IrO2 Oxygen Evolution Catalysts Prepared by an Optimized Photodeposition Process on TiO2 Substrates
Abstract
1. Introduction
2. Results
2.1. Structural, Chemical, and Morphological Characterization of TiO2 Materials
2.2. Structural, Chemical, and Morphological Characterization of IrOx/TiO2 Materials
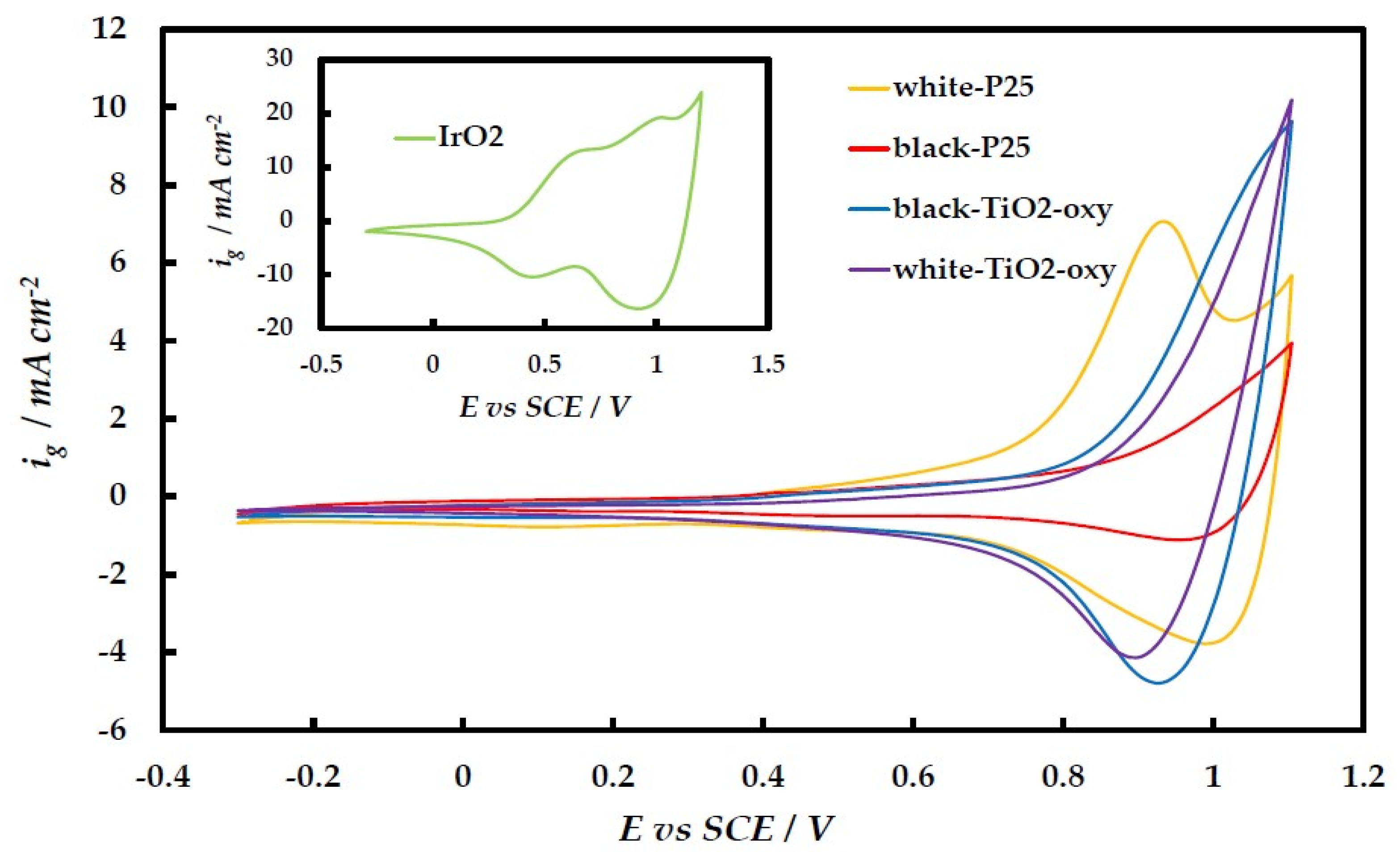
2.3. Electrochemical Performance
3. Discussion
3.1. Analysis of Possible Photodeposition Routes and Mechanisms for Ir Deposition onto TiO2 from Ir(III) Solutions
3.2. Evidence for the Photodeposition Mechanism and Form of Ir onto TiO2 from Ir(III) Solutions
3.3. Electrochemical Performance of the TiO2-Supported IrO2 towards OER
4. Experimental Section
4.1. Synthesis of IrO2 on Various TiO2 Powders
4.2. Structural, Chemical, and Morphological Measurements
4.3. Electrochemical Measurements
5. Conclusions
- a.
- We showed the successful UV light photodeposition of iridium from IrCl6−3 solutions onto TiO2 powders in the form of IrOx nanoparticles. This comprises an ambient temperature and simple chemistry alternative for the preparation of IrO2-TiO2 composites (advantages characteristic of photocatalytic synthetic methods when compared to other techniques for electrocatalyst preparation such as hydrothermal or/and sonochemical techniques; see, for example, [44,45]).
- b.
- All of the thus prepared IrOx/TiO2 catalysts (despite a moderate apparent electroactive surface area due to electronic conductivity losses) exhibited superior mass-specific activity for OER to that of the commercial unsupported IrO2 catalyst, as a result of increased intrinsic activity, due to Ir-Ti interactions.
- c.
- The best of the prepared catalysts (IrO2/TiO2 (white-P25), 26% w/w Ir, and IrO2/TiO2 (black-oxy), 28% w/w Ir), exhibited mass-specific OER activities higher than that of state-of-the-art supported IrOx powder catalysts (it can be estimated as high as 100 mA mg−1 Ir at η = 243 mV).
- d.
- The fact that the IrOx/TiO2 catalysts of this work outperformed IrOx catalysts supported on conducting substrates (such as doped TiO2 and antimony-doped SnO2 (ATO)) indicates that the well-dispersed IrOx particles anchored on TiO2 by the proposed photodeposition method can provide sufficient conductivity to the composite material.
Author Contributions
Funding
Institutional Review Board Statement
Informed Consent Statement
Data Availability Statement
Acknowledgments
Conflicts of Interest
References
- Guan, D.; Wang, B.; Zhang, J.; Shi, R.; Jiao, K.; Li, L.; Wang, Y.; Xie, B.; Zhang, Q.; Yu, J.; et al. Hydrogen society: From present to future. Energy Environ. Sci. 2023, 16, 4926–4943. [Google Scholar] [CrossRef]
- Lin, X.; Seow, J.Z.Y.; Xu, Z.J. A brief introduction of electrode fabrication for proton exchange membrane water electrolyzers. J. Phys. Energy 2023, 5, 034003. [Google Scholar] [CrossRef]
- Wu, Q.; Wang, Y.; Zhang, K.; Xie, Z.; Sun, K.; An, W.; Liang, X.; Zou, X. Advances and status of anode catalysts for proton exchange membrane water electrolysis technology. Mater. Chem. Front. 2023, 7, 1025–1045. [Google Scholar] [CrossRef]
- Liu, Y.; Liang, X.; Chen, H.; Gao, R.; Shi, L.; Yang, L.; Zou, X. Iridium-containing water-oxidation catalysts in acidic electrolyte. Chin. J. Catal. 2021, 42, 1054–1077. [Google Scholar] [CrossRef]
- Moriau, L.; Smiljanić, M.; Lončar, A.; Hodnik, N. Supported Iridium-based Oxygen Evolution Reaction Electrocatalysts-Recent Developments. ChemCatChem 2022, 14, e202200586. [Google Scholar] [CrossRef] [PubMed]
- Bagheri, S.; Muhd Julkapli, N.; Bee Abd Hamid, S. Titanium dioxide as a catalyst support in heterogeneous catalysis. Sci. World J. 2014, 2014, 727496. [Google Scholar] [CrossRef] [PubMed]
- Lavacchi, A.; Bellini, M.; Berretti, E.; Chen, Y.; Marchionni, A.; Miller, H.A.; Vizza, F. Titanium dioxide nanomaterials in electrocatalysis for energy. Curr. Opin. Electrochem. 2021, 28, 100720. [Google Scholar] [CrossRef]
- Bernt, M.; Siebel, A.; Gasteiger, H.A. Analysis of voltage losses in PEM water electrolyzers with low platinum group metal loadings. J. Electrochem. Soc. 2018, 165, F305–F314. [Google Scholar] [CrossRef]
- Bernt, M.; Schramm, C.; Schröter, J.; Gebauer, C.; Byrknes, J.; Eickes, C.; Gasteiger, H.A. Effect of the IrOx conductivity on the anode electrode/porous transport layer interfacial resistance in PEM water electrolyzers. J. Electrochem. Soc. 2021, 168, 084513. [Google Scholar] [CrossRef]
- Böhm, D.; Beetz, M.; Gebauer, C.; Bernt, M.; Schröter, J.; Kornherr, M.; Zoller, F.; Bein, T.; Fattakhova-Rohlfing, D. Highly conductive titania supported iridium oxide nanoparticles with low overall iridium density as OER catalyst for large-scale PEM electrolysis. Appl. Mater. Today 2021, 24, 101134. [Google Scholar] [CrossRef]
- Bernsmeier, D.; Bernicke, M.; Schmack, R.; Sachse, R.; Paul, B.; Bergmann, A.; Strasser, P.; Ortel, E.; Kraehnert, R. Oxygen Evolution Catalysts Based on Ir–Ti Mixed Oxides with Templated Mesopore Structure: Impact of Ir on Activity and Conductivity. ChemSusChem 2018, 11, 2367–2374. [Google Scholar] [CrossRef] [PubMed]
- Mazúr, P.; Polonský, J.; Paidar, M.; Bouzek, K. Non-conductive TiO2 as the anode catalyst support for PEM water electrolysis. Int. J. Hydrogen Energy 2021, 37, 12081–12088. [Google Scholar] [CrossRef]
- Lee, Y.; Scheurer, C.; Reuter, K. Epitaxial Core-Shell Oxide Nanoparticles: First-Principles Evidence for Increased Activity and Stability of Rutile Catalysts for Acidic Oxygen Evolution. ChemSusChem 2022, 15, e202200015. [Google Scholar] [CrossRef] [PubMed]
- Oakton, E.; Lebedev, D.; Povia, M.; Abbott, F.D.; Fabbri, E.; Fedorov, A.; Nachtegaal, M.; Copéret, C.; Schmidt, T.J. IrO2-TiO2: A High-Surface-Area, Active, and Stable Electrocatalyst for the Oxygen Evolution Reaction. ACS Catal. 2017, 7, 2346–2352. [Google Scholar] [CrossRef]
- Kim, M.Y.; Ban, H.J.; Song, Y.-W.; Lim, J.; Park, S.-J.; Kim, W.-J.; Hong, Y.; Kang, B.S.; Kim, H.-S. Synthesis and electrochemical properties of nanocomposite IrO2/TiO2 anode catalyst for SPE electrolysis cell. Int. J. Hydrogen Energy 2022, 47, 31098–311108. [Google Scholar] [CrossRef]
- Phama, C.V.; Bühlera, M.; Knöppel, J.; Bierling, M.; Seeberger, D.; Escalera-López, D.; Mayrhofer, K.J.J.; Cherevko, S.; Thiele, S. IrO2 coated TiO2 core-shell microparticles advance performance of low loading proton exchange membrane water electrolyzers. Appl. Catal. B Environ. 2020, 269, 118. [Google Scholar] [CrossRef]
- Ying, Y.; Salomon, J.F.G.; Lartundo-Rojas, L.; Moreno, A.; Meyer, R.; Damin, C.A.; Rhodes, C.P. Hydrous cobalt–iridium oxide two-dimensional nanoframes: Insights into activity and stability of bimetallic acidic oxygen evolution electrocatalysts. Nanoscale Adv. 2021, 3, 1976–1996. [Google Scholar] [CrossRef] [PubMed]
- Moriau, L.; Bele, M.; Marinko, Z.; Ruiz-Zepeda, F.; Podboršek, G.K.; Šala, M.; Šurca, A.K.; Kovač, J.; Arčon, I.; Jovanovič, P.; et al. Effect of the Morphology of the High-Surface-Area Support on the Performance of the Oxygen-Evolution Reaction for Iridium Nanoparticles. ACS Catal. 2021, 11, 670–681. [Google Scholar] [CrossRef] [PubMed]
- Liu, G.; Hou, F.; Wang, X.; Fang, B. Ir-IrO2 with heterogeneous interfaces and oxygen vacancies-rich surfaces for highly efficient oxygen evolution reaction. Appl. Surf. Sci. 2023, 615, 156333. [Google Scholar] [CrossRef]
- Nguyen, C.T.K.; Tran, N.Q.; Le, T.A.; Lee, H.-L. Covalently Bonded Ir(IV) on Conducted Blue TiO2 for Efficient Electrocatalytic Oxygen Evolution Reaction in Acid Media. Catalysts 2021, 11, 1176. [Google Scholar] [CrossRef]
- Yin, J.; Jin, J.; Lu, M.; Huang, B.; Zhang, H.; Peng, Y.; Xi, P.; Yan, C.-H. Iridium Single Atoms Coupling with Oxygen Vacancies Boosts Oxygen Evolution Reaction in Acid Media. J. Am. Chem. Soc. 2020, 142, 18378–18386. [Google Scholar] [CrossRef] [PubMed]
- Lu, Z.-X.; Shi, Y.; Yan, C.-F.; Guo, C.-Q.; Wang, Z.-D. Investigation on IrO2 supported on hydrogenated TiO2 nanotube array as OER electro-catalyst for water electrolysis. Int. J. Hydrogen Energy 2017, 42, 3572–3578. [Google Scholar] [CrossRef]
- Jang, H.; Lee, J. Iridium oxide fabrication and application: A review. J. Energy Chem. 2020, 46, 152–172. [Google Scholar] [CrossRef]
- Li, P.; Kong, L.; Liu, J.; Yan, L.; Liu, S. Photoassisted Hydrothermal Synthesis of IrOx−TiO2 for Enhanced Water Oxidation. ACS Sust. Chem. Eng. 2019, 7, 17941–17949. [Google Scholar] [CrossRef]
- Iwase, A.; Kato, H.; Kudo, A. A Novel Photodeposition Method in the Presence of Nitrate Ions for Loading of an Iridium Oxide Cocatalyst for Water Splitting. Chem. Lett. 2005, 34, 946–947. [Google Scholar] [CrossRef]
- Bledowski, M.; Wang, L.; Neubert, S.; Mitoraj, D.; Beranek, R. Improving the Performance of Hybrid Photoanodes for Water Splitting by Photodeposition of Iridium Oxide Nanoparticles. J. Phys. Chem. C 2014, 118, 18951–18961. [Google Scholar] [CrossRef]
- Wu, Q.; Xu, D.; Xue, N.; Liu, T.; Xiang, M.; Diao, P. Photo-catalyzed surface hydrolysis of iridium(III) ions on semiconductors: A facile method for the preparation of semiconductor/IrOx composite photoanodes toward oxygen evolution reaction. Phys. Chem. Chem. Phys. 2017, 19, 145–154. [Google Scholar] [CrossRef] [PubMed]
- Dimitrova, N.; Banti, A.; Spyridou, O.-N.; Papaderakis, P.; Georgieva, G.; Sotiropoulos, S.; Valova, E.; Armyanov, S.; Tatchev, D.; Hubin, A.; et al. Photodeposited IrO2 on TiO2 support as a catalyst for oxygen evolution reaction. J. Electroanal. Chem. 2021, 900, 115720. [Google Scholar] [CrossRef]
- Ouattara, L.; Fierro, S.; Frey, O.; Koudelka, M.; Comninellis, C. Electrochemical comparison of IrO2 prepared by anodic oxidation of pure iridium and IrO2 prepared by thermal decomposition of H2IrCl6 precursor solution. J. Appl. Electrochem. 2009, 39, 1361–1367. [Google Scholar] [CrossRef]
- Nga Ngo, T.H.; Love, J.; O’Mullane, A.P. Investigating the Influence of Amorphous/Crystalline Interfaces on the Stability of IrO2 for the Oxygen Evolution Reaction in Acidic Electrolyte. ChemElectroChem 2023, 10, e202300438. [Google Scholar] [CrossRef]
- Hsu, C.H.; Mansfeld, F. Technical note: Concerning the conversion of the constant phase element parameter Y0 into a capacitance. Corrosion 2001, 57, 747–748. [Google Scholar] [CrossRef]
- Brug, G.J.; van den Eeden, A.L.G.; Sluyters-Rehbach, M.; Sluyters, J.H. The analysis of electrode impedances complicated by the presence of a constant phase element. J. Electroanal. Chem. 1984, 176, 275–295. [Google Scholar] [CrossRef]
- Papaderakis, A.; Tsiplakides, D.; Balomenou, S.; Sotiropoulos, S. Electrochemical impedance studies of IrO2 catalysts for oxygen evolution. J. Electroanal. Chem. 2015, 757, 216–224. [Google Scholar] [CrossRef]
- Yong, X.; Schoonen, M.A.A. The absolute energy positions of conduction and valence bands of selected semiconducting minerals. Am. Mineral. 2000, 85, 543–556. [Google Scholar] [CrossRef]
- Hien, T.T.; Quang, N.D.; Kim, C.; Kim, D. Energy diagram analysis of photoelectrochemical water splitting process. Nano Energy 2019, 57, 660–669. [Google Scholar] [CrossRef]
- Bard, A.J.; Parsons, R.; Jordan, J. Standard Potentials in Aqueous Solution; M. Dekker: New York, NY, USA, 1985; pp. 385–834. [Google Scholar]
- Nong, H.N.; Oh, H.S.; Reier, T.; Willinger, E.; Willinger, M.G.; Petkov, V.; Teschner, D.; Strasser, P. Oxide-supported IrNiOx core-shell particles as efficient, cost-effective, and stable catalysts for electrochemical water splitting. Angew. Chem. Int. Ed. 2015, 54, 2975–2979. [Google Scholar] [CrossRef] [PubMed]
- Oh, H.-S.; Nong, H.N.; Reier, T.; Gliech, M.; Strasser, P. Oxide-supported Ir nanodendrites with high activity and durability for the oxygen evolution reaction in acid PEM water electrolyzers. Chem. Sci. 2015, 6, 3321–3328. [Google Scholar] [CrossRef] [PubMed]
- Wang, L.; Song, F.; Ozouf, G.; Geiger, D.; Morawietz, T.; Handl, M.; Gazdzicki, P.; Beauger, C.; Kaiser, U.; Hiesgen, R.; et al. Improving the activity and stability of Ir catalysts for PEM electrolyzer anodes by SnO2:Sb aerogel supports: Does V addition play an active role in electrocatalysis? J. Mater. Chem. A 2017, 5, 3172–3178. [Google Scholar] [CrossRef]
- Hu, W.; Chen, S.; Xia, Q. IrO2/Nb-TiO2 electrocatalyst for oxygen evolution reaction in acidic medium. Int. J. Hydrogen Energy 2014, 39, 6967–6976. [Google Scholar] [CrossRef]
- Papaderakis, A.; Pliatsikas, N.; Prochaska, C.; Vourlias, G.; Patsalas, P.; Tsiplakides, D.; Balomenou, S.; Sotiropoulos, S. Oxygen Evolution at IrO2 Shell–Ir−Ni Core Electrodes Prepared by Galvanic Replacement. J. Phys. Chem. C 2016, 120, 19995–20005. [Google Scholar] [CrossRef]
- Reier, T.; Pawolek, Z.; Cherevko, S.; Bruns, M.; Jones, T.; Teschner, D.; Selve, S.; Bergmann, A.; Nong, H.N.; Schlögl, R.; et al. Molecular insight in structure and activity of highly efficient, low-Ir Ir-Ni oxide catalysts for electrochemical water splitting (OER). J. Am. Chem. Soc. 2015, 137, 13031–13040. [Google Scholar] [CrossRef] [PubMed]
- Zhang, H.; Guan, D.; Gu, Y.; Xu, H.; Wang, C.; Shao, Z.; Guo, Y. Tuning synergy between nickel and iron in Ruddlesden–Popper perovskites through controllable crystal dimensionalities towards enhanced oxygen-evolving activity and stability. Carbon Energy 2024, e465. [Google Scholar] [CrossRef]
- Yadav, A.A.; Hunge, Y.M.; Kang, S.-W. Highly efficient porous morphology of cobalt molybdenum sulfide for overall water splitting reaction. Surf. Interfaces 2021, 23, 101020. [Google Scholar] [CrossRef]
- Yadav, A.A.; Hunge, Y.M.; Kang, S.-W. Ultrasound assisted synthesis of highly active nanoflower-like CoMoS4 electrocatalyst for oxygen and hydrogen evolution reactions. Ultrason. Sonochem. 2021, 72, 105454. [Google Scholar] [PubMed]













| Ti (%) | O (%) | C (%) | N (%) | |
|---|---|---|---|---|
| white-P25 | 25.9 | 62.7 | 11.4 | - |
| black-P25 | 26.8 | 69.6 | - | 3.6 |
| white-TiO2-oxy | 28.3 | 63.9 | 7.8 | - |
| black-TiO2-oxy | 28.9 | 68.7 | - | 2.4 |
| IrO2 | White-P25 | Black-TiO2-Oxy | |
|---|---|---|---|
| Rs/Ω cm2 | 2.97 | 4.96 | 4.94 |
| Qf/Ω−1sn1 cm−2 | 0.38 | 0.35 | 0.17 |
| n1 | 0.78 | 1.09 | 1.10 |
| Rf/Ω cm2 | 0.17 | 0.10 | 0.07 |
| Qdl/Ω−1sn2 cm−2 | 0.42 | 0.26 | 0.39 |
| n2 | 0.87 | 0.93 | 0.87 |
| Rct/Ω cm2 | 1.30 | 0.93 | 0.97 |
| (Cdl)Mansfeld/F cm−2 | 0.37 | 0.23 | 0.34 |
| (Cdl)Brug/F cm−2 | 0.36 | 0.23 | 0.33 |
| RctCdl/s (Mansfeld) | 0.48 | 0.21 | 0.33 |
| RctCdl/s (Brug) | 0.47 | 0.21 | 0.32 |
| IrO2/White-P25 | IrO2/Black-P25 | IrO2/White-Oxy | IrO2/Black-Oxy | IrO2 | |
|---|---|---|---|---|---|
| qm,IrOx/mC mgIr−1 | 85 | 54 | 94 | 125 | 199 |
| Reference | Type of Catalyst | im/mAmgIr−1 (η = 260 mV) | im/mAmgIr−1 (η = 280 mV) |
|---|---|---|---|
| [38] | Ir nanodentrites/ATO | 25 | 70 |
| [37] | IrNiOx/ATO | - | 90 |
| [39] | Ir/ATO-V | 30 | 121 |
| [40] | IrO2/Nb-TiO2 | - | 82 |
| [14] | IrO2-TiO2 | 10 | 30 |
| [20] | IrO2-TiO2 “blue” | - | 100 |
| This work | IrO2/white-P25 | 271 | 877 |
Disclaimer/Publisher’s Note: The statements, opinions and data contained in all publications are solely those of the individual author(s) and contributor(s) and not of MDPI and/or the editor(s). MDPI and/or the editor(s) disclaim responsibility for any injury to people or property resulting from any ideas, methods, instructions or products referred to in the content. |
© 2024 by the authors. Licensee MDPI, Basel, Switzerland. This article is an open access article distributed under the terms and conditions of the Creative Commons Attribution (CC BY) license (https://creativecommons.org/licenses/by/4.0/).
Share and Cite
Banti, A.; Zafeiridou, C.; Charalampakis, M.; Spyridou, O.-N.; Georgieva, J.; Binas, V.; Mitrousi, E.; Sotiropoulos, S. IrO2 Oxygen Evolution Catalysts Prepared by an Optimized Photodeposition Process on TiO2 Substrates. Molecules 2024, 29, 2392. https://doi.org/10.3390/molecules29102392
Banti A, Zafeiridou C, Charalampakis M, Spyridou O-N, Georgieva J, Binas V, Mitrousi E, Sotiropoulos S. IrO2 Oxygen Evolution Catalysts Prepared by an Optimized Photodeposition Process on TiO2 Substrates. Molecules. 2024; 29(10):2392. https://doi.org/10.3390/molecules29102392
Chicago/Turabian StyleBanti, Angeliki, Christina Zafeiridou, Michail Charalampakis, Olga-Niki Spyridou, Jenia Georgieva, Vasileios Binas, Efrosyni Mitrousi, and Sotiris Sotiropoulos. 2024. "IrO2 Oxygen Evolution Catalysts Prepared by an Optimized Photodeposition Process on TiO2 Substrates" Molecules 29, no. 10: 2392. https://doi.org/10.3390/molecules29102392
APA StyleBanti, A., Zafeiridou, C., Charalampakis, M., Spyridou, O.-N., Georgieva, J., Binas, V., Mitrousi, E., & Sotiropoulos, S. (2024). IrO2 Oxygen Evolution Catalysts Prepared by an Optimized Photodeposition Process on TiO2 Substrates. Molecules, 29(10), 2392. https://doi.org/10.3390/molecules29102392

