson, S.; Nilsson, G.N. Practically convenient and industrially-aligned methods for iridium-catalysed hydrogen isotope exchange processes. Org. Biomol. Chem. 2014, 12, 3598. [Google Scholar] [CrossRef]
- Daniel-Bertrand, M.; Garcia-Argote, S.; Palazzolo, A.; Mustieles Marin, I.; Fazzini, P.F.; Tricard, S.; Chaudret, B.; Derdau, V.; Feuillastre, S.; Pieters, G. Multiple Site Hydrogen Isotope Labelling of Pharmaceuticals. Angew. Chem. Int. Ed. 2020, 59, 21114–21120. [Google Scholar] [CrossRef] [PubMed]
- Stork, C.M.; Weck, R.; Valero, M.; Kramp, H.; Gussregen, S.; Waldvogel, S.R.; Sib, A.; Derdau, V. Hydrogen Isotope Exchange by Homogeneous Iridium Catalysis in Aqueous Buffers with Deuterium or Tritium Gas. Angew. Chem. Int. Ed. 2023, 62, e202301512. [Google Scholar] [CrossRef]
- Yang, H.; Dormer, P.G.; Rivera, N.R.; Hoover, A.J. Palladium(II)-Mediated C-H Tritiation of Complex Pharmaceuticals. Angew. Chem. Int. Ed. 2018, 57, 1883–1887. [Google Scholar] [CrossRef]
- Zhao, D.; Petzold, R.; Yan, J.; Muri, D.; Ritter, T. Tritiation of aryl thianthrenium salts with a molecular palladium catalyst. Nature 2021, 600, 444–449. [Google Scholar] [CrossRef]
- Derdau, V.; Atzrodt, J.; Holla, W. H/D-exchange reactions with hydride-activated catalysts. J. Label. Compd. Radiopharm. 2007, 50, 295–299. [Google Scholar] [CrossRef]
- Derdau, V.; Atzrodt, J. C-H/C-D Exchange Reactions of Aromatic Compounds in D2O with NaBD4—Activated Catalysts. Synlett 2006, 2006, 1918–1922. [Google Scholar] [CrossRef]
- Martinez-Prieto, L.M.; Chaudret, B. Organometallic Ruthenium Nanoparticles: Synthesis, Surface Chemistry, and Insights into Ligand Coordination. Acc. Chem. Res. 2018, 51, 376–384. [Google Scholar] [CrossRef] [PubMed]
- Derdau, V.; Elmore, C.S.; Hartung, T.; McKillican, B.; Mejuch, T.; Rosenbaum, C.; Wiebe, C. The Future of (Radio)-Labeled Compounds in Research and Development within the Life Science Industry. Angew. Chem. Int. Ed. 2023, 62, e202306019. [Google Scholar] [CrossRef] [PubMed]
- Lepron, M.; Daniel-Bertrand, M.; Mencia, G.; Chaudret, B.; Feuillastre, S.; Pieters, G. Nanocatalyzed Hydrogen Isotope Exchange. Acc. Chem. Res. 2021, 54, 1465–1480. [Google Scholar] [CrossRef] [PubMed]
- Loh, Y.Y.; Nagao, K.; Hoover, A.J.; Hesk, D.; Rivera, N.R.; Colletti, S.L.; Davies, I.W.; MacMillan, D.W.C. Photoredox-catalyzed deuteration and tritiation of pharmaceutical compounds. Science 2017, 358, 1182–1187. [Google Scholar] [CrossRef]
- Yang, H.; Huang, Z.; Lehnherr, D.; Lam, Y.H.; Ren, S.; Strotman, N.A. Efficient Aliphatic Hydrogen-Isotope Exchange with Tritium Gas through the Merger of Photoredox and Hydrogenation Catalysts. J. Am. Chem. Soc. 2022, 144, 5010–5022. [Google Scholar] [CrossRef]
- Goodlad, R.A. Quantification of epithelial cell proliferation, cell dynamics, and cell kinetics in vivo. Wiley Interdiscip. Rev. Dev. Biol. 2017, 6, e274. [Google Scholar] [CrossRef]
- Griffiths, M.; Sundaram, H. Drug design and testing: Profiling of antiproliferative agents for cancer therapy using a cell-based methyl-[3H]-thymidine incorporation assay. Cancer Cell Cult. Methods Protoc. 2011, 731, 451–465. [Google Scholar] [CrossRef]
- Mewissen, D.J.; Furedi, M.; Ugarte, A.; Rust, J.H. Comparative incorporation of tritium from tritiated water versus tritiated thymidine, uridine or leucine. Curr. Top. Radiat. Res. Q. 1978, 12, 225–254. [Google Scholar] [PubMed]
- Nagao, S.; Ikegami, S.; Tanaka, A. Inhibition of macrophage DNA synthesis by immunomodulators. II. Characterization of the suppression by muramyl dipeptide or lipopolysaccharide [3H]thymidine incorporation into macrophages. Cell. Immunol. 1984, 89, 427–438. [Google Scholar] [CrossRef]
- Prasad, H.K.; Nath, I. Incorporation of 3H-thymidine in Mycobacterium leprae within differentiated human macrophages. J. Med. Microbiol. 1981, 14, 279–293. [Google Scholar] [CrossRef]
- Liu, Y.; Hong, L.; Yu, L.S.; Jiang, H.D.; Chen, J.Z.; Meng, Q.; Chen, S.Q.; Zeng, S. The role of ADME evaluation in translation research of innovative drug. Yao Xue Xue Bao 2011, 46, 19–29. [Google Scholar]
- Goodman, K.J.; Brenna, J.T. High sensitivity tracer detection using high-precision gas chromatography-combustion isotope ratio mass spectrometry and highly enriched [U-13C]-labeled precursors. Anal. Chem. 1992, 64, 1088–1095. [Google Scholar] [CrossRef] [PubMed]
- Loewe, C.; Atzrodt, J.; Reschke, K.; Schofield, J. Conception, realization and qualification of a radioactive clean room lab facility dedicated to the synthesis of radiolabeled API for human ADME studies. J. Label. Compd. Radiopharm. 2016, 59, 611–614. [Google Scholar] [CrossRef] [PubMed]
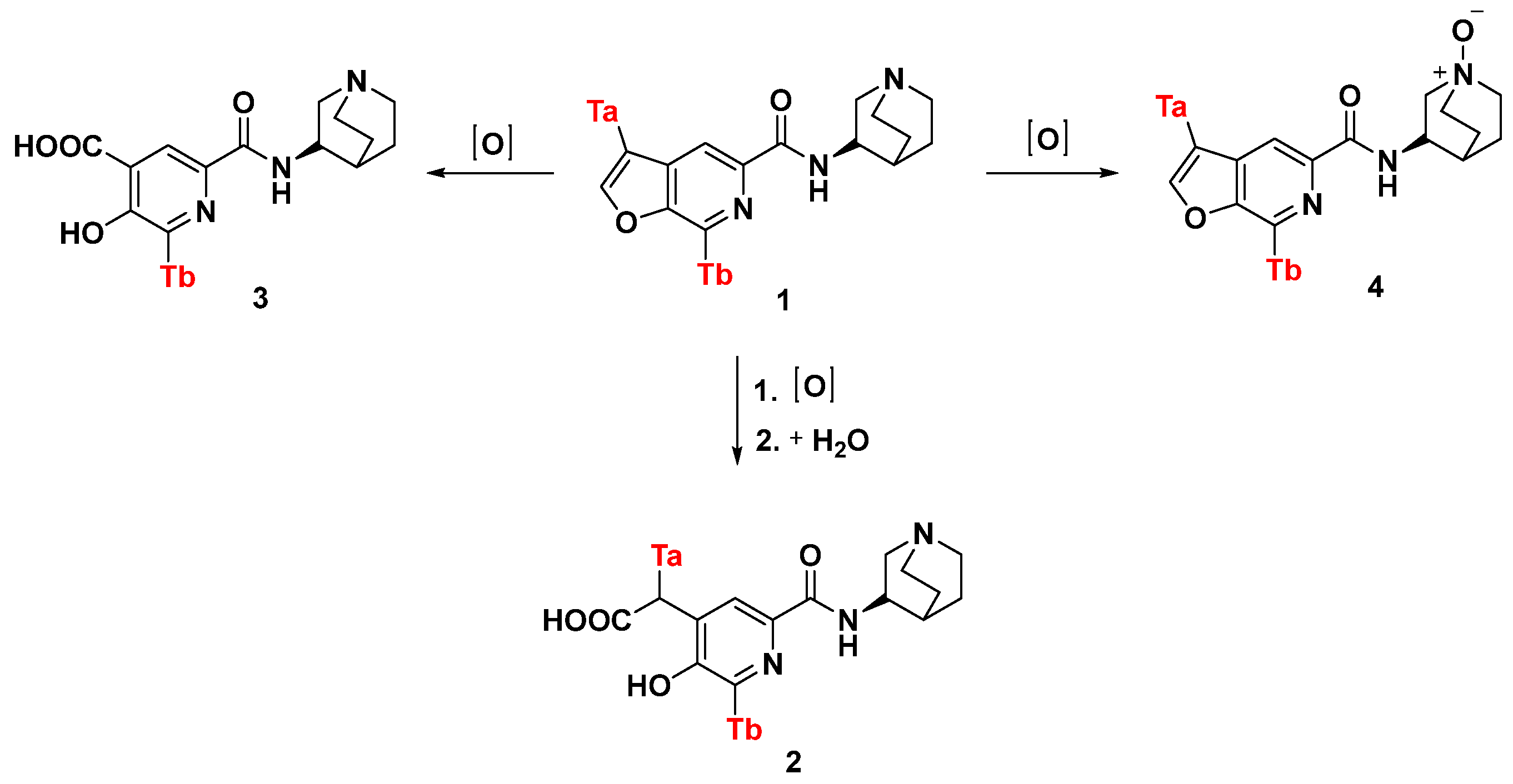
- Shaffer, C.L.; Gunduz, M.; Thornburgh, B.A.; Fate, G.D. Using a tritiated compound to elucidate its preclinical metabolic and excretory pathways in vivo: Exploring tritium exchange risk. Drug Metab. Dispos. 2006, 34, 1615–1623. [Google Scholar] [CrossRef] [PubMed]
- Sutherland, I.H.; Campbell, W.C. Development, pharmacokinetics and mode of action of ivermectin. Acta Leiden. 1990, 59, 161–168. [Google Scholar] [PubMed]
- Rotert, G.; Fan, L.; Shevchenko, V.P.; Nagaev, I.Y.; Myasoedov, N.F.; Susan, A.B. Syntheses of radiolabeled ABT-578 for ADME studies. J. Label. Compd. Radiopharm. 2006, 49, 849–856. [Google Scholar] [CrossRef]
- Sands, H.; Gorey-Feret, L.J.; Ho, S.P.; Bao, Y.; Cocuzza, A.J.; Chidester, D.; Hobbs, F.W. Biodistribution and metabolism of internally 3H-labeled oligonucleotides. II. 3′,5′-blocked oligonucleotides. Mol. Pharmacol. 1995, 47, 636–646. [Google Scholar]
- Solon, E.G. Autoradiography: High-resolution molecular imaging in pharmaceutical discovery and development. Expert Opin. Drug Discov. 2007, 2, 503–514. [Google Scholar] [CrossRef]
- Solon, E.G. Autoradiography techniques and quantification of drug distribution. Cell Tissue Res. 2015, 360, 87–107. [Google Scholar] [CrossRef]
- Stumpf, W.E. Drug localization and targeting with receptor microscopic autoradiography. J. Pharmacol. Toxicol. Methods 2005, 51, 25–40. [Google Scholar] [CrossRef]
- Ciprotti, M.; Chong, G.; Gan, H.K.; Chan, A.; Murone, C.; Macgregor, D.; Lee, F.T.; Johns, T.G.; Heath, J.K.; Ernst, M. Quantitative intratumoural microdistribution and kinetics of 131I-huA33 antibody in patients with colorectal carcinoma. EJNMMI Res. 2014, 4, 22. [Google Scholar] [CrossRef] [PubMed]
- Dewanjee, M.K. Radioiodination: Theory, Practice, and Biomedical Applications; Springer: New York, NY, USA, 1992; p. 399. [Google Scholar]
- Fernandes, E.F.A.; Palner, M.; Raval, N.R.; Jeppesen, T.E.; Dankova, D.; Baerentzen, S.L.; Werner, C.; Eilts, J.; Maric, H.M.; Doose, S.; et al. Development of Peptide-Based Probes for Molecular Imaging of the Postsynaptic Density in the Brain. J. Med. Chem. 2024, 67, 11975–11988. [Google Scholar] [CrossRef]
- Al-Jayyoussi, G.; Price, D.F.; Francombe, D.; Taylor, G.; Smith, M.W.; Morris, C.; Edwards, C.D.; Eddershaw, P.; Gumbleton, M. Selectivity in the impact of P-glycoprotein upon pulmonary absorption of airway-dosed substrates: A study in ex vivo lung models using chemical inhibition and genetic knockout. J. Pharm. Sci. 2013, 102, 3382–3394. [Google Scholar] [CrossRef] [PubMed]
- Panov, M.S.; Voskresenska, V.D.; Ryazantsev, M.N.; Tarnovsky, A.N.; Wilson, R.M. 5-Azido-2-aminopyridine, a new nitrene/nitrenium ion photoaffinity labeling agent that exhibits reversible intersystem crossing between singlet and triplet nitrenes. J. Am. Chem. Soc. 2013, 135, 19167–19179. [Google Scholar] [CrossRef] [PubMed][Green Version]
- Hett, E.C.; Kyne, R.E.; Gopalsamy, A.; Tones, M.A.; Xu, H.; Thio, G.L.; Nolan, E.; Jones, L.H. Selectivity determination of a small molecule chemical probe using protein microarray and affinity capture techniques. ACS Comb. Sci. 2016, 18, 611–615. [Google Scholar] [CrossRef]
- Vogensen, S.B.; Marek, A.; Bay, T.; Wellendorph, P.; Kehler, J.; Bundgaard, C.; Frølund, B.; Pedersen, M.H.F.; Clausen, R.P. New Synthesis and Tritium Labeling of a Selective Ligand for Studying High-Affinity γ-Hydroxybutyrate (GHB) Binding Sites. J. Med. Chem. 2013, 56, 8201–8205. [Google Scholar] [CrossRef]
- Anabuki, T.; Tsukahara, M.; Matsuura, H.; Takahashi, K. Tandem photoaffinity labeling of a target protein using a linker with biotin, alkyne and benzophenone groups and a bioactive small molecule with an azide group. Biosci. Biotechnol. Biochem. 2016, 80, 432–439. [Google Scholar] [CrossRef][Green Version]
- Jessen, K.A.; English, N.M.; Wang, J.Y.; Maliartchouk, S.; Drewe, J.; Kuemmerle, J.; Zhang, H.Z.; Tseng, B.; Cai, S.X.; Kasibhatla, S. The discovery and mechanism of action of novel tumor-selective and apoptosis-inducing 3,5-diaryl-1,2,4-oxadiazole series using a chemical genetics approach. Mol Cancer Ther. 2005, 4, 761–771. [Google Scholar] [CrossRef]










| Physical Property | Tritium | Carbon-14 |
|---|---|---|
| Half-life | 12.3 years | 5730 years |
| Specific activity | 28.8 Ci/mmol | 62.4 mCi/mmol |
| Emission type | Beta | Beta |
| Maximum energy of radiation | 18.6 keV | 156 keV |
| Mean energy of radiation | 5.7 keV | 56 keV |
| Decay product | 3He+ (stable) | 14N+ (stable) |
| Air | ca 6 mm | ca 20 cm |
| Water | ca 6 mm | ca 250 mm |
| Glass/concrete | ca 2 mm | ca 170 mm |
Disclaimer/Publisher’s Note: The statements, opinions and data contained in all publications are solely those of the individual author(s) and contributor(s) and not of MDPI and/or the editor(s). MDPI and/or the editor(s) disclaim responsibility for any injury to people or property resulting from any ideas, methods, instructions or products referred to in the content. |
© 2024 by the authors. Licensee MDPI, Basel, Switzerland. This article is an open access article distributed under the terms and conditions of the Creative Commons Attribution (CC BY) license (https://creativecommons.org/licenses/by/4.0/).
Share and Cite
Teng, Y.; Yang, H.; Tian, Y. The Development and Application of Tritium-Labeled Compounds in Biomedical Research. Molecules 2024, 29, 4109. https://doi.org/10.3390/molecules29174109
Teng Y, Yang H, Tian Y. The Development and Application of Tritium-Labeled Compounds in Biomedical Research. Molecules. 2024; 29(17):4109. https://doi.org/10.3390/molecules29174109
Chicago/Turabian StyleTeng, Yu, Hong Yang, and Yulin Tian. 2024. "The Development and Application of Tritium-Labeled Compounds in Biomedical Research" Molecules 29, no. 17: 4109. https://doi.org/10.3390/molecules29174109
APA StyleTeng, Y., Yang, H., & Tian, Y. (2024). The Development and Application of Tritium-Labeled Compounds in Biomedical Research. Molecules, 29(17), 4109. https://doi.org/10.3390/molecules29174109

