Anti-Inflammatory Activity of Pyrazolo[1,5-a]quinazolines
Abstract
1. Introduction
2. Results and Discussion
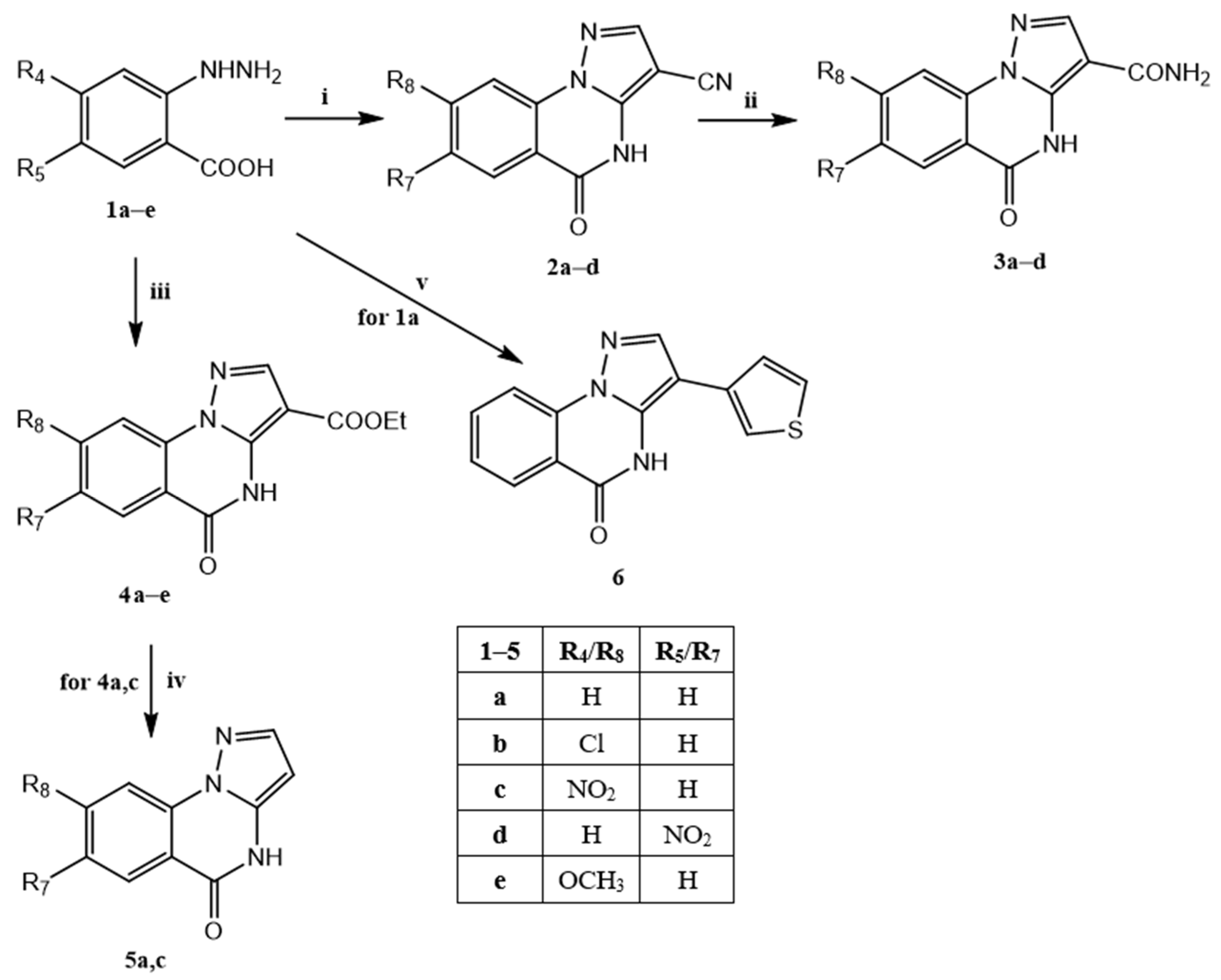
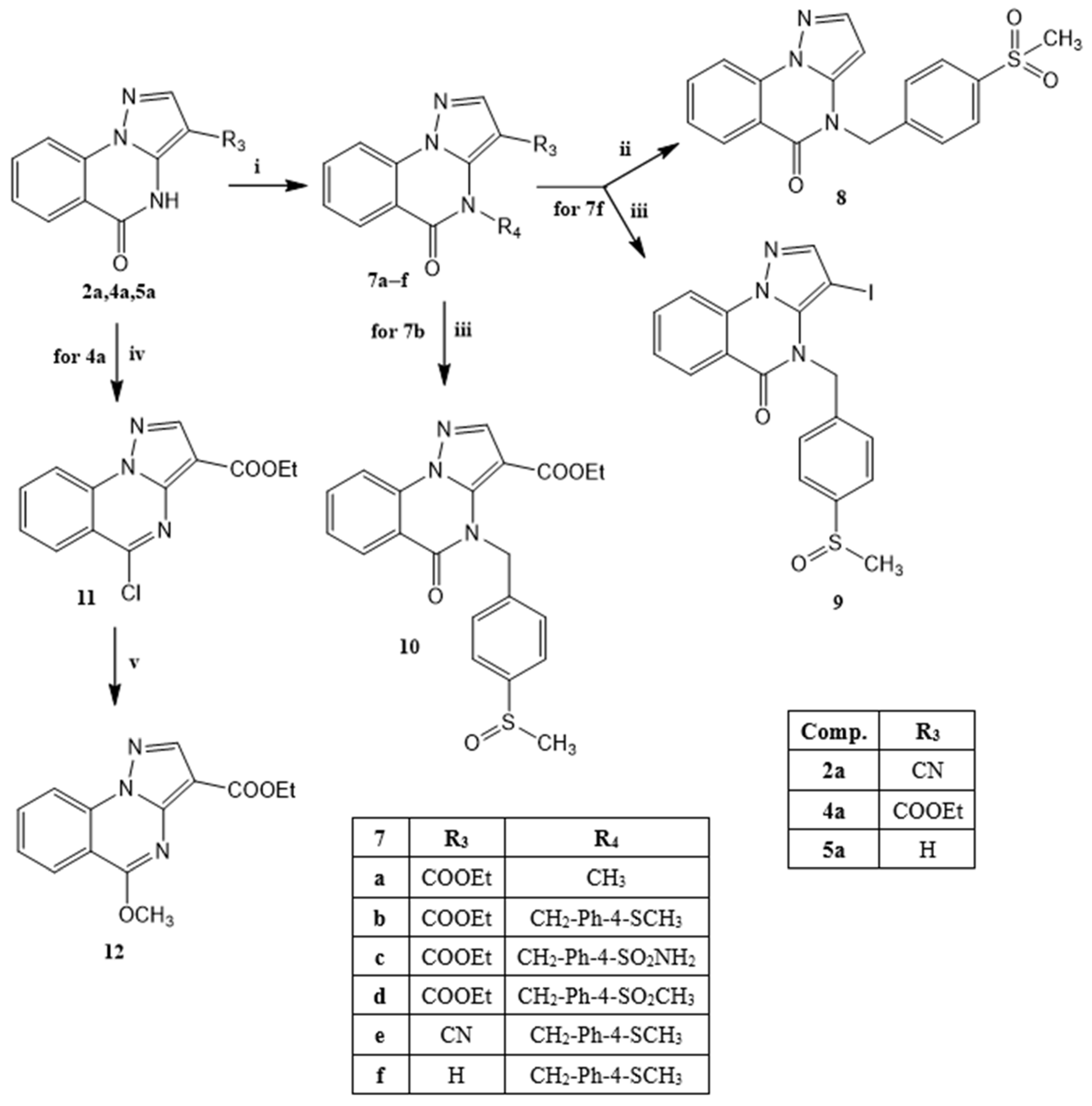
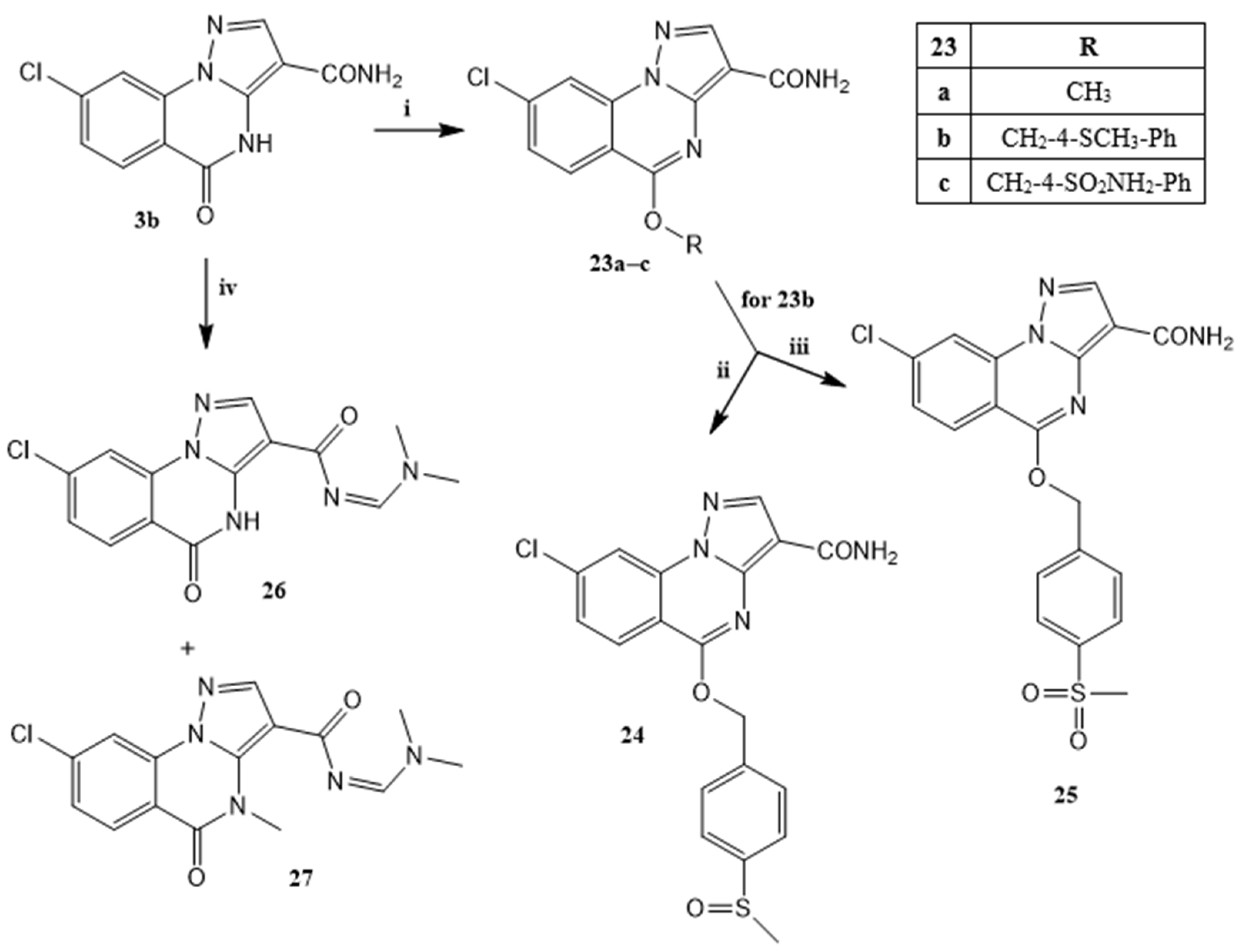
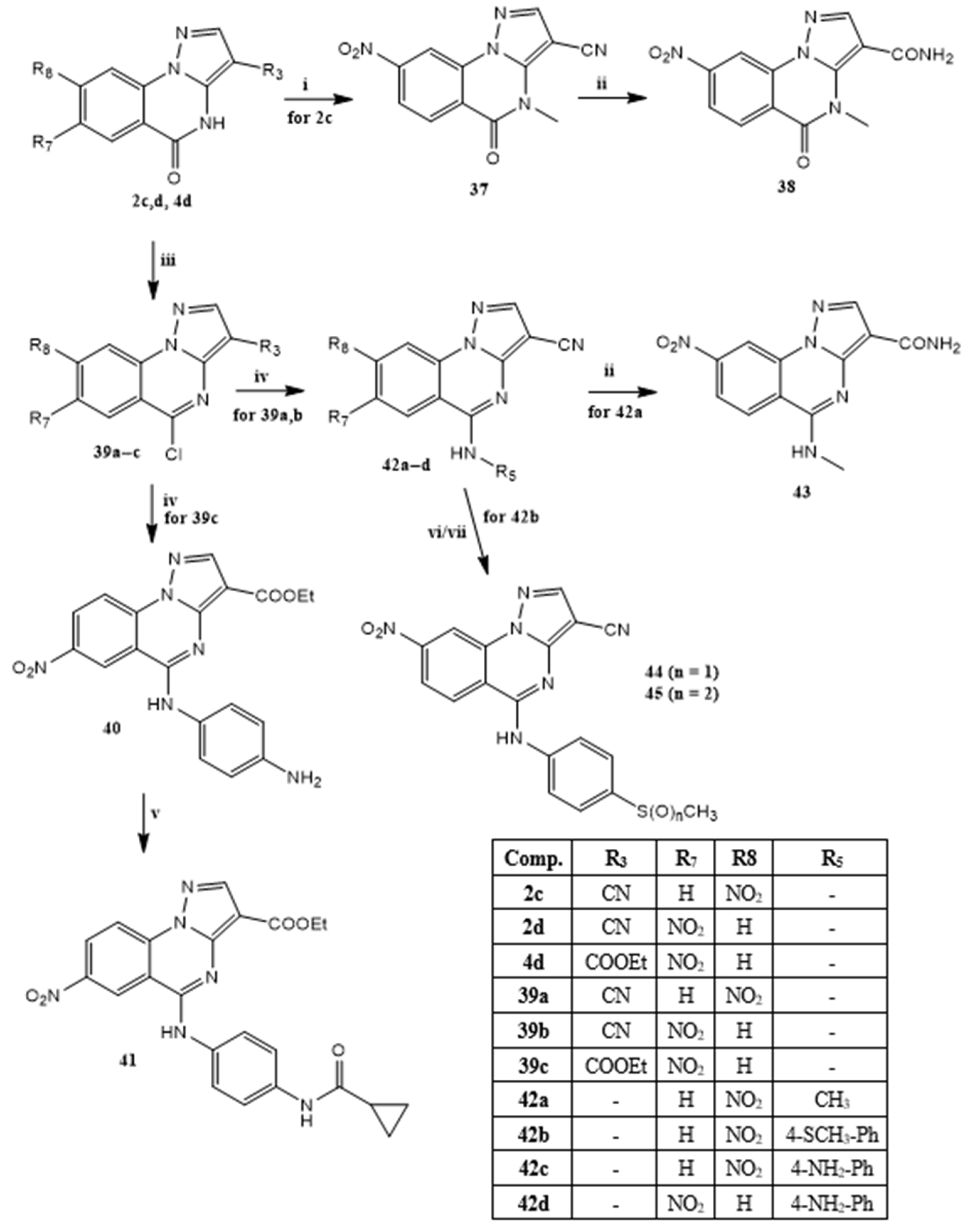
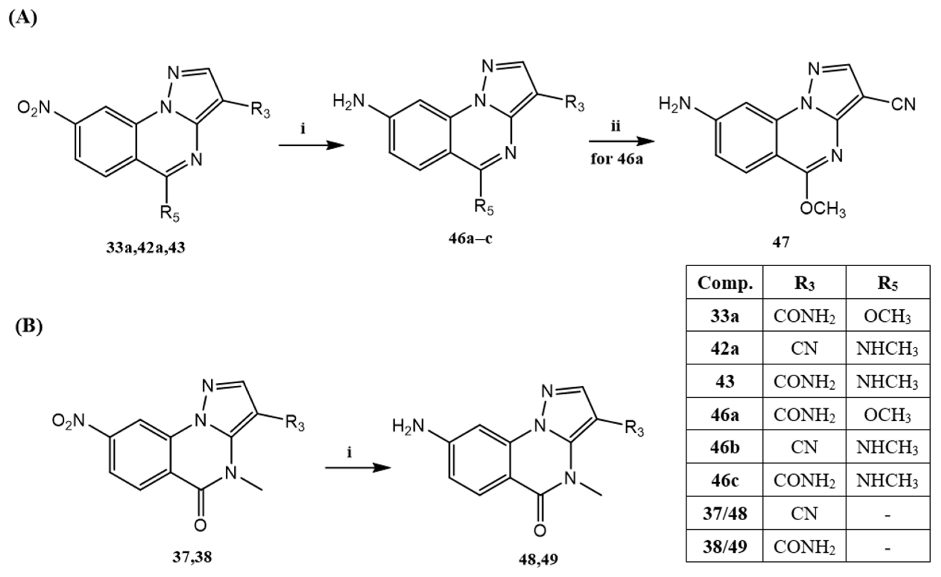
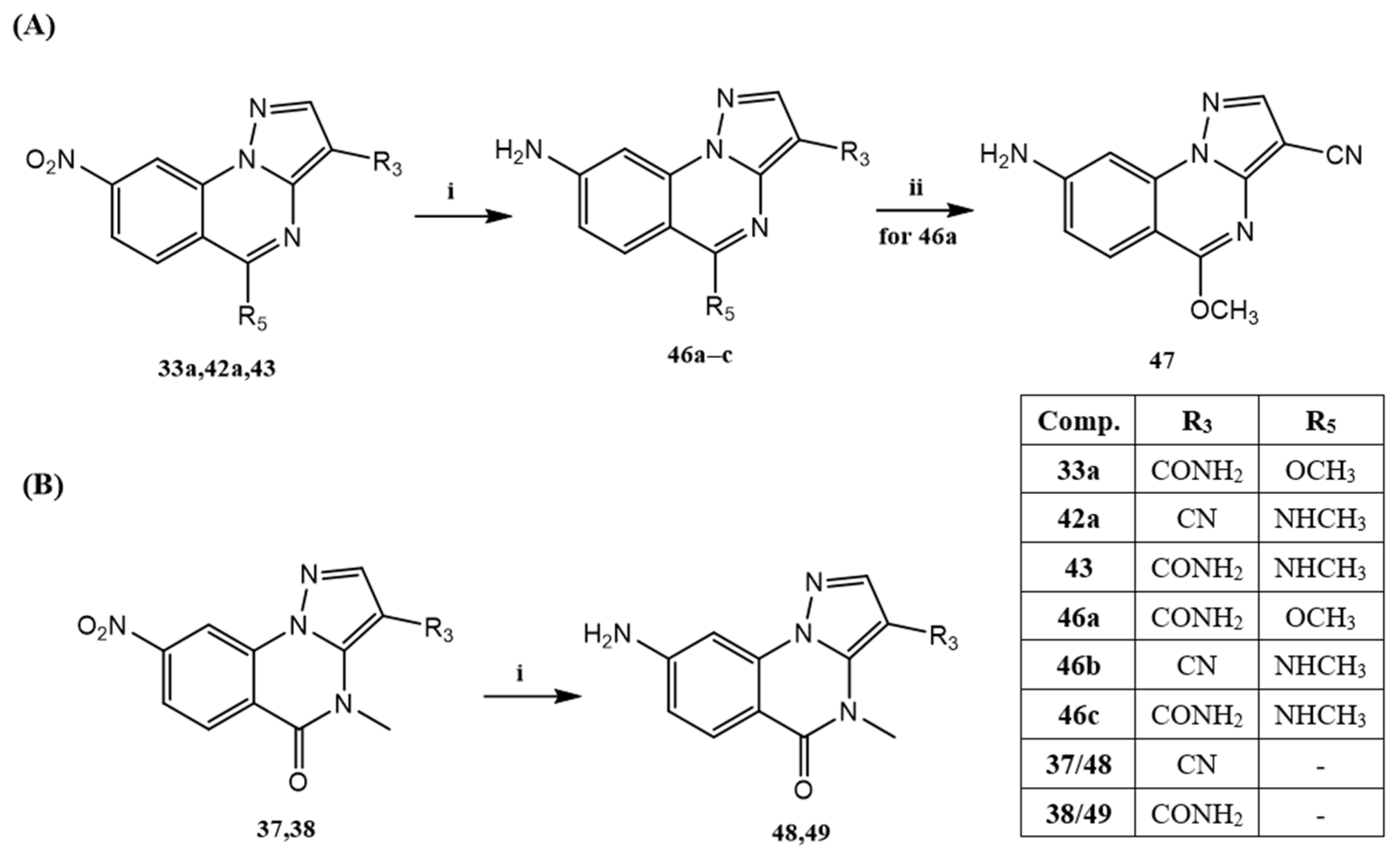
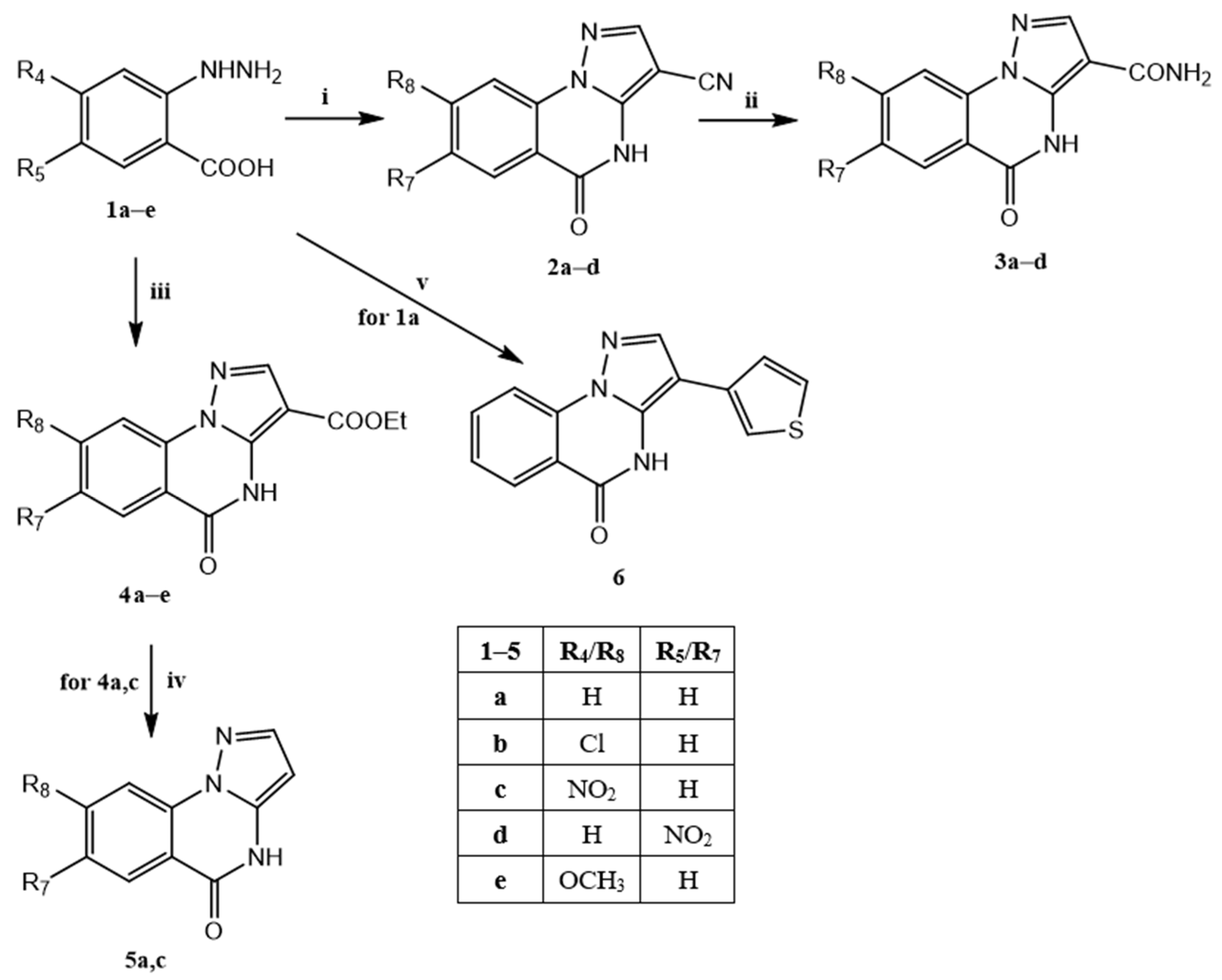
2.1. Synthesis
2.2. Biological Activity
2.3. Identification of Potential Protein Targets for Compounds 13i and 16
2.4. Molecular Docking
2.5. Affinity of 13i and 16 for JNK1-3
3. Materials and Methods
3.1. Chemistry
3.1.1. 5-Methoxypyrazolo[1,5-a]quinazoline-3-carboxamide (13a)
3.1.2. General Procedure for Synthesizing Compounds 13b, i
3.1.3. 5-(Benzyloxy)pyrazolo[1,5-a]quinazoline-3-carboxamide (13b)
3.1.4. 5-[(4-Sulfamoylbenzyl)oxy]pyrazolo[1,5-a]quinazoline-3-carboxamide (13i)
3.1.5. 5-[(4-(Methylsulfinyl)benzyloxy]pyrazolo[1,5-a]quinazoline-3-carboxamide (16)
3.1.6. 5-{[4-(Methanesulfonyl)phenyl]methoxy}-3-(thiophen-3-yl)pyrazolo[1,5-a]quinazoline (20)
3.1.7. General Procedure for Synthesizing Compounds 23a, c
3.1.8. 8-Chloro-5-methoxypyrazolo[1,5-a]quinazoline-3-carboxamide (23a)
3.1.9. 8-Chloro-5-(4-sulfamoylbenzyloxy)pyrazolo[1,5-a]quinazoline-3-carboxamide (23c)
3.1.10. (E)-8-Chloro-N-[(dimethylamino)methylene]-5-oxo-4,5-dihydropyrazolo[1,5-a]quinazoline-3-carboxamide (26)
3.1.11. General Procedure for Synthesizing Compounds 33a, b
3.1.12. 5-Methoxy-8-nitropyrazolo[1,5-a]quinazoline-3-carboxamide (33a)
3.1.13. 5-Methoxy-7-nitropyrazolo[1,5-a]quinazoline-3-carboxamide (33b)
3.1.14. 5-(Methylamino)-8-nitropyrazolo[1,5-a]quinazoline-3-carbonitrile (42a)
3.1.15. 5-(Methylamino)-8-nitropyrazolo[1,5-a]quinazoline-3-carboxamide (43)
3.2. Biological Assays
3.2.1. Analysis of AP-1/NF-κB Activation
3.2.2. Cytotoxicity Assay
3.2.3. Kinase Kd Determination
3.3. Molecular Modeling
3.3.1. PharmMapper Modeling
3.3.2. Molecular Docking
4. Conclusions
Supplementary Materials
Author Contributions
Funding
Institutional Review Board Statement
Informed Consent Statement
Data Availability Statement
Conflicts of Interest
References
- Medzhitov, R. Origin and physiological roles of inflammation. Nature 2008, 454, 428–435. [Google Scholar] [CrossRef] [PubMed]
- Chen, L.; Deng, H.; Cui, H.; Fang, J.; Zuo, Z.; Deng, J.; Li, Y.; Wang, X.; Zhao, L. Inflammatory responses and inflammation-associated diseases in organs. Oncotarget 2018, 9, 7204–7218. [Google Scholar] [CrossRef] [PubMed]
- Lee, Y.W.; Kim, P.H.; Lee, W.H.; Hirani, A.A. Interleukin-4, Oxidative Stress, Vascular Inflammation and Atherosclerosis. Biomol. Ther. 2010, 18, 135–144. [Google Scholar] [CrossRef] [PubMed]
- Munn, L.L. Cancer and inflammation. Wiley Interdiscip. Rev. Syst. Biol. Med. 2017, 9, e1370. [Google Scholar] [CrossRef] [PubMed]
- Rojas, M.; Woods, C.R.; Mora, A.L.; Xu, J.; Brigham, K.L. Endotoxin-induced lung injury in mice: Structural, functional, and biochemical responses. Am. J. Physiol. Lung Cell. Mol. Physiol. 2005, 288, L333–L341. [Google Scholar] [CrossRef]
- Wyss-Coray, T.; Rogers, J. Inflammation in Alzheimer disease-a brief review of the basic science and clinical literature. Cold Spring Harb. Perspect. Med. 2012, 2, a006346. [Google Scholar] [CrossRef] [PubMed]
- Nathan, C.; Ding, A. Nonresolving inflammation. Cell 2010, 140, 871–882. [Google Scholar] [CrossRef]
- Serhan, C.N. Treating inflammation and infection in the 21st century: New hints from decoding resolution mediators and mechanisms. FASEB J. 2017, 31, 1273–1288. [Google Scholar] [CrossRef]
- Panigrahy, D.; Gilligan, M.M.; Serhan, C.N.; Kashfi, K. Resolution of inflammation: An organizing principle in biology and medicine. Pharmacol. Ther. 2021, 227, 107879. [Google Scholar] [CrossRef]
- Fredman, G.; Serhan, C.N. Specialized pro-resolving mediators in vascular inflammation and atherosclerotic cardiovascular disease. Nat. Rev. Cardiol. 2024, 1–16. [Google Scholar] [CrossRef]
- Nauseef, W.M.; Borregaard, N. Neutrophils at work. Nat. Immunol. 2014, 15, 602–611. [Google Scholar] [CrossRef]
- Kobayashi, S.D.; DeLeo, F.R.; Quinn, M.T. Microbes and the fate of neutrophils. Immunol. Rev. 2023, 314, 210–228. [Google Scholar] [CrossRef]
- Fujiwara, N.; Kobayashi, K. Macrophages in inflammation. Curr. Drug Targets Inflamm. Allergy 2005, 4, 281–286. [Google Scholar] [CrossRef] [PubMed]
- Gubernatorova, E.O.; Namakanova, O.A.; Gorshkova, E.A.; Medvedovskaya, A.D.; Nedospasov, S.A.; Drutskaya, M.S. Novel Anti-Cytokine Strategies for Prevention and Treatment of Respiratory Allergic Diseases. Front. Immunol. 2021, 12, 601842. [Google Scholar] [CrossRef] [PubMed]
- Croft, M. The role of TNF superfamily members in T-cell function and diseases. Nat. Rev. Immunol. 2009, 9, 271–285. [Google Scholar] [CrossRef]
- Jiang, Y.; Kong, D.; Miao, X.; Yu, X.; Wu, Z.; Liu, H.; Gong, W. Anti-cytokine therapy and small molecule agents for the treatment of inflammatory bowel disease. Eur. Cytokine Netw. 2021, 32, 73–82. [Google Scholar] [CrossRef]
- Zhou, J.T.; Jiang, X.Y.; He, S.Y.; Jiang, H.L.; Feng, F.; Liu, W.Y.; Qu, W.; Sun, H.P. Rational Design of Multitarget-Directed Ligands: Strategies and Emerging Paradigms. J. Med. Chem. 2019, 62, 8881–8914. [Google Scholar] [CrossRef] [PubMed]
- Schepetkin, I.A.; Kirpotina, L.N.; Khlebnikov, A.I.; Hanks, T.S.; Kochetkova, I.; Pascual, D.W.; Jutila, M.A.; Quinn, M.T. Identification and characterization of a novel class of c-Jun N-terminal kinase inhibitors. Mol. Pharmacol. 2012, 81, 832–845. [Google Scholar]
- Kirpotina, L.N.; Schepetkin, I.A.; Hammaker, D.; Kuhs, A.; Khlebnikov, A.I.; Quinn, M.T. Therapeutic Effects of Tryptanthrin and Tryptanthrin-6-Oxime in Models of Rheumatoid Arthritis. Front. Pharmacol. 2020, 11, 1145. [Google Scholar] [CrossRef]
- Schepetkin, I.A.; Kirpotina, L.N.; Khlebnikov, A.I.; Jutila, M.A.; Quinn, M.T. Gastrin-releasing peptide/neuromedin B receptor antagonists PD176252, PD168368, and related analogs are potent agonists of human formyl-peptide receptors. Mol. Pharmacol. 2011, 79, 77–90. [Google Scholar] [CrossRef]
- Schepetkin, I.A.; Khlebnikov, A.I.; Quinn, M.T. N-benzoylpyrazoles are novel small-molecule inhibitors of human neutrophil elastase. J. Med. Chem. 2007, 50, 4928–4938. [Google Scholar] [CrossRef] [PubMed]
- Cantini, N.; Schepetkin, I.A.; Danilenko, N.V.; Khlebnikov, A.I.; Crocetti, L.; Giovannoni, M.P.; Kirpotina, L.N.; Quinn, M.T. Pyridazinones and Structurally Related Derivatives with Anti-Inflammatory Activity. Molecules 2022, 27, 3749. [Google Scholar] [CrossRef] [PubMed]
- Shaaban, M.A.; Kamal, A.M.; Faggal, S.I.; Farag, N.A.; Aborehab, N.M.; Elsahar, A.E.; Mohamed, K.O. Design, synthesis, and biological evaluation of new pyrazoloquinazoline derivatives as dual COX-2/5-LOX inhibitors. Archiv Pharmazie 2020, 353, 2000027. [Google Scholar] [CrossRef] [PubMed]
- Tageldin, G.N.; Ibrahim, T.M.; Fahmy, S.M.; Ashour, H.M.; Khalil, M.A.; Nassra, R.A.; Labouta, I.M. Synthesis, modeling and biological evaluation of some pyrazolo[3,4-d]pyrimidinones and pyrazolo[4,3-e][1,2,4]triazolo[4,3-a]pyrimidinones as anti-inflammatory agents. Bioorganic Chem. 2019, 90, 102844. [Google Scholar] [CrossRef] [PubMed]
- Guo, Y.; Zou, Y.; Chen, Y.; Deng, D.; Zhang, Z.; Liu, K.; Tang, M.; Yang, T.; Fu, S.; Zhang, C.; et al. Design, synthesis and biological evaluation of purine-based derivatives as novel JAK2/BRD4(BD2) dual target inhibitors. Bioorganic Chem. 2023, 132, 106386. [Google Scholar] [CrossRef] [PubMed]
- Abdelgawad, M.A.; Elkanzi, N.A.A.; Musa, A.; Ghoneim, M.M.; Ahmad, W.; Elmowafy, M.; Abdelhaleem Ali, A.M.; Abdelazeem, A.H.; Bukhari, S.N.A.; El-Sherbiny, M.; et al. Optimization of pyrazolo[1,5-a]pyrimidine based compounds with pyridine scaffold: Synthesis, biological evaluation and molecular modeling study. Arab. J. Chem. 2022, 15, 104015. [Google Scholar] [CrossRef]
- Mazgaeen, L.; Gurung, P. Recent Advances in Lipopolysaccharide Recognition Systems. Int. J. Mol. Sci. 2020, 21, 379. [Google Scholar] [CrossRef] [PubMed]
- Barnes, P.J.; Karin, M. Nuclear factor-κB: A pivotal transcription factor in chronic inflammatory diseases. N. Engl. J. Med. 1997, 336, 1066–1071. [Google Scholar] [CrossRef] [PubMed]
- Bruni, F.; Selleri, S.; Costanzo, A.; Guerrini, G.; Ciciani, G.; Costagli, C.; Sacco, C.; Donato, R. Pyrazolo[1,5-a]pyrido[3,4-e]pyrimidin-6-ones. II. Synthesis and in vitro antimicrobial evaluation. Farmaco 1997, 52, 639–643. [Google Scholar]
- Crocetti, L.; Guerrini, G.; Melani, F.; Vergelli, C.; Giovannoni, M.P. 4,5-Dihydro-5-Oxo-Pyrazolo[1,5-a]Thieno[2,3-c]Pyrimidine: A novel scaffold containing thiophene ring. chemical reactivity and in silico studies to predict the profile to GABAA receptor subtype. Molecules 2023, 28, 3054. [Google Scholar] [CrossRef]
- Bruni, F.; Selleri, S.; Costanzo, A.; Guerrini, G.; Casilli, M.L.; Giusti, L. Reactivity of 7-(2-dimethylamino vinyl)pyrazolo[1,5-a]pyrimidines: Synthesis of pyrazolo[1,5-a]pyrido[3,4-e]pyrimidine derivatives as potential benzodiazepine receptor ligands. 1. J. Heterocycl. Chem. 1994, 31, 1193–1198. [Google Scholar] [CrossRef]
- Ege, G.; Franz, H. Aminopyrazoles. V. Structure assignment of 1H-pyrazol-3-and 5-amines by means of the 1H NMR δ(4-H)-values of their exo-N-toluenesulfonyl derivatives. J. Heterocycl. Chem. 1984, 21, 689–695. [Google Scholar] [CrossRef]
- Stephenson, E.F.M. Indazole. Org. Synth. 1949, 29, 54. [Google Scholar] [CrossRef]
- Alexander, E. 4,5-Dihydro-5-oxopyrazolo[1,5-A]quinazoline-3-carboxylic Acid Derivatives. U.S. Patent 4,105,766, 8 August 1978. [Google Scholar]
- Pfannstiel, K. Prepration of o-hydrazinobenzoic acids and indazolones by the reduction of diazotized anthranilic acid with sulfurous acid. Berichte Dtsch. Chem. Gesellschaft. Abt. B Abh. 1942, 42, 1096–1107. [Google Scholar]
- Rodríguez, J.; Arán, V.J.; Boiani, L.; Olea-Azar, C.; Lavaggi, M.L.; González, M.; Cerecetto, H.; Maya, J.D.; Carrasco-Pozo, C.; Cosoy, H.S. New potent 5-nitroindazole derivatives as inhibitors of Trypanosoma cruzi growth: Synthesis, biological evaluation, and mechanism of action studies. Bioorg. Med. Chem. 2009, 17, 8186–8196. [Google Scholar] [CrossRef]
- May, J.A.; Dantanarayana, A.P.; McLaughlin, M.A.; Chen, H.H.; Severns, B.S.; Kelly, C.R.; Holt, W.F.; Young, R.; Glennon, R.A.; Dean, T.R. 6-Hydroxy-Indazole Derivatives for Treating Glaucoma. J. Med. Chem. 2015, 58, 8818–8833. [Google Scholar] [CrossRef] [PubMed]
- Guerrini, G.; Ciciani, G.; Ciattini, S.; Crocetti, L.; Daniele, S.; Martini, C.; Melani, F.; Vergelli, C.; Giovannoni, M.P. Pyrazolo[1,5-a]quinazoline scaffold as 5-deaza analogue of pyrazolo[5,1-c][1,2,4]benzotriazine system: Synthesis of new derivatives, biological activity on GABAA receptor subtype and molecular dynamic study. J. Enzyme Inhib. Med. Chem. 2016, 31, 195–204. [Google Scholar] [CrossRef] [PubMed]
- Crocetti, L.; Guerrini, G.; Melani, F.; Vergelli, C.; Mascia, M.P.; Giovannoni, M.P. GABA(A) Receptor Modulators with a Pyrazolo[1,5-a]quinazoline Core: Synthesis, Molecular Modelling Studies and Electrophysiological Assays. Int. J. Mol. Sci. 2022, 23, 13032. [Google Scholar] [CrossRef] [PubMed]
- Guerrini, G.; Ciciani, G.; Crocetti, L.; Daniele, S.; Ghelardini, C.; Giovannoni, M.P.; Iacovone, A.; Di Cesare Mannelli, L.; Martini, C.; Vergelli, C. Identification of a New Pyrazolo[1,5-a]quinazoline Ligand Highly Affine to γ-Aminobutyric Type A (GABA(A)) Receptor Subtype with Anxiolytic-Like and Antihyperalgesic Activity. J. Med. Chem. 2017, 60, 9691–9702. [Google Scholar] [CrossRef]
- Guerrini, G.; Vergelli, C.; Cantini, N.; Giovannoni, M.P.; Daniele, S.; Mascia, M.P.; Martini, C.; Crocetti, L. Synthesis of New GABA(A) Receptor Modulator with Pyrazolo[1,5-a]quinazoline (PQ) Scaffold. Int. J. Mol. Sci. 2019, 20, 1438. [Google Scholar] [CrossRef]
- Haddach, P.; Mustapha, F. Tricyclic Compounds and Pharmaceutical Uses Thereof. U.S. 2011/0065712, 2011. [Google Scholar]
- Bruni, F.; Selleri, S.; Costanzo, A.; Guerrini, G.; Casilli, M.L.; Sacco, C.; Donato, R. Pyrazolo[1,5-a]pyrido[3,4-e]pyrimidin-6-ones. I. Synthesis and in virtro antimicrobial evaluation. Il Farmaco 1996, 51, 451–455. [Google Scholar] [PubMed]
- Guerrini, G.; Ciciani, G.; Daniele, S.; Martini, C.; Costagli, C.; Guarino, C.; Selleri, S. A new class of pyrazolo[5,1-c][1,2,4]triazines as γ-aminobutyric type A (GABA(A)) receptor subtype ligand: Synthesis and pharmacological evaluation. Bioorganic Med. Chem. 2018, 26, 2475–2487. [Google Scholar] [CrossRef] [PubMed]
- Guha, M.; Mackman, N. LPS induction of gene expression in human monocytes. Cell Signal. 2001, 13, 85–94. [Google Scholar] [CrossRef]
- Takeuchi, O.; Akira, S. Toll-like receptors; their physiological role and signal transduction system. Int. Immunopharmacol. 2001, 1, 625–635. [Google Scholar] [CrossRef] [PubMed]
- Crocetti, L.; Guerrini, G.; Cantini, N.; Vergelli, C.; Melani, F.; Mascia, M.P. ‘Proximity frequencies’ a new parameter to evaluate the profile of GABAAR modulators. Bioorganic Med. Chem. Lett. 2021, 34, 127755. [Google Scholar] [CrossRef] [PubMed]
- Lu, D.J.; Furuya, W.; Grinstein, S. Involvement of multiple kinases in neutrophil activation. Blood Cells 1993, 19, 343–351. [Google Scholar] [PubMed]
- Bokoch, G.M. Chemoattractant signaling and leukocyte activation. Blood 1995, 86, 1649–1660. [Google Scholar] [CrossRef] [PubMed]
- DeLuca, S.; Khar, K.; Meiler, J. Fully Flexible Docking of Medium Sized Ligand Libraries with RosettaLigand. PLoS ONE 2015, 10, e0132508. [Google Scholar] [CrossRef] [PubMed]
- Combs, S.A.; Deluca, S.L.; Deluca, S.H.; Lemmon, G.H.; Nannemann, D.P.; Nguyen, E.D.; Willis, J.R.; Sheehan, J.H.; Meiler, J. Small-molecule ligand docking into comparative models with Rosetta. Nat. Protoc. 2013, 8, 1277–1298. [Google Scholar] [CrossRef]
- Lyskov, S.; Chou, F.C.; Conchúir, S.; Der, B.S.; Drew, K.; Kuroda, D.; Xu, J.; Weitzner, B.D.; Renfrew, P.D.; Sripakdeevong, P.; et al. Serverification of molecular modeling applications: The Rosetta Online Server that Includes Everyone (ROSIE). PLoS ONE 2013, 8, e63906. [Google Scholar] [CrossRef]
- Fox, T.; Coll, J.T.; Xie, X.; Ford, P.J.; Germann, U.A.; Porter, M.D.; Pazhanisamy, S.; Fleming, M.A.; Galullo, V.; Su, M.S.; et al. A single amino acid substitution makes ERK2 susceptible to pyridinyl imidazole inhibitors of p38 MAP kinase. Protein Sci. 1998, 7, 2249–2255. [Google Scholar] [CrossRef] [PubMed]
- Ohori, M.; Kinoshita, T.; Okubo, M.; Sato, K.; Yamazaki, A.; Arakawa, H.; Nishimura, S.; Inamura, N.; Nakajima, H.; Neya, M.; et al. Identification of a selective ERK inhibitor and structural determination of the inhibitor-ERK2 complex. Biochem. Biophys. Res. Commun. 2005, 336, 357–363. [Google Scholar] [CrossRef] [PubMed]
- Zheng, K.; Iqbal, S.; Hernandez, P.; Park, H.; LoGrasso, P.V.; Feng, Y. Design and synthesis of highly potent and isoform selective JNK3 inhibitors: SAR studies on aminopyrazole derivatives. J. Med. Chem. 2014, 57, 10013–10030. [Google Scholar] [CrossRef] [PubMed]
- Karaman, M.W.; Herrgard, S.; Treiber, D.K.; Gallant, P.; Atteridge, C.E.; Campbell, B.T.; Chan, K.W.; Ciceri, P.; Davis, M.I.; Edeen, P.T.; et al. A quantitative analysis of kinase inhibitor selectivity. Nat. Biotechnol. 2008, 26, 127–132. [Google Scholar] [CrossRef]
- Penning, T.D.; Thomas, S.A.; Hajduk, P.J.; Sauer, D.R.; Sarris, K.; Giranda, V.L. Pyrazoloquinazolinones as PARP Inhibitors. Patent Number WO2007/149907, 26 July 2007. [Google Scholar]
- Liu, X.; Ouyang, S.; Yu, B.; Liu, Y.; Huang, K.; Gong, J.; Zheng, S.; Li, Z.; Li, H.; Jiang, H. PharmMapper server: A web server for potential drug target identification using pharmacophore mapping approach. Nucleic Acids Res. 2010, 38, W609–W614. [Google Scholar] [CrossRef]
- Scapin, G.; Patel, S.B.; Lisnock, J.; Becker, J.W.; LoGrasso, P.V. The structure of JNK3 in complex with small molecule inhibitors: Structural basis for potency and selectivity. Chem. Biol. 2003, 10, 705–712. [Google Scholar] [CrossRef] [PubMed]
- Hartshorn, M.J.; Murray, C.W.; Cleasby, A.; Frederickson, M.; Tickle, I.J.; Jhoti, H. Fragment-based lead discovery using X-ray crystallography. J. Med. Chem. 2005, 48, 403–413. [Google Scholar] [CrossRef]
- Kothiwale, S.; Mendenhall, J.L.; Meiler, J. BCL::Conf: Small molecule conformational sampling using a knowledge based rotamer library. J. Cheminform. 2015, 7, 47. [Google Scholar] [CrossRef]















| R3 | R5 | R7 | R8 | AP Production IC50 (µM) | Cytotoxicity | |
|---|---|---|---|---|---|---|
| 13a | CONH2 | OCH3 | H | H | 24.4 ± 3.1 | N.T. |
| 13b | CONH2 | OCH2Ph | H | H | 4.8 ± 1.2 | N.T. |
| 13i | CONH2 | OCH2(4-SO2NH2)-Ph | H | H | 9.7 ± 2.4 | N.T. |
| 16 | CONH2 | OCH2(4-SOCH3)Ph | H | H | 7.9 ± 1.7 | N.T. |
| 20 | 3-tienyl | OSO2(4-Me)Ph | H | H | 13.3 ± 2.6 | N.T. |
| 23a | CONH2 | OCH3 | H | Cl | 7.9 ± 1.6 | N.T. |
| 23c | CONH2 | OCH2(4-SO2NH2)-Ph | H | Cl | 12.2 ± 2.1 | N.T. |
| 33a | CONH2 | OCH3 | H | NO2 | 14.1 ± 2.9 | N.T. |
| 33b | CONH2 | OCH3 | NO2 | H | 18.2 ± 2.5 | N.T. |
| 42a | CN | NHCH3 | H | NO2 | 30.1 ± 3.3 | N.T. |
| 43 | CONH2 | NHCH3 | H | NO2 | 11.8 ± 2.2 | N.T. |
| 26 | 49.3 ± 4.6 | N.T. | ||||
| 58c [42] | 34.1 ± 4.1 | N.T. |
| PDB | Kinase Target for Compound 13i | Fit Score | Normalized Fit Score |
| 1PME | Mitogen-activated protein kinase 1 (ERK2) | 2.976 | 0.9919 |
| 1MUO | Serine/threonine protein kinase 6 (PAK6) | 2.949 | 0.983 |
| 1W7H | Mitogen-activated protein kinase 14 (p38α) | 2.902 | 0.9672 |
| 3HVC | Mitogen-activated protein kinase 14 (p38α) | 2.876 | 0.9588 |
| 1PMV | Mitogen-activated protein kinase 10 (JNK3) | 2.81 | 0.9368 |
| 1UKI | Mitogen-activated protein kinase 8 (JNK1) | 2.807 | 0.9358 |
| 2P3G | MAP kinase-activated protein kinase 2 | 2.799 | 0.9329 |
| PDB | Kinase Target for Compound 16 | Fit Score | Normalized Fit Score |
| 1PME | Mitogen-activated protein kinase 1 (ERK2) | 2.991 | 0.9972 |
| 1W7H | Mitogen-activated protein kinase 14 (p38α) | 2.969 | 0.9896 |
| 3HVC | Mitogen-activated protein kinase 14 (p38α) | 2.893 | 0.9645 |
| 2VTA | Cell division protein kinase 2 | 2.873 | 0.9577 |
| 2BRG | Serine/threonine protein kinase Chk1 | 2.862 | 0.9539 |
| 1PMV | Mitogen-activated protein kinase 10 (JNK3) | 2.811 | 0.9372 |
| 1UKI | Mitogen-activated protein kinase 8 (JNK1) | 2.809 | 0.9364 |
| 2A4Z | Phosphatidylinositol-4,5-bisphosphate 3-kinase catalytic subunit γ-isoform | 2.796 | 0.9321 |
| 2C3I | Serine/threonine protein kinase Pim-1 | 2.725 | 0.9082 |
| Ligand | Interface Energy Scores and H-Bonded Groups in the Protein and Ligand | ||
|---|---|---|---|
| ERK2 (1TVO) | JNK3 (1PMV) | p38α (1W7H) | |
| 13i | −16.49 | −21.00 | −16.53 |
| Lys54, Arg67 (pyrazole nitrogen); Glu71 (amide NH2); Gln105 (amide oxygen); Met108 (sulfonamide NH2); Lys114 (sulfonamide oxygen) | Gln75, Glu111 (amide NH2); Lys93 (amide oxygen, pyrimidine nitrogen); Ser72 (sulfonamide oxygen); Asn152 (sulfonamide oxygen) | Gly110, Asp112 (amide NH2); Lys53 (sulfonamide oxygen); Glu71 (sulfonamide NH2) | |
| 16 | −17.45 | −19.36 | −17.29 |
| Glu71, Asp167 (amide NH2); Lys114 (sulfoxide oxygen) | Gln75, Asn194 (amide NH2); Lys93 (pyrazole nitrogen); Gln155 (sulfoxide oxygen) | Lys53 (pyrazole nitrogen); Asp168 (amide NH2) | |
| Compound | JNK1 | JNK2 | JNK3 |
|---|---|---|---|
| Kd (µM) | |||
| 13i | 10.9 ± 1.4 | 18.5 ± 2.3 | 9.0 ± 1.2 |
| 16 | 17.0 ± 2.1 | 21.0 ± 2.4 | 10.4 ± 1.5 |
Disclaimer/Publisher’s Note: The statements, opinions and data contained in all publications are solely those of the individual author(s) and contributor(s) and not of MDPI and/or the editor(s). MDPI and/or the editor(s) disclaim responsibility for any injury to people or property resulting from any ideas, methods, instructions or products referred to in the content. |
© 2024 by the authors. Licensee MDPI, Basel, Switzerland. This article is an open access article distributed under the terms and conditions of the Creative Commons Attribution (CC BY) license (https://creativecommons.org/licenses/by/4.0/).
Share and Cite
Crocetti, L.; Khlebnikov, A.I.; Guerrini, G.; Schepetkin, I.A.; Melani, F.; Giovannoni, M.P.; Quinn, M.T. Anti-Inflammatory Activity of Pyrazolo[1,5-a]quinazolines. Molecules 2024, 29, 2421. https://doi.org/10.3390/molecules29112421
Crocetti L, Khlebnikov AI, Guerrini G, Schepetkin IA, Melani F, Giovannoni MP, Quinn MT. Anti-Inflammatory Activity of Pyrazolo[1,5-a]quinazolines. Molecules. 2024; 29(11):2421. https://doi.org/10.3390/molecules29112421
Chicago/Turabian StyleCrocetti, Letizia, Andrei I. Khlebnikov, Gabriella Guerrini, Igor A. Schepetkin, Fabrizio Melani, Maria Paola Giovannoni, and Mark T. Quinn. 2024. "Anti-Inflammatory Activity of Pyrazolo[1,5-a]quinazolines" Molecules 29, no. 11: 2421. https://doi.org/10.3390/molecules29112421
APA StyleCrocetti, L., Khlebnikov, A. I., Guerrini, G., Schepetkin, I. A., Melani, F., Giovannoni, M. P., & Quinn, M. T. (2024). Anti-Inflammatory Activity of Pyrazolo[1,5-a]quinazolines. Molecules, 29(11), 2421. https://doi.org/10.3390/molecules29112421

