Diverse Methods with Stereoselective Induction in the Asymmetric Biginelli Reaction
Abstract
1. Introduction
2. Strategies in the Asymmetric Biginelli Reactions
2.1. Synthetic Chiral Organic Catalysts
2.1.1. Chiral Brønsted Acids
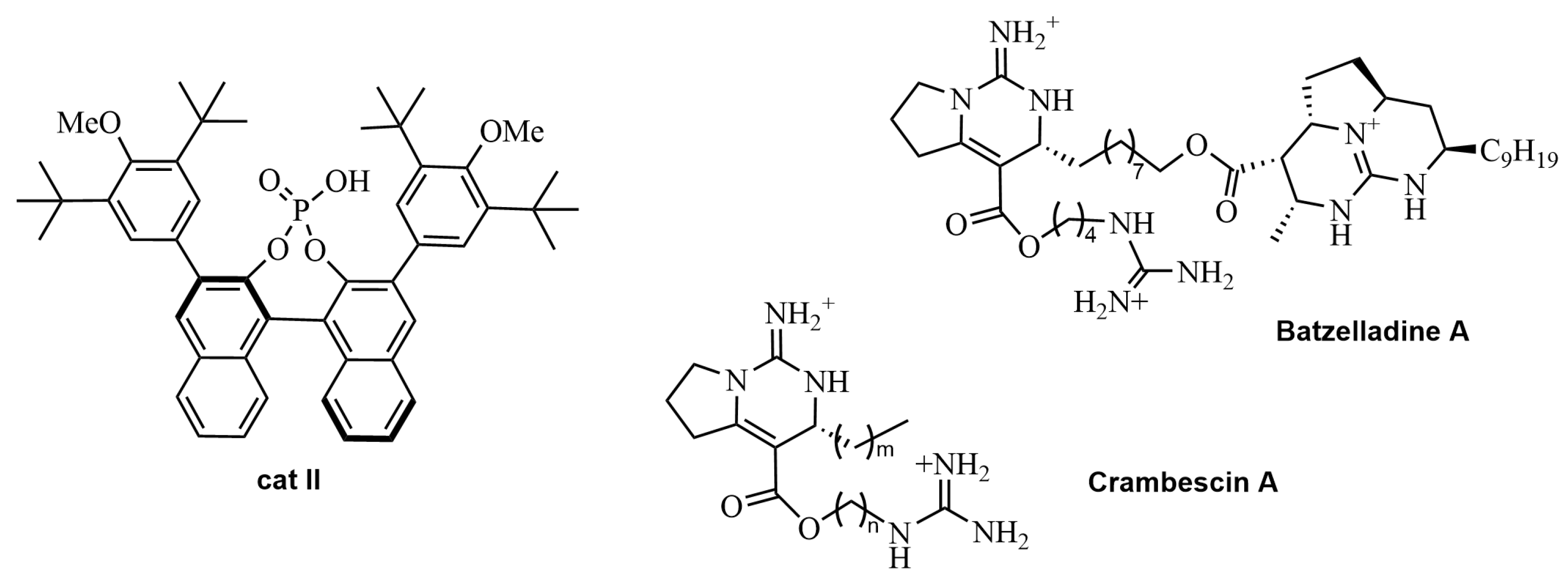
Phosphoric Acids
Sulfonic Acids and Derivatives
2.1.2. Ionic Liquids with Chiral Organic Framework
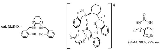
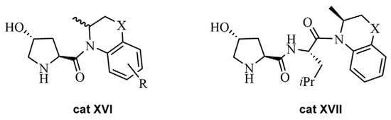
2.1.3. Chiral Amines as Catalysts
2.1.4. Other Chiral Organic Catalysts
Organocatalyst with Metallic Cations
Boranes
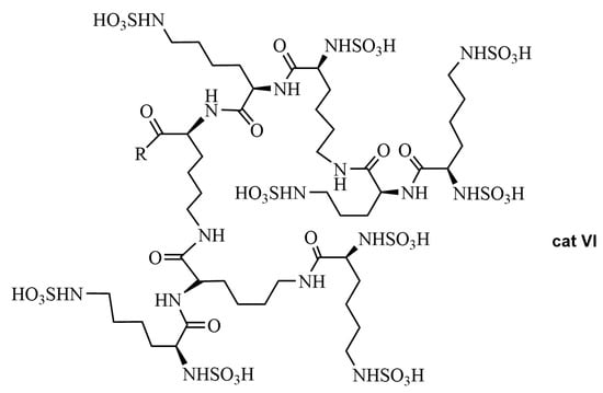
2.1.5. Biocatalysts
2.1.6. Chiral Starting Compounds
2.1.7. Nanoparticles as Catalyst Support
2.1.8. Biginelli Related Reactions
Spirofuranes
Thiadiazine Derivatives
3. Conclusions
Author Contributions
Funding
Data Availability Statement
Conflicts of Interest
Acronyms and Abbreviations
| ABR | Asymmetric Biginelli reaction |
| ACDC | Asymmetric counteranion-directed catalysis |
| ILE | Ionic liquid effect |
| BINOL | 1,1′-bi-2-naphthol |
| DHPMs | Dihydropyrimidinones |
| DHPMT | Dihydropyrimidinethiones |
| DIPEA | Diisopropylethylamine |
| DMF | Dimethylformamide |
| dr | Diastereomer relation |
| ee | Enantiomeric excess |
| HHPM | Hexahydropyrimidinones |
| MCRs | Multicomponent reactions |
| MS | Mass spectroscopy |
| MSI | 1-Methyl-3-(3-sulfopropyl)-1H-imidazol-3-ium |
| NCHB | Network of cooperative hydrogen bonds |
| NP | Nanoparticle |
| MW | Microwave |
| PM | Planetary ball mill |
| PTSA | p-Toluenesulfonic acid |
| Pro | Proline |
| rt | Room temperature |
| ref | Reference |
| US | Ultrasound |
| TBTU | 2-(1H-Benzotriazole-1-yl)-1,1,3,3-tetramethylaminium tetrafluoroborate |
| THF | Tetrahydrofuran |
| THPMs | Tetrahydropyrimidines |
| TMG | 1,1,3,3-Tetramethylguanidine |
| TFA | Trifluoroacetic acid |
| TMSCl | Trimethylsilane chloride |
| TRIP | (R)-3,3′-Bis-(2,4,6-triisopropylphenyl)-1,1′-binaphthyl-2,2′-diyl phosphate |
References
- Ramos, L.M.; Rodrigues, M.O.; Neto, B.A.D. Mechanistic knowledge and noncovalent interactions as the key features for enantioselective catalysed multicomponent reactions: A critical review. Org. Biomol. Chem. 2019, 17, 7260–7269. [Google Scholar] [CrossRef] [PubMed]
- Biginelli, P. Aldehyde-urea derivatives of aceto- and oxaloacetic acids. Gazz. Chim. Ital. 1893, 23, 360–416. [Google Scholar]
- Tron, G.C.; Minassi, A.; Appendino, G. Pietro Biginelli: The man behind the reaction. Eur. J. Org. Chem. 2011, 2011, 5541–5550. [Google Scholar] [CrossRef]
- Nagarajaiah, H.; Mukhopadhyay, A.; Moorthy, J.N. Biginelli reaction: An overview. Tetrahedron Lett. 2016, 57, 5135–5149. [Google Scholar] [CrossRef]
- Puripat, M.; Ramozzi, R.; Hatanaka, M.; Parasuk, W.; Parasuk, V.; Morokuma, K. The Biginelli reaction is a urea-catalyzed Organocatalytic Multicomponent Reaction. J. Org. Chem. 2015, 80, 6959–6967. [Google Scholar] [CrossRef]
- Kappe, C.O. A reexamination of the mechanism of the Biginelli dihydropyrimidine synthesis. Support for an N-acyliminium ion intermediate. J. Org. Chem. 1997, 62, 7201–7204. [Google Scholar] [CrossRef]
- Khasimbi, S.; Ali, F.; Manda, K.; Sharma, A.; Chauhan, G.; Wakode, S. Dihydropyrimidinones Scaffold as a Promising Nucleus for Synthetic Profile and Various Therapeutic Targets: A Review. Curr. Org. Synth. 2021, 18, 270–293. [Google Scholar] [CrossRef]
- Kappe, C.O. Biologically active dihydropyrimidones of the Biginelli–type–a literature survey. Eur. J. Med. Chem. 2000, 35, 1043–1052. [Google Scholar] [CrossRef]
- Carreiro, E.P.; Sena, A.M.; Puerta, A.; Padrón, J.M.; Burke, A.J. Synthesis of Novel 1,2,3-Triazole-Dihydropyrimidinone Hybrids Using Multicomponent 1,3-Dipolar Cycloaddition (Click)–Biginelli Reactions: Anticancer Activity. Synlett. 2020, 31, 615–621. [Google Scholar] [CrossRef]
- Prasad, T.; Mahapatra, A.; Sharma, T.; Sahoo, C.R.; Padhy, R.N. Dihydropyrimidinones as potent anticancer agents: Insight into the structure–activity relationship. Arch. Pharm. 2023, 356, e2200664. [Google Scholar] [CrossRef] [PubMed]
- Heravi, M.M.; Asadi, S.; Lashkariani, B.M. Recent progress in asymmetric Biginelli reaction. Mol. Divers. 2013, 17, 389–407. [Google Scholar] [CrossRef]
- Heravi, M.M.; Moradi, R.; Mohammadkhani, L.; Moradi, B. Current progress in asymmetric Biginelli reaction: An update. Mol. Divers. 2018, 22, 751–767. [Google Scholar] [CrossRef]
- Kappe, C.O.; Uray, G.; Roschger, P.; Lindner, W.; Kratky, C.; Keller, W. Synthesis, and reactions of Biginelli compounds –5. Facile preparation and resolution of a stable 5-dihydropyrimidinecarboxylic acid. Tetrahedron 1992, 48, 5473–5480. [Google Scholar] [CrossRef]
- Blasco, M.A.; Thumann, S.; Wittmann, J.; Giannis, A.; Gröger, H. Enantioselective biocatalytic synthesis of (S)-monastrol. Bioorg. Med. Chem. Lett. 2010, 20, 4679–4682. [Google Scholar] [CrossRef]
- Meng, F.-J.; Shao, B.-R.; Velopolcek, M.K.; Guo, X.; Feng, G.-S.; Shi, L. Redox deracemization of phosphonate-substituted dihydropyrimidines. Org. Biomol. Chem. 2021, 19, 10570–10574. [Google Scholar] [CrossRef]
- Majellaro, M.; Jespers, W.; Crespo, A.; Núñez, M.J.; Novio, S.; Azuaje, J.; Prieto-Díaz, R.; Gioé, C.; Alispahic, B.; Brea, J.; et al. 3, 4-Dihydropyrimidin-2 (1 H)-ones as antagonists of the human A2B Adenosine receptor: Optimization, structure–activity relationship studies, and enantiospecific recognition. J. Med. Chem. 2021, 64, 458–480. [Google Scholar] [CrossRef]
- Feng, G.-S.; Chen, M.-W.; Shi, L.; Zhou, Y.-G. Facile synthesis of chiral cyclic ureas through hydrogenation of 2-hydroxypyrimidine/pyrimidin-2(1H)-one tautomers. Angew. Chem. Int. Ed. Engl. 2018, 57, 5853–5857. [Google Scholar] [CrossRef]
- Meng, F.-J.; Shi, L.; Jiang, W.-F.; Lu, X.-B. Enantioselective 1,4-reduction of pyrimidin-2-ones to synthesize novel 3,4-dihydropyrimidin-2(1H)-ones Containing an Alkyl-substituted Stereogenic Center. Asian J. Org. Chem. 2020, 9, 778–781. [Google Scholar] [CrossRef]
- Ergan, E.; Akbas, E.; Levent, A.; Sahin, E.; Konus, M.; Seferoglu, N. Synthesis, theoretical calculation, electrochemistry and total antioxidant capacity of 5-benzoyl-6-phenyl-4-(4-methoxyphenyl)-1, 2, 3, 4-tetrahydro-2-thioxopyrimidine and derivatives. J. Mol. Struct. 2017, 1136, 231–243. [Google Scholar] [CrossRef]
- Díaz-Fernández, M.; Calvo-Losada, S.; Quirante, J.-J.; Sarabia, F.; Algarra, M.; Pino-González, M.-S. Catalyzed methods to synthesize pyrimidine and related heterocyclic compounds. Catalysts 2023, 13, 180. [Google Scholar] [CrossRef]
- Muñoz-Muñiz, O.; Juaristi, E. An enantioselective approach to the Biginelli dihydropyrimidinone condensation reaction using CeCl3 and InCl3 in the presence of chiral ligands. Arkivoc 2003, 11, 16–26. [Google Scholar] [CrossRef]
- Huang, Y.; Yang, F.; Zhu, C. Highly enantioseletive Biginelli reaction using a new chiral ytterbium catalyst: Asymmetric synthesis of dihydropyrimidines. J. Am. Chem. Soc. 2005, 127, 16386–16387. [Google Scholar] [CrossRef]
- Chen, X.-H.; Xu, X.-Y.; Liu, H.; Cun, L.-F.; Gong, L.-Z. Highly enantioselective organocatalytic Biginelli reaction. J. Am. Chem. Soc. 2006, 128, 14802–14803. [Google Scholar] [CrossRef]
- Li, N.; Chen, X.-H.; Song, J.; Luo, S.-W.; Fan, W.; Gong, L.Z. Highly enantioselective organocatalytic Biginelli and Biginelli-like condensations: Reversal of the stereochemistry by tuning the 3,3′-disubstituents of phosphoric Acids. J. Am. Chem. Soc. 2009, 131, 15301–15310. [Google Scholar] [CrossRef]
- Bendi, A.; Bhathiwal, A.S.; Tiwari, A.; Rao, G.B.D.; Afshari, M. Precision in stereochemistry: The integral role of catalytic asymmetric Biginelli reaction in crafting enantiomerically pure dihydropyrimidinones. Mol. Divers. 2024. [Google Scholar] [CrossRef]
- Wu, X.; Gong, L.-Z. Chiral phosphoric acid-catalyzed asymmetric multicomponent reactions. In Multicomponent Reactions in Organic Synthesis; Ed. Wiley: Hoboken, NJ, USA, 2014; pp. 439–470. [Google Scholar]
- Li, N.; Chen, X.-H.; Zhou, S.-M.; Luo, S.-W.; Song, J.; Ren, L. Asymmetric amplification in phosphoric acid catalyzed reactions. Angew. Chem. Int. Ed. 2010, 49, 6378–6381. [Google Scholar] [CrossRef]
- Hu, X.; Zhang, R.; Xie, J.; Zhou, Z.; Shan, Z. Synthesis of a novel sterically hindered chiral cyclic phosphoric acid derived from L-tartaric acid and application to the asymmetric catalytic Biginelli reaction. Tetrahedron Asymmetry 2017, 28, 69–74. [Google Scholar] [CrossRef]
- Hu, X.; Guo, J.; Wang, C.; Zhang, R.; Borovkov, V. Stereoselective Biginelli-like reaction catalyzed by a chiral phosphoric acid bearing two hydroxy groups. Beilstein J. Org. Chem. 2020, 16, 1875–1880. [Google Scholar] [CrossRef]
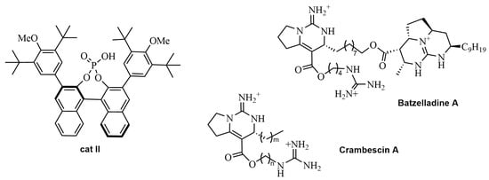
- Guo, Y.; Gao, Z.; Meng, X.; Huang, G.; Zhong, H.; Yu, H.; Ding, X.; Tang, H.; Zou, C. Highly enantioselective Biginelli reaction of aliphatic aldehydes catalyzed by chiral phosphoric acids. Synlett 2017, 28, 2041–2045. [Google Scholar] [CrossRef]
- Guo, Y.; Gao, Z.; Fan, C.; Chen, J.; Li, J.; Huang, Y.; Huang, G.; Yu, H.; Zou, C. Enantioselective Biginelli reaction of aliphatic aldehydes catalyzed by a chiral phosphoric acid: A key step in the synthesis of the bicyclic guanidine core of Crambescin A and Batzelladine A. Synthesis 2018, 50, 2394–2406. [Google Scholar] [CrossRef]
- Arnold, M.A.; Day, K.A.; Durón, S.G.; Gin, D.Y. Total synthesis of (+)-Batzelladine A and (-)-Batzelladine D via [4 + 2]-annulation of vinyl carbodiimides with N-alkyl imines. J. Am. Chem. Soc. 2006, 128, 13255–13260. [Google Scholar] [CrossRef]
- Gao, Z.; Li, J.; Song, Y.; Bi, X.; Meng, X.; Guo, Y. Eight-step total synthesis of (+)-Crambescin A. RSC Adv. 2020, 10, 39266–39270. [Google Scholar] [CrossRef]
- Guo, Y.; Gao, Z.; Wang, K.; Li, J.; Bi, X.; Guo, L.; Liu, H.; Shi, E.; Xiao, J. Chiral spirocyclic phosphoric acid-catalyzed synthesis of 4-alkyl-3,4-dihydropyrimidin-2(1H)-one derivatives by asymmetric Biginelli reactions. Asian J. Org. Chem. 2020, 4, 626–630. [Google Scholar] [CrossRef]
- Hang, Z.; Dai, G.; Yu, H.; Han, S. Highly enantioselective synthesis of the 6-isopropyl-3,4-dihydropyrimidin-2-(1H)-thiones via asymmetric catalytic Biginelli reactions. Curr. Org. Chem. 2016, 20, 2917–2925. [Google Scholar] [CrossRef]
- Chetty, L.C.; Kruger, H.G.; Arvidsson, P.I.; Naicker, T.; Govender, T. Investigating the efficacy of green solvents and solvent-free conditions in hydrogen-bonding mediated organocatalyzed model reactions. RSC Adv. 2024, 14, 7992–7998. [Google Scholar] [CrossRef]
- Brandão, P.; Marques, C.; Burke, A.J.; Pineiro, M. The application of isatin-based multicomponent-reactions in the quest for new bioactive and druglike molecules. Eur. J. Med. Chem. 2021, 211, 113102. [Google Scholar] [CrossRef] [PubMed]
- Stucchi, M.; Lesma, G.; Meneghetti, F.; Rainoldi, G.; Sacchetti, A.; Silvani, A. Organocatalytic asymmetric Biginelli-like reaction involving isatin. J. Org. Chem. 2016, 81, 1877–1884. [Google Scholar] [CrossRef] [PubMed]
- Maddela, S.; Makula, A.; Galigniana, M.D.; Parambi, D.G.; Federicci, F.; Mazaira, G.; Hendawy, O.M.; Dev, S.; Mathew, G.E.; Mathew, B. Fe3O4 nanoparticles mediated synthesis of novel spirooxindole-dihydropyrimidinone molecules as Hsp90 inhibitors. Arch. Der Pharm. 2019, 352, 1800174. [Google Scholar]
- Barbero, M.; Cadamuro, S.; Dughera, S. A Brønsted acid catalysed enantioselective Biginelli reaction. Green Chem. 2017, 19, 1529–1535. [Google Scholar] [CrossRef]
- Nasery, A.; Imanzadeh, G.; Zamanloo, M.R.; Soltanzadeh, Z.; Oztürk, T. Highly enantioselective Biginelli reaction using sulfonic-functionalized chiral hyperbranched polylysine in absence of solvent: A new catalyst for asymmetric synthesis of dihydropyrimidinones. Tetrahedron 2023, 147, 133656. [Google Scholar] [CrossRef]
- Chopda, L.V.; Dave, P.N. Recent advances in homogeneous and heterogeneous catalyst in Biginelli reaction from 2015–19: A Concise Review. ChemistrySelect 2020, 5, 5552–5572. [Google Scholar] [CrossRef]
- Alvim, H.G.O.; Pinheiro, D.L.J.; Carvalho-Silva, V.H.; Fioramonte, M.; Gozzo, F.C.; da Silva, W.A.; Amarante, G.W.; Neto, B.A. Combined role of the asymmetric counteranion-directed catalysis (ACDC) and ionic liquid effect for the enantioselective Biginelli multicomponent reaction. J. Org. Chem. 2018, 83, 12143–12153. [Google Scholar] [CrossRef]
- Deepa; Aalam, M.J.; Singh, S. Enantioselective Biginelli Reaction Catalyzed by (L)-Prolinamide Containing Imidazolium Ionic Liquid. ChemistrySelect 2022, 7, e202103918. [Google Scholar] [CrossRef]
- Xu, D.Z.; Li, H.; Wang, Y. Highly enantioselective Biginelli reaction catalyzed by a simple chiral primary amine catalyst: Asymmetric synthesis of dihydropyrimidines. Tetrahedron 2012, 68, 7867–7872. [Google Scholar] [CrossRef]
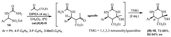
- Ding, D.; Zhao, C.-G. Primary amine catalyzed Biginelli reaction for the enantioselective synthesis of 3,4-dihydropyrimidin-2(1H)-ones. Eur. J. Org. Chem. 2010, 20, 3802–3805. [Google Scholar] [CrossRef] [PubMed]
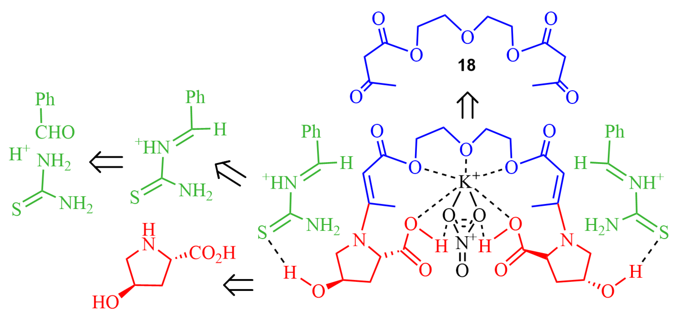
- Lillo, V.J.; Mansilla, J.; Saá, J.M. Organocatalysis by networks of cooperative hydrogen bonds: Enantioselective direct Mannich addition to preformed arylideneureas. Angew. Chem. Int. Ed. 2016, 55, 4312–4316. [Google Scholar] [CrossRef]
- Lillo, V.J.; Saá, J.M. Towards enzyme-like, sustainable catalysis: Switchable, highly efficient asymmetric synthesis of enantiopure Biginelli dihydropyrimidinones or hexahydropyrimidinones. Chem. Eur. J. 2016, 22, 17182–17186. [Google Scholar] [CrossRef]
- Hatanaka, M.; Yoshimura, T.; Puripat, M.; Parasuk, V. Stereoselectivity of the Biginelli Reaction Catalyzed by Chiral Primary Amine: A Computational Study. Heterocycles 2021, 103, 893. [Google Scholar] [CrossRef]
- Titova, Y.; Fedorova, O.; Rusinov, G.; Vigorov, A.; Krasnov, V.; Murashkevich, A.; Charushin, V. Effect of nanosized TiO2-SiO2 covalently modified by chiral molecules on the asymmetric Biginelli reaction. Catal. Today 2015, 241 Pt B, 270–274. [Google Scholar] [CrossRef]
- Saha, S.; Moorthy, J.N. Enantioselective organocatalytic Biginelli reaction: Dependence of the catalyst on sterics, hydrogen bonding, and reinforced chirality. J. Org. Chem. 2011, 76, 396–402. [Google Scholar] [CrossRef]
- Fedorova, O.V.; Titova, Y.A.; Vigorov, A.Y.; Toporova, M.S.; Alisienok, O.A.; Murashkevich, A.N.; Krasnov, V.P.; Rusinov, G.L.; Charushin, V.N. Asymmetric Biginelli reaction catalyzed by silicon, titanium and aluminum oxides. Catal. Lett. 2016, 146, 493–498. [Google Scholar] [CrossRef]
- Yadav, G.D.; Deepa; Singh, S. Prolinamide-catalysed asymmetric organic transformations. ChemistrySelect 2019, 4, 5591–5618. [Google Scholar] [CrossRef]
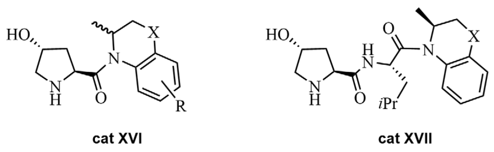
- Titova, Y.A.; Gruzdev, D.A.; Fedorova, O.V.; Alisienok, O.A.; Murashkevich, A.N.; Krasnov, V.P.; Rusinov, G.L.; Charushin, V.N. New chiral proline-based catalysts for silicon and zirconium oxides-promoted asymmetric Biginelli reaction. Chem. Heter. Comp. 2018, 54, 417–427. [Google Scholar] [CrossRef]
- Fedorova, O.V.; Titova, Y.A.; Ovchinnikova, I.G.; Rusinov, G.L.; Charushin, V.N. 4-Hydroxyproline containing podands as new chiralcatalysts for the asymmetric Biginelli reaction. Mendeleev Commun. 2018, 28, 357–358. [Google Scholar] [CrossRef]
- Filatova, E.S.; Fedorova, O.V.; Ovchinnikova, I.G.; Chistyakov, K.A.; Ganebnykh, I.N.; Uimin, M.A.; Rusinov, G.L. Nanosized metal or silicon oxides and L-proline or 4-hydroxy-L-proline in stereoselective synthesis of a dihydropyrimidinethione podand. Appl. Organomet. Chem. 2023, 37, e7131. [Google Scholar] [CrossRef]
- Filatova, E.S.; Fedorova, O.V.; Ovchinnikova, I.G.; Chistyakov, K.A.; Rusinov, G.L.; Charushin, V.N. Stereoselective synthesis of dihydropyrimidinethione podand in the presence of l-proline or 4-hydroxy-l-proline and metal nitrates. Russ. Chem. Bull. 2022, 71, 1506–1513. [Google Scholar] [CrossRef]
- Koryakova, O.V.; Valova, M.S.; Titova, Y.A.; Murashkevich, A.N.; Fedorova, O.V. Synthesis and spectroscopic study of Si, Ti, Mg, and Zn oxides modified by L-proline. J. Appl. Spectrosc. 2021, 88, 519–527. [Google Scholar] [CrossRef]
- Borodina, O.; Ovchinnikova, I.; Fedorova, O.; Makarov, G.; Bartashevich, E. Effect of 4-Hydroxy-L-proline-containing podands on the stereoselectivity of Biginelli reaction according to molecular dynamics. Comp. Theor. Chem. 2022, 1217, 113885. [Google Scholar] [CrossRef]
- Filatova, E.S.; Fedorova, O.V.; Ovchinnikova, I.G.; Kochetkov, S.V.; Chistiakov, K.A.; Rusinov, G.L. Asymmetric synthesis of dihydropyrimidinethione podand in the presence of C2-Symmetric bis (Hydroxy) proline-containing amides. ChemistrySelect 2024, 9, e202401024. [Google Scholar] [CrossRef]
- Parvin, T.; Yadav, R.; Choudhury, L.H. Recent applications of thiourea-based organocatalysts in asymmetric multicomponent reactions (AMCRs). Org. Biomol. Chem. 2020, 18, 5513–5532. [Google Scholar] [CrossRef]
- Wang, Y.; Yu, J.; Miao, Z.; Chen, R. Bifunctional primary amine-thiourea-TfOH (BPAT·TfOH) as a chiral phase-transfer catalyst: The asymmetric synthesis of dihydropyrimidines. Org. Biomol. Chem. 2011, 9, 3050–3054. [Google Scholar] [CrossRef]
- Hang, Z.; Zhu, J.; Lian, X.; Xu, P.; Yu, H.; Han, S. A highly enantioselective Biginelli reaction using self-assembled methanoproline thiourea organocatalysts: Asymmetric synthesis of 6-isopropyl-3,4-dihydropyrimidines. Chem. Commun. 2016, 52, 80–83. [Google Scholar] [CrossRef]
- Yu, H.; Xu, P.; He, H.; Zhu, J.; Lin, H.; Han, S. Highly enantioselective Biginelli reactions using methanopyroline/thiourea-based dual organocatalyst systems: Asymmetric synthesis of 4-substituted unsaturated aryl dihydropyrimidines. Tetrahedron Asymmetry 2017, 28, 257–265. [Google Scholar] [CrossRef]
- Kamali, M. Asymmetric synthesis of dihydropyrimidines using chiral Schiff base copper (II) complex as a chiral catalyst. Int. J. Chem. Technol. 2015, 8, 536–541. [Google Scholar]
- Lakhani, P.; Chodvadiya, D.; Jha, P.K.; Gupta, V.K.; Trzybinski, D.; Wozniak, K.; Kurzydlowski, K.; Goutam, U.K.; Srivastava, H.; Modi, C.K. DFT stimulation and experimental insights of chiral Cu(II)-salen scaffold within the pocket of MWW-zeolite and its catalytic study. Phys. Chem. Chem. Phys. 2023, 25, 14374–14386. [Google Scholar] [CrossRef]
- Matharasi, D.P.; Jayaprakash, P. An extensive investigation of structural, spectral, optical, electrical, and nonlinear optical properties of a novel crystal (S) 4-(5-bromo-2-acyloxy phenyl)-6-methyl-2-oxo-1,2,3,4-tetrahydropyrimidine-5-carboxylic acid ethyl ester. Opt. Mater. 2023, 141, 113911. [Google Scholar] [CrossRef]
- Sharma, U.K.; Sharma, N.; Kumar, R.; Sinha, A.K. Biocatalysts for multicomponent Biginelli reaction: Bovine serum albumin triggered waste-free synthesis of 3,4-dihydropyrimidin-2-(1H)-ones. Amino Acids 2013, 44, 1031–1037. [Google Scholar] [CrossRef]
- Elkanzi, N.A.A.; Kadry, A.M.; Ryad, R.M.; Bakr, R.B.; El-Remaily, M.A.E.A.A.A.; Ali, A.M. Efficient and recoverable bio-organic catalyst cysteine for synthesis, docking study, and antifungal activity of new bio-active 3,4-dihydropyrimidin-2(1H)-ones/thiones under microwave irradiation. ACS Omega 2022, 7, 22839–22849. [Google Scholar] [CrossRef]
- Parmar, M.P.; Vala, D.P.; Bhalodiya, S.S.; Upadhyay, D.B.; Patel, C.D.; Patel, S.G.; Gandholi, S.R.; Shaik, A.H.; Miller, A.D.; Nogales, J.; et al. A green bio-organic catalyst (taurine) promoted one-pot synthesis of (R/S)-2-thioxo-3,4-dihydropyrimidine (TDHPM)-5-carboxanilides: Chiral investigations using circular dichroism and validation by computational approaches. RSC Adv. 2024, 14, 9300–9313. [Google Scholar] [CrossRef]
- Figueiredo, J.A.; Ismael, M.I.; Pinheiro, J.M.; Silva, A.M.S.; Justino, J.; Silva, F.V.M.; Goulart, M.; Mira, D.; Araújo, M.E.M.; Campoy, R.; et al. Facile synthesis of oxo-/thioxopyrimidines and tetrazoles C–C linked to sugars as novel non-toxic antioxidant acetylcholinesterase inhibitors. Carbohydr. Res. 2012, 347, 47–54. [Google Scholar] [CrossRef] [PubMed]
- Venturi, V.; Marchesi, E.; Perrone, D.; Costa, V.; Catani, M.; Aprile, S.; Lerin, L.A.; Zappaterra, F.; Giovannini, P.P.; Preti, L. Enzymatic synthesis of New Acetoacetate–Ursodeoxycholic Acid Hybrids as potential therapeutic agents and useful synthetic scaffolds as well. Molecules 2024, 29, 1305. [Google Scholar] [CrossRef] [PubMed]
- Dias Benincá, L.A.; Pereira Ligiero, C.B.; da Silva Santos, J.; Junior, J.J.; da Silva, F.M. Eco-friendly and enantiospecific Biginelli synthesis using (+)-Myrtenal as the substrate–An impeccable and unequivocal analysis of the product. Curr. Org. Chem. 2020, 17, 389–395. [Google Scholar] [CrossRef] [PubMed]
- Jafari-Chermahini, M.T.; Tavakol, H. Immobilized gelatin–λ–carrageenan on magnetite nanoparticles as an efficient organocatalyst for enantioselective Biginelli reaction. ChemistrySelect 2019, 4, 1895–1902. [Google Scholar] [CrossRef]
- Yu, S.; Wu, J.; Lan, H.; Gao, L.; Qian, H.; Fan, K.; Yin, Z. Palladium and Brønsted acid co-catalyzed Biginelli-like multicomponent reactions via in situ-generated cyclic enol ether: Access to spirofuran-hydropyrimidinones. Org. Lett. 2019, 22, 102–105. [Google Scholar] [CrossRef]
- Krauskopf, F.; Truong, K.-N.; Rissanen, K.; Bolm, C. 2,3-Dihydro-1,2,6-thiadiazine 1-oxides by Biginelli-type reactions with sulfonimidamides under mechanochemical conditions. Org. Lett. 2021, 23, 2699–2703. [Google Scholar] [CrossRef] [PubMed]



































Disclaimer/Publisher’s Note: The statements, opinions and data contained in all publications are solely those of the individual author(s) and contributor(s) and not of MDPI and/or the editor(s). MDPI and/or the editor(s) disclaim responsibility for any injury to people or property resulting from any ideas, methods, instructions or products referred to in the content. |
© 2024 by the authors. Licensee MDPI, Basel, Switzerland. This article is an open access article distributed under the terms and conditions of the Creative Commons Attribution (CC BY) license (https://creativecommons.org/licenses/by/4.0/).
Share and Cite
Díaz-Fernández, M.; Algarra, M.; Calvo-Losada, S.; Quirante, J.-J.; Sarabia, F.; Pino-González, M.-S. Diverse Methods with Stereoselective Induction in the Asymmetric Biginelli Reaction. Molecules 2024, 29, 3864. https://doi.org/10.3390/molecules29163864
Díaz-Fernández M, Algarra M, Calvo-Losada S, Quirante J-J, Sarabia F, Pino-González M-S. Diverse Methods with Stereoselective Induction in the Asymmetric Biginelli Reaction. Molecules. 2024; 29(16):3864. https://doi.org/10.3390/molecules29163864
Chicago/Turabian StyleDíaz-Fernández, Marcos, Manuel Algarra, Saturnino Calvo-Losada, José-Joaquín Quirante, Francisco Sarabia, and María-Soledad Pino-González. 2024. "Diverse Methods with Stereoselective Induction in the Asymmetric Biginelli Reaction" Molecules 29, no. 16: 3864. https://doi.org/10.3390/molecules29163864
APA StyleDíaz-Fernández, M., Algarra, M., Calvo-Losada, S., Quirante, J.-J., Sarabia, F., & Pino-González, M.-S. (2024). Diverse Methods with Stereoselective Induction in the Asymmetric Biginelli Reaction. Molecules, 29(16), 3864. https://doi.org/10.3390/molecules29163864

