The Different Phytochemical Profiles of Salvia officinalis Dietary Supplements Labelled for Menopause Symptoms
Abstract
:1. Introduction
2. Results
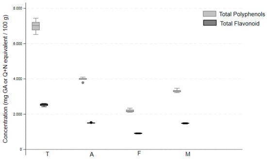
2.1. Polyphenols and Flavonoids in S. officinalis Extracts
2.2. Isoflavones in S. officinalis Extracts
2.3. Thujones in S. officinalis Extracts
3. Materials and Methods
3.1. Materials
3.1.1. Samples
3.1.2. Chemical Products
3.1.3. Instruments
3.2. Phenols Analysis
3.2.1. Extraction of Phenols
3.2.2. Determination of Total Phenolic Content through Use of the Folin–Ciocalteu Colorimetric Method
3.2.3. Determination of Total Flavonoid Content through use of the Aluminum Chloride Colorimetric Method
3.2.4. Determination of Total Flavonoid Content through Ise of the 2,4-DNPH Colorimetric Method
3.3. Isoflavone Analysis
3.3.1. Extraction of Isoflavones
3.3.2. Determination of Isoflavones through Use of the HPLC Method
3.4. Thujone Analysis
3.4.1. Extraction of Thujone
3.4.2. Determination of Thujone through the Use of GC Method
3.5. Statistical Analysis
4. Discussion
5. Conclusions
Supplementary Materials
Author Contributions
Funding
Institutional Review Board Statement
Informed Consent Statement
Data Availability Statement
Conflicts of Interest
References
- Hamoda, H.; Panay, N.; Pedder, H.; Arya, R.; Savvas, M. The British Menopause Society & Women’s Health Concern 2020 Recommendations on Hormone Replacement Therapy in Menopausal Women. Post Reprod. Health 2020, 26, 181–209. [Google Scholar]
- Patra, S.; Gorai, S.; Pal, S.; Ghosh, K.; Pradhan, S.; Chakrabarti, S. A Review on Phytoestrogens: Current Status and Future Direction. Phytother. Res. 2023, 37, 3097–3120. [Google Scholar] [CrossRef]
- Gościniak, A.; Szulc, P.; Zielewicz, W.; Walkowiak, J.; Cielecka-Piontek, J. Multidirectional Effects of Red Clover (Trifolium pratense L.) in Support of Menopause Therapy. Molecules 2023, 28, 5178. [Google Scholar] [CrossRef]
- Wang, X.; Ma, Y.; Xu, Q.; Shikov, A.N.; Pozharitskaya, O.N.; Flisyuk, E.V.; Liu, M.; Li, H.; Vargas-Murga, L.; Duez, P. Flavonoids and Saponins: What Have We Got or Missed? Phytomedicine 2023, 109, 154580. [Google Scholar] [CrossRef]
- Moshari-Nasirkandi, A.; Alirezalu, A.; Alipour, H.; Amato, J. Screening of 20 Species from Lamiaceae Family Based on Phytochemical Analysis, Antioxidant Activity and HPLC Profiling. Sci. Rep. 2023, 13, 16987. [Google Scholar] [CrossRef]
- Sabry, M.M.; Abdel-Rahman, R.F.; El-Shenawy, S.M.; Hassan, A.M.; El-Gayed, S.H. Estrogenic Activity of Sage (Salvia officinalis L.) Aerial Parts and Its Isolated Ferulic Acid in Immature Ovariectomized Female Rats. J. Ethnopharmacol. 2022, 282, 114579. [Google Scholar] [CrossRef] [PubMed]
- Salvio, G.; Ciarloni, A.; Gianfelice, C.; Lacchè, F.; Sabatelli, S.; Giacchetti, G.; Balercia, G. The Effects of Polyphenols on Bone Metabolism in Postmenopausal Women: Systematic Review and Meta-Analysis of Randomized Control Trials. Antioxidants 2023, 12, 1830. [Google Scholar] [CrossRef]
- Kaul, R.; Paul, P.; Kumar, S.; Büsselberg, D.; Dwivedi, V.D.; Chaari, A. Promising Antiviral Activities of Natural Flavonoids against SARS-CoV-2 Targets: Systematic Review. Int. J. Mol. Sci. 2021, 22, 11069. [Google Scholar] [CrossRef]
- Wu, C.; Suzuki, K. The Effects of Flavonoids on Skeletal Muscle Mass, Muscle Function, and Physical Performance in Individuals with Sarcopenia: A Systematic Review of Randomized Controlled Trials. Nutrients 2023, 15, 3897. [Google Scholar] [CrossRef]
- Godos, J.; Micek, A.; Mena, P.; Del Rio, D.; Galvano, F.; Castellano, S.; Grosso, G. Dietary (Poly)phenols and Cognitive Decline: A Systematic Review and Meta-Analysis of Observational Studies. Mol. Nutr. Food Res. 2023, e2300472. [Google Scholar] [CrossRef] [PubMed]
- Bayes, J.; Bedaso, A.; Peng, W.; Adams, J.; Sibbritt, D. The Effect of Polyphenols in Post Stroke Adults: A Systematic Review of Randomised Controlled Trials. Clin. Nutr. ESPEN 2023, 54, 113–121. [Google Scholar] [CrossRef]
- Ortiz-Andrade, R.; Araujo León, J.A.; Sánchez-Salgado, J.C.; Sánchez-Recillas, A.; Vazquez-Garcia, P.; Hernández-Núñez, E. Citroflavonoids as Promising Agents for Drug Discovery in Diabetes and Hypertension: A Systematic Review of Experimental Studies. Molecules 2022, 27, 7933. [Google Scholar] [CrossRef]
- Hamidpour, M.; Hamidpour, R.; Hamidpour, S.; Shahlari, M. Chemistry, Pharmacology, and Medicinal Property of Sage (Salvia) to Prevent and Cure Illnesses such as Obesity, Diabetes, Depression, Dementia, Lupus, Autism, Heart Disease, and Cancer. Afr. J. Tradit. Complement. Altern. Med. 2014, 4, 82–88. [Google Scholar] [CrossRef]
- Ghorbani, A.; Esmaeilizadeh, M. Pharmacological Properties of and Its Components. Afr. J. Tradit. Complement. Altern. Med. 2017, 7, 433–440. [Google Scholar] [CrossRef]
- Bommer, S.; Klein, P.; Suter, A. First Time Proof of Sage’s Tolerability and Efficacy in Menopausal Women with Hot Flushes. Adv. Ther. 2011, 28, 490–500. [Google Scholar] [CrossRef]
- Tober, C.; Schoop, R. Modulation of Neurological Pathways by Salvia officinalis and Its Dependence on Manufacturing Process and Plant Parts Used. BMC Complement. Altern. Med. 2019, 19, 128. [Google Scholar] [CrossRef]
- Koysombat, K.; McGown, P.; Nyunt, S.; Abbara, A.; Dhillo, W.S. New Advances in Menopause Symptom Management. Best. Pract. Res. Clin. Endocrinol. Metab. 2023, 101774. [Google Scholar] [CrossRef]
- Ahmad, S.; Ahmed, S.B.; Khan, A.; Wasim, M.; Tabassum, S.; Haider, S.; Ahmed, F.; Batool, Z.; Khaliq, S.; Rafiq, H.; et al. Natural Remedies for Alzheimer’s Disease: A Systematic Review of Randomized Controlled Trials. Metab. Brain Dis. 2023, 38, 17–44. [Google Scholar] [CrossRef] [PubMed]
- Elgayed, S.H.; Afify, E.A.; Amin, H.A.; Abdellatif, A.A.H. Estrogenic Effect of Extract on Reproductive Function of Female Mice and Identification of Its Phenolic Content. Comb. Chem. High Throughput Screen. 2021, 24, 1654–1663. [Google Scholar] [CrossRef] [PubMed]
- Echeverria, V.; Echeverria, F.; Barreto, G.E.; Echeverría, J.; Mendoza, C. Estrogenic Plants: To Prevent Neurodegeneration and Memory Loss and Other Symptoms in Women After Menopause. Front. Pharmacol. 2021, 12, 644103. [Google Scholar] [CrossRef] [PubMed]
- Zeidabadi, A.; Yazdanpanahi, Z.; Dabbaghmanesh, M.H.; Sasani, M.R.; Emamghoreishi, M.; Akbarzadeh, M. The Effect of Salvia officinalis Extract on Symptoms of Flushing, Night Sweat, Sleep Disorders, and Score of Forgetfulness in Postmenopausal Women. J. Fam. Med. Prim. Care 2020, 9, 1086–1092. [Google Scholar]
- Beigi Boroujeni, N.; Gholami, M.R. Effect of the Ethanolic Extract of Salvia officinalis on Ovarian Angiogenesis in Mice at Preimplantation: A Morphological and Molecular Analysis. Jentashapir J. Health Res. 2017, in press. [CrossRef]
- Wilfried, D.; Nina, C.D.G.; Silvia, B. Effectiveness of Menosan® in the Treatment of a Wide Spectrum of Menopausal Complaints. A Double-Blind, Randomized, Placebo-Controlled, Clinical Trial. Heliyon 2021, 7, e05910. [Google Scholar] [CrossRef]
- Moradi, M.; Ghavami, V.; Niazi, A.; Seraj Shirvan, F.; Rasa, S. The Effect of Officinalis on Hot Flashes in Postmenopausal Women: A Systematic Review and Meta-Analysis. Int. J. Community Based Nurs. Midwifery 2023, 11, 169–178. [Google Scholar]
- Poulios, E.; Giaginis, C.; Vasios, G.K. Current State of the Art on the Antioxidant Activity of Sage (Salvia spp.) and Its Bioactive Components. Planta Med. 2020, 86, 224–238. [Google Scholar] [CrossRef]
- El Menyiy, N.; Aboulaghras, S.; Bakrim, S.; Moubachir, R.; Taha, D.; Khalid, A.; Abdalla, A.N.; Algarni, A.S.; Hermansyah, A.; Ming, L.C.; et al. Genkwanin: An Emerging Natural Compound with Multifaceted Pharmacological Effects. Biomed. Pharmacother. 2023, 165, 115159. [Google Scholar] [CrossRef]
- Meyer, A.H. Risk Analysis in Accordance with Article 6, Regulation (EC) No. 178/2002. Eur. Food Feed Law Rev. 2006, 1, 146–153. [Google Scholar]
- Koşar, M.; Göger, F.; Can Başer, K.H. In Vitro Antioxidant Properties and Phenolic Composition of Salvia Virgata Jacq. from Turkey. J. Agric. Food Chem. 2008, 56, 2369–2374. [Google Scholar] [CrossRef]
- Molina-Cortés, A.; Sánchez-Motta, T.; Tobar-Tosse, F.; Quimbaya, M. Spectrophotometric Estimation of Total Phenolic Content and Antioxidant Capacity of Molasses and Vinasses Generated from the Sugarcane Industry. Waste Biomass Valorization 2019, 11, 3453–3463. [Google Scholar] [CrossRef]
- Chang, C.-C.; Yang, M.-H.; Wen, H.-M.; Chern, J.-C. Estimation of Total Flavonoid Content in Propolis by Two Complementary Colometric Methods. J. Food Drug Anal. 2002, 10, 3. [Google Scholar] [CrossRef]
- Spiridon, I.; Bodirlau, R.; Teaca, C.-A. Total Phenolic Content and Antioxidant Activity of Plants Used in Traditional Romanian Herbal Medicine. Open Life Sci. 2011, 6, 388–396. [Google Scholar] [CrossRef]
- Cvek, J.; Medić-Sarić, M.; Jasprica, I.; Zubcić, S.; Vitali, D.; Mornar, A.; Vedrina-Dragojević, I.; Tomić, S. Optimisation of an Extraction Procedure and Chemical Characterisation of Croatian Propolis Tinctures. Phytochem. Anal. 2007, 18, 451–459. [Google Scholar] [CrossRef] [PubMed]
- Picos-Salas, M.A.; Heredia, J.B.; Leyva-López, N.; Ambriz-Pérez, D.L.; Gutiérrez-Grijalva, E.P. Extraction Processes Affect the Composition and Bioavailability of Flavones from Lamiaceae Plants: A Comprehensive Review. Processes 2021, 9, 1675. [Google Scholar] [CrossRef]
- Schmiderer, C.; Torres-Londoño, P.; Novak, J. Proof of Geographical Origin of Albanian Sage by Essential Oil Analysis. Biochem. Syst. Ecol. 2013, 51, 70–77. [Google Scholar] [CrossRef]
- In Vitro Susceptibility of Some Species of Yeasts and Filamentous Fungi to Essential Oils of Salvia officinalis. Ind. Crops Prod. 2007, 26, 135–141. [CrossRef]
- Jakovljević, M.; Jokić, S.; Molnar, M.; Jašić, M.; Babić, J.; Jukić, H.; Banjari, I. Bioactive Profile of Various Salvia officinalis L. Preparations. Plants 2019, 8, 55. [Google Scholar] [CrossRef]
- Kenda, M.; Glavač, N.K.; Nagy, M.; Sollner Dolenc, M.; On Behalf of the OEMONOM. Herbal Products Used in Menopause and for Gynecological Disorders. Molecules 2021, 26, 7421. [Google Scholar] [CrossRef]
- Jang, W.Y.; Kim, M.-Y.; Cho, J.Y. Antioxidant, Anti-Inflammatory, Anti-Menopausal, and Anti-Cancer Effects of Lignans and Their Metabolites. Int. J. Mol. Sci. 2022, 23, 15482. [Google Scholar] [CrossRef]
- Alomar, H.A.; Elkady, W.M.; Abdel-Aziz, M.M.; Ibrahim, T.A.; Fathallah, N. Anti- and Anti-Inflammatory Potential of Metabolites: In Vitro and In Silico Studies. Metabolites 2023, 13, 136. [Google Scholar] [CrossRef]
- Liu, F.; Peng, Y.; Qiao, Y.; Huang, Y.; Song, F.; Zhang, M.; Song, F. Consumption of Flavonoids and Risk of Hormone-Related Cancers: A Systematic Review and Meta-Analysis of Observational Studies. Nutr. J. 2022, 21, 27. [Google Scholar] [CrossRef] [PubMed]
- Subramani, B.; Sathiyarajeswaran, P. Current Update on Herbal Sources of Antithrombotic Activity-a Comprehensive Review. Egypt. J. Intern. Med. 2022, 34, 26. [Google Scholar] [CrossRef] [PubMed]
- May, N.; de Sousa Alves Neri, J.L.; Clunas, H.; Shi, J.; Parkes, E.; Dongol, A.; Wang, Z.; Jimenez Naranjo, C.; Yu, Y.; Huang, X.-F.; et al. Investigating the Therapeutic Potential of Plants and Plant-Based Medicines: Relevance to Antioxidant and Neuroprotective Effects. Nutrients 2023, 15, 3912. [Google Scholar] [CrossRef] [PubMed]
- Kiesel, B.D.; Elkins, K.M. Development of a PCR High-Resolution Melt Assay for Artemisia Absinthium (Wormwood) and a Triplex Assay with Two Additional “Unregulated Legal High” Species Datura Stramonium (Jimson Weed) and Merremia Tuberosa (Hawaiian Woodrose). J. Forensic Sci. 2019, 64, 1817–1822. [Google Scholar] [CrossRef] [PubMed]
- Pelkonen, O.; Abass, K.; Wiesner, J. Thujone and Thujone-Containing Herbal Medicinal and Botanical Products: Toxicological Assessment. Regul. Toxicol. Pharmacol. 2013, 65, 100–107. [Google Scholar] [CrossRef] [PubMed]
- Community Herbal Monograph on Salvia officinalis L., Folium. Available online: https://paperpile.com/app/p/973f1749-04fc-031f-b8b5-4199723331dd (accessed on 5 October 2023).
- Generalic, I.; Skroza, D.; Surjak, J.; Smole Mozina, S.; Ljubenkov, I.; Katalinic, A.; Simat, V.; Katalinic, V. Seasonal Variations of Phenolic Compounds and Biological Properties in Sage (Salvia officinalis L.). Chem. Biodivers. 2012, 9, 441–457. [Google Scholar] [CrossRef]
- Martínez-Cruz, O.; Paredes-López, O. Phytochemical profile and nutraceutical potential of chia seeds (Salvia hispanica L.) by ultra high performance liquid chromatography. J. Chromatogr. A 2014, 1346, 43–48. [Google Scholar] [CrossRef]
- López-Gutiérrez, N.; Romero-González, R.; Vidal, J.L.M.; Frenich, A.G. Quality Control Evaluation of Nutraceutical Products from Ginkgo Biloba Using Liquid Chromatography Coupled to High Resolution Mass Spectrometry. J. Pharm. Biomed. Anal. 2016, 121, 151–160. [Google Scholar] [CrossRef]
- Avula, B.; Cohen, P.A.; Wang, Y.-H.; Sagi, S.; Feng, W.; Wang, M.; Zweigenbaum, J.; Shuangcheng, M.; Khan, I.A. Chemical Profiling and Quantification of Monacolins and Citrinin in Red Yeast Rice Commercial Raw Materials and Dietary Supplements Using Liquid Chromatography-Accurate QToF Mass Spectrometry: Chemometrics Application. J. Pharm. Biomed. Anal. 2014, 100, 243–253. [Google Scholar] [CrossRef]



| Isoflavones Mean Value ± SD mg/100 g | T | A | F | M | F Test Statistic (p-Value from One-Way ANOVA) |
|---|---|---|---|---|---|
| Genestin | 0.0105 ± 0.0082 | 0.1832 ± 0.0424 | 0.0174 ± 0.0056 | <LOQ | 116.96 (<0.0000) |
| Genestein | 0.0076 ± 0.0054 | 0.1224 ± 0.0245 | 0.0170 ± 0.0048 | 0.0024 ± 0.0003 | 132.79 (<0.0000) |
| Daidzin | 0.0914 ± 0.0761 | 1.2157 ± 0.0163 | 0.1898 ± 0.0735 | 0.0220 ± 0.0039 | 472.74 (<0.0000) |
| Total | 0.1096 ± 0.0897 | 1.521 ± 0.0383 | 0.2242 ± 0.0766 | 0.0245 ± 0.0041 | 549.44 (<0.0000) |
| Thujones Mean Value ± SD mg/100 g | T | A | F | M | F Test Statistic (p-Value from One-Way ANOVA) |
|---|---|---|---|---|---|
| α-thujone | 0.0002 ± 0.0001 | 0.0009 ± 0.0001 | <LOQ | 0.0010 ± 0.0005 | 22.66 (<0.0000) |
| β-thujone | <LOQ | <LOQ | <LOQ | <LOQ | - |
Disclaimer/Publisher’s Note: The statements, opinions and data contained in all publications are solely those of the individual author(s) and contributor(s) and not of MDPI and/or the editor(s). MDPI and/or the editor(s) disclaim responsibility for any injury to people or property resulting from any ideas, methods, instructions or products referred to in the content. |
© 2023 by the authors. Licensee MDPI, Basel, Switzerland. This article is an open access article distributed under the terms and conditions of the Creative Commons Attribution (CC BY) license (https://creativecommons.org/licenses/by/4.0/).
Share and Cite
Maggini, V.; Bertazza, G.; Gallo, E.; Mascherini, V.; Calvi, L.; Marra, C.; Michelucci, F.; Liberati, C.; Trassi, A.; Baraldi, R.; et al. The Different Phytochemical Profiles of Salvia officinalis Dietary Supplements Labelled for Menopause Symptoms. Molecules 2024, 29, 94. https://doi.org/10.3390/molecules29010094
Maggini V, Bertazza G, Gallo E, Mascherini V, Calvi L, Marra C, Michelucci F, Liberati C, Trassi A, Baraldi R, et al. The Different Phytochemical Profiles of Salvia officinalis Dietary Supplements Labelled for Menopause Symptoms. Molecules. 2024; 29(1):94. https://doi.org/10.3390/molecules29010094
Chicago/Turabian StyleMaggini, Valentina, Gianpaolo Bertazza, Eugenia Gallo, Vittorio Mascherini, Lorenzo Calvi, Chiara Marra, Francesca Michelucci, Chiara Liberati, Anna Trassi, Rita Baraldi, and et al. 2024. "The Different Phytochemical Profiles of Salvia officinalis Dietary Supplements Labelled for Menopause Symptoms" Molecules 29, no. 1: 94. https://doi.org/10.3390/molecules29010094
APA StyleMaggini, V., Bertazza, G., Gallo, E., Mascherini, V., Calvi, L., Marra, C., Michelucci, F., Liberati, C., Trassi, A., Baraldi, R., & Firenzuoli, F. (2024). The Different Phytochemical Profiles of Salvia officinalis Dietary Supplements Labelled for Menopause Symptoms. Molecules, 29(1), 94. https://doi.org/10.3390/molecules29010094

