Bis(2,2,2 trifluoroethyl) Phosphonate as a Convenient Precursor for the Synthesis of H-Phosphonates
Abstract
1. Introduction
2. Results and Discussion
2.1. General Considerations
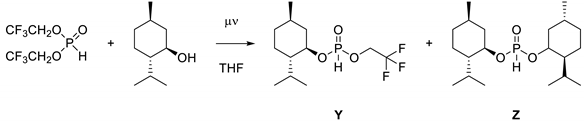
2.2. Synthesis of Cyclic H-Phosphonates

2.3. Synthesis of Dialkyl H-Phosphonates
3. Materials and Methods
3.1. General Methods
3.2. General Procedure for the Synthesis of Cyclic H-Phosphonates 1–7
3.3. General Procedure for the Synthesis of Di-Substituted H-Phosphonates 8–14
3.4. General Procedure for the Synthesis of H-Phosphonates 15–20
4. Conclusions
Supplementary Materials
Author Contributions
Funding
Institutional Review Board Statement
Informed Consent Statement
Data Availability Statement
Acknowledgments
Conflicts of Interest
Appendix A
![]() | |||||
|---|---|---|---|---|---|
| Entry | Equivalent BTFEP | Concentration [Mol/L] | T [°C] | t [min] | Isolated Yield a |
| 1 | 1 | 0.5 | 130 | 30 | 61 |
| 2 | 1.4 | 0.5 | 130 | 15 | 87 |
| 3 | 1.4 | 0.5 | 100 | 15 | 72 |
| 4 | 1.4 | 1 | 100 | 30 | 82 |
| 5 | 1.4 | 1 | 130 | 10 | 73 |
Appendix B
![]() | ||||||
|---|---|---|---|---|---|---|
| Entry | Equivalent BTFEP | t [min] | T [°C] | Conversion [%] | Yield In Situ a [%] | Ratio Y:Z |
| 1 | 1 | 20 | 100 | 57 | 53 | 24:1 |
| 2 | 1 | 40 | 100 | 86 | 73 | 11:1 |
| 3 | 1 | 60 | 100 | 90 | 72 | 7:1 |
| 4 | 1 | 120 | 100 | 87 | 60 | 5:1 |
| 5 | 1.05 | 30 | 100 | 79 b | 68 | 11:1 |
| 6 | 1.1 | 30 | 110 | 90 b | 79 | 12:1 |
| 7 | 1 | 60 | 90 | 75 | 66 | 12:1 |
| 8 | 1 | 60 | 130 | 93 | 81 | 13:1 |
Appendix C
Appendix D
References
- Stawinski, J.; Kraszewski, A. How To Get the Most Out of Two Phosphorus Chemistries. Studies on H-Phosphonates. Acc. Chem. Res. 2002, 35, 952–960. [Google Scholar] [CrossRef]
- Janesko, B.G.; Fisher, H.C.; Bridle, M.J.; Montchamp, J.-L. P(=O)H to P–OH Tautomerism: A Theoretical and Experimental Study. J. Org. Chem. 2015, 80, 10025–10032. [Google Scholar] [CrossRef] [PubMed]
- Montchamp, J.-L. Phosphorus Chemistry II; Springer International Publishing: Cham, Switzerland, 2015; ISBN 978-3-319-15511-1. [Google Scholar]
- Ordóñez, M.; Viveros-Ceballos, J.L.; Cativiela, C.; Sayago, F.J. An update on the stereoselective synthesis of α-aminophosphonic acids and derivatives. Tetrahedron 2015, 71, 1745–1784. [Google Scholar] [CrossRef]
- Barbosa, J.S.; Braga, S.S.; Almeida Paz, F.A. Empowering the Medicinal Applications of Bisphosphonates by Unveiling their Synthesis Details. Molecules 2020, 25, 2821. [Google Scholar] [CrossRef]
- Gan, C.H.; Wijaya, H.; Li, L.-H.; Wei, C.-F.; Peng, Y.-J.; Wu, S.-H.; Hua, K.-F.; Lam, Y. H-Phosphonate Synthesis and Biological Evaluation of an Immunomodulatory Phosphoglycolipid from Thermophilic Bacteria. Org. Lett. 2020, 22, 2569–2573. [Google Scholar] [CrossRef] [PubMed]
- Kraszewski, A.; Sobkowski, M.; Stawinski, J. H-Phosphonate Chemistry in the Synthesis of Electrically Neutral and Charged Antiviral and Anticancer Pronucleotides. Front. Chem. 2020, 8, 595738. [Google Scholar] [CrossRef] [PubMed]
- Motaleb, A.; Rani, S.; Das, T.; Gonnade, R.G.; Maity, P. Phosphite-Catalyzed C−H Allylation of Azaarenes via an Enantioselective [2,3]-Aza-Wittig Rearrangement. Angew. Chem. Int. Ed. 2019, 58, 14104–14109. [Google Scholar] [CrossRef] [PubMed]
- Gliga, A.; Goldfuss, B.; Neudörfl, J.M. Lithium phosphonate umpolung catalysts: Do fluoro substituents increase the catalytic activity? Beilstein J. Org. Chem. 2011, 7, 1189–1197. [Google Scholar] [CrossRef] [PubMed]
- Wang, Y.-X.; Qi, S.-L.; Luan, Y.-X.; Han, X.-W.; Wang, S.; Chen, H.; Ye, M. Enantioselective Ni–Al Bimetallic Catalyzed exo-Selective C–H Cyclization of Imidazoles with Alkenes. J. Am. Chem. Soc. 2018, 140, 5360–5364. [Google Scholar] [CrossRef]
- Fisher, H.C.; Prost, L.; Montchamp, J.-L. Organophosphorus Chemistry without PCl3: A Bridge from Hypophosphorous Acid to H-Phosphonate Diesters. Eur. J. Org. Chem. 2013, 2013, 7973–7978. [Google Scholar] [CrossRef]
- Munoz, A.; Hubert, C.; Luche, J.-L. One-Pot Synthesis of Phosphonic Acid Diesters. J. Org. Chem. 1996, 61, 6015–6017. [Google Scholar] [CrossRef]
- Dal-Maso, A.D.; Legendre, F.; Blonski, C.; Hoffmann, P. Convenient Method for the Preparation of Heterodialkyl-H-phosphonates from Diphenyl-H-phosphonate. Synth. Commun. 2008, 38, 1688–1693. [Google Scholar] [CrossRef]
- Oussadi, K.; Montembault, V.; Belbachir, M.; Fontaine, L. Ring-opening bulk polymerization of five- and six-membered cyclic phosphonates using maghnite, a nontoxic proton exchanged montmorillonite clay. J. Appl. Polym. Sci. 2011, 122, 891–897. [Google Scholar] [CrossRef]
- Gibbs, D.E.; Larsen, C. Bis [2,2,2-trifluoroethyl] Phosphite, a New Reagent for Synthesizing Mono- and Diesters of Phosphorous Acid. Synthesis 1984, 1984, 410–413. [Google Scholar] [CrossRef]
- Kers, A.; Kers, I.; Stawiski, J.; Sobkowski, M.; Kraszewski, A. Studies on Aryl H-Phosphonates; Part 2: A General Method for the Preparation of Alkyl H-Phosphonate Monoesters. Synthesis 1995, 1995, 427–430. [Google Scholar] [CrossRef]
- Saito, Y.; Cho, S.M.; Danieli, L.A.; Matsunaga, A.; Kobayashi, S. A highly efficient catalytic method for the synthesis of phosphite diesters. Chem. Sci. 2024. [Google Scholar] [CrossRef]
- Balint, E.; Tajti, A.; Drahos, L.; Gheorge, I.; Gyorgy, K. Alcoholysis of Dialkyl Phosphites Under Microwave Conditions. Curr. Org. Chem. 2013, 17, 555–562. [Google Scholar] [CrossRef]
- Tajti, Á.; Keglevich, G.; Bálint, E. Microwave-assisted alcoholysis of dialkyl H-phosphonates by diols and amino alcohols. Phosphorus Sulfur Silicon Relat. Elem. 2017, 192, 769–775. [Google Scholar] [CrossRef]
- Cook, H.G.; Ilett, J.D.; Saunders, B.C.; Stacey, G.J.; Watson, H.G.; Wilding, I.G.E.; Woodcock, S.J. 617. Esters containing phosphorus. Part IX. J. Chem. Soc. 1949, 2921–2927. [Google Scholar] [CrossRef]
- Lam, T.C.H.; Mak, W.-L.; Wong, W.-L.; Kwong, H.-L.; Sung, H.H.Y.; Lo, S.M.F.; Williams, I.D.; Leung, W.-H. Synthesis and Crystal Structure of a Chiral C3-Symmetric Oxygen Tripodal Ligand and Its Applications to Asymmetric Catalysis. Organometallics 2004, 23, 1247–1252. [Google Scholar] [CrossRef]
- Schiessl, K.; Roller, A.; Hammerschmidt, F. Determination of absolute configuration of the phosphonic acid moiety of fosfazinomycins. Org. Biomol. Chem. 2013, 11, 7420–7426. [Google Scholar] [CrossRef]
- Tzokov, S.B.; Vassilev, N.G.; Momtcheva, R.T.; Kaneti, J.; Petkova, D.D. H-TETRAOXASPIROPHOSPHORANES AS POSSIBLE INTERMEDIATES IN THE PHOSPHONYLATION BY PHOSPHOROUS ACID/OXIRANES. Phosphorus Sulfur Silicon Relat. Elem. 2000, 166, 187–196. [Google Scholar] [CrossRef]
- Ribière, P.; Bravo-Altamirano, K.; Antczak, M.I.; Hawkins, J.D.; Montchamp, J.-L. NiCl2-Catalyzed Hydrophosphinylation. J. Org. Chem. 2005, 70, 4064–4072. [Google Scholar] [CrossRef]
- Sobkowski, M.; Wenska, M.; Kraszewski, A.; Stawiński, J. Studies on Reactions of Nucleoside H-Phosphonates with Bifunctional Reagents. Part VI. Reaction with Diols. Nucleosides Nucleotides Nucleic Acids 2000, 19, 1487–1503. [Google Scholar] [CrossRef]
- Satish Kumar, N.; Kumaraswamy, S.; Said, M.A.; Kumara Swamy, K.C. Hydrolysis of Cyclic Phosphites/Phosphoramidites and Its Inhibition-Reversible Cyclization of Acyclic Phosphonate Salts to Cyclic Phosphites. Org. Process Res. Dev. 2003, 7, 925–928. [Google Scholar] [CrossRef]
- Vogt, W.; Balasubramanian, S. Über die polykondensation von diäthylphosphit mit aliphastischen diolen. Makromol. Chem. 1973, 163, 111–134. [Google Scholar] [CrossRef]
- Chen, T.; Zhao, C.-Q.; Han, L.-B. Hydrophosphorylation of Alkynes Catalyzed by Palladium: Generality and Mechanism. J. Am. Chem. Soc. 2018, 140, 3139–3155. [Google Scholar] [CrossRef]
- Boobalan, R.; Chen, C. Catalytic Enantioselective Hydrophosphonylation of Aldehydes Using the Iron Complex of a Camphor-Based Tridentate Schiff Base [FeCl(SBAIB-d)]2. Adv. Synth. Catal. 2013, 355, 3443–3450. [Google Scholar] [CrossRef]
- Abell, J.P.; Yamamoto, H. Catalytic Enantioselective Pudovik Reaction of Aldehydes and Aldimines with Tethered Bis(8-quinolinato) (TBOx) Aluminum Complex. J. Am. Chem. Soc. 2008, 130, 10521–10523. [Google Scholar] [CrossRef] [PubMed]
- Takaku, H.; Tsuchiya, H.; Imai, K.; Gibbs, D.E. DI(2,2,2-TRIFLUOROETHYL) PHOSPHONATE, A NEW PHOSPHORYLATING Agent, ITS Application IN The Synthesis OF OLIGODEOXYRIBONUCLEOTIDES BY THE PHOSPHOTRIESTER APPROACH. Chem. Lett. 1984, 13, 1267–1270. [Google Scholar] [CrossRef]
- Kiss, N.Z.; Henyecz, R.; Keglevich, G. Continuous Flow Esterification of a H-Phosphinic Acid, and Transesterification of H-phosphinates and H-Phosphonates under Microwave Conditions. Molecules 2020, 25, 719. [Google Scholar] [CrossRef]
- Timperley, C.M.; Arbon, R.E.; Saunders, S.A.; Waters, M.J. Fluorinated phosphorus compounds: Part 6. The synthesis of bis(fluoroalkyl) phosphites and bis(fluoroalkyl) phosphorohalidates. J. Fluor. Chem. 2002, 113, 65–78. [Google Scholar] [CrossRef]
- Donohoe, T.J.; Jahanshahi, A.; Tucker, M.J.; Bhatti, F.L.; Roslan, I.A.; Kabeshov, M.; Wrigley, G. Exerting control over the acyloin reaction. Chem. Commun. 2011, 47, 5849–5851. [Google Scholar] [CrossRef]
- Dow, M.; Marchetti, F.; Abrahams, K.A.; Vaz, L.; Besra, G.S.; Warriner, S.; Nelson, A. Modular Synthesis of Diverse Natural Product-Like Macrocycles: Discovery of Hits with Antimycobacterial Activity. Chemistry 2017, 23, 7207–7211. [Google Scholar] [CrossRef]
- Frank, D.J.; Franzke, A.; Pfaltz, A. Asymmetric hydrogenation using rhodium complexes generated from mixtures of monodentate neutral and anionic phosphorus ligands. Chemistry 2013, 19, 2405–2415. [Google Scholar] [CrossRef]
- Santschi, N.; Togni, A. Electrophilic trifluoromethylation of S-hydrogen phosphorothioates. J. Org. Chem. 2011, 76, 4189–4193. [Google Scholar] [CrossRef]
- Chandrasekar, A.; Ghanty, T.K.; Brahmmananda Rao, C.V.S.; Sundararajan, M.; Sivaraman, N. Strong influence of weak hydrogen bonding on actinide-phosphonate complexation: Accurate predictions from DFT followed by experimental validation. Phys. Chem. Chem. Phys. 2019, 21, 5566–5577. [Google Scholar] [CrossRef] [PubMed]







![]() | |||||
|---|---|---|---|---|---|
| Entry | R | Product | t [min] | Yield In Situ a [%] | Isolated Yield [%] |
| 1 | nPr | 8 | 30 | 76 | 73 |
| 2 | iBu | 9 | 30 | 78 | 80 |
| 3 | nBu | 10 | 30 | 86 | 90 |
| 4 | iAmyl | 11 | 30 | 87 | 88 |
| 5 | 1-Adamantyl | 12 | 90 | 74 | 67 |
| 6 | (−)-Menthyl | 13 | 90 | 83 | 81 |
| 7 | (+)-Fenchyl | 14 | 90 | 74 | 65 |
![]() | |||||
|---|---|---|---|---|---|
| Entry | R | Product | t [min] | Yield In Situ a [%] | Isolated Yield [%] |
| 1 | nBu | 15 | 30 | 64 | 35 |
| 2 | iAmyl | 16 | 30 | 74 | 42 |
| 3 | Benzyl | 17 | 30 | 50 | 28 |
| 4 | (−)-Menthyl | 18 | 60 | 81 | 81 |
| 5 | (+)-Fenchyl | 19 | 60 | 74 | 78 |
| 6 | 1-Adamantyl | 20 | 60 | 78 | 73 |
Disclaimer/Publisher’s Note: The statements, opinions and data contained in all publications are solely those of the individual author(s) and contributor(s) and not of MDPI and/or the editor(s). MDPI and/or the editor(s) disclaim responsibility for any injury to people or property resulting from any ideas, methods, instructions or products referred to in the content. |
© 2024 by the authors. Licensee MDPI, Basel, Switzerland. This article is an open access article distributed under the terms and conditions of the Creative Commons Attribution (CC BY) license (https://creativecommons.org/licenses/by/4.0/).
Share and Cite
Pohl, J.-M.; Stöhr, F.; Kramer, T.; Becker, J.; Göttlich, R. Bis(2,2,2 trifluoroethyl) Phosphonate as a Convenient Precursor for the Synthesis of H-Phosphonates. Molecules 2024, 29, 2432. https://doi.org/10.3390/molecules29112432
Pohl J-M, Stöhr F, Kramer T, Becker J, Göttlich R. Bis(2,2,2 trifluoroethyl) Phosphonate as a Convenient Precursor for the Synthesis of H-Phosphonates. Molecules. 2024; 29(11):2432. https://doi.org/10.3390/molecules29112432
Chicago/Turabian StylePohl, Jean-Marie, Fabian Stöhr, Tim Kramer, Jonathan Becker, and Richard Göttlich. 2024. "Bis(2,2,2 trifluoroethyl) Phosphonate as a Convenient Precursor for the Synthesis of H-Phosphonates" Molecules 29, no. 11: 2432. https://doi.org/10.3390/molecules29112432
APA StylePohl, J.-M., Stöhr, F., Kramer, T., Becker, J., & Göttlich, R. (2024). Bis(2,2,2 trifluoroethyl) Phosphonate as a Convenient Precursor for the Synthesis of H-Phosphonates. Molecules, 29(11), 2432. https://doi.org/10.3390/molecules29112432





