Advances in the Chemistry and Biology of Specialised Pro-Resolving Mediators (SPMs) †
Abstract
1. Introduction
2. Lipoxins
3. Aspirin-Triggered Lipoxins
4. Biological Activity of LXA4
5. Metabolic Stability of Native Lipoxins
6. Development of Stable Lipoxin Analogues
7. LXA4 Triene Core Modifications
8. LXA4 Lower Chain Modifications
9. Upper-Chain Modifications
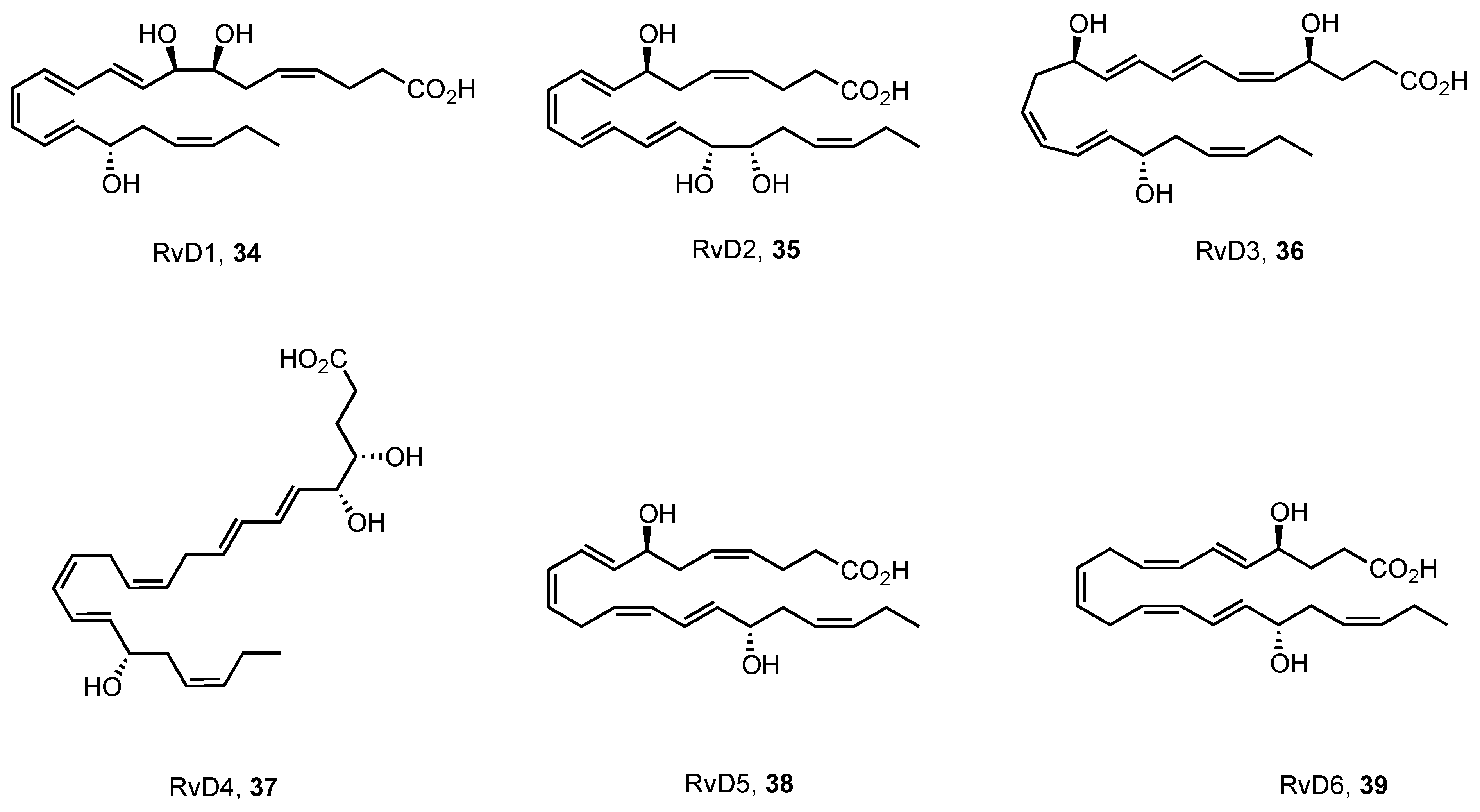
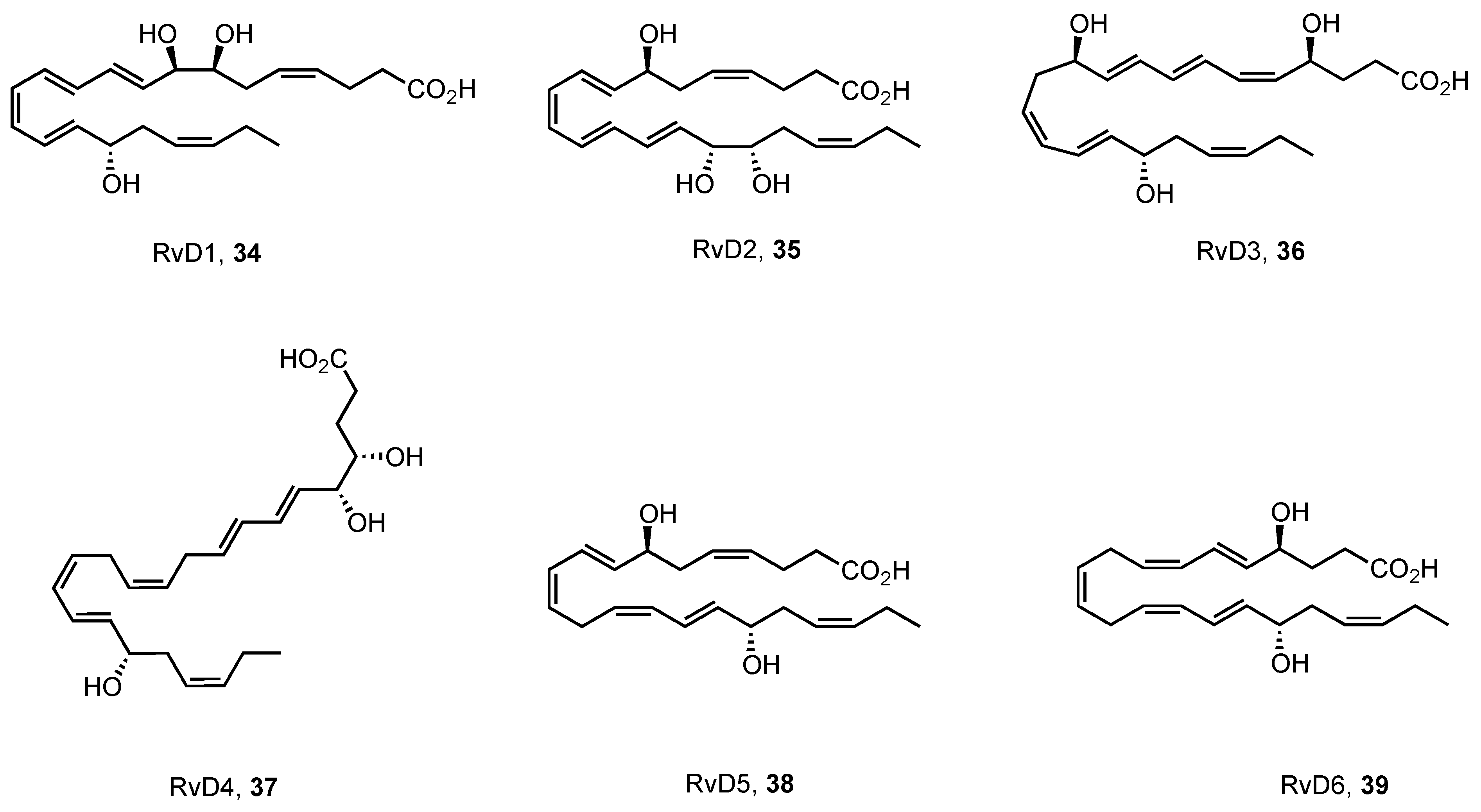
10. Resolvins
11. RvD1 in Inflammation
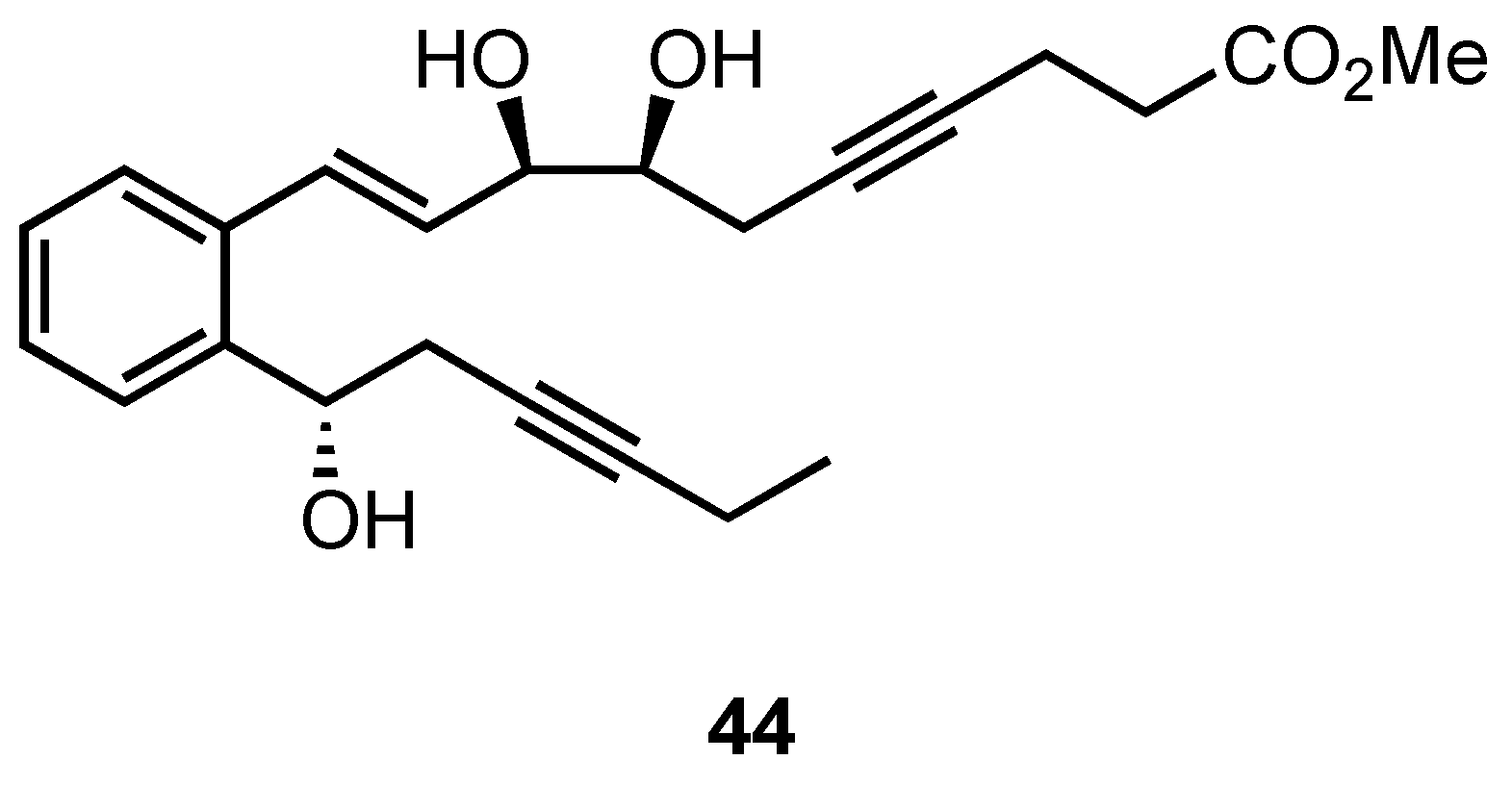
12. Synthetic Analogues of RvD1
13. Synthetic Analogues of RvE1
14. Conflicting Views on the Detection of SPMs and the Identification of Proposed GPCR
15. Conclusions
Author Contributions
Funding
Institutional Review Board Statement
Informed Consent Statement
Data Availability Statement
Conflicts of Interest
References
- Punchard, N.A.; Whelan, C.J.; Adcock, I. The Journal of Inflammation. J. Inflamm. 2004, 1, 1–4. [Google Scholar] [CrossRef] [PubMed][Green Version]
- Netea, M.G.; Balkwill, F.; Chonchol, M.; Cominelli, F.; Donath, M.Y.; Giamarellos-Bourboulis, E.J.; Golenbock, D.; Gresnigt, M.S.; Heneka, M.T.; Hoffman, H.M.; et al. A Guiding Map for Inflammation. Nat. Immunol. 2017, 18, 826–831. [Google Scholar] [CrossRef] [PubMed]
- Liew, F.Y. The Role of Innate Cytokines in Inflammatory Response. Immunol. Lett. 2003, 85, 131–134. [Google Scholar] [CrossRef] [PubMed]
- Schett, G.; Neurath, M.F. Resolution of Chronic Inflammatory Disease: Universal and Tissue-Specific Concepts. Nat. Commun. 2018, 9, 1–8. [Google Scholar] [CrossRef]
- Sherwood, E.R.; Toliver-Kinsky, T. Mechanisms of the Inflammatory Response. Best Pract. Res Clin. Anaesthesiol. 2004, 18, 385–405. [Google Scholar] [CrossRef] [PubMed]
- McMahon, B.; Godson, C. Lipoxins: Endogenous Regulators of Inflammation. Am. J. Physiol. Renal. Physiol. 2004, 286, 189–201. [Google Scholar] [CrossRef] [PubMed]
- Basil, M.C.; Levy, B.D. Specialized Pro-Resolving Mediators: Endogenous Regulators of Infection and Inflammation. Nat. Rev. Immunol. 2016, 16, 51–67. [Google Scholar] [CrossRef] [PubMed]
- Vidar Hansen, T.; Serhan, C.N. Protectins: Their Biosynthesis, Metabolism and Structure-Functions. Biochem. Pharmacol. 2022, 206, 115330. [Google Scholar] [CrossRef] [PubMed]
- Serhan, C.N.; Hamberg, M.; Samuelsson, B. Trihydroxytetraenes: A Novel Series of Compounds formed from Arachidonic Acid in Human Leukocytes. Biochem. Biophys. Res. Commun. 1984, 118, 943–949. [Google Scholar] [CrossRef]
- Serhan, C.N.; Hamberg, M.; Samuelsson, B. Lipoxins: Novel Series of Biologically Active Compounds Formed from Arachidonic Acid in Human Leukocytes. Proc. Nati. Acad. Sci. USA 1984, 81, 5335–5339. [Google Scholar] [CrossRef]
- Sheppard, K.-A.; Greenberg, S.M.; Funk, C.D.; Romano, M.; Serhan, C.N. Lipoxin Generation by Human Megakaryocyte-Induced 12-Lipoxygenase. Mol. Cell Res. 1992, 2, 223–234. [Google Scholar] [CrossRef] [PubMed]
- Claria, J.; Serhan, C.N. Aspirin Triggers Previously Undescribed Bioactive Eicosanoids by Human Endothelial Cell-Leukocyte Interactions. Med. Sci. 1995, 92, 9475–9479. [Google Scholar] [CrossRef] [PubMed]
- Crofford, L.J.; Lipsky, P.E.; Brooks, P.; Abramson, S.B.; Simon, L.S.; Van De Putte, L.B.A. Basic Biology and Clinical Application of Specific Cyclooxygenase-2 Inhibitors. Arthritis. Rheum. 2000, 43, 4–13. [Google Scholar] [CrossRef] [PubMed]
- Romano, M.; Cianci, E.; Simiele, F.; Recchiuti, A. Lipoxins and Aspirin-Triggered Lipoxins in Resolution of Inflammation. Eur. J. Pharmacol. 2015, 760, 49–63. [Google Scholar] [CrossRef]
- Gilroy, D.W. The Role of Aspirin-Triggered Lipoxins in the Mechanism of Action of Aspirin. Prostaglandins Leukot. Essent. Fatty Acids 2005, 73, 203–210. [Google Scholar] [CrossRef] [PubMed]
- Takano, T.; Fiore, S.; Maddox, J.F.; Brady, H.R.; Petasis, N.A.; Serhan, C.N. Aspirin-Triggered 15-Epi-Lipoxin A 4 (LXA 4) and LXA 4 Stable Analogues Are Potent Inhibitors of Acute Inflammation: Evidence for Anti-Inflammatory Receptors. J. Exp. Med. 1997, 185, 1693–1704. [Google Scholar] [CrossRef] [PubMed]
- Available online: https://www.guidetopharmacology.org/GRAC/ObjectDisplayForward?objectId=223 (accessed on 6 May 2024).
- Fiore, S.; Ryeom, S.W.; Weller, P.F.; Serhan, C.N. Lipoxin Recognition Sites. Specific Binding of Labeled Lipoxin A4 with Human Neutrophils. J. Biol. Chem. 1992, 267, 16168–16176. [Google Scholar] [CrossRef]
- Fiore, S.; Maddox, J.F.; Daniel Perez, H.; Serhan, C.N. Identification of a Human CDNA Encoding a Functional High Affinity Lipoxin A 4 Receptor. J. Exp. Med. 1994, 180, 253–260. [Google Scholar] [CrossRef]
- Colgan, S.P.; Serhan, C.N.; Parkos, C.A.; Delp-Archer, C.; Madara, J.L. Lipoxin A4 Modulates Transmigration of Human Neutrophils across Intestinal Epithelial Monolayers. J. Clin. Investig. 1993, 92, 75–82. [Google Scholar] [CrossRef]
- Brady, H.R. Leukocyte Adhesion Molecules and Kidney Diseases. Kidney Int. 1994, 45, 1285–1300. [Google Scholar] [CrossRef]
- Chiang, N.; Serhan, C.N.; Dahlén, S.E.; Drazen, J.M.; Hay, D.W.P.; Enrico Rovati, G.; Shimizu, T.; Yokomizo, T.; Brink, C. The Lipoxin Receptor ALX: Potent Ligand-Specific and Stereoselective Actions in Vivo. Pharmacol. Rev. 2006, 58, 463–487. [Google Scholar] [CrossRef] [PubMed]
- Chandrasekharan, J.A.; Sharma-Wali, N. Lipoxins: Nature’s Way to Resolve Inflammation. J. Inflamm. Res. 2015, 8, 181–192. [Google Scholar]
- Serhan, C.N. Lipoxins and Aspirin-Triggered 15-Epi-Lipoxin Biosynthesis: An Update and Role in Anti-Inflammation and pro-Resolution. Prostaglandins Other Lipid Mediat. 2002, 68, 433–455. [Google Scholar] [CrossRef] [PubMed]
- Serhan, C.N.; Fiore, S.; Brezinski, D.A.; Lynch, S. Lipoxin A4 Metabolism by Differentiated HL-60 Cells and Human Monocytes: Conversion to Novel 15-Oxo and Dihydro Products. Biochemistry 1993, 32, 6313–6319. [Google Scholar] [CrossRef] [PubMed]
- Clish, C.B.; Levy, B.D.; Chiang, N.; Tai, H.H.; Serhan, C.N. Oxidoreductases in Lipoxin A4 Metabolic Inactivation: A Novel Role for 15-Oxoprostaglandin 13-Reductase/Leukotriene B4 12-Hydroxydehydrogenase in Inflammation. J. Biol. Chem. 2000, 275, 25372–25380. [Google Scholar] [CrossRef] [PubMed]
- Sumimoto, H.; Isobe, R.; Mizukami, Y.; Minakami, S. Formation of a Novel 20-Hydroxylated Metabolite of Lipoxin A4 by Human Neutrophil Microsomes. FEBS Lett. 1993, 315, 205–210. [Google Scholar] [CrossRef] [PubMed]
- Duffy, C.D.; Guiry, P.J. Recent Advances in the Chemistry and Biology of Stable Synthetic Lipoxin Analogues. Med. Chem. Comm. 2010, 1, 249–265. [Google Scholar] [CrossRef]
- Petasis, N.A.; Keledjian, R.; Sun, Y.P.; Nagulapalli, K.C.; Tjonahen, E.; Yang, R.; Serhan, C.N. Design and Synthesis of Benzo-Lipoxin A4 Analogs with Enhanced Stability and Potent Anti-Inflammatory Properties. Bioorg. Med. Chem. Lett. 2008, 18, 1382–1387. [Google Scholar] [CrossRef]
- O’Sullivan, T.P.; Vallin, K.S.A.; Shah, S.T.A.; Fakhry, J.; Maderna, P.; Scannell, M.; Sampaio, A.L.F.; Perretti, M.; Godson, C.; Guiry, P.J. Aromatic Lipoxin A4 and Lipoxin B4 Analogues Display Potent Biological Activities. J. Med. Chem. 2007, 50, 5894–5902. [Google Scholar] [CrossRef]
- Sun, Y.-P.; Tjonahen, E.; Keledjian, R.; Zhu, M.; Yang, R.; Recchiuti, A.; Pillai, P.S.; Petasis, N.A.; Serhan, C.N. Anti-inflammatory and pro-resolving properties of benzo-lipoxin A4 analogs. Prostaglandins Leukot. Essent. Fatty Acids 2009, 81, 357–366. [Google Scholar] [CrossRef]
- Börgeson, E.; Docherty, N.G.; Murphy, M.; Rodgers, K.; Ryan, A.; O’Sullivan, T.P.; Guiry, P.J.; Goldschmeding, R.; Higgins, D.F.; Godson, C. Lipoxin A4 and benzo-lipoxin A4 attenuate experimental renal fibrosis. FASEB J. 2011, 25, 2967–2979. [Google Scholar] [CrossRef] [PubMed]
- Börgeson, E.; Johnson, A.M.F.; Lee, Y.S.; Till, A.; Syed, G.H.; Ali-Shah, S.T.; Guiry, P.J.; Dalli, J.; Colas, R.A.; Serhan, C.N.; et al. Lipoxin A4 attenuates obesity-induced adipose inflammation and associated liver and kidney disease. Cell Metab. 2015, 22, 125–137. [Google Scholar] [CrossRef]
- Brennan, E.P.; Nolan, K.A.; Börgeson, E.; Gough, O.S.; McEvoy, C.M.; Docherty, N.G.; Higgins, D.F.; Murphy, M.; Sadlier, D.; Ali-Shah, S.T.; et al. Lipoxins attenuate renal fibrosis by inducing let-7c and suppressing TGFβR1. J. Am. Soc. Nephrol. 2013, 24, 627–637. [Google Scholar] [CrossRef] [PubMed]
- Brennan, E.P.; Mohan, M.; McClelland, A.; Tikellis, C.; Ziemann, M.; Kaspi, A.; Gray, S.P.; Pickering, R.; Tan, S.M.; Ali-Shah, S.T.; et al. Lipoxins regulate the early growth response–1 network and reverse diabetic kidney disease. J. Am. Soc. Nephrol. 2018, 29, 1437–1448. [Google Scholar] [CrossRef] [PubMed]
- Haberlin, G.G.; McCarthy, C.; Doran, R.; Loscher, C.E.; Guiry, P.J. Asymmetric Synthesis and Biological Evaluation of 1,3- and 1,4-Disubstituted Benzo-Type Lipoxin A4 Analogues. Tetrahedron 2014, 70, 6859–6869. [Google Scholar] [CrossRef]
- de Gaetano, M.; Tighe, C.; Gahan, K.; Zanetti, A.; Chen, J.; Newson, J.; Cacace, A.; Marai, M.; Gaffney, A.; Brennan, E.; et al. Asymmetric Synthesis and Biological Screening of Quinoxaline-Containing Synthetic Lipoxin A4 Mimetics (QNX-SLXms). J. Med. Chem. 2021, 64, 9193–9216. [Google Scholar] [CrossRef]
- de Gaetano, M.; Butler, E.; Gahan, K.; Zanetti, A.; Marai, M.; Chen, J.; Cacace, A.; Hams, E.; Maingot, C.; McLoughlin, A.; et al. Asymmetric Synthesis and Biological Evaluation of Imidazole- and Oxazole-Containing Synthetic Lipoxin A4 Mimetics (SLXms). Eur. J. Med. Chem. 2019, 162, 80–108. [Google Scholar] [CrossRef] [PubMed]
- Li, Y.; Wang, X.; Ren, J.; Lan, X.; Li, J.; Yi, J.; Liu, L.; Han, Y.; Zhang, S.; Li, D.; et al. Identification and Application of Anti-Inflammatory Compounds Screening System Based on RAW264.7 Cells Stably Expressing NF-ΚB-Dependent SEAP Reporter Gene. Pharmacol. Toxicol. 2017, 18, 1–13. [Google Scholar] [CrossRef] [PubMed][Green Version]
- Tighe, C.; Owen, B.; Guiry, P.J. Asymmetric Synthesis of Benzothiophene-Containing Lipoxin A4 Analogues with Lower-Chain Modifications. Synthesis 2023, 55, 1274–1284. [Google Scholar]
- Serhan, C.N.; Maddox, J.F.; Petasis, N.A.; Akritopoulou-Zanze, I.; Papayianni, A.; Brady, H.R.; Colgan, S.P.; Madara, J.L. Design of Lipoxin A4 Stable Analogs That Block Transmigration and Adhesion of Human Neutrophils. Biochemistry 1995, 34, 14609–14615. [Google Scholar] [CrossRef]
- Clish, C.B.; O’Brien, J.A.; Gronert, K.; Stahl, G.L.; Petasis, N.A.; Serhan, C.N. Local and Systemic Delivery of a Stable Aspirin-Triggered Lipoxin Prevents Neutrophil Recruitment in Vivo. Pharmacology 1999, 96, 8247–8252. [Google Scholar] [CrossRef][Green Version]
- Owen, B.; de Gaetano, M.; Gaffney, A.; Godson, C.; Guiry, P.J. Synthesis and Biological Evaluation of Bicyclo[1.1.1]pentane-Containing Aromatic Lipoxin A4 Analogues. Org. Lett. 2022, 24, 6049–6053. [Google Scholar] [CrossRef] [PubMed]
- Bannenberg, G.; Moussignac, R.L.; Gronert, K.; Devchand, P.R.; Schmidt, B.A.; Guilford, W.J.; Bauman, J.G.; Subramanyam, B.; Perez, H.D.; Parkinson, J.F.; et al. Lipoxins and Novel 15-Epi-Lipoxin Analogs Display Potent Anti-Inflammatory Actions after Oral Administration. Br. J. Pharmacol. 2004, 143, 43–52. [Google Scholar] [CrossRef]
- Tungen, J.E.; Gerstmann, L.; Vik, A.; De Matteis, R.; Colas, R.A.; Dalli, J.; Chiang, N.; Serhan, C.N.; Kalesse, M.; Hansen, T.V. Resolving Inflammation: Synthesis, Configurational Assignment, and Biological Evaluations of RvD1n−3 DPA. Chem. Eur. J. 2019, 25, 1476–1480. [Google Scholar] [CrossRef] [PubMed]
- Hansen, T.V.; Vik, A.; Serhan, C.N. The Protectin Family of Specialized Pro-Resolving Mediators: Potent Immunoresolvents Enabling Innovative Approaches to Target Obesity and Diabetes. Front. Pharmacol. 2019, 9, 1582. [Google Scholar] [CrossRef]
- Sun, Y.P.; Oh, S.F.; Uddin, J.; Yang, R.; Gotlinger, K.; Campbell, E.; Colgan, S.P.; Petasis, N.A.; Serhan, C.N. Resolvin D1 and Its Aspirin-Triggered 17R Epimer: Stereochemical Assignments, Anti-Inflammatory Properties, and Enzymatic Inactivation. J. Biol. Chem. 2007, 282, 9323–9334. [Google Scholar] [CrossRef]
- Vik, A.; Dalli, J.; Hansen, T.V. Recent Advances in the Chemistry and Biology of Anti-Inflammatory and Specialized pro-Resolving Mediators Biosynthesized from n-3 Docosapentaenoic Acid. Bioorg. Med. Chem. Lett. 2017, 27, 2259–2266. [Google Scholar] [CrossRef] [PubMed]
- Ji, R.R.; Xu, Z.Z.; Strichartz, G.; Serhan, C.N. Emerging Roles of Resolvins in the Resolution of Inflammation and Pain. Trends Neurosci. 2011, 34, 599–609. [Google Scholar] [CrossRef]
- Schwab, J.M.; Chiang, N.; Arita, M.; Serhan, C.N. Resolvin E1 and Protectin D1 Activate Inflammation-Resolution Programmes. Nature 2007, 447, 869–874. [Google Scholar] [CrossRef]
- Hong, S.; Gronert, K.; Devchand, P.R.; Moussignac, R.L.; Serhan, C.N. Novel Docosatrienes and 17S-Resolvins Generated from Docosahexaenoic Acid in Murine Brain, Human Blood, and Glial Cells: Autacoids in Anti-Inflammation. J. Biol. Chem. 2003, 278, 14677–14687. [Google Scholar] [CrossRef]
- Serhan, C.N.; Hong, S.; Gronert, K.; Colgan, S.P.; Devchand, P.R.; Mirick, G.; Moussignac, R.L. Resolvins: A Family of Bioactive Products of Omega-3 Fatty Acid Transformation Circuits Initiated by Aspirin Treatment That Counter Proinflammation Signals. J. Exp. Med. 2002, 196, 1025–1037. [Google Scholar] [CrossRef]
- Duffield, J.S.; Hong, S.; Vaidya, V.S.; Lu, Y.; Fredman, G.; Serhan, C.N.; Bonventre, J.V. Resolvin D Series and Protectin D1 Mitigate Acute Kidney Injury 1. J. Immunol. 2006, 177, 5902–5911. [Google Scholar] [CrossRef]
- Dartt, D.A.; Hodges, R.R.; Li, D.; Shatos, M.A.; Lashkari, K.; Serhan, C.N. Conjunctival Goblet Cell Secretion Stimulated by Leukotrienes Is Reduced by Resolvins D1 and E1 To Promote Resolution of Inflammation. J. Immunol. 2011, 186, 4455–4466. [Google Scholar] [CrossRef] [PubMed]
- Gao, Y.; Zhang, H.; Luo, L.; Lin, J.; Li, D.; Zheng, S.; Huang, H.; Yan, S.; Yang, J.; Hao, Y.; et al. Resolvin D1 Improves the Resolution of Inflammation via Activating NF-ΚB P50/P50–Mediated Cyclooxygenase-2 Expression in Acute Respiratory Distress Syndrome. J. Immunol. 2017, 199, 2043–2054. [Google Scholar] [CrossRef]
- Krishnamoorthy, S.; Recchiuti, A.; Chiang, N.; Fredman, G.; Serhan, C.N. Resolvin D1 Receptor Stereoselectivity and Regulation of Inflammation and Proresolving MicroRNAs. Am. J. Path. 2012, 180, 2018–2027. [Google Scholar] [CrossRef]
- Krishnamoorthy, S.; Recchiuti, A.; Chiang, N.; Yacoubian, S.; Lee, C.H.; Yang, R.; Petasis, N.A.; Serhan, C.N. Resolvin D1 Binds Human Phagocytes with Evidence for Proresolving Receptors. Proc. Natl. Acad. Sci. USA 2010, 107, 1660–1665. [Google Scholar] [CrossRef]
- Kasuga, K.; Yang, R.; Porter, T.F.; Agrawal, N.; Petasis, N.A.; Irimia, D.; Toner, M.; Serhan, C.N. Rapid Appearance of Resolvin Precursors in Inflammatory Exudates: Novel Mechanisms in Resolution. J. Immun. 2008, 181, 8677–8687. [Google Scholar] [CrossRef] [PubMed]
- Tang, H.; Liu, Y.; Yan, C.; Petasis, N.A.; Serhan, C.N.; Gao, H. Protective Actions of Aspirin-Triggered (17R) Resolvin D1 and Its Analogue, 17R-Hydroxy-19-Para-Fluorophenoxy-Resolvin D1 Methyl Ester, in C5a-Dependent IgG Immune Complex–Induced Inflammation and Lung Injury. J. Immunol. 2014, 193, 3769–3778. [Google Scholar] [CrossRef] [PubMed]
- Orr, S.K.; Colas, R.A.; Dalli, J.; Chiang, N.; Serhan, C.N. Proresolving Actions of a New Resolvin D1 Analog Mimetic Qualifies as an Immunoresolvent. Am. J. Physiol. Lung Cell. Mol. Physiol. 2015, 308, 904–911. [Google Scholar] [CrossRef] [PubMed]
- Serhan, C.N.; Petasis, N.A. Resolvins and Protectins in Inflammation Resolution. Chem. Rev. 2011, 111, 5922–5943. [Google Scholar] [CrossRef]
- Serhan, C.N. Pro-resolving Lipid Mediators are Leads for Resolution Physiology. Nature 2014, 510, 92–101. [Google Scholar] [CrossRef] [PubMed]
- Ishimura, K.; Fukuda, H.; Fujiwara, K.; Muromoto, R.; Hirashima, K.; Murakami, Y.; Watanabe, M.; Ishihara, J.; Matsuda, T.; Shuto, S. Synthesis of Resolvin E1 and its Conformationally Restricted Cyclopropane Congeners with Potent Anti-inflammatory effect. ACS Med. Chem. Lett. 2021, 12, 256–261. [Google Scholar] [CrossRef] [PubMed]
- Schebb, N.H.; Kuhn, H.; Kahnt, A.S.; Rund, K.M.; O’Donnell, V.B.; Flamand, N.; Peters-Golden, M.; Jakobsson, P.-J.; Weylandt, K.H.; Rohwer, N.; et al. Formation, Signalling and Occurrence of Specialized Pro-Resolving Lipid Mediators—What is the Evidence so far? Front. Pharmacol. 2022, 13, e838782. [Google Scholar] [CrossRef] [PubMed]
- Hanson, J.; Ferreiros, N.; Pirotte, B.; Geisslinger, G.; Ofermanns, S. Heterologously Expressed Formyl Peptide Receptor 2 (FPR2/ALX) Does Not Respond to Lipoxin A4. Biochem. Pharm. 2013, 85, 1795–1802. [Google Scholar] [CrossRef]
- Merlin, J.; Julia Park, J.; Vandekolk, T.H.; Fabb, S.A.; Allinne, J.; Summers, R.J.; Langmead, C.J.; Riddy, D.M. Multipathway In Vitro Pharmacological Characterization of Specialized Proresolving G Protein-Coupled Receptors. Mol. Pharm. 2022, 101, 246–256. [Google Scholar] [CrossRef]





















Disclaimer/Publisher’s Note: The statements, opinions and data contained in all publications are solely those of the individual author(s) and contributor(s) and not of MDPI and/or the editor(s). MDPI and/or the editor(s) disclaim responsibility for any injury to people or property resulting from any ideas, methods, instructions or products referred to in the content. |
© 2024 by the authors. Licensee MDPI, Basel, Switzerland. This article is an open access article distributed under the terms and conditions of the Creative Commons Attribution (CC BY) license (https://creativecommons.org/licenses/by/4.0/).
Share and Cite
Byrne, L.; Guiry, P.J. Advances in the Chemistry and Biology of Specialised Pro-Resolving Mediators (SPMs). Molecules 2024, 29, 2233. https://doi.org/10.3390/molecules29102233
Byrne L, Guiry PJ. Advances in the Chemistry and Biology of Specialised Pro-Resolving Mediators (SPMs). Molecules. 2024; 29(10):2233. https://doi.org/10.3390/molecules29102233
Chicago/Turabian StyleByrne, Lucy, and Patrick J. Guiry. 2024. "Advances in the Chemistry and Biology of Specialised Pro-Resolving Mediators (SPMs)" Molecules 29, no. 10: 2233. https://doi.org/10.3390/molecules29102233
APA StyleByrne, L., & Guiry, P. J. (2024). Advances in the Chemistry and Biology of Specialised Pro-Resolving Mediators (SPMs). Molecules, 29(10), 2233. https://doi.org/10.3390/molecules29102233

