A Review of the Research Applications of Centipeda minima
Abstract
:1. Introduction
2. Chemical Composition of Centipeda minima
2.1. Chemical Composition of Centipeda minima
2.1.1. Volatile Oils
2.1.2. Sterols
2.1.3. Flavonoids
2.1.4. Triterpenoids
2.1.5. Guaiac Ligolides and Pseudoguaiacolides
2.1.6. Other Compounds
3. Effects of Centipeda minima on Cancer/Tumor and Related Mechanisms
3.1. Nasopharyngeal Carcinoma NPC (Medical)
3.2. Non-Small Cell Lung Cancer
3.3. Triple-Negative Breast Cancer
3.4. Liver Cancer
3.5. Stomach Cancer
4. Other Pharmacological Effects of Centipeda minima
4.1. Anti-Inflammatory and Antioxidant Effects
4.2. Asthma Calming Effect
4.3. Antitumor Effect
5. Safety and Toxicity of Drug Centipeda minima
5.1. Safety Evaluation of Centipeda minima
5.2. Toxicity Evaluation of Centipeda minima
6. Conclusions
Author Contributions
Funding
Institutional Review Board Statement
Informed Consent Statement
Conflicts of Interest
References
- Taylor, R.S.; Towers, G.H. Antibacterial constituents of the Nepalese medicinal herb, Centipeda minima. Phytochemistry 1998, 47, 631–634. [Google Scholar] [CrossRef] [PubMed]
- Liang, J. Study on Resource, Extraction Process and Pharmacological Action of Centipeda minima A. Br. et Aschers. Heilongjiang Med. J. 2009, 22, 835–837. [Google Scholar]
- Walsh, N.G. A revision of Centipeda (Asteraceae). Muelleria 2001, 15, 33–64. [Google Scholar] [CrossRef]
- Lu, S.M. Development and application of medicinal resources of Centipeda minima. Shijian Guomao 2005, 03, 260–261. [Google Scholar]
- Knowledge of Chinese Medicine Commodities, Middle Volume; Guangdong Science Publishing House: Guangzhou, China, 1989; pp. 86–87.
- Ran, M.L.; He, W.S.; Liang, T.J.; Li, X.L. Research progress in Centipeda minima. Cent. S. Pharm. 2019, 17, 1874–1879. [Google Scholar]
- Chinese Pharmacopoeia Commission. Pharmacopoeia of the People’s Republic of China 2015; Chinese Pharmacopoeia Commission: Beijing, China, 2015; Volume 1. [Google Scholar]
- Chinese Herbalism Editorial Board—State Administration of Traditional Chinese Medicine of the People’s Republic of China. Chinese Materia Medica; Shanghai Scientific: Shanghai, China, 1999; Volume 7, pp. 770–772. [Google Scholar]
- Shang, G.M.; Deng, Y.J. The efficacy and identification of Centipeda minima. Cap. Food Med. 2016, 23, 65. [Google Scholar]
- Zhang, S.N.; Zhang, Y.Y. Progress of clinical application and pharmacological research of Centipeda minima. Agric. Jilin 2015, 364, 76–77. [Google Scholar]
- Li, S.-Y.; Zhou, Y.-L.; He, D.-H.; Liu, W.; Fan, X.-Z.; Wang, Q.; Pan, H.-F.; Cheng, Y.-X.; Liu, Y.-Q. Centipeda minima extract exerts antineuroinflammatory effects via the inhibition of NF-κB signaling pathway. Phytomedicine 2020, 67, 153164. [Google Scholar] [CrossRef]
- Gao, Y.Q.; Mei, Q.X. Research progress on the pharmacological and clinical study of Centipeda minima. Glob. Tradit. Chin. Med. 2010, 3, 307–309. [Google Scholar]
- Liu, J. Essential Oil GC-MS study of Centipeda minima. Chin. Herb. Med. 2002, 33, 785–786. [Google Scholar]
- Yang, Y.F.; Wu, H.Z.; Liu, Y. Study on the chemical composition of Centipeda minima oil extracted by supercritical CO2 extraction and water distillation method I. Zhong Yao Cai 2007, 30, 808–811. [Google Scholar]
- Lin, Y.C.; Gao, M. Advances in chemical composition and pharmacological research of Centipeda minima. Chin. Med. J. 2011, 35, 303–304. [Google Scholar]
- Tan, J.; Qiao, Z.; Meng, M.; Zhang, F.; Kwan, H.Y.; Zhong, K.; Yang, C.; Wang, Y.; Zhang, M.; Liu, Z.; et al. Centipeda minima: An update on its phytochemistry, pharmacology and safety. J. Ethnopharmacol. 2022, 292, 115027. [Google Scholar] [CrossRef] [PubMed]
- Lin, Y.S.; Lv, Q.Y.; Chen, S.B. Isolation and structural elucidation of sesquiterpene Tactones from Centipeda minima (L.) A. Br. et Aschers. and bioassay on their anticancer activities. Cent. S. Pharm. 2019, 17, 356–360. [Google Scholar]
- Chan, C.O.; Xie, X.J.; Wan, S.W. Qualitative and quantitative analysis of sesquiterpene lactones in Centipeda minima by UPLC-Orbitrap-MS & UPLC-QQQ-MS. J. Pharm. Biomed. Anal. 2019, 174, 360–366. [Google Scholar] [PubMed]
- Li, C.L.; Wu, H.Z.; Huang, Y.P. 6-O-Angeloylenolin induces apoptosis through a mitochondrial/caspase and NF-kappaB pathway in human leukemia HL60 cells. Biomed. Pharmacother. 2007, 62, 401–409. [Google Scholar]
- Wu, P.; Li, X.G.; Liang, N. Two new sesquiterpene lactones from the supercritical fluid extract of Centipeda minima. J. Asian Nat. Prod. Res. 2012, 14, 515–520. [Google Scholar] [CrossRef]
- Wu, H.Z.; Liu, Y.Y.; Yang, Y.F. Study on Chemical Constituents from Ethyl Acetate Fraction of Centipeda minima. Shizhen Guoyi Guoyao 2010, 21, 1096–1098. [Google Scholar]
- Zhou, J.J.; Bi, Z.M.; Huang, Y. Chemical Constituents of Centipeda minima. Pharmacol. Clin. Res. 2013, 21, 133–134. [Google Scholar]
- Deng, H.; Zhao, H.X.; Zhou, B.W. Mechanism of palmitic acid-induced apoptosis in GC-1 cells. Chin. Pharmacol. 2023, 39, 2109–2114. [Google Scholar]
- Bian, Y.P. Synthesis Research of Thymol and Its Derivatives. Master’s Thesis, Nanjing Forestry University, Nanjing, China, 2016. [Google Scholar]
- Chen, L.P.; He, B.; Shen, Z.Q. Tannin Components of Geranium Plants in Prevention and Treatment of Alzheimer’s Disease: A Review. Zhongguo Shiyan Fangjixue Zazhi 2023, 29, 257–308. [Google Scholar]
- Li, J.; Jiang, Y.C.; Chen, J. Anti-endotoxic effects of benzoic acid from Radix Isatidis. Cent. S. Pharm. 2007, 5, 198–201. [Google Scholar]
- Hu, Y.S.; Zhu, J.H.; Jiang, B. Biotransformation of Artemisinic Acid by Cell Suspension Cultures of Eephalotaxus fortunei and Artemisia annua. Zhong Yao Cai 2010, 33, 662–665. [Google Scholar] [PubMed]
- Fu, W.C. Effects of Pentadecanoic Acid on Glucose Metabolism and Its Mechanism. Master’s Thesis, East China Normal University, Shanghai, China, 2018. [Google Scholar]
- Qin, R.A.; Mei, X.; Chen, M. Study on the anti-inflammatory effect and mechanism of volatile oil of Centipeda minima. Chin. J. Hosp. Pharm. 2006, 26, 369–371. [Google Scholar]
- Gomez-Garcia, F.; Gomez-Arias, P.J.; Montilla-Lopez, A.; Hernandez-Parada, J.; Sanz-Cabanillas, J.L.; Ruano, J.; Parra-Peralbo, E. A Scoping Review on Use of Drugs Targeting the JAK/STAT Pathway in Psoriasis. Front. Med. 2022, 9, 185. [Google Scholar] [CrossRef] [PubMed]
- Qin, X.; Chen, C.; Zhang, Y.; Zhang, L.; Mei, Y.J.; Long, X.C.; Tan, R.; Liang, W.L.; Sun, L.D. Acitretin modulates HaCaT cells proliferation through STAT1-and STAT3-dependent signaling. Saudi Pharm. J. 2017, 25, 620–624. [Google Scholar] [CrossRef] [PubMed]
- Liu, R.; Chan, B.D.; Mok, D.K.W.; Lee, C.S.; Tai, W.C.S.; Chen, S.B. Arnicolide D, from the herb Centipeda minima, Is a Therapeutic Candidate against Nasopharyngeal Carcinoma. Molecules 2019, 24, 1908. [Google Scholar] [CrossRef]
- Yu, H.M.; Wen, S.L.; Liu, Z.G. An experimental study on the therapeutic effects ofherba ceotipeda on allergic rhinitis. Chin. J. Otorhinolaryngol. Integr. Med. 2001, 220–224. [Google Scholar]
- Liu, Z.G.; Yu, H.M.; Wen, S.L. Histopathological study on allergic rhinitis treated with Centipeda minima. China J. Chin. Mater. Med. 2005, 30, 292–294. [Google Scholar]
- Chen, Q.; Zhou, C.Q.; Zhu, B.F. Study on the Antiasthmatic Effects of Essential Oil from Centipeda minima. Chin. J. Mod. Appl. Pharm. 2010, 27, 473–476. [Google Scholar]
- Chen, H.S.; Li, C.Y.; Yu, M.R. Empirical Study on the Effect of Different Extracts of Centipede minima (L.) A.Br. et Aschers on the Proliferation of Cell CNE-2. Chin. Arch. Tradit. Chin. Med. 2011, 29, 1621–1623. [Google Scholar]
- Guo, Y.Q.; Sun, H.Y.; Chan, C.O. Centipeda minima (Ebushicao)extract inhibits PI3K-Akt-mTOR signaling in nasopharyngeal carcinoma CNE-1 cells. Chin. Med. 2015, 10, 26. [Google Scholar] [CrossRef] [PubMed]
- You, P.T.; Wu, H.Z.; Deng, M. Brevilin A induces apoptosis and autophagy of colon adenocarcinoma cell CT26 via mitochondrial pathway and PI3K/AKT/mTOR in- activation. Biomed. Pharmacother. 2018, 98, 619–625. [Google Scholar] [CrossRef] [PubMed]
- Huang, X.D.; Awanoa, Y.; Maeda, E. Cytotoxic activity of two natural sesquiterpene lactones, isobutyroylplenolin and arnicolide D, on human colon cancer cell line HT-29. Nat. Prod. Res. 2014, 28, 914–916. [Google Scholar] [CrossRef] [PubMed]
- Cheng, J.Z.; Chen, J.J.; Xue, K.; Wang, Z.G.; Yu, D. Clinicopathologic and prognostic significance of VEGF, JAK2 and STAT3 in patients with nasopharyngeal carcinoma. Cancer Cell Int. 2018, 18, 110. [Google Scholar] [CrossRef] [PubMed]
- Chen, X.; Du, Y.; Nan, J.; Zhang, X.; Qin, X.; Wang, Y.; Hou, J.; Wang, Q.; Yang, J. Brevilin A, a novel natural product, inhibits janus kinase activity and blocks STAT3 signaling in cancer cells. PLoS ONE 2013, 8, e63697. [Google Scholar] [CrossRef] [PubMed]
- Cheng, X.; Liu, Y.Q.; Wang, G.; Yang, L.N.; Lu, Y.Z.; Li, X.C.; Zhou, B.; Qu, L.W.; Wang, X.L.; Cheng, Y.X. Proteomic identification of the oncoprotein STAT3 as a target of a novel Skp1 inhibitor. Oncotarget 2017, 8, 2681–2693. [Google Scholar] [CrossRef] [PubMed]
- Fan, X.Z. Centipeda minima Sensitizes Lung Cancer to Chemotherapy via Inhibiting DNA Damage Repair Pathways. Ph.D. Thesis, Guangzhou University of Chinese Medicine, Guangzhou, China, 2021. [Google Scholar]
- Fan, X.Z.; Chen, Y.F.; Zhang, S.B.; He, D.H.; Wei, S.F.; Wang, Q.; Pan, H.F.; Liu, Y.Q. Centipeda minima extract sensitizes lung cancer cells to DNA-crosslinking agents via targeting Fanconi anemia pathway. Phytomed. Int. J. Phytother. Phytopharm. 2021, 91, 153689. [Google Scholar] [CrossRef]
- Ed, S.D.; Attia, A.O.; Ismail, A. Molecular Assessment of Genetic Stability Using CDDP and DNA-barcoding Assays in Long-term Micropropagated Rose Plant. Pak. J. Biol. Sci. PJBS 2020, 23, 1176–1183. [Google Scholar]
- Chen, P.; Li, J.; Jiang, H.G.; Lan, T.; Chen, Y.C. Curcumin reverses cisplatin resistance in cisplatin-resistant lung caner cells by inhibiting FA/BRCA pathway. Tumour Biol. J. Int. Soc. Oncodev. Biol. Med. 2015, 36, 3591–3599. [Google Scholar] [CrossRef]
- Su, M.; Wu, P.; Li, Y. Antiproliferative effects of volatile oils from Centipeda minima on human nasopharyngeal cancer CNE cells. Nat. Prod. Commun. 2010, 5, 1934578X1000500135. [Google Scholar] [CrossRef]
- Lee, M.M.L.; Chan, B.D.; Wong, W.Y. Anti-cancer activity of Centipeda minima extract in triple negative breast cancer via inhibition of AKT, NF-κB, and STAT3 signaling pathways. Front. Oncol. 2020, 10, 491. [Google Scholar] [CrossRef] [PubMed]
- Liu, Y. Study on the Anti-Tumor Active Components and Their Quality Analysis of Centipeda minima. Master’s Thesis, Hubei University of Chinese Medicine, Wuhan, China, 2005. [Google Scholar]
- Liu, Y.Q.; Zhou, G.B. Promising anticancer activities and mechanisms of action of active compounds from the medicinal herb Centipeda minima (L.) A. Braun & Asch. Phytomedicine 2022, 106, 154397. [Google Scholar] [PubMed]
- Smyth, E.C.; Nilsson, M.; Grabsch, H.I.; van Grieken, N.C.; Lordick, F. Gastric cancer. Lancet 2020, 396, 635–648. [Google Scholar] [CrossRef] [PubMed]
- Balakrishnan, M.; George, R.; Sharma, A.; Graham, D.Y. Changing Trends in Stomach Cancer Throughout the World. Curr. Gastroenterol. Rep. 2017, 19, 36. [Google Scholar] [CrossRef] [PubMed]
- Wang, K.; Chen, Q.; Shao, Y.; Yin, S.; Liu, C.; Liu, Y.; Wang, R.; Wang, T.; Qiu, Y.; Yu, H. Anticancer activities of TCM and their active components against tumor metastasis. Biomed. Pharmacother. 2021, 133, 111044. [Google Scholar] [CrossRef] [PubMed]
- Linh, N.T.T.; Ha, N.T.T.; Tra, N.T.; Anh, L.T.T.; Tuyen, N.V.; Son, N.T. Medicinal Plant Centipeda minima: A Resource of Bioactive Compounds. Mini Rev. Med. Chem. 2021, 21, 273–287. [Google Scholar] [CrossRef] [PubMed]
- You, P.; Tang, L.; Zhu, Y.; Tian, Y. Brevilin A shows an anti-tumor role in prostate cancer via the lncRNA H19/miR-194/E2F3 signaling pathway. Aging 2023, 15, 4411–4428. [Google Scholar] [CrossRef]
- Lee, D.; Kwak, H.J.; Kim, B.H.; Kim, D.W.; Kim, H.Y.; Kim, S.H.; Kang, K.S. Brevilin A Isolated from Centipeda minima Induces Apoptosis in Human Gastric Cancer Cells via an Extrinsic Apoptotic Signaling Pathway. Plants 2022, 11, 1658. [Google Scholar] [CrossRef]
- Guo, Y.; Chen, D.; Lin, Y.L.; Zeng, H.P.; Chen, D.X.; Liao, S.B. Study on the Nasal Irritation and Main Organic Effect of the Drug Delivery System of Centipeda minima Oil Microemulsion-based Thermosensitive Hydrogel. Chin. J. Mod. Appl. Pharm. 2016, 33, 1126–1129. [Google Scholar]
- Zhao, L.P.; Ye, L.Q.; Wang, C. Two cases of serious adverse reactions caused by internal administration of Centipeda minima and its discussion. Zhejiang J. Tradit. Chin. Med. 2020, 55, 509. [Google Scholar]
- Fux, W.; Deng, Z.H.; Gao, L.Y. Adverse reactions and prevention and countermeasures of allergic rhinitis treated with Centipeda minima. Contin. Med. Educ. 2014, 28, 54–560. [Google Scholar]

| Chemical Substances | Molecular Formula | Molecular Weight | CAS | Chemical Structure Formula | Brief Description of the Role | Reference |
|---|---|---|---|---|---|---|
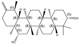
| Taraxasterol | C30H50O | 426.72 | 127-22-0 | ![]() | It is separated from Taraxacum and has anti-inflammatory and positive therapeutic effects on cancer cell lines. | [15] |
| Taraxasteryl palmitate | C46H80O2 | 665.13 | 29803-90-5 | ![]() | Antioxidant, anti-inflammatory, anti-tumor, lipid-lowering, and visual protection effects. | [15] |
| Taraxerol acetate | C32H52O6 | 468.76 | 2189-80-2 | ![]() | Positive therapeutic effects on cancer cell lines and the induction of cell apoptosis. | [15] |
| Arnidiol | C30H50O2 | 442.72 | 6750-30-7 | ![]() | It has a certain anti-inflammatory effect. It can quickly reduce swelling and clear congestion, promote healing, and has the ability to protect the body from bacterial infections, with certain anti-inflammatory and antiviral effects. | [15] |
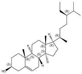
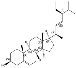
| β-sitosterol | C29H50O | 414.71 | 145428-11-1 | ![]() | Reduce serum cholesterol. | [15] |
| Spinasterol | C29H48O | 412.69 | 481-18-5 | ![]() | It is widely present in various plants, and it is an important component of plant cells | [15] |
| Stigmasterol | C29H48O | 412.69 | 83-48-7 | ![]() | It can reduce the activity of cholesterol and has positive therapeutic effects on cancer cell lines, antipyretic, anti-inflammatory, and immunomodulatory effects. | [15] |
| Stigmasterol glucoside | C35H58O6 | 574.84 | 19716-26-8 | / | The prevention and treatment of cardiovascular diseases such as hypertension and coronary heart disease. | [15] |
| Chemical Substances | Molecular Formula | Molecular Weight | CAS | Chemical Structure Formula | Brief Description of the Role | Reference |
|---|---|---|---|---|---|---|
| Quercetin | C15H10O7 | 302.2 | 117-39-5 | ![]() | Antioxidant, anti-inflammatory, cough-relieving, and asthma-relieving, heat-clearing and detoxifying, enhancing immunity, and preventing allergies. | [15] |
| Apigenin | C15H10O5 | 270.2 | 520-36-5 | ![]() | Antioxidant, anti-inflammatory, anti-tumor, lipid-lowering, and visual protection effects. | [15] |
| Nobiletin | C21H22O8 | 402.3 | 478-01-3 | ![]() | Anti-blood cell agglutination, anti-thrombosis, anti-inflammatory, antiviral, anti mutation, anti-allergic. | [15] |
| Quercetin -3-O-β-D-glucuronide | C21H20O12 | 464.4 | 482-36-0 | ![]() | Antioxidant and antiatherosclerotic effects. | [16] |
| Quercetin-3,3′-dimethyl ether | C17H14O7 | 330.3 | 18085-97-7 | ![]() | Antioxidant activity. | [16] |
| Quercetin-3-methyl ether | C16H12O7 | 316.3 | 480-19-3 | ![]() | Inhibiting proliferation and inducing the apoptosis of colorectal cancer cells. | [16] |
| Chemical Substances | Molecular Formula | Molecular Weight | CAS | Chemical Structure Formula | Brief Description of the Role | Reference |
|---|---|---|---|---|---|---|
| Ursane-20(30)-en-3β,16β-21α-triol | C30H50O3 | 458.7 | 4547-28-8 | / | Has antibacterial activity. | [16] |
| Taraxasterol acetate | C31H52O2 | 456.7 | 6426-43-3 | / | Anti-hepatitis. | [16] |
| Friedelin | C30H50O | 426.7 | 559-74-0 | / | Anti inflammatory, antioxidant, and has positive therapeutic effects on cancer cell lines. | [16] |
| Chemical Substances | Molecular Formula | Molecular Weight | CAS | Chemical Structure Formula | Brief Description of the Role |
|---|---|---|---|---|---|
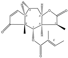
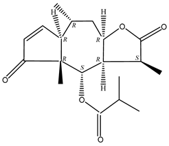
| Brevilin A | C20H26O5 | 346.42 | 16503-32-5 | ![]() | Anti-cancer |
| Microhelenin C | C20H26O5 | 346.42 | 63569-07-3 | ![]() | Anti-cancer |
| Arnicolide D | C19H24O5 | 332.39 | 34532-68-8 | ![]() | Anti-cancer |
| Arnicolide C | C19H26O5 | 334.39 | 34532-67-7 | ![]() | Anti nasopharyngeal carcinoma |
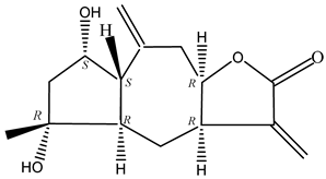
| Minimolide G | C20H13O6 | 337.42 | / | ![]() | Anti nasopharyngeal carcinoma |
| Minimolide H | C20H13O6 | 337.42 | / | ![]() | Anti nasopharyngeal carcinoma |
| Forilenalin | C15H20O4 | 264.32 | 54964-49-7 | ![]() | Anti-tumor |
| 2β-Light-2,3-dihydro-6-O-angenoylpolygonum chrysin | C20H28O6 | 364.32 | / | ![]() | Anti nasopharyngeal carcinoma |
| Minimolide F | C19H26O5 | 334.40 | 1367351-41-4 | ![]() | Anti-cancer |
| 6-O-angeloylenolin | C20HO5 | / | / | ![]() | / |
| Senecioylplenolin | C22HO5 | / | / | ![]() | / |
| Angelicacid florilenalin | C20HO3 | / | / | ![]() | / |
| Chemical Substances | Molecular Formula | Molecular Weight | CAS | Chemical Structure Formula | Brief Description of the Role | Reference |
|---|---|---|---|---|---|---|
| Thymol | C10H14O | 150.218 | 89-83-8 | ![]() | Mainly from the genus Thymus, it can promote the movement of tracheal cilia, favoring the secretion of tracheal mucus and acting as an expectorant. | [24] |
| Cornusiin | C68H59O44 | 1571.1 | 95263-69-7 | ![]() | Anti-oxidative stress protects nerve cells and prevents AD (Alzheimer’s disease). | [25] |
| Uracil | C4H4N2O2 | 112.087 | 66-22-8 | ![]() | / | / |
| Benzoic acid | C7H6O2 | 122.12 | 65-85-0 | ![]() | Has an anti-endotoxin effect. | [26] |
| Palmitic acid-13C | C1513CH32O2 | 257.417 | 287-100-87-2 | ![]() | Excess palmitic acid causes apoptosis in some cells. | [23] |
| Artemisinic acid | C15H22O2 | 234.334 | 80286-58-4 | ![]() | Artemisinic acid is an important intermediate in the biosynthetic pathway of the antimalarial drug artemisinin, which itself has some antimalarial effects. | [27] |
| Pentadecanoic acid | C15H30O2 | 242.398 | 1002-84-2 | ![]() | Pentadecanoic acid reduces the total serum cholesterol, inhibits inflammatory factors, and prevents the destructive effects of diabetes on pancreatic islet cells. | [28] |
| cis-Vaccenic acid | C18H34O2 | 282.461 | 506-17-2 | ![]() | / | / |
| Pharmacological Activities | Functional Roles | References |
|---|---|---|
| antioxidant | Contains a variety of active ingredients such as polyphenols, flavonoids, triterpenes, steroids, etc. Ability to scavenge free radicals and reduce oxidative damage Slow down the aging process | [\] |
| anti-inflammatory (medicine) | Inhibits the release of inflammatory mediators Promotes the activation and proliferation of lymphocytes | [11,29,45,46,47,48,49] |
| asthma | Antispasmodic effect on histamine the phosphate-induced spasm of the tracheal smooth muscle | [50] |
| antitumor effect | The inhibition of tumor cell growth and spread The ability to scavenge free radicals, reduce oxidative damage and protect cells from oxidative damage. The prevention and treatment of many tumor diseases Regulating cell cycle proteins and multiple signaling pathways Enhancing the sensitivity of DNA cross-linking agents | [29,30,32,33,34,51,52,53,54,55,56] |
Disclaimer/Publisher’s Note: The statements, opinions and data contained in all publications are solely those of the individual author(s) and contributor(s) and not of MDPI and/or the editor(s). MDPI and/or the editor(s) disclaim responsibility for any injury to people or property resulting from any ideas, methods, instructions or products referred to in the content. |
© 2023 by the authors. Licensee MDPI, Basel, Switzerland. This article is an open access article distributed under the terms and conditions of the Creative Commons Attribution (CC BY) license (https://creativecommons.org/licenses/by/4.0/).
Share and Cite
Liu, J.; Zheng, W.; He, Y.; Zhang, W.; Luo, Z.; Liu, X.; Jiang, X.; Meng, F.; Wu, L. A Review of the Research Applications of Centipeda minima. Molecules 2024, 29, 108. https://doi.org/10.3390/molecules29010108
Liu J, Zheng W, He Y, Zhang W, Luo Z, Liu X, Jiang X, Meng F, Wu L. A Review of the Research Applications of Centipeda minima. Molecules. 2024; 29(1):108. https://doi.org/10.3390/molecules29010108
Chicago/Turabian StyleLiu, Jiajun, Wenying Zheng, Yifan He, Wanying Zhang, Zhanhao Luo, Xiaotian Liu, Xingyan Jiang, Fanxin Meng, and Liyan Wu. 2024. "A Review of the Research Applications of Centipeda minima" Molecules 29, no. 1: 108. https://doi.org/10.3390/molecules29010108
APA StyleLiu, J., Zheng, W., He, Y., Zhang, W., Luo, Z., Liu, X., Jiang, X., Meng, F., & Wu, L. (2024). A Review of the Research Applications of Centipeda minima. Molecules, 29(1), 108. https://doi.org/10.3390/molecules29010108

































