Recent Advances in the Total Synthesis of Spirotryprostatin Alkaloids
Abstract
1. Introduction
2. The Synthetic Approach Employing Tryptophan Derivatives as the Starting Material
2.1. The Oxidative Rearrangement Methodology
2.1.1. Danishefsky’s Total Synthesis
2.1.2. Granesan’s Total Synthesis
2.1.3. Zhang’s Total Synthesis
2.2. Mannich Reaction
Danishefsky’s Total Synthesis
2.3. Intramolecular N-Acyliminium Ion Spirocyclic Cyclization
Horne’s Total Synthesis
3. 1,3-Dipolar Cycloaddition
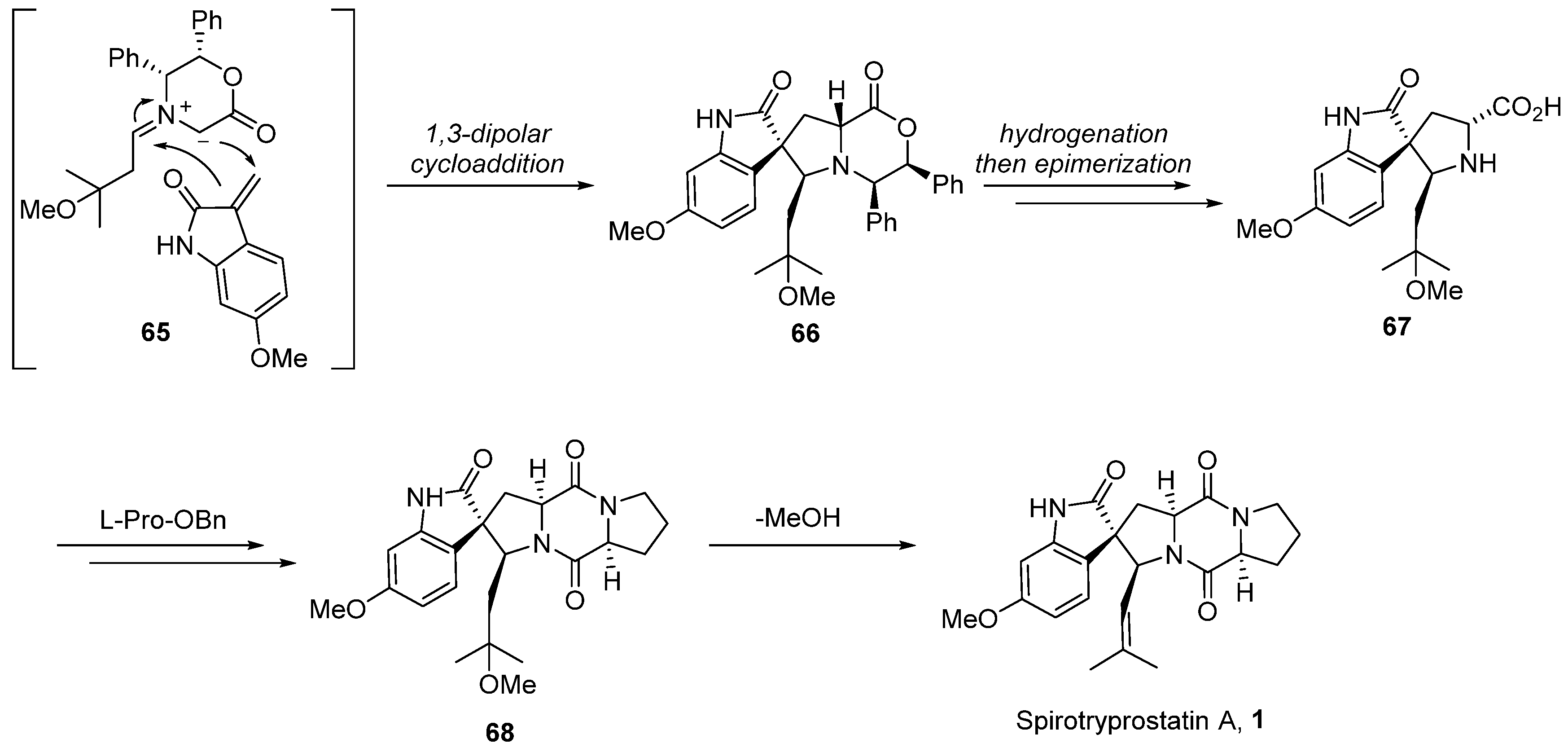
3.1. Williams’s Total Synthesis
3.2. Waldmann’s Total Synthesis
3.3. Gong’s Total Synthesis
3.4. Wang’s Total Synthesis
4. Metal Catalysis
4.1. Heck Coupling
4.1.1. Overman’s Total Synthesis
4.1.2. Fukuyama’s Total Synthesis
4.2. Metal Olefination
4.2.1. Fuji’s Total Synthesis
4.2.2. Trost’s Total Synthesis
4.3. Cascade Reactions
4.3.1. Procter’s Total Synthesis
4.3.2. Shen’s Total Synthesis
4.4. MgI2-Catalyzed Ring Expansion
Carreira’s Total Synthesis
5. Conclusions
Author Contributions
Funding
Conflicts of Interest
References
- Cui, C.-B.; Kakeya, H.; Osada, H. Novel mammalian cell cycle inhibitors, spirotryprostatins A and B, produced by Aspergillus fumigatus, which inhibit mammalian cell cycle at G2/M phase. Tetrahedron 1996, 52, 12651–12666. [Google Scholar] [CrossRef]
- Cui, C.B.; Kakeya, H.; Osada, H. Spirotryprostatin B, a Novel Mammalian Cell Cycle Inhibitor Produced by Aspergillus fumigatus. J. Antibiot. 1996, 49, 832–835. [Google Scholar] [CrossRef] [PubMed]
- Lo, M.M.C.; Neumann, C.S.; Nagayama, S.; Perlstein, E.O.; Schreiber, S.L. A Library of Spirooxindoles Based on a Stereoselective Three-Component Coupling Reaction. J. Am. Chem. Soc. 2004, 126, 16077–16086. [Google Scholar] [CrossRef] [PubMed]
- Antonchick, A.P.; Gerding-Reimers, C.; Catarinella, M.; Schürmann, M.; Preut, H.; Ziegler, S.; Rauh, D.; Waldmann, H. Highly enantioselective synthesis and cellular evaluation of spirooxindoles inspired by natural products. Nat. Chem. 2010, 2, 735–740. [Google Scholar] [CrossRef] [PubMed]
- Mosmann, T. Rapid colorimetric assay for cellular growth and survival: Application to proliferation and cytotoxicity assays. J. Immunol. Methods 1983, 65, 55–63. [Google Scholar] [CrossRef] [PubMed]
- Skehan, P.; Storeng, R.; Scudiero, D.; Monks, A.; McMahon, J.; Vistica, D.; Warren, J.T.; Bokesch, H.; Kenney, S.; Boyd, M.R. New Colorimetric Cytotoxicity Assay for Anticancer-Drug Screening. JNCI J. Natl. Cancer Inst. 1990, 82, 1107–1112. [Google Scholar] [CrossRef] [PubMed]
- Elderfield, R.C.; Gilman, R.E. Alkaloids of Alstonia Muelleriana. Phytochemistry 1972, 11, 339–343. [Google Scholar] [CrossRef]
- Kornet, M.J.; Thio, A.P. Oxindole-3-spiropyrrolidines and -piperidines. Synthesis and local anesthetic activity. J. Med. Chem. 1976, 19, 892–898. [Google Scholar] [CrossRef]
- Jossang, A.; Jossang, P.; Hadi, H.A.; Sevenet, T.; Bodo, B. Horsfiline, an oxindole alkaloid from Horsfieldia superba. J. Org. Chem. 1991, 56, 6527–6530. [Google Scholar] [CrossRef]
- Pellegrini, C.; Weber, M.; Borschberg, H.-J. Total Synthesis of (+)-Elacomine and (−)-Isoelacomine, Two Hitherto Unnamed Oxindole Alkaloids from Elaeagnus commutata. Helv. Chim. Acta 1996, 79, 151–168. [Google Scholar] [CrossRef]
- Huang, R.; Zhou, X.; Xu, T.; Yang, X.; Liu, Y. Diketopiperazines from Marine Organisms. Chem. Biodivers. 2010, 7, 2809–2829. [Google Scholar] [CrossRef] [PubMed]
- Nakagawa, M.; Kodato, S.-I.; Hongu, M.; Kawate, T.; Hino, T. Total synthesis of fumitremorgin B. Tetrahedron Lett. 1986, 27, 6217–6220. [Google Scholar] [CrossRef]
- Kodato, S.-I.; Nakagawa, M.; Hongu, M.; Kawate, T.; Hino, T. Total synthesis of (+)-fumitremorgin B, its epimeric isomers, and demethoxy derivatives. Tetrahedron 1988, 44, 359–377. [Google Scholar] [CrossRef]
- Bignan, G.C.; Battista, K.; Connolly, P.J.; Orsini, M.J.; Liu, J.; Middleton, S.A.; Reitz, A.B. Preparation of 3-spirocyclic indolin-2-ones as ligands for the ORL-1 receptor. Bioorg. Med. Chem. Lett. 2005, 15, 5022–5026. [Google Scholar] [CrossRef] [PubMed]
- Santos, M.M.M. Recent advances in the synthesis of biologically active spirooxindoles. Tetrahedron 2014, 70, 9735–9757. [Google Scholar] [CrossRef]
- Yu, B.; Yu, D.-Q.; Liu, H.-M. Spirooxindoles: Promising scaffolds for anticancer agents. Eur. J. Med. Chem. 2015, 97, 673–698. [Google Scholar] [CrossRef] [PubMed]
- Zhang, M.; Wang, W.-L.; Fang, Y.-C.; Zhu, T.-J.; Gu, Q.-Q.; Zhu, W.-M. Cytotoxic Alkaloids and Antibiotic Nordammarane Triterpenoids from the Marine-Derived Fungus Aspergillus sydowi. J. Nat. Prod. 2008, 71, 985–989. [Google Scholar] [CrossRef] [PubMed]
- Wang, F.; Fang, Y.; Zhu, T.; Zhang, M.; Lin, A.; Gu, Q.; Zhu, W. Seven new prenylated indole diketopiperazine alkaloids from holothurian-derived fungus Aspergillus fumigatus. Tetrahedron 2008, 64, 7986–7991. [Google Scholar] [CrossRef]
- Afiyatullov, S.S.; Zhuravleva, O.I.; Chaikina, E.L.; Anisimov, M.M. A new spirotryprostatin from the marine isolate of the fungus Aspergillus fumigatus. Chem. Nat. Compd. 2012, 48, 95–98. [Google Scholar] [CrossRef]
- Shi, Y.-S.; Zhang, Y.; Chen, X.-Z.; Zhang, N.; Liu, Y.-B. Metabolites Produced by the Endophytic Fungus Aspergillus fumigatus from the Stem of Erythrophloeum fordii Oliv. Molecules 2015, 20, 10793–10799. [Google Scholar] [CrossRef]
- Gao, N.; Shang, Z.-C.; Yu, P.; Luo, J.; Jian, K.-L.; Kong, L.-Y.; Yang, M.-H. Alkaloids from the endophytic fungus Penicillium brefeldianum and their cytotoxic activities. Chin. Chem. Lett. 2017, 28, 1194–1199. [Google Scholar] [CrossRef]
- Rajanarendar, E.; Ramakrishna, S.; Govardhan Reddy, K.; Nagaraju, D.; Reddy, Y.N. A facile synthesis, anti-inflammatory and analgesic activity of isoxazolyl-2,3-dihydrospiro[benzo[f]isoindole-1,3′-indoline]-2′,4,9-triones. Bioorg. Med. Chem. Lett. 2013, 23, 3954–3958. [Google Scholar] [CrossRef] [PubMed]
- Arun, Y.; Bhaskar, G.; Balachandran, C.; Ignacimuthu, S.; Perumal, P.T. Facile one-pot synthesis of novel dispirooxindole-pyrrolidine derivatives and their antimicrobial and anticancer activity against A549 human lung adenocarcinoma cancer cell line. Bioorg. Med. Chem. Lett. 2013, 23, 1839–1845. [Google Scholar] [CrossRef]
- Yang, Y.-T.; Zhu, J.-F.; Liao, G.; Xu, H.-J.; Yu, B. The Development of Biologically Important Spirooxindoles as New Antimicrobial Agents. Curr. Med. Chem. 2018, 25, 2233–2244. [Google Scholar] [CrossRef] [PubMed]
- Mali, P.R.; Chandrasekhara Rao, L.; Bangade, V.M.; Shirsat, P.K.; George, S.A.; Jagadeesh babu, N.; Meshram, H.M. A convenient and rapid microwave-assisted synthesis of spirooxindoles in aqueous medium and their antimicrobial activities. New J. Chem. 2016, 40, 2225–2232. [Google Scholar] [CrossRef]
- Zhao, Y.; Liu, L.; Sun, W.; Lu, J.; McEachern, D.; Li, X.; Yu, S.; Bernard, D.; Ochsenbein, P.; Ferey, V.; et al. Diastereomeric Spirooxindoles as Highly Potent and Efficacious MDM2 Inhibitors. J. Am. Chem. Soc. 2013, 135, 7223–7234. [Google Scholar] [CrossRef]
- O′Malley, G.J.; Cava, M.P. Tremorgenic mycotoxins: Synthesis of 6-demethoxyfumitremorgin C. Tetrahedron Lett. 1987, 28, 1131–1134. [Google Scholar] [CrossRef]
- Bertamino, A.; Aquino, C.; Sala, M.; Simone, N.d.; Mattia, C.A.; Erra, L.; Musella, S.; Iannelli, P.; Carotenuto, A.; Grieco, P.; et al. Design and synthesis of spirotryprostatin-inspired diketopiperazine systems from prolyl spirooxoindolethiazolidine derivatives. Bioorg. Med. Chem. 2010, 18, 4328–4337. [Google Scholar] [CrossRef]
- Wang, L.; Shi, X.-M.; Dong, W.-P.; Zhu, L.-P.; Wang, R. Efficient construction of highly functionalized spiro[γ-butyrolactone-pyrrolidin-3,3′-oxindole] tricyclic skeletons via an organocatalytic 1,3-dipolar cycloaddition. Chem. Commun. 2013, 49, 3458–3460. [Google Scholar] [CrossRef]
- Boddy, A.J.; Bull, J.A. Stereoselective synthesis and applications of spirocyclic oxindoles. Org. Chem. Front. 2021, 8, 1026–1084. [Google Scholar] [CrossRef]
- Mei, G.-J.; Shi, F. Catalytic asymmetric synthesis of spirooxindoles: Recent developments. Chem. Commun. 2018, 54, 6607–6621. [Google Scholar] [CrossRef] [PubMed]
- Wang, Y.; Cobo, A.A.; Franz, A.K. Recent advances in organocatalytic asymmetric multicomponent cascade reactions for enantioselective synthesis of spirooxindoles. Org. Chem. Front. 2021, 8, 4315–4348. [Google Scholar] [CrossRef]
- Yu, Q.; Guo, P.; Jian, J.; Chen, Y.; Xu, J. Nine-step total synthesis of (−)-strychnofoline. Chem. Commun. 2018, 54, 1125–1128. [Google Scholar] [CrossRef] [PubMed]
- Coote, S.C.; Quenum, S.; Procter, D.J. Exploiting Sm(ii) and Sm(iii) in SmI2-initiated reaction cascades: Application in a tag removal–cyclisation approach to spirooxindole scaffolds. Org. Biomol. Chem. 2011, 9, 5104–5108. [Google Scholar] [CrossRef] [PubMed]
- Wang, K.; Wang, L.; Liu, X.; Li, D.; Zhu, H.; Wang, P.; Liu, Y.; Yang, D.; Wang, R. Development of Biligands Magnesium Catalysis in Asymmetric Conjugate Reactions of C3-Pyrrolyl-Oxindoles. Org. Lett. 2017, 19, 4351–4354. [Google Scholar] [CrossRef] [PubMed]
- Edmondson, S.; Danishefsky, S.J.; Sepp-Lorenzino, L.; Rosen, N. Total Synthesis of Spirotryprostatin A, Leading to the Discovery of Some Biologically Promising Analogues. J. Am. Chem. Soc. 1999, 121, 2147–2155. [Google Scholar] [CrossRef]
- Wang, H.; Ganesan, A. Concise synthesis of the cell cycle inhibitor demethoxyfumitremorgin C. Tetrahedron Lett. 1997, 38, 4327–4328. [Google Scholar] [CrossRef]
- Wang, H.; Ganesan, A. The N-Acyliminium Pictet−Spengler Condensation as a Multicomponent Combinatorial Reaction on Solid Phase and Its Application to the Synthesis of Demethoxyfumitremorgin C Analogues. Org. Lett. 1999, 1, 1647–1649. [Google Scholar] [CrossRef]
- Wang, H.; Ganesan, A. A Biomimetic Total Synthesis of (−)-Spirotryprostatin B and Related Studies. J. Org. Chem. 2000, 65, 4685–4693. [Google Scholar] [CrossRef]
- Xi, Y.K.; Zhang, H.; Li, R.X.; Kang, S.Y.; Li, J.; Li, Y. Total Synthesis of Spirotryprostatins through Organomediated Intramolecular Umpolung Cyclization. Chemistry 2019, 25, 3005–3009. [Google Scholar] [CrossRef]
- von Nussbaum, F.; Danishefsky, S.J. A Rapid Total Synthesis of Spirotryprostatin B: Proof of Its Relative and Absolute Stereochemistry. Angew. Chem. Int. Ed. 2000, 39, 2175–2178. [Google Scholar] [CrossRef]
- Miyake, F.Y.; Yakushijin, K.; Horne, D.A. Preparation and synthetic applications of 2-halotryptophan methyl esters: Synthesis of spirotryprostatin B. Angew. Chem. Int. Ed. 2004, 43, 5357–5360. [Google Scholar] [CrossRef] [PubMed]
- Miyake, F.Y.; Yakushijin, K.; Horne, D.A. A Concise Synthesis of Spirotryprostatin A. Org. Lett. 2004, 6, 4249–4251. [Google Scholar] [CrossRef] [PubMed]
- Trost, B.M.; Cramer, N.; Silverman, S.M. Enantioselective Construction of Spirocyclic Oxindolic Cyclopentanes by Palladium-Catalyzed Trimethylenemethane-[3 + 2]-Cycloaddition. J. Am. Chem. Soc. 2007, 129, 12396–12397. [Google Scholar] [CrossRef] [PubMed]
- Chen, X.-H.; Zhang, W.-Q.; Gong, L.-Z. Asymmetric Organocatalytic Three-Component 1,3-Dipolar Cycloaddition: Control of Stereochemistry via a Chiral Brønsted Acid Activated Dipole. J. Am. Chem. Soc. 2008, 130, 5652–5653. [Google Scholar] [CrossRef]
- Chen, X.-H.; Wei, Q.; Luo, S.-W.; Xiao, H.; Gong, L.-Z. Organocatalytic Synthesis of Spiro[pyrrolidin-3,3′-oxindoles] with High Enantiopurity and Structural Diversity. J. Am. Chem. Soc. 2009, 131, 13819–13825. [Google Scholar] [CrossRef]
- Liu, T.-L.; Xue, Z.-Y.; Tao, H.-Y.; Wang, C.-J. Catalytic asymmetric 1,3-dipolar cycloaddition of N-unprotected 2-oxoindolin-3-ylidene derivatives and azomethine ylides for the construction of spirooxindole-pyrrolidines. Org. Biomol. Chem. 2011, 9, 1980–1986. [Google Scholar] [CrossRef]
- Fejes, I.; Nyerges, M.; Szöllõsy, Á.; Blaskó, G.; Tõke, L. 2-Oxoindolin-3-ylidene derivatives as 2π components in 1,3-dipolar cycloadditions of azomethine ylides. Tetrahedron 2001, 57, 1129–1137. [Google Scholar] [CrossRef]
- Ding, K.; Wang, G.; Deschamps, J.R.; Parrish, D.A.; Wang, S. Synthesis of spirooxindoles via asymmetric 1,3-dipolar cycloaddition. Tetrahedron Lett. 2005, 46, 5949–5951. [Google Scholar] [CrossRef]
- Zubia, A.; Mendoza, L.; Vivanco, S.; Aldaba, E.; Carrascal, T.; Lecea, B.; Arrieta, A.; Zimmerman, T.; Vidal-Vanaclocha, F.; Cossío, F.P. Application of Stereocontrolled Stepwise [3 + 2] Cycloadditions to the Preparation of Inhibitors of α4β1-Integrin-Mediated Hepatic Melanoma Metastasis. Angew. Chem. Int. Ed. 2005, 44, 2903–2907. [Google Scholar] [CrossRef]
- Yang, Q.-L.; Xie, M.-S.; Xia, C.; Sun, H.-L.; Zhang, D.-J.; Huang, K.-X.; Guo, Z.; Qu, G.-R.; Guo, H.-M. A rapid and divergent access to chiral azacyclic nucleoside analogues via highly enantioselective 1,3-dipolar cycloaddition of β-nucleobase substituted acrylates. Chem. Commun. 2014, 50, 14809–14812. [Google Scholar] [CrossRef] [PubMed]
- Sebahar, P.R.; Williams, R.M. The Asymmetric Total Synthesis of (+)- and (−)-Spirotryprostatin B. J. Am. Chem. Soc. 2000, 122, 5666–5667. [Google Scholar] [CrossRef]
- Sebahar, P.R.; Osada, H.; Usui, T.; Williams, R.M. Asymmetric, stereocontrolled total synthesis of (+) and (−)-spirotryprostatin B via a diastereoselective azomethine ylide [1,3]-dipolar cycloaddition reaction. Tetrahedron 2002, 58, 6311–6322. [Google Scholar] [CrossRef]
- Onishi, T.; Sebahar, P.R.; Williams, R.M. Concise, Asymmetric Total Synthesis of Spirotryprostatin A. Org. Lett. 2003, 5, 3135–3137. [Google Scholar] [CrossRef]
- Onishi, T.; Sebahar, P.R.; Williams, R.M. Concise, asymmetric total synthesis of spirotryprostatin A. Tetrahedron 2004, 60, 9503–9515. [Google Scholar] [CrossRef]
- Antonchick, A.P.; Schuster, H.; Bruss, H.; Schürmann, M.; Preut, H.; Rauh, D.; Waldmann, H. Enantioselective synthesis of the spirotryprostatin A scaffold. Tetrahedron 2011, 67, 10195–10202. [Google Scholar] [CrossRef]
- Cheng, M.-N.; Wang, H.; Gong, L.-Z. Asymmetic Organocatalytic 1,3-Dipolar Cycloaddition of Azomethine Ylide to Methyl 2-(2-Nitrophenyl)acrylate for the Synthesis of Diastereoisomers of Spirotryprostatin A. Org. Lett. 2011, 13, 2418–2421. [Google Scholar] [CrossRef]
- Chen, Z.; Zhong, W.; Liu, S.; Zou, T.; Zhang, K.; Gong, C.; Guo, W.; Kong, F.; Nie, L.; Hu, S.; et al. Highly Stereodivergent Synthesis of Chiral C4-Ester-Quaternary Pyrrolidines: A Strategy for the Total Synthesis of Spirotryprostatin A. Org. Lett. 2023, 25, 3391–3396. [Google Scholar] [CrossRef]
- Overman, L.E.; Rosen, M.D. Total Synthesis of (-)-Spirotryprostatin B and Three Stereoisomers. Angew. Chem. Int. Ed. 2000, 39, 4596–4599. [Google Scholar] [CrossRef]
- Kitahara, K.; Shimokawa, J.; Fukuyama, T. Stereoselective synthesis of spirotryprostatin A. Chem. Sci. 2014, 5, 904–907. [Google Scholar] [CrossRef]
- Bagul, T.D.; Lakshmaiah, G.; Kawabata, T.; Fuji, K. Total Synthesis of Spirotryprostatin B via Asymmetric Nitroolefination. Org. Lett. 2002, 4, 249–251. [Google Scholar] [CrossRef] [PubMed]
- Trost, B.M.; Stiles, D.T. Total Synthesis of Spirotryprostatin B via Diastereoselective Prenylation. Org. Lett. 2007, 9, 2763–2766. [Google Scholar] [CrossRef] [PubMed]
- Peng, T.; Liu, T.; Zhao, J.; Dong, J.; Zhao, Y.; Yang, Y.; Yan, X.; Xu, W.; Shen, X. Enantioselective Total Synthesis of Spirotryprostatin A. J. Org. Chem. 2022, 87, 16743–16754. [Google Scholar] [CrossRef] [PubMed]
- Meyers, C.; Carreira, E.M. Total Synthesis of (−)-Spirotryprostatin B. Angew. Chem. Int. Ed. 2003, 42, 694–696. [Google Scholar] [CrossRef] [PubMed]


















| Groups | Year | Key Mechanism | Steps and Yields |
|---|---|---|---|
| Danishefsky | 1998 | oxidative rearrangement | 8 steps with yield of 6.5% |
| Granesan | 2000 | 5 steps with yield of 2–6% | |
| Zhang | 2019 | 11 steps with yield of 20% | |
| Danishefsky | 2000 | Mannich reaction | 8 steps with yield of 4.6% |
| Horne | 2004 | 7 steps with yield of 4.9% | |
| 2004 | 6 steps with yield of 6.2% | ||
| William | 2002 | 1,3-dipolar cycloaddition | 9 steps with yield of 11% |
| Williams | 2004 | 4 steps with yield of 2% | |
| Waldmann | 2011 | 1 step with yield of 97% | |
| Gong | 2011 | 10 steps with yield of 4.9% and 5.3% | |
| Wang | 2023 | 6 steps with yield of 36% | |
| Overman | 2000 | heck coupling | 10 steps with yield of 9% |
| Fukuyama | 2014 | 25 steps with yield of 3.4% | |
| Fuji | 2002 | nitroalkene cyclization | 16 steps with yield of 0.6% |
| Trost | 2007 | palladium-catalyzed asymmetric isoprene functionalization | 8 steps with yield of 13.7% |
| Procter | 2011 | cascade reaction triggered by iodine-induced ring formation | 10 steps with yield of 13.7% |
| Shen | 2022 | copper-catalyzed cascade reactions | 15 steps with yield of 7.4% |
Disclaimer/Publisher’s Note: The statements, opinions and data contained in all publications are solely those of the individual author(s) and contributor(s) and not of MDPI and/or the editor(s). MDPI and/or the editor(s) disclaim responsibility for any injury to people or property resulting from any ideas, methods, instructions or products referred to in the content. |
© 2024 by the authors. Licensee MDPI, Basel, Switzerland. This article is an open access article distributed under the terms and conditions of the Creative Commons Attribution (CC BY) license (https://creativecommons.org/licenses/by/4.0/).
Share and Cite
Hu, J.; Niu, Z.-X.; Wang, J.-F. Recent Advances in the Total Synthesis of Spirotryprostatin Alkaloids. Molecules 2024, 29, 1655. https://doi.org/10.3390/molecules29071655
Hu J, Niu Z-X, Wang J-F. Recent Advances in the Total Synthesis of Spirotryprostatin Alkaloids. Molecules. 2024; 29(7):1655. https://doi.org/10.3390/molecules29071655
Chicago/Turabian StyleHu, Jing, Zhen-Xi Niu, and Jun-Feng Wang. 2024. "Recent Advances in the Total Synthesis of Spirotryprostatin Alkaloids" Molecules 29, no. 7: 1655. https://doi.org/10.3390/molecules29071655
APA StyleHu, J., Niu, Z.-X., & Wang, J.-F. (2024). Recent Advances in the Total Synthesis of Spirotryprostatin Alkaloids. Molecules, 29(7), 1655. https://doi.org/10.3390/molecules29071655
