Formulation of Polymeric Micelles to Increase the Solubility and Photostability of Caffeic Acid
Abstract
1. Introduction
2. Results and Discussions
2.1. Micelle Characterisation
2.2. In Vitro Diffusion and Permeation Studies
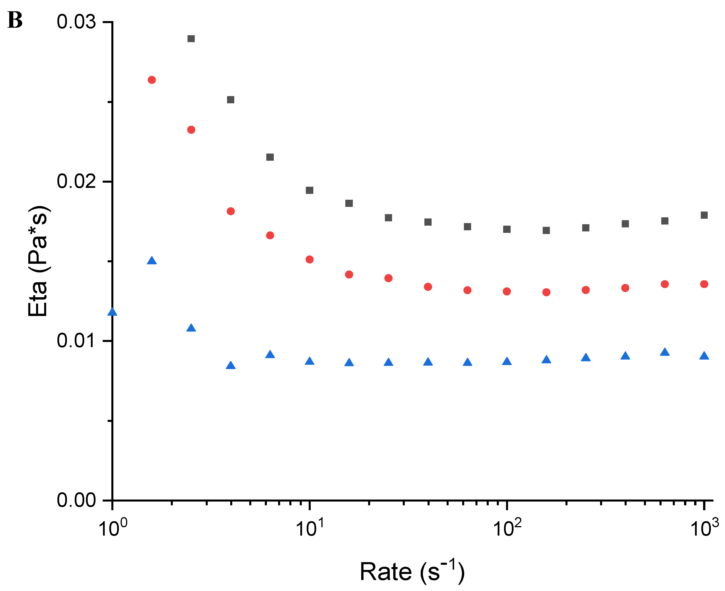
2.3. Influence of Temperature on Rheological and DLS Studies
2.4. Stability Studies
2.5. Antioxidant Properties
3. Materials and Methods
3.1. Chemicals
3.2. Instruments and Software
3.3. Standard Solutions
3.4. Preparation and Characterisation of Micelles
3.5. In Vitro Haemolysis Assay
3.6. Experimental Conditions in the Stability Studies
3.7. Radical Scavenging Activity
3.8. In Vitro Diffusion and Skin Permeation Studies
4. Conclusions
Supplementary Materials
Author Contributions
Funding
Institutional Review Board Statement
Informed Consent Statement
Data Availability Statement
Acknowledgments
Conflicts of Interest
References
- Anantharaju, P.G.; Gowda, P.C.; Vimalambike, M.G.; Madhunapantula, S.V. An overview on the role of dietary phenolics for the treatment of cancers. Nutr. J. 2016, 15, 99–114. [Google Scholar] [CrossRef]
- Khan, F.A.; Maalik, A.; Murtaza, G. Inhibitory mechanism against oxidative stress of caffeic acid. J. Food Drug Anal. 2016, 24, 695–702. [Google Scholar] [CrossRef] [PubMed]
- Silva, T.; Oliveira, C.; Borges, F. Caffeic acid derivatives, analogs and applications: A patent review (2009–2013). Expert Opin. Ther. Pat. 2014, 24, 1257–1270. [Google Scholar] [CrossRef] [PubMed]
- Mishra, M.; Panta, R.; Miyares, M. Influence of coffee and its components on breast cancer: A review. Asian Pac. J. Trop. Dis. 2016, 6, 827–831. [Google Scholar] [CrossRef]
- Magnani, C.; Isaac, V.L.B.; Correa, M.A.; Salgado, H.R.N. Caffeic acid: A review of its potential use in medications and cosmetics. Anal. Methods 2014, 6, 3203–3210. [Google Scholar] [CrossRef]
- Pinho, E.; Soares, G.; Henriques, M. Evaluation of antibacterial activity of caffeic acid encapsulated by β-cyclodextrins. J. Microencapsul. 2015, 32, 804–810. [Google Scholar] [CrossRef]
- Andrade, S.; Loureiro, J.A.; Pereira, M.C. Caffeic acid for the prevention and treatment of Alzheimer’s disease: The effect of lipid membranes on the inhibition of aggregation and disruption of Aβ fibrils. Int. J. Biol. Macromol. 2021, 190, 853–861. [Google Scholar] [CrossRef] [PubMed]
- Mota, F.L.; Queimada, A.J.; Pinho, S.P.; Macedo, E.A. Aqueous Solubility of Some Natural Phenolic Compounds. Ind. Eng. Chem. Res. 2008, 47, 5182–5189. [Google Scholar] [CrossRef]
- Jung, U.J.; Lee, M.-K.; Park, Y.B.; Jeon, S.-M.; Choi, M.-S. Antihyperglycemic and antioxidant properties of caffeic acid in db/db mice. J. Pharmacol. Exp. Ther. 2006, 318, 476–483. [Google Scholar] [CrossRef]
- Razboršek, M.I.; Ivanović, M.; Kolar, M. Validated stability-indicating GC-MS method for characterization of forced degradation products of trans-caffeic acid and trans-ferulic acid. Molecules 2021, 26, 2475. [Google Scholar] [CrossRef]
- Hallan, S.; Sguizzato, M.; Mariani, P.; Cortesi, R.; Huang, N.; Simelière, F.; Marchetti, N.; Drechsler, M.; Ruzgas, T.; Esposito, E. Design and characterization of ethosomes for transdermal delivery of caffeic acid. Pharmaceutics 2020, 12, 740. [Google Scholar] [CrossRef] [PubMed]
- Opanasopit, P.; Ngawhirunpat, T.; Rojanarata, T.; Choochottiros, C.; Chirachanchai, S. N-Phthaloylchitosan-g-mPEG design for all-trans retinoic acid-loaded polymeric micelles. Eur. J. Pharm. Sci. 2007, 30, 424–431. [Google Scholar] [CrossRef]
- Valero, M.; Levin, P.P.; Sultimova, N.B.; Houston, J.E. Photochemistry of nabumetone in aqueous solution of sodium dodecyl sulfate (SDS) micelles. J. Mol. Liq. 2020, 319, 114093. [Google Scholar] [CrossRef]
- Ioele, G.; Muzzalupo, R.; Gündüz, M.G.; De Luca, M.; Mazzotta, E.; Grande, F.; Occhiuzzi, M.A.; Garofalo, A.; Ragno, G. Use of Pluronic Surfactants in Gel Formulations of Photosensitive 1, 4-Dihydropyridine Derivatives: A Potential Approach in the Treatment of Neuropathic Pain. Pharmaceutics 2021, 13, 527. [Google Scholar] [CrossRef] [PubMed]
- Lapteva, M.; Mignot, M.; Mondon, K.; Möller, M.; Gurny, R.; Kalia, Y.N. Self-assembled mPEG-hexPLA polymeric nanocarriers for the targeted cutaneous delivery of imiquimod. Eur. J. Pharm. Biopharm. 2019, 142, 553–562. [Google Scholar] [CrossRef]
- Wang, Z.; Xue, Y.; Chen, T.; Du, Q.; Zhu, Z.; Wang, Y.; Wu, Y.; Zeng, Q.; Shen, C.; Jiang, C.; et al. Glycyrrhiza acid micelles loaded with licochalcone A for topical delivery: Co-penetration and anti-melanogenic effect. Eur. J. Pharm. Sci. 2021, 167, 106029. [Google Scholar] [CrossRef] [PubMed]
- Makhmalzade, B.S.; Chavoshy, F. Polymeric micelles as cutaneous drug delivery system in normal skin and dermatological disorders. J. Adv. Pharm. Technol. Res. 2018, 9, 2. [Google Scholar] [CrossRef] [PubMed]
- Javan, R. Biological Structures; Elsevier Ltd.: Richmond, VA, USA, 2005. [Google Scholar]
- Naharros-Molinero, A.; Caballo-González, M.Á.; de la Mata, F.J.; García-Gallego, S. Direct and reverse pluronic micelles: Design and characterization of promising drug delivery nanosystems. Pharmaceutics 2022, 14, 2628. [Google Scholar] [CrossRef]
- Batrakova, E.V.; Kabanov, A.V. Pluronic block copolymers: Evolution of drug delivery concept from inert nanocarriers to biological response modifiers. J. Control. Release 2008, 130, 98–106. [Google Scholar] [CrossRef] [PubMed]
- Zhao, L.Y.; Zhang, W.M. Recent progress in drug delivery of pluronic P123: Pharmaceutical perspectives. J. Drug Target. 2017, 25, 471–484. [Google Scholar] [CrossRef] [PubMed]
- Zhang, X.; Chen, W.; Bai, J.; Jin, L.; Kang, X.; Zhang, H.; Wang, Z. Pluronic P123 modified nano micelles loaded with doxorubicin enhanced tumor-suppressing effect on drug-resistant breast cancer cells. Aging 2020, 12, 8289. [Google Scholar] [CrossRef] [PubMed]
- Guo, C.; Liu, H.Z.; Chen, J.Y. A Fourier transform infrared study of the phase transition in aqueous solutions of ethylene oxide–propylene oxide triblock copolymer. Colloid Polym. Sci. 1999, 277, 376–381. [Google Scholar] [CrossRef]
- Guo, C.; Wang, J.; Liu, H.Z.; Chen, J.Y. Hydration and conformation of temperature-dependent micellization of PEO− PPO− PEO block copolymers in aqueous solutions by FT-Raman. Langmuir 1999, 15, 2703–2708. [Google Scholar] [CrossRef]
- ICH. Photostability testing of new drug substance and products. In ICH Harmonized Tripartite Guideline, Federal Register; ICH: Geneva, Switzerland, 1997; Volume 62. [Google Scholar]
- Chieffallo, M.; De Luca, M.; Grande, F.; Occhiuzzi, M.A.; Gündüz, M.G.; Garofalo, A.; Ioele, G. Multivariate Approaches in Quantitative Structure–Property Relationships Study for the Photostability Assessment of 1, 4-Dihydropyridine Derivatives. Pharmaceutics 2024, 16, 206. [Google Scholar] [CrossRef]
- Singla, P.; Singh, O.; Sharma, S.; Betlem, K.; Aswal, V.K.; Peeters, M.; Mahajan, R.K. Temperature-dependent solubilization of the hydrophobic antiepileptic drug lamotrigine in different pluronic micelles—A spectroscopic, heat transfer method, small-angle neutron scattering, dynamic light scattering, and in vitro release study. ACS Omega 2019, 4, 11251–11262. [Google Scholar] [CrossRef] [PubMed]
- Mortensen, K. Structural studies of aqueous solutions of PEO-PPO-PEO triblock copolymers, their micellar aggregates and mesophases; a small-angle neutron scattering study. J. Condens. Matter Phys. 1996, 8, A103. [Google Scholar] [CrossRef]
- Mukherjee, K.; Barman, A.; Biswas, R. Hydration dynamics in aqueous Pluronic P123 solution: Concentration and temperature dependence. J. Chem. Phys. 2019, 151, 184901. [Google Scholar] [CrossRef]
- Alexandridis, P.; Holzwarth, J.F.; Hatton, T.A. Micellization of poly (ethylene oxide)-poly (propylene oxide)-poly (ethylene oxide) triblock copolymers in aqueous solutions: Thermodynamics of copolymer association. Macromolecules 1994, 27, 2414–2425. [Google Scholar] [CrossRef]
- Teipel, U.; Heymann, L.; Aksel, N. Indirect detection of structural changes in micellar solutions by rheological measurements. Colloids Surf. A Physicochem. Eng. Asp. 2021, 193, 35–49. [Google Scholar] [CrossRef]
- Coppola, L.; Gianferri, R.; Nicotera, I.; Oliviero, C.; Ranieri, G.A. Structural changes in CTAB/H2O mixtures using a rheological approach. Phys. Chem. Chem. Phys. 2004, 6, 2364–2372. [Google Scholar] [CrossRef]
- Belay, A. Self-association, sodium ion complexation and optical transition probabilities of caffeic acid determined spectrophotometrically. Infection 2012, 1, 3. [Google Scholar]
- Le Person, A.; Lacoste, A.S.; Cornard, J.P. Photo-degradation of trans-caffeic acid in aqueous solution and influence of complexation by metal ions. J. Photochem. Photobiol. A Chem. 2013, 265, 10–19. [Google Scholar] [CrossRef]
- Konan, K.M.; Mamyrbekova-Bekro, J.A.; Bakalara, N.; Virieux, D.; Pirat, J.L.; Bekro, Y.A. HPLC analysis and cytotoxicity of n-butanol extract from Glyphaea brevis roots against c6 glioma cells. Sci. Pharm. 2014, 82, 171–176. [Google Scholar] [CrossRef] [PubMed][Green Version]
- Nemadziva, B.; Le Roes-Hill, M.; Koorbanally, N.; Kudanga, T. Small laccase-catalyzed synthesis of a caffeic acid dimer with high antioxidant capacity. Process Biochem. 2018, 69, 99–105. [Google Scholar] [CrossRef]
- Cho, J.; Jung, H.; Kang, D.Y.; Sp, N.; Shin, W.; Lee, J.; Park, B.G.; A Kang, Y.; Jang, K.-J.; Bae, S.W. The Skin-Whitening and Antioxidant Effects of Protocatechuic Acid (PCA) Derivatives in Melanoma and Fibroblast Cell Lines. Curr. Issues Mol. Biol. 2023, 45, 2157–2169. [Google Scholar] [CrossRef]
- Moazzen, A.; Öztinen, N.; Ak-Sakalli, E.; Koşar, M. Structure-antiradical activity relationships of 25 natural antioxidant phenolic compounds from different classes. Heliyon 2022, 8, e10467. [Google Scholar] [CrossRef] [PubMed]
- Chaaban, H.; Ioannou, I.; Paris, C.; Charbonnel, C.; Ghoul, M. The photostability of flavanones, flavonols and flavones and evolution of their antioxidant activity. J. Photochem. Photobiol. A Chem. 2017, 336, 131–139. [Google Scholar] [CrossRef]














| Sample | P123% (w/w) | CA% (w/w) | Size ± S.D. (nm) | PI | Z Potential (mV) | EE% |
|---|---|---|---|---|---|---|
| MC5 | 5 | - | 16.09 ± 0.23 | 0.113 | −6.12 ± 0.23 | - |
| MC5CA0.1 | 5 | 0.1 | 17.37 ± 0.16 | 0.218 | −5.72 ± 1.07 | 77.68 |
| MC5CA0.2 | 5 | 0.2 | 16.47 ± 0.02 | 0.138 | −4.10 ± 2.11 | 82.59 |
| MC10 | 10 | - | 13.37 ± 0.45 | 0.193 | −4.81 ± 1.66 | - |
| MC10CA0.5 | 10 | 0.5 | 16.04 ± 0.92 | 0.180 | −1.08 ± 0.18 | 78.73 |
| MC20 | 20 | - | 15.16 ± 0.56 | 0.214 | −2.12 ± 0.35 | - |
| MC20CA0.5 | 20 | 0.5 | 12.16 ± 1.12 | 0.217 | −1.62 ± 0.42 | 80.55 |
| MC10CA0.5 | MC20CA0.5 | |||
|---|---|---|---|---|
| Size (nm) | PI | Size (nm) | PI | |
| 25 °C | 16.04 | 0.180 | 12.16 | 0.217 |
| 29 °C | 16.80 | 0.195 | 12.41 | 0.210 |
| 32 °C | 22.78 | 0.340 | 13.82 | 0.271 |
| 35 °C | 30.36 | 0.393 | 19.13 | 0.458 |
| 38 °C | 35.40 | 0.369 | 19.13 | 0.558 |
| 41 °C | 37.75 | 0.367 | 26.54 | 0.529 |
| 44 °C | 41.58 | 0.373 | 27.52 | 0.470 |
| [CA µg mL−1] | A λ1 286–290 nm | A λ2 311–314 nm | A λ2/λ1 |
|---|---|---|---|
| CA 5 | 0.407 | 0.382 | 0.940 |
| CA 10 | 0.862 | 0.798 | 0.925 |
| CA 15 | 1.280 | 1.225 | 0.957 |
| CA 20 | 1.618 | 1.622 | 1.003 |
| CA 30 | 2.400 | 2.493 | 1.039 |
| 269–290 nm | 312 nm | ||
| CA-Ph20 | 1.338 | 1.281 | 0.957 |
| CA-Ph30 | 2.139 | 2.141 | 1.001 |
| [CA µg mL−1] | k × 10−3 | lof % | R2 |
|---|---|---|---|
| 5.0 | 1.503 | 4.071 | 99.834 |
| 10.0 | 1.710 | 1.042 | 99.989 |
| 15.0 | 1.451 | 0.879 | 99.992 |
| 20.0 | 1.368 | 0.657 | 99.996 |
| 30.0 | 1.507 | 0.355 | 99.999 |
Disclaimer/Publisher’s Note: The statements, opinions and data contained in all publications are solely those of the individual author(s) and contributor(s) and not of MDPI and/or the editor(s). MDPI and/or the editor(s) disclaim responsibility for any injury to people or property resulting from any ideas, methods, instructions or products referred to in the content. |
© 2024 by the authors. Licensee MDPI, Basel, Switzerland. This article is an open access article distributed under the terms and conditions of the Creative Commons Attribution (CC BY) license (https://creativecommons.org/licenses/by/4.0/).
Share and Cite
Mazzotta, E.; Chieffallo, M.; Muzzalupo, R.; Spingola, M.; Caputo, P.; Romeo, M.; Ioele, G. Formulation of Polymeric Micelles to Increase the Solubility and Photostability of Caffeic Acid. Molecules 2024, 29, 3329. https://doi.org/10.3390/molecules29143329
Mazzotta E, Chieffallo M, Muzzalupo R, Spingola M, Caputo P, Romeo M, Ioele G. Formulation of Polymeric Micelles to Increase the Solubility and Photostability of Caffeic Acid. Molecules. 2024; 29(14):3329. https://doi.org/10.3390/molecules29143329
Chicago/Turabian StyleMazzotta, Elisabetta, Martina Chieffallo, Rita Muzzalupo, Miriana Spingola, Paolino Caputo, Martina Romeo, and Giuseppina Ioele. 2024. "Formulation of Polymeric Micelles to Increase the Solubility and Photostability of Caffeic Acid" Molecules 29, no. 14: 3329. https://doi.org/10.3390/molecules29143329
APA StyleMazzotta, E., Chieffallo, M., Muzzalupo, R., Spingola, M., Caputo, P., Romeo, M., & Ioele, G. (2024). Formulation of Polymeric Micelles to Increase the Solubility and Photostability of Caffeic Acid. Molecules, 29(14), 3329. https://doi.org/10.3390/molecules29143329

