Electrocatalytic Performance of MnMoO4-rGO Nano-Electrocatalyst for Methanol and Ethanol Oxidation
Abstract
1. Introduction
2. Results and Discussion
2.1. Characterization of Catalysts
2.2. Electrochemical Studies
2.2.1. Electrode Preparation
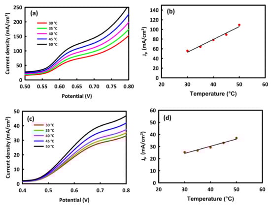
2.2.2. MnMoO4 and MnMoO4-rGO Nanocatalysts in MOR and EOR Processes
3. Experimental
3.1. Materials and Instruments
3.2. Synthesis of MnMoO4 and MnMoO4-rGO Nanocatalysts
4. Conclusions
Author Contributions
Funding
Institutional Review Board Statement
Informed Consent Statement
Data Availability Statement
Conflicts of Interest
Sample Availability
References
- Fadzillah, D.; Kamarudin, S.; Zainoodin, M.; Masdar, M. Critical challenges in the system development of direct alcohol fuel cells as portable power supplies: An overview. Int. J. Hydrogen Energy 2019, 44, 3031–3054. [Google Scholar] [CrossRef]
- Zhang, J.; Lu, S.; Xiang, Y.; Jiang, S.P. Intrinsic Effect of Carbon Supports on the Activity and Stability of Precious Metal Based Catalysts for Electrocatalytic Alcohol Oxidation in Fuel Cells: A Review. ChemSusChem 2020, 13, 2484–2502. [Google Scholar] [CrossRef] [PubMed]
- Wei, Y.; Qian, T.; Liu, J.; Guo, X.; Gong, Q.; Liu, Z.; Tian, B.; Qiao, J. Novel composite Nafion membranes modified with copper phthalocyanine tetrasulfonic acid tetrasodium salt for fuel cell application. J. Mater. 2019, 5, 252–257. [Google Scholar] [CrossRef]
- Gouda, M.H.; Tamer, T.M.; Eldin, M.S.M. A Highly Selective Novel Green Cation Exchange Membrane Doped with Ceramic Nanotubes Material for Direct Methanol Fuel Cells. Energies 2021, 14, 5664. [Google Scholar] [CrossRef]
- De Sá, M.H.; Pinto, A.M.F.R.; Oliveira, V.B. Passive direct methanol fuel cells as a sustainable alternative to batteries in hearing aid devices—An overview. Int. J. Hydrogen Energy 2022, 48, 16552–16567. [Google Scholar] [CrossRef]
- Elsaid, K.; Abdelfatah, S.; Elabsir, A.M.A.; Hassiba, R.J.; Ghouri, Z.K.; Vechot, L. Direct alcohol fuel cells: Assessment of the fuel’s safety and health aspects. Int. J. Hydrogen Energy 2021, 46, 30658–30668. [Google Scholar] [CrossRef]
- Ferreira-Pinto, L.; Parizi, M.P.S.; de Araújo, P.C.C.; Zanette, A.F.; Cardozo-Filho, L. Experimental basic factors in the production of H2 via supercritical water gasification. Int. J. Hydrogen Energy 2019, 44, 25365–25383. [Google Scholar] [CrossRef]
- Hassan, N.U.; Mandal, M.; Huang, G.; Firouzjaie, H.A.; Kohl, P.A.; Mustain, W.E. Achieving High-Performance and 2000 h Stability in Anion Exchange Membrane Fuel Cells by Manipulating Ionomer Properties and Electrode Optimization. Adv. Energy Mater. 2020, 10, 2001986. [Google Scholar] [CrossRef]
- Wala, M.; Simka, W. Effect of Anode Material on Electrochemical Oxidation of Low Molecular Weight Alcohols—A Review. Molecules 2021, 26, 2144. [Google Scholar] [CrossRef]
- Kaplan, D.; Tereshchuk, P.; Olewsky, C.; Keinan, L.; Ben-Yehuda, O.; Shviro, M.; Natan, A.; Peled, E. Study of Ruthenium-Contamination Effect on Oxygen Reduction Activity of Platinum-Based PEMFC and DMFC Cathode Catalyst. J. Electrochem. Soc. 2022, 169, 014517. [Google Scholar] [CrossRef]
- Banerjee, A.; Calay, R.K.; Eregno, F.E. Role and important properties of a membrane with its recent advancement in a microbial fuel cell. Energies 2022, 15, 444. [Google Scholar] [CrossRef]
- Javed, R.M.N.; Al-Othman, A.; Tawalbeh, M.; Olabi, A.G. Recent developments in graphene and graphene oxide materials for polymer electrolyte membrane fuel cells applications. Renew. Sustain. Energy Rev. 2022, 168, 112836. [Google Scholar] [CrossRef]
- Yaqoob, L.; Noor, T.; Iqbal, N. Recent progress in development of efficient electrocatalyst for methanol oxidation reaction in direct methanol fuel cell. Int. J. Energy Res. 2020, 45, 6550–6583. [Google Scholar] [CrossRef]
- Siwal, S.; Thakur, S.; Zhang, Q.; Thakur, V. Electrocatalysts for electrooxidation of direct alcohol fuel cell: Chemistry and applications. Mater. Today Chem. 2019, 14, 100182. [Google Scholar] [CrossRef]
- Liu, Z.; Abdelhafiz, A.A.; Jiang, Y.; Qu, C.; Chang, I.; Zeng, J.; Liao, S.; Alamgir, F.M. Pt/graphene with intercalated carbon nanotube spacers introduced by electrostatic self-assembly for fuel cells. Mater. Chem. Phys. 2019, 225, 371–378. [Google Scholar] [CrossRef]
- Beltrán-Gastélum, M.; Salazar-Gastélum, M.; Flores-Hernández, J.; Botte, G.; Pérez-Sicairos, S.; Romero-Castañon, T.; Reynoso-Soto, E.; Félix-Navarro, R. Pt-Au nanoparticles on graphene for oxygen reduction reaction: Stability and performance on proton exchange membrane fuel cell. Energy 2019, 181, 1225–1234. [Google Scholar] [CrossRef]
- Peera, S.G.; Lee, T.G.; Sahu, A.K. Pt-rare earth metal alloy/metal oxide catalysts for oxygen reduction and alcohol oxidation reactions: An overview. Sustain. Energy Fuels 2019, 3, 1866–1891. [Google Scholar] [CrossRef]
- Ando, F.; Gunji, T.; Tanabe, T.; Fukano, I.; Abruna, H.D.; Wu, J.; Ohsaka, T.; Matsumoto, F. Enhancement of the oxygen reduction reaction activity of Pt by tuning its d-band center via transition metal oxide support interactions. ACS Catal. 2021, 11, 9317–9332. [Google Scholar] [CrossRef]
- Chang, J.; Ko, T.J.; Je, M.; Chung, H.S.; Han, S.S.; Shawkat, M.S.; Wang, M.; Park, S.J.; Yu, S.M.; Bae, T.S.; et al. Layer Orientation-Engineered Two-Dimensional Platinum Ditelluride for High-Performance Direct Alcohol Fuel Cells. ACS Energy Lett. 2021, 6, 3481–3487. [Google Scholar] [CrossRef]
- Kaur, A.; Kaur, G.; Singh, P.P.; Kaushal, S. Supported bimetallic nanoparticles as anode catalysts for direct methanol fuel cells: A review. Int. J. Hydrogen Energy 2021, 46, 15820–15849. [Google Scholar] [CrossRef]
- Dong, Q.; Ryu, H.; Lei, Y. Metal oxide based non-enzymatic electrochemical sensors for glucose detection. Electrochim. Acta 2021, 370, 137744. [Google Scholar] [CrossRef]
- Tonelli, D.; Scavetta, E.; Gualandi, I. Electrochemical deposition of nanomaterials for electrochemical sensing. Sensors 2019, 19, 1186. [Google Scholar] [CrossRef] [PubMed]
- Zhou, J.H.; Yuan, K.; Zhou, L.; Guo, Y.; Luo, M.Y.; Guo, X.Y.; Meng, Q.Y.; Zhang, Y.W. Boosting Electrochemical Reduction of CO2 at a Low Overpotential by Amorphous Ag-Bi-S-O Decorated Bio Nanocrystals. Angew. Chem. 2019, 131, 14335–14339. [Google Scholar] [CrossRef]
- Zhang, X.; Liu, X.; Zeng, Y.; Tong, Y.; Lu, X. Oxygen Defects in Promoting the Electrochemical Performance of Metal Oxides for Supercapacitors: Recent Advances and Challenges. Small Methods 2020, 4, 1900823. [Google Scholar] [CrossRef]
- Pi, S.-Y.; Sun, M.-Y.; Zhao, Y.-F.; Chong, Y.-X.; Chen, D.; Liu, H. Electroporation-coupled electrochemical oxidation for rapid and efficient water disinfection with Co3O4 nanowire arrays-modified graphite felt electrodes. Chem. Eng. J. 2022, 435, 134967. [Google Scholar] [CrossRef]
- Askari, N.; Baghizadeh, A.; Beheshti-Marnani, A.; Askari, M.B.; Di Bartolomeo, A. NiO–Co3O4–rGO as a Multicomponent Transition Metal Oxide Nanocatalyst for Ultra-level Detection of Nitrite in Beef and Tap Water Samples. Adv. Mater. Interfaces 2022, 9, 2201180. [Google Scholar] [CrossRef]
- Yadav, S.; Devi, A. Recent advancements of metal oxides/Nitrogen-doped graphene nanocomposites for supercapacitor electrode materials. J. Energy Storage 2020, 30, 101486. [Google Scholar] [CrossRef]
- Kandasamy, M.; Sahoo, S.; Nayak, S.K.; Chakraborty, B.; Rout, C.S. Recent advances in engineered metal oxide nanostructures for supercapacitor applications: Experimental and theoretical aspects. J. Mater. Chem. A 2021, 9, 17643–17700. [Google Scholar] [CrossRef]
- Askari, M.B.; Rozati, S.M.; Salarizadeh, P.; Saeidfirozeh, H.; Di Bartolomeo, A. A remarkable three-component RuO2-MnCo2O4/rGO nanocatalyst towards methanol electrooxidation. Int. J. Hydrogen Energy 2021, 46, 36792–36800. [Google Scholar] [CrossRef]
- Li, W.; Wen, X.; Wang, X.; Li, J.; Ren, E.; Shi, Z.; Liu, C.; Mo, D.; Mo, S. Oriented growth of δ-MnO2 nanosheets over core-shell Mn2O3@ δ-MnO2 catalysts: An interface-engineered effects for enhanced low-temperature methanol oxidation. Mol. Catal. 2021, 514, 111847. [Google Scholar] [CrossRef]
- Jinxi, W.; Aimin, W.; Ghasemi, A.K.; Lashkenari, M.S.; Pashai, E.; Karaman, C.; Niculina, D.E.; Karimi-Maleh, H. Tailoring of ZnFe2O4-ZrO2-based nanoarchitectures catalyst for supercapacitor electrode material and methanol oxidation reaction. Fuel 2023, 334, 126685. [Google Scholar] [CrossRef]
- Mu, X.; Du, J.; Zhang, Y.; Liang, Z.; Wang, H.; Huang, B.; Zhou, J.; Pan, X.; Zhang, Z.; Xie, E. Construction of hierarchical CNT/rGO-supported MnMoO4 nanosheets on Ni foam for high-performance aqueous hybrid supercapacitors. ACS Appl. Mater. Interfaces 2017, 9, 35775–35784. [Google Scholar] [CrossRef] [PubMed]
- Askari, M.B.; Salarizadeh, P.; Di Bartolomeo, A.; Zadeh, M.H.R.; Beitollahi, H.; Tajik, S. Hierarchical nanostructures of MgCo2O4 on reduced graphene oxide as a high-performance catalyst for methanol electro-oxidation. Ceram. Int. 2021, 47, 16079–16085. [Google Scholar] [CrossRef]
- Askari, M.B.; Salarizadeh, P.; Di Bartolomeo, A.; Şen, F. Enhanced electrochemical performance of MnNi2O4/rGO nanocomposite as pseudocapacitor electrode material and methanol electro-oxidation catalyst. Nanotechnology 2021, 32, 325707. [Google Scholar] [CrossRef] [PubMed]
- Mai, L.Q.; Yang, F.; Zhao, Y.L.; Xu, X.; Xu, L.; Luo, Y.Z. Hierarchical MnMoO4/CoMoO4 heterostructured nanowires with enhanced supercapacitor performance. Nat. Commun. 2011, 2, 381. [Google Scholar] [CrossRef]
- El-Shamy, O.A.; Deyab, M. Improvement of the corrosion resistance of epoxy coatings with the use of a novel zinc oxide-alginate nanoparticles compound. Mater. Lett. 2023, 331, 133402. [Google Scholar] [CrossRef]
- Askari, M.B.; Rozati, S.M. Construction of Co3O4-Ni3S4-rGO ternary hybrid as an efficient nanoelectrocatalyst for methanol and ethanol oxidation in alkaline media. J. Alloys Compd. 2022, 900, 163408. [Google Scholar] [CrossRef]
- Amirabad, T.N.; Ensafi, A.A.; Rezaei, B. Boosting supercapacitor performance by in-situ modification of binder-free electrodes with green synthesized Zn-doped Fe2O3 nanoparticles on 2D-MoS2@rGO nanosheets. Fuel 2022, 330, 125645. [Google Scholar] [CrossRef]
- Moghadam, M.T.T.; Seifi, M.; Askari, M.B.; Azizi, S. ZnO-MWCNT@ Fe3O4 as a novel catalyst for methanol and ethanol oxidation. J. Phys. Chem. Solids 2022, 165, 110688. [Google Scholar] [CrossRef]
- Askari, M.B.; Rozati, S.M.; Di Bartolomeo, A. Fabrication of Mn3O4-CeO2-rGO as Nanocatalyst for Electro-Oxidation of Methanol. Nanomaterials 2022, 12, 1187. [Google Scholar] [CrossRef]
- Noor, T.; Pervaiz, S.; Iqbal, N.; Nasir, H.; Zaman, N.; Sharif, M.; Pervaiz, E. Nanocomposites of NiO/CuO Based MOF with rGO: An Efficient and Robust Electrocatalyst for Methanol Oxidation Reaction in DMFC. Nanomaterials 2020, 10, 1601. [Google Scholar] [CrossRef] [PubMed]
- Askari, N.; Askari, M.B.; Di Bartolomeo, A. Electrochemical Alcohol Oxidation and Biological Properties of Mn3O4-Co3O4-rGO. J. Electrochem. Soc. 2022, 169, 106511. [Google Scholar] [CrossRef]
- Padmanathan, N.; Shao, H.; Selladurai, S.; Glynn, C.; O’Dwyer, C.; Razeeb, K.M. Pseudocapacitance of α-CoMoO4 nanoflakes in non-aqueous electrolyte and its bi-functional electro catalytic activity for methanol oxidation. Int. J. Hydrogen Energy 2015, 40, 16297–16305. [Google Scholar] [CrossRef]
- Liaqat, R.; Mansoor, M.A.; Iqbal, J.; Jilani, A.; Shakir, S.; Kalam, A.; Wageh, S. Fabrication of Metal (Cu and Cr) Incorporated Nickel Oxide Films for Electrochemical Oxidation of Methanol. Crystals 2021, 11, 1398. [Google Scholar] [CrossRef]
- Askari, M.B.; Azizi, S.; Moghadam, M.T.T.; Seifi, M.; Rozati, S.M.; Di Bartolomeo, A. MnCo2O4/NiCo2O4/rGO as a Catalyst Based on Binary Transition Metal Oxide for the Methanol Oxidation Reaction. Nanomaterials 2022, 12, 4072. [Google Scholar] [CrossRef]
- Eshghi, A.; Behbahani, E.S.; Kheirmand, M.; Ghaedi, M. Pd, Pd–Ni and Pd–Ni–Fe nanoparticles anchored on MnO2/Vulcan as efficient ethanol electro-oxidation anode catalysts. Int. J. Hydrogen Energy 2019, 44, 28194–28205. [Google Scholar] [CrossRef]
- Azizi, S.; Askari, M.B.; Moghadam, M.T.T.; Seifi, M.; Di Bartolomeo, A. Ni3S4/NiS/rGO as a promising electrocatalyst for methanol and ethanol electro-oxidation. Nano Futures 2023, 7, 015002. [Google Scholar] [CrossRef]
- Jothi, P.R.; Kannan, S.; Velayutham, G. Enhanced methanol electro-oxidation over in-situ carbon and graphene supported one dimensional NiMoO4 nanorods. J. Power Sources 2015, 277, 350–359. [Google Scholar] [CrossRef]
- Devi, S.; Sunaina; Wadhwa, R.; Yadav, K.K.; Jha, M. Understanding the origin of ethanol oxidation from ultrafine nickel manganese oxide nanosheets derived from spent alkaline batteries. J. Clean. Prod. 2022, 376, 134147. [Google Scholar] [CrossRef]








| Electrocatalyst | Electrolyte Composition | Peak Potential (V) | Current Density (mA cm−2) | Scan Rate (mV/s) | Reference |
|---|---|---|---|---|---|
| MnMoO4-rGO | 1 M Methanol/0.5 M KOH | 0.62 | 60.59 | 40 | This work |
| MnMoO4-rGO | 0.8 M Ethanol/0.5 M KOH | 0.67 | 25.39 | 40 | This work |
| Mn3O4-CeO2-rGO | 0.8 M Methanol/1 M KOH | 0.51 | 17.7 | 90 | [40] |
| rGO-NiO/CuO MOF | 3 M Methanol/1 M NaOH | 0.9 | 437.28 | 50 | [41] |
| Mn3O4-Co3O4-rGO | 1 M Methanol/0.5 M KOH | 0.48 | 16.5 | 100 | [42] |
| α-CoMoO4 nanoflakes | 1 M Methanol/0.5 M KOH | 0.8 | 25 | 50 | [43] |
| NiO-CuO | 0.3 M Methanol/0.5 M NaOH | 0.6 | 12.2 | 50 | [44] |
| MnCo2O4/NiCo2O4/rGO | 2 M Methanol/2 M KOH | 0.58 | 24.76 | 20 | [45] |
| Pd-Ni Fe/MnO2/Vulcan | 0.2 M KOH/1 M Ethanol | +0.05–+0.3 | 3.03 | 50 | [46] |
| Ni3S4-NiS-rGO | 0.7 M Methanol/1 M KOH | 0.54 | 55 | 60 | [47] |
| NiMoO4 | 1 M KOH/2 M Methanol | 0.45 | 49 | 50 | [48] |
| Ni6MnO8 | 1 M KOH/1 M Ethanol | 1.53 | 13.69 | 50 | [49] |
Disclaimer/Publisher’s Note: The statements, opinions and data contained in all publications are solely those of the individual author(s) and contributor(s) and not of MDPI and/or the editor(s). MDPI and/or the editor(s) disclaim responsibility for any injury to people or property resulting from any ideas, methods, instructions or products referred to in the content. |
© 2023 by the authors. Licensee MDPI, Basel, Switzerland. This article is an open access article distributed under the terms and conditions of the Creative Commons Attribution (CC BY) license (https://creativecommons.org/licenses/by/4.0/).
Share and Cite
Salarizadeh, P.; Azizi, S.; Beydaghi, H.; Bagheri, A.; Askari, M.B. Electrocatalytic Performance of MnMoO4-rGO Nano-Electrocatalyst for Methanol and Ethanol Oxidation. Molecules 2023, 28, 4613. https://doi.org/10.3390/molecules28124613
Salarizadeh P, Azizi S, Beydaghi H, Bagheri A, Askari MB. Electrocatalytic Performance of MnMoO4-rGO Nano-Electrocatalyst for Methanol and Ethanol Oxidation. Molecules. 2023; 28(12):4613. https://doi.org/10.3390/molecules28124613
Chicago/Turabian StyleSalarizadeh, Parisa, Sadegh Azizi, Hossein Beydaghi, Ahmad Bagheri, and Mohammad Bagher Askari. 2023. "Electrocatalytic Performance of MnMoO4-rGO Nano-Electrocatalyst for Methanol and Ethanol Oxidation" Molecules 28, no. 12: 4613. https://doi.org/10.3390/molecules28124613
APA StyleSalarizadeh, P., Azizi, S., Beydaghi, H., Bagheri, A., & Askari, M. B. (2023). Electrocatalytic Performance of MnMoO4-rGO Nano-Electrocatalyst for Methanol and Ethanol Oxidation. Molecules, 28(12), 4613. https://doi.org/10.3390/molecules28124613
