Clerodendrum trichotomum Thunberg—An Ornamental Shrub with Medical Properties
Abstract
1. Introduction
2. Methodology of Paper Selection
3. Distribution and Morphology of C. trichotomum
4. Applications in Traditional Folk Medicine
5. Overview of Bioactive Compounds Identified in C. trichotomum
5.1. Phenolic Compounds
5.1.1. Phenylpropanoid Compounds
| (1) acteoside | R1 = H; | R2 = H |
| (2) leucosceptoside | R1 = CH3; | R2 = H |
| (4) jionoside D | R1 = H; | R2 = CH3 |
| (5) martynoside | R1 = CH3; | R2 = CH3 |

| (3) plantainoside C | R1 = CH3; | R2 = H |
| (6) isomartynoside | R1 = CH3; | R2 = CH3 |
| (7) isoacteoside | R1 = H; | R2 = H |

- (8) trichotomoside
- (9) decaffeoylacteoside
5.1.2. Flavonoids

| (10a) apigenin-7-O-glucuronide | R1 = glucuronic acid; | R2 = H; | R3 = H; | R4 = H |
| (10b) apigenin-7-O-glucoside | R1 = glucose; | R2 = H; | R3 = H; | R4 = H |
| (11) acacetin-7-O-glucuronide | R1 = glucuronic acid; | R2 = H; | R3 = CH3; | R4 = H |
| (12) apigenin | R1 = H; | R2 = H; | R3 = H; | R4 = H |
| (15) chrysoeriol | R1 = H; | R2 = OCH3; | R3 = H; | R4 = H |
| (16) kaempferol 3-O-glucoside | R1 = H; | R2 = H; | R3 = H; | R4 = glucose |
| (17) isorhamnetin 3-O-glucoside | R1 = H; | R2 = OCH3; | R3 = H; | R4 = glucose |

| (13) genistein | R = H |
| (14) genistein 7-O-glucoside | R = glucose |
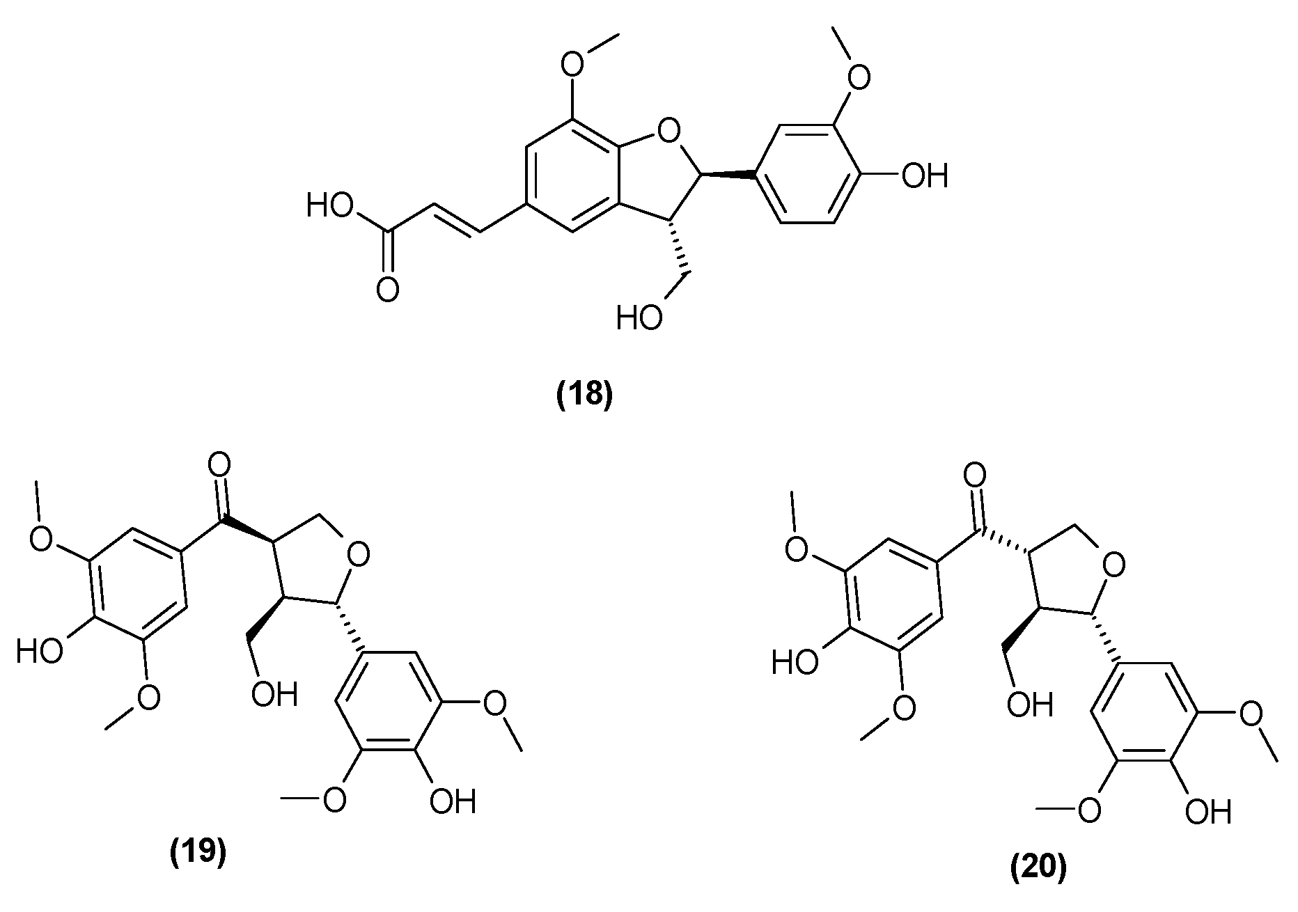
5.1.3. Lignans

- (18) spicatolignan B
- (19) 5,5′-dimethoxy-7-oxolariciresinol
- (20) (−)-(7′S,8S,8′R)-4,4′-dihydroxy-3,3′,5,5′-tetramethoxy-7′,9-epoxy-lignan-9′-ol-7-one

| (21) ecdysanol D | R1 = OH; | R2 = H; | R3 = H |
| (22) ecdysanol E | R1 = H; | R2 = OH; | R3 = OCH3 |
5.2. Terpenoids
5.2.1. Diterpenoids

| (23) villosin C | R1 = 2H; | R2 = H; | R3 = OH; | R4 = OH |
| (31) 6-methoxyvillosin C | R1 = 2H; | R2 = H; | R3 = OCH3; | R4 = OH |
| (32) 18-hydroxy-6-methoxyvillosin C | R1 = 2H; | R2 = OH; | R3 = OCH3; | R4 = OH |
| (33) (10R,16S)-12,16-epoxy-11,14-dihydroxy-6-methoxy-17(15→16)-abeo-abieta-5,8,11,13-tetraene-3,7-dione | R1 = O; | R2 = H; | R3 = OCH3; | R4 = H |

| (24) mandarone E | R1 = 2H; | R2 = CH3 |
| (25) formidiol | R1 = 2H; | R2 = COOCH3 |
| (28) teuvincenone F | R1 = O; | R2 = CH3 |

| (26) uncinatone | R1 = 2H; | R2 = CH3; | R3 = H |
| (27) teuvincenone E | R1 = 2O; | R2 = CH3; | R3 = H |
| (34) (10R,16R)-12,16-epoxy-11,14,17-trihydroxy-17(15→16),18(4→3)-diabeo-abieta-3,5,8,11,13-pentaene-2,7-dione | R1 = O; | R2 = CH3; | R3 = OH |
| (35) (3S,4R,10R,16S)-3,4:12,16-diepoxy-11,14-dihydroxy-17(15→16),18(4→3)-diabeo-abieta-5,8,11,13-tetraene-7-one | R1 = 2H; | R2 = CHO; | R3 = H |

- (29) 12,16-epoxy-11,14-dihydroxy-6-methoxy-17(15→16)-abeo-abieta-5,8,11,13,15-pentaene-3,7-dione
- (30) 12,16-epoxy-17(15→16),18(4→3)-diabeo-abieta-3,5,8,12,15-pentaene-7,11,14-trione
- (36) (3S,4R,10R,16S)-3,4:12,16-diepoxy-11,14-dihydroxy-17(15→16),18(4→3)-diabeo-abieta-5,8,11,13-tetraene-7-one

- (37) trichotomone

- (38) teucincenone G
- (44) caryopincaolide G
- (53) 15,16-dehydroteuvincenone G
- (61) trichotomin A
- (62) trichotomin B
- (63) trichotomside A

| (39) villosin B | R1 = H; | R2 = OH |
| (54) 3-dihydroteuvincenone G | R1 = OH; | R2 = H |

| (40) cyrtophyllone A | R1 = 2H; | R2 = OCH3; | R3 = H |
| (55) 17-hydroxymandarone B | R1 = 2H; | R2 = H; | R3 = OH |
| (66) teuvincenone A | R1 = O; | R2 = OH; | R3 = H |
| (67) teuvincenone B | R1 = 2H; | R2 = OH; | R3 = H |

| (41) 15-dehydro-17-hydroxycyrtophyllone A | R1 = 2H; | R2 = OCH3; | R3 = OH |
| (68) teuvincenone H | R1 = O; | R2 = OH; | R3 = H |

| (42) caryopincaolide E | R1 = H; | R2 = H; | R3 = CH2OH |
| (43) caryopincaolide F | R1 = H; | R2 = OH; | R3 = CH3 |
| (56) 15,16-dihydroformidiol | R1 = H; | R2 = H; | R3 = COOCH3 |
| (58) 2α-hydrocaryopincaolide F | R1 = OH; | R2 = H; | R3 = CH3 |

| (45) caryopincaolide I | R1 = H; | R2 = OH |
| (46) caryopincaolide J | R1 = OH; | R2 = H |

- (47) caryopterisoid C
- (48) kaichianone B
- (49) 19-hydroxyteuvincenone F
- (52) 12,19-di-O-β-D-glucopyranosyl-11-hydroxyabieta-8,11,13-trien-19-one
- (57) 18-hydroxyteuvincenone E

| (50) demethylcryptojaponol | R1 = H; | R2 = H; | R3 = O; | R4 = OH |
| (51) 6β-hydroxydemethylcryptojaponol | R1 = H; | R2 = OH; | R3 = O; | R4 = OH |
| (64) trichotomside B | R1 = O-glucose; | R2 = H; | R3 = 2H; | R4 = O-glucose |

| (59) 15α-hydroxyuncinatone | R = 2H |
| (60) 15α-hydroxyteuvincenone E | R = O |

| (65) sugiol | R1 = H; | R2 = H |
| (69) cyrtophyllone B | R1 = OH; | R2 = OH |

- (70) viridiol B
- (71) phytol

- (72) clerodendrin A
- (73) clerodendrin B
- (74) clerodendrin D
- (75) clerodendrin E
- (76) clerodendrin F
- (77) clerodendrin G
- (78) clerodendrin H.
5.2.2. Triterpenoids

- (79) β-amyrin

| (80) lupeol | R1 = CH3; | R2 = CH2 |
| (82) betulinic acid | R1 = COOH; | R2 = CH2 |
| (84) 3β-hydroxy-30-norlupan-20-one | R1 = CH3; | R2 = O |

- (81) friedelin
- (83) taraxerol

| (85) oleanolic aldehyde | R1 = H; | R2 = CHO; | R3 = CH3; | R4 = H |
| (86) ursolic aldehyde | R1 = H; | R2 = CHO; | R3 = H; | R4 = CH3 |
| (87) maslinic acid | R1 = OH; | R2 = COOH; | R3 = CH3; | R4 = H |
| (88) corosolic acid | R1 = OH; | R2 = COOH; | R3 = H; | R4 = CH3 |
5.3. Anthraquinones

| (89) aloeemodin | R1 = H; | R2 = CH2OH |
| (90) emodin | R1 = CH3; | R2 = OH |
| (91) chrysophanol | R1 = H; | R2 = CH3 |
5.4. Cyclohexylethanoids

- (92) 1-hydroxy-1-(8-palmitoyloxyethyl)cyclohexanone
- (93) 5-O-butyl cleroindin
- (94) cleroindin C
- (95) cleroindin B
- (96) rengyolone
- (97) rengyol
- (98) isorengyol
5.5. Steroids

- (99) (20R,22E,24R)-3β-hydroxy-stigmasta-5,22,25-trien-7-one
- (100) (20R,22E,24R)-stigmasta-22,25-dien-3,6-dione
- (101) (20R,22E,24R)-stigmasta-5,22,25-trien-3β,7β-diol
- (102) (20R,22E,24R)-stigmasta-22,25-dien-3β,6β,9α-triol
- (103) (20R,22E,24R)-6β-hydroxy-stigmasta-4,22,25-trien-3-one
- (104) 22-dehydroclerosterol 3β-O-β-D-(6′-O-margaroyl)-glucopyranoside
- (105) (22E,24R)-stigmasta-4,22,25-trien-3-one

- (106) 22-dehydroclerosterol
- (107) clerosterol
- (108) stigmasterol
- (109) sitosterol
5.6. Polyketones

- (110) clerodendruketone A
- (111) clerodendruketone B
5.7. Alkaloids

| (112) trichotomine | R = H |
| (113) trichotomine G1 | R = glucose |

- (114) 1H-indole-3-carboxylic acid
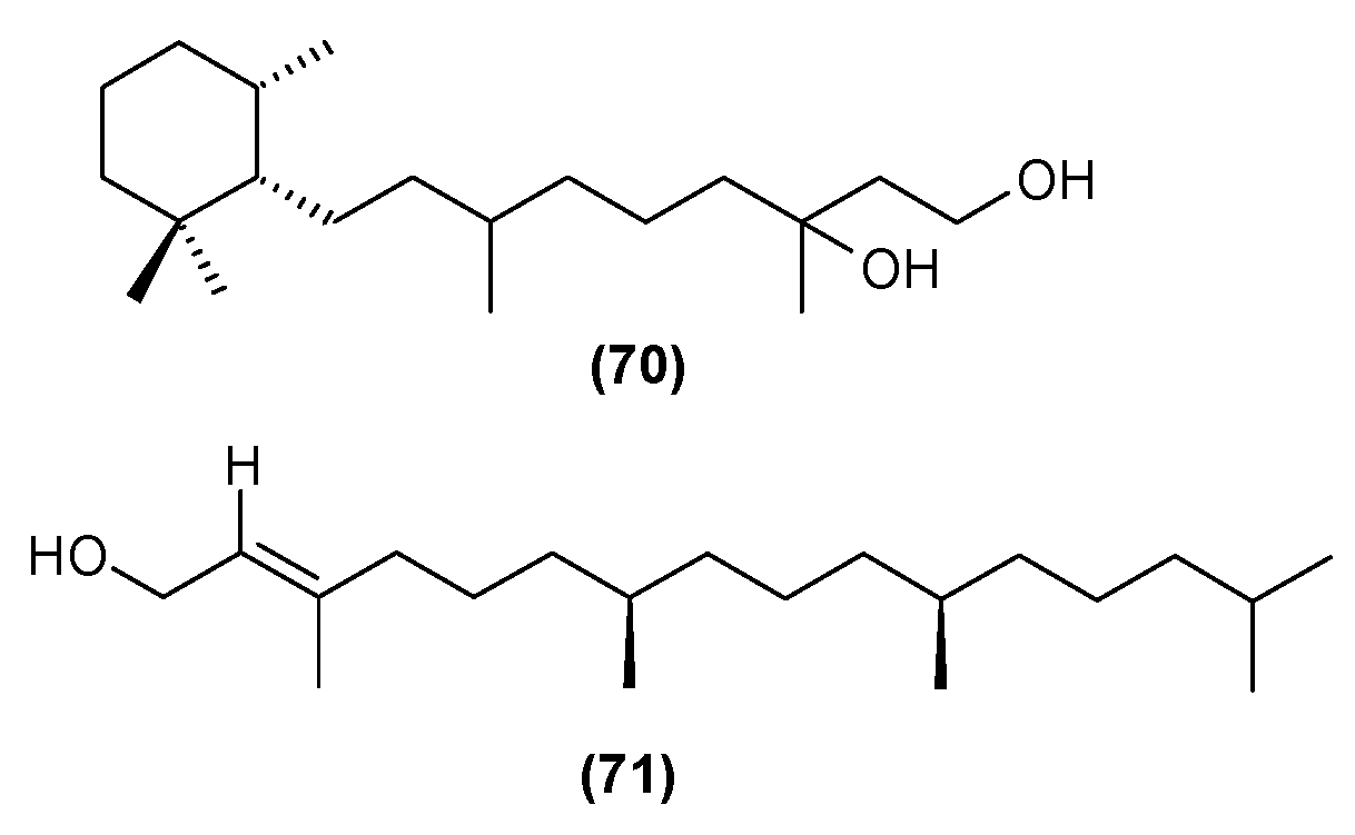
5.8. Other Compounds

- (115) loliolide
- (116) annuionone D
- (117) corchoionoside C
- (118) clovane-2,9-diol
- (119) α-tocopherol
6. Biological Activity of C. trichotomum
6.1. Anti-Inflammatory Activity
6.2. Antioxidant Activity
6.3. Anticancer Activity
6.4. Antiviral Activity
6.5. Antibacterial Activity
6.6. Antihypertensive Activity
6.7. Activity in Metabolic Diseases
6.8. Other Activities
7. Toxicity of Clerodendrum Plants
8. Conclusions and Future Prospective
Author Contributions
Funding
Conflicts of Interest
References
- Kasilo, O.M.; Trapsida, J.M. Regulation of traditional medicine in the WHO African region. Afr. Health Monit. (Online) 2010, 14, 25–31. [Google Scholar]
- Shrivastava, N.; Patel, T. Clerodendrum and healthcare: An overview. Med. Aromat. Plant Sci. Biotechnol. 2007, 1, 142–150. [Google Scholar]
- Choi, J.H.; Whang, W.K.; Kim, H.J. Studies on the anti-inflammatory effects of Clerodendron trichotomum Thunberg leaves. Arch. Pharmacal. Res. 2004, 27, 189–193. [Google Scholar] [CrossRef] [PubMed]
- Kim, J.H.; Song, H.; Ko, H.C.; Lee, J.Y.; Jang, M.G.; Kim, S.J. Anti-oxidant and anti-inflammatory properties of Clerodendrum trichotomum leaf extracts. J. Life Sci. 2017, 27, 640–645. [Google Scholar]
- Chae, S.; Kim, J.S.; Kang, K.A.; Bu, H.D.; Lee, Y.; Hyun, J.W.; Kang, S.S. Antioxidant activity of jionoside D from Clerodendron trichotomum. Biol. Pharm. Bull. 2004, 27, 1504–1508. [Google Scholar] [CrossRef]
- Guang-Wei, L.; Katsuyuki, M.; Tokihito, Y.; Kenjiro, Y. Effects of extract from Clerodendron trichotomum on blood pressure and renal function in rats and dogs. J. Ethnopharmacol. 1994, 42, 77–82. [Google Scholar] [CrossRef] [PubMed]
- Choo, H.N.; Lee, S.I.; Kim, J.S.; Jeong, J.K. Effect of Clerodendron trichotomum Thunberg tea on anti-hypertension. Korea J. Herbol. 2015, 30, 129–135. [Google Scholar] [CrossRef]
- Li, L.Z.; Wang, M.H.; Sun, J.B.; Liang, J.Y. Abietane diterpenoids and other constituents from Clerodendrum trichotomum. Biochem. Syst. Ecol. 2014, 56, 218–220. [Google Scholar] [CrossRef]
- Cantino, P.D.; Harley, R.M.; Wagstaff, S.J. Genera of Labiatae status and classification. In Advances in Labiatae Science; Harley, R.M., Reynolds, T., Eds.; Royal Botanic Gardens: Richmond, UK, 1992; pp. 511–522. [Google Scholar]
- Kar, P.; Goyal, A.K.; Das, A.P.; Sen, A. Antioxidant and pharmaceutical potential of Clerodendrum L.: An overview. Int. J. Green Pharm. 2014, 8, 210–216. [Google Scholar]
- Xiao, Y.; Ren, Q.; Wu, L. The pharmacokinetic property and pharmacological activity of acteoside: A review. Biomed. Pharmacother. 2022, 153, 113296. [Google Scholar] [CrossRef] [PubMed]
- Khalaf, H.A.A.; Jasim, R.A.; Ibrahim, I.T. Verbascoside—A review of its antitumor activities. Pharmacol. Pharm. 2021, 12, 109–126. [Google Scholar] [CrossRef]
- Zhao, Y.; Wang, S.; Pan, J.; Ma, K. Verbascoside: A neuroprotective phenylethanoid glycosides with anti-depressive properties. Phytomedicine 2023, 120, 155027. [Google Scholar] [CrossRef]
- Flora of China. Clerodendrum Trichotomum Thunberg. Available online: http://www.efloras.org/florataxon.aspx?flora_id=2&taxon_id=200019352 (accessed on 26 May 2024).
- Xu, R.L.; Jiang, H.L.; Wang, R.; Shi, Y.P. Diverse terpenoids from the leaves of Clerodendrum trichotomum. Chem. Nat. Compd. 2015, 51, 999–1000. [Google Scholar] [CrossRef]
- Nagao, T.; Abe, F.; Okabe, H. Antiproliferative constituents in the plants 7. Leaves of Clerodendron bungei and leaves and bark of C. trichotomum. Biol. Pharm. Bull. 2001, 24, 1338–1341. [Google Scholar] [CrossRef]
- Chae, S.; Kang, K.A.; Kim, J.S.; Hyun, J.W.; Kang, S.S. Trichotomoside: A new antioxidative phenylpropanoid glycoside from Clerodendron trichotomum. Chem. Biodivers. 2006, 3, 41–48. [Google Scholar] [CrossRef]
- Okigawa, M.; Hatanaka, H.; Kawano, N.; Matsunaga, I.; Tamura, Z. A new glycoside, acacetin-7-glucurono-(1→2)-glucuronide from the leaves of Clerodendron trichotomum. Tetrahedron Lett. 1970, 11, 2935–2936. [Google Scholar] [CrossRef]
- Shrivastava, N.; Patel, T. Clerodendrum and healthcare: An overview—Part II, phytochemistry and biotechnology. Med. Aromat. Plant Sci. Biotechnol. 2007, 1, 209–223. [Google Scholar]
- Sakurai, A.; Kato, T. A new glycoside, kusaginin isolated from Clerodendron trichotomum. Bull. Chem. Soc. Jpn. 1983, 56, 1573–1574. [Google Scholar] [CrossRef]
- Kim, H.J.; Woo, E.R.; Shin, C.G.; Hwang, D.J.; Park, H.; Lee, Y.S. HIV-1 integrase inhibitory phenylpropanoid glycosides from Clerodendron trichotomum. Arch. Pharm. Res. 2001, 24, 286–291. [Google Scholar] [CrossRef]
- Kim, K.H.; Kim, S.; Jung, M.Y.; Ham, I.H.; Whang, W.K. Anti-inflammatory phenylpropanoid glycosides from Clerodendron trichotomum leaves. Arch. Pharm. Res. 2009, 32, 7–13. [Google Scholar] [CrossRef]
- Min, Y.S.; Yim, S.H.; Bai, K.L.; Choi, H.J.; Jeong, J.H.; Song, H.J.; Park, S.Y.; Ham, I.; Whang, W.K.; Sohn, U.D. The effects of apigenin-7-O-β-D-glucuronopyranoside on reflux oesophagitis and gastritis in rats. Auton. Autacoid Pharmacol. 2005, 25, 85–91. [Google Scholar] [CrossRef] [PubMed]
- Lee, J.W.; Kang, S.C.; Bae, J.J.; Lee, K.B.; Kwak, J.H. Flavonoids from the flower of Clerodendrum trichotomum. Korean J. Pharmacogn. 2015, 46, 289–294. [Google Scholar]
- Zheng, J.; Chen, G.T.; Gao, H.Y.; Wu, B.; Wu, L.J. Two new lignans from Mentha spicata L. J. Asian Nat. Prod. Res. 2007, 9, 431–435. [Google Scholar] [CrossRef] [PubMed]
- Gao, Y.N.; Wei, J.C.; Qi, Z.B.; Gao, X.X.; Wang, A.H. Two novel polyketones from the leaves and twigs of Clerodendrum trichotomum. J. Asian Nat. Prod. Res. 2022, 24, 245–251. [Google Scholar] [CrossRef] [PubMed]
- Wang, W.X.; Xiong, J.; Tang, Y.; Zhu, J.J.; Li, M.; Zhao, Y.; Yang, G.X.; Xia, G.; Hu, J.F. Rearranged abietane diterpenoids from the roots of Clerodendrum trichotomum and their cytotoxicities against human tumor cells. Phytochemistry 2013, 89, 89–95. [Google Scholar] [CrossRef] [PubMed]
- Wang, W.X.; Zhu, J.J.; Zou, Y.; Hong, Z.L.; Liu, S.T.; Li, M.; Huang, Y.; Xiong, J.; Zhao, Y.; Yang, G.X.; et al. Trichotomone, a new cytotoxic dimeric abietane-derived diterpene from Clerodendrum trichotomum. Tetrahedron Lett. 2013, 54, 2549–2552. [Google Scholar] [CrossRef]
- Hu, H.J.; Zhou, Y.; Han, Z.Z.; Shi, Y.H.; Zhang, S.S.; Wang, Z.T.; Yang, L. Abietane diterpenoids from the roots of Clerodendrum trichotomum and their nitric oxide inhibitory activities. J. Nat. Prod. 2018, 81, 1508–1516. [Google Scholar] [CrossRef] [PubMed]
- Kato, N.; Shibayama, S.; Munakata, K.; Katayama, C. Structure of the diterpene clerodendrin A. J. Chem. Soc. D Chem. Commun. 1971, 24, 1632–1633. [Google Scholar] [CrossRef]
- Nishida, R.; Fukami, H.; Miyata, T.; Takeda, M. Clerodendrins: Feeding stimulants for the adult turnip sawfly, Athalia rosae ruficornis, from Clerodendron trichotomum (Verbenaceae). Agric. Biol. Chem. 1989, 53, 1641–1645. [Google Scholar] [CrossRef]
- Kawai, K.; Amano, T.; Nishida, R.; Kuwahara, Y.; Fukami, H. Clerodendrins from Clerodendron trichotomum and their feeding stimulant activity for the turnip sawfly. Phytochemistry 1998, 49, 1975–1980. [Google Scholar] [CrossRef]
- Choi, J.W.; Cho, E.J.; Lee, D.G.; Choi, K.; Ku, J.; Park, K.W.; Lee, S. Antibacterial activity of triterpenoids from Clerodendron trichotomum. J. Appl. Biol. Chem. 2012, 55, 169–172. [Google Scholar] [CrossRef][Green Version]
- Hu, H.J.; Liu, Q.; Yang, Y.B.; Yang, L.; Wang, Z.T. Chemical constituents of Clerodendrum trichotomum leaves. J. Chin. Med. Res. (Zhong Yao Cai) 2014, 37, 1590–1593. [Google Scholar]
- Xu, R.L.; Wang, R.; Ha, W.; Shi, Y.P. New cyclohexylethanoids from the leaves of Clerodendrum trichotomum. Phytochem. Lett. 2014, 7, 111–113. [Google Scholar] [CrossRef]
- Tian, J.; Zhao, Q.S.; Zhang, H.J.; Lin, Z.W.; Sun, H.D. New cleroindicins from Clerodendrum indicum. J. Nat. Prod. 1997, 60, 766–769. [Google Scholar] [CrossRef]
- Xu, R.L.; Wang, R.; Ding, L.; Shi, Y.P. New cytotoxic steroids from the leaves of Clerodendrum trichotomum. Steroids 2013, 78, 711–716. [Google Scholar] [CrossRef] [PubMed]
- Iwadare, S.; Shizuri, Y.; Sasaki, K.; Hirata, Y. Isolation and structure of trichotomine and trichotomine G1. Tetrahedron 1974, 30, 4105–4111. [Google Scholar] [CrossRef]
- Toyoda, Y.; Kumagai, H.; Irikawa, H.; Okumura, Y. Isolation of four indolizino [8,7-b] indole-5-carboxylic acids from Clerodendron trichotomum Thunb. Chem. Lett. 1982, 11, 903–906. [Google Scholar] [CrossRef]
- Choi, M.J.; Kim, Y.R. Anti-allergic effect of fermented extracts of medicinal plants Andrographis paniculate, Salvia plebeia R. Br., Canavalia gladiate, Eleuthorococcus senticosus, Ulmus davidiana var. japonica, and Clerodendrum trichotomum thunb. ex murray. Microbiol. Biotechnol. Lett. 2022, 50, 512–521. [Google Scholar] [CrossRef]
- Subba, B.; Srivastav, C.; Kandel, R.C. Scientific validation of medicinal plants used by Yakkha community of Chanuwa VDC, Dhankuta, Nepal. Springerplus. 2016, 5, 155. [Google Scholar] [CrossRef] [PubMed]
- Chathuranga, K.; Kim, M.S.; Lee, H.C.; Kim, T.H.; Kim, J.H.; Gayan Chathuranga, W.A.; Ekanayaka, P.; Wijerathne, H.M.S.M.; Cho, W.K.; Kim, H.I.; et al. Anti-respiratory syncytial virus activity of Plantago asiatica and Clerodendrum trichotomum extracts in vitro and in vivo. Viruses 2019, 11, 604. [Google Scholar] [CrossRef] [PubMed]
- Kar, P.; Sharma, N.R.; Singh, B.; Sen, A.; Roy, A. Natural compounds from Clerodendrum spp. as possible therapeutic candidates against SARS-CoV-2: An in silico investigation. J. Biomol. Struct. Dyn. 2021, 39, 4774–4785. [Google Scholar] [CrossRef] [PubMed]
- Kang, D.G.; Lee, Y.S.; Kim, H.J.; Lee, Y.M.; Lee, H.S. Angiotensin converting enzyme inhibitory phenylpropanoid glycosides from Clerodendron trichotomum. J. Ethnopharmacol. 2003, 89, 151–154. [Google Scholar] [CrossRef] [PubMed]
- Jang, M.G.; Oh, J.M.; Ko, H.C.; Kim, J.W.; Beak, S.; Jin, Y.J.; Hur, S.P.; Kim, S.J. Clerodendrum trichotomum extract improves metabolic derangements in high fructose diet-fed rats. Anim. Cells Syst. 2021, 25, 396–404. [Google Scholar] [CrossRef]
- Jang, M.G.; Song, H.; Kim, J.H.; Oh, J.M.; Park, J.Y.; Ko, H.C.; Hur, S.P.; Kim, S.J. Prevention of hyperuricemia by Clerodendrum trichotomum leaf extract in potassium oxonate-induced mice. Dev. Reprod. 2020, 24, 89. [Google Scholar] [CrossRef] [PubMed]
- Nandi, S.; Ukil, B.; Lyndem, L.M. Acute and sub-acute toxicological evaluation of the alcoholic leaf and root extracts of Clerodendrum infortunatum L. Nat. Prod. Res. 2018, 32, 2062–2066. [Google Scholar] [CrossRef] [PubMed]
- Bhushan, B.; Sardana, S.; Bansal, G. Acute and sub-acute toxicity study of Clerodendrum inerme, Jasminum mesnyi Hance and Callistemon citrinus. J. Acute Dis. 2014, 3, 324–327. [Google Scholar] [CrossRef]
- Amole, O.O.; Akinyede, A.A.; Obanyero, D.D. Toxicity studies of the hydroethanolic leaf extract of Clerodendrum polycephalum (Lamiaceae) in rats. Ann. Clin. Toxicol. 2021, 4, 1033. [Google Scholar]
- Reena, G.; Sanjiv, D.; Bhupinder, K. Sub-chronic toxicity study of aqueous extract of Clerodendrum phlomidis leaves. Int. J. Drug Dev. Res. 2012, 4, 197–207. [Google Scholar]



Disclaimer/Publisher’s Note: The statements, opinions and data contained in all publications are solely those of the individual author(s) and contributor(s) and not of MDPI and/or the editor(s). MDPI and/or the editor(s) disclaim responsibility for any injury to people or property resulting from any ideas, methods, instructions or products referred to in the content. |
© 2024 by the authors. Licensee MDPI, Basel, Switzerland. This article is an open access article distributed under the terms and conditions of the Creative Commons Attribution (CC BY) license (https://creativecommons.org/licenses/by/4.0/).
Share and Cite
Gomulski, J.; Grzegorczyk-Karolak, I. Clerodendrum trichotomum Thunberg—An Ornamental Shrub with Medical Properties. Molecules 2024, 29, 3272. https://doi.org/10.3390/molecules29143272
Gomulski J, Grzegorczyk-Karolak I. Clerodendrum trichotomum Thunberg—An Ornamental Shrub with Medical Properties. Molecules. 2024; 29(14):3272. https://doi.org/10.3390/molecules29143272
Chicago/Turabian StyleGomulski, Jan, and Izabela Grzegorczyk-Karolak. 2024. "Clerodendrum trichotomum Thunberg—An Ornamental Shrub with Medical Properties" Molecules 29, no. 14: 3272. https://doi.org/10.3390/molecules29143272
APA StyleGomulski, J., & Grzegorczyk-Karolak, I. (2024). Clerodendrum trichotomum Thunberg—An Ornamental Shrub with Medical Properties. Molecules, 29(14), 3272. https://doi.org/10.3390/molecules29143272

