The Influence of Microwave-Assisted Extraction on the Phenolic Compound Profile and Biological Activities of Extracts from Selected Scutellaria Species
Abstract
1. Introduction
2. Results and Discussion
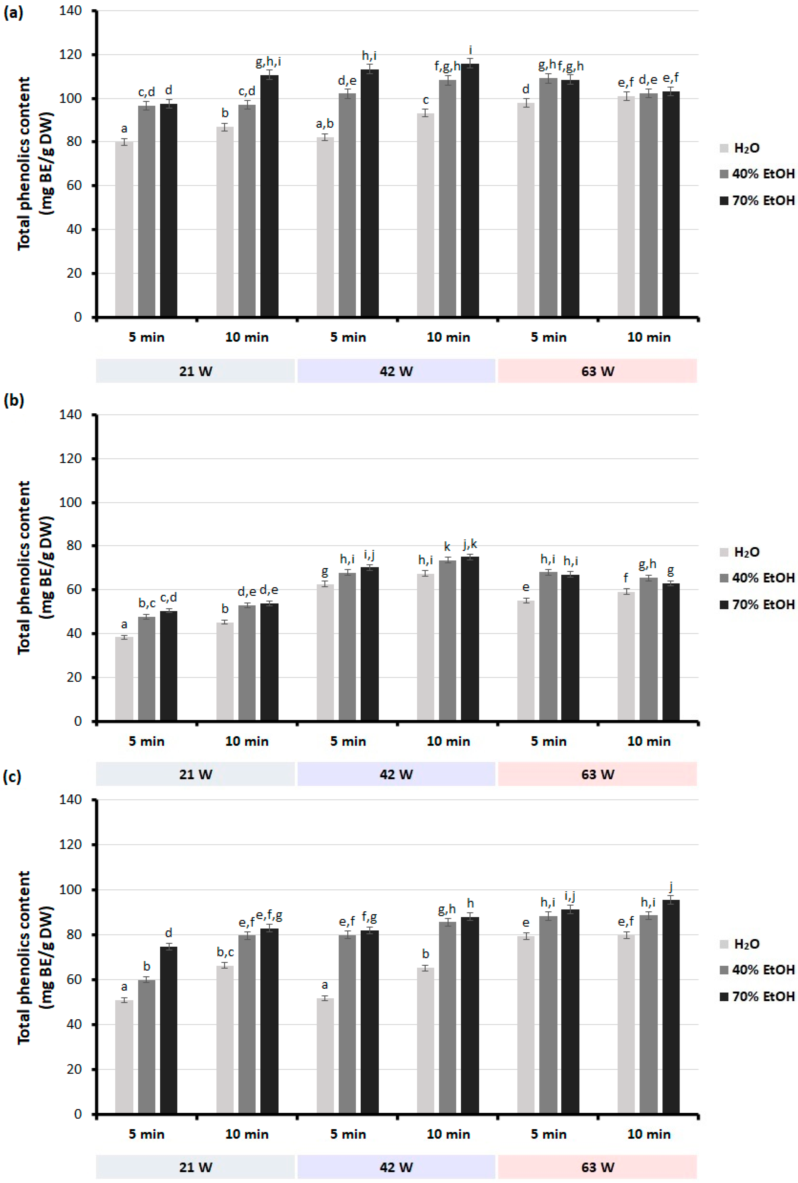
2.1. The Extraction Yield and Total Phenolic Content of the Extracts of Selected Species of Scutellaria
2.2. Antioxidant and Anti-Inflammatory Activity of the Extracts of Selected Species of Scutellaria
2.3. Phenolic Profiles of the Extracts of Selected Species of Scutellaria
3. Materials and Methods
3.1. Chemical Reagents and Materials
3.2. Plant Materials
3.3. Microwave-Assisted Extraction (MAE)
3.4. Identification and Quantification of Polyphenolic Compounds by UHPLC–DAD/ESI–HRMS/MS
3.5. Determination of Total Phenolic Content
3.6. Evaluation of the Antioxidant Activity
3.7. Evaluation of the Anti-Inflammatory Activity
3.8. Statistical Analysis
4. Conclusions
Supplementary Materials
Author Contributions
Funding
Institutional Review Board Statement
Informed Consent Statement
Data Availability Statement
Conflicts of Interest
Sample Availability
References
- Ranjbar, M.; Mahmoudi, C. Chromosome numbers and biogeography of the genus Scutellaria, L. (Lamiaceae). Caryologia 2013, 66, 205–214. [Google Scholar] [CrossRef]
- Zhao, F.; Liu, E.D.; Peng, H.; Xiang, C.L. A new species of Scutellaria (Scutellarioideae, Lamiaceae) from Sichuan Province in southwest. China PeerJ. 2017, 5, 1–17. [Google Scholar]
- Liu, X.; Zuo, Y.; Lin, L.; Li, W.; Wang, Q.; Deng, H. The complete chloroplast genome of Scutellaria tsinyunensis (Lamiaceae), an endemic species from China. Mitochondrial DNA B Resour. 2020, 5, 2568–2570. [Google Scholar] [CrossRef] [PubMed]
- Shang, X.; He, X.; Li, M.; Zhang, R.; Fan, P. The genus Scutellaria an ethnopharmacological and phytochemical review. J. Ethnopharm. 2010, 128, 279–313. [Google Scholar] [CrossRef]
- Bai, C.; Wen, M.; Zhang, L.; Li, G. Genetic diversity and sampling strategy of Scutellaria baicalensis germplasm resources based on ISSR. Genet. Resour. Crop Evol. 2013, 60, 1673–1685. [Google Scholar] [CrossRef]
- Murch, S.J.; Rupasinghe, H.P.V.; Goodenowe, D.; Saxena, P.K. A metabolomic analysis of medicinal diversity in Huang–qin (Scutellaria baicalensis Georgi) genotypes: Discovery of novel compounds. Plant Cell Rep. 2004, 23, 419–425. [Google Scholar] [CrossRef]
- Wang, Z.L.; Wang, S.; Kuang, Y.; Hu, Z.M.; Qiao, X.; Ye, M. A comprehensive review on phytochemistry, pharmacology, and flavonoid biosynthesis of Scutellaria baicalensis. Pharm. Biol. 2018, 56, 465–484. [Google Scholar] [CrossRef]
- Chandrakala, N.; Ramya, J. Screening the antibacterial activity of Scutellaria baicalensis against human and animal pathogens. Int. Res. J. Eng. Technol. 2018, 5, 1920–1923. [Google Scholar]
- Nurul Islam, M.; Downey, F.; Ng, C. Comparative analysis of bioactive phytochemicals from Scutellaria baicalensis, Scutellaria lateriflora, Scutellaria racemosa, Scutellaria tomentosa and Scutellaria wrightii by LC–DAD–MS. Metabolomics 2011, 7, 446–453. [Google Scholar] [CrossRef]
- Blaszczyk, T.; Krzyzanowska, J.; Lamer–Zarawska, E. Screening for antimycotic properties of 56 traditional Chinese drugs. Phytother. Res. 2000, 14, 210–212. [Google Scholar] [CrossRef]
- Da, X.; Nishiyama, Y.; Tie, D.; Hein, K.Z.; Yamamoto, O.; Morita, E. Antifungal activity and mechanism of action of Ou–gon (Scutellaria root extract) components against pathogenic fungi. Sci. Rep. 2019, 9, 1683. [Google Scholar] [CrossRef] [PubMed]
- Shan, B.; Cai, Y.Z.; Brooks, J.D.; Corke, H. The in vitro antibacterial activity of dietary spice and medicinal herb extracts. Int. J. Food Microbiol. 2007, 117, 112–119. [Google Scholar] [CrossRef] [PubMed]
- Yang, Z.C.; Wang, B.C.; Yang, X.S. The synergistic activity of antibiotics combined with eight traditional Chinese medicines against two different strains of Staphylococcus aureus. Colloids Surf. B Biointerf. 2005, 41, 79–81. [Google Scholar] [CrossRef] [PubMed]
- Gao, Z.; Huang, K.; Yang, X.; Xu, H. Free radical scavenging and antioxidant activities of flavonoids extracted from the radix of Scutellaria baicalensis Georgi. Biochim. Biophys. Acta 1999, 1472, 643–650. [Google Scholar] [CrossRef] [PubMed]
- Kim, D.S.; Son, E.J.; Kim, M.; Heo, Y.M.; Nam, J.B.; Ro, J.Y.; Woo, S.S. Antiallergic herbal composition from Scutellaria baicalensis and Phyllostachys edulis. Planta Med. 2010, 76, 678–682. [Google Scholar] [CrossRef]
- Bui, T.T.; Piao, C.H.; Song, C.H.; Lee, C.H.; Shin, H.S.; Chai, O.H. Baicalein, wogonin, and Scutellaria baicalensis ethanol extract alleviate ovalbumin–induced allergic airway inflammation and mast cell–mediated anaphylactic shock by regulation of Th1/Th2 imbalance and histamine release. Anat. Cell Biol. 2017, 50, 124–134. [Google Scholar] [CrossRef]
- Wang, J.; Chen, S.; Zhang, J.; Wu, J. Scutellaria baicalensis georgi is a promising candidate for the treatment of autoimmune diseases. Front Pharmacol. 2022, 13, 946030. [Google Scholar] [CrossRef]
- Lin, C.C.; Kuo, C.L.; Lee, M.H.; Lai, K.C.; Lin, J.P.; Yang, J.S.; Yu, C.S.; Lu, C.C.; Chiang, J.H.; Chueh, F.S.; et al. Wogonin triggers apoptosis in human osteosarcoma U–2 OS cells through the endoplasmic reticulum stress, mitochondrial dysfunction and caspase–3–dependent signaling pathways. Int. J. Oncol. 2011, 39, 217–224. [Google Scholar]
- Huang, K.F.; Zhang, G.D.; Huang, Y.Q.; Diao, Y. Wogonin induces apoptosis and down–regulates survivin in human breast cancer MCF–7 cells by modulating PI3K–AKT pathway. Int. Immunopharmacol. 2012, 12, 334–341. [Google Scholar] [CrossRef]
- Tsai, C.F.; Yeh, W.L.; Huang, S.M.; Tan, T.W.; Lu, D.-Y. Wogonin Induces Reactive Oxygen Species Production and Cell Apoptosis in Human Glioma Cancer Cells. Int. J. Mol. Sci. 2012, 13, 9877–9892. [Google Scholar] [CrossRef]
- Hu, C.; Xu, M.; Qin, R.; Chen, W.; Xu, X. Wogonin induces apoptosis and endoplasmic reticulum stress in HL–60 leukemia cells through inhibition of the PI3K–AKT signaling pathway. Oncol. Rep. 2015, 33, 3146–3154. [Google Scholar] [CrossRef] [PubMed]
- Zhuang, P.W.; Cui, G.Z.; Zhang, Y.J.; Zhang, M.X.; Guo, H.; Zhang, J.B.; Lu, Z.Q.; Asaiah, A.O.; Lin, Y.X. Baicalin regulates neuronal fate decision in neural stem/progenitor cells and stimulates hippocampal neurogenesis in adult rats. CNS Neurosci. Ther. 2013, 19, 154–162. [Google Scholar] [CrossRef] [PubMed]
- Xiao, Z.; Cao, Z.; Yang, J.; Jia, Z.; Du, Y.; Sun, G.; Lu, Y.; Pei, L. Baicalin promotes hippocampal neurogenesis via the Wnt/β–catenin pathway in a chronic unpredictable mild stress–induced mouse model of depression. Biochem. Pharmacol. 2021, 190, 114594. [Google Scholar] [CrossRef] [PubMed]
- Zhang, K.; Pan, X.; Wang, F.; Ma, J.; Su, G.; Dong, Y.; Yang, J.; Wu, C. Baicalin promotes hippocampal neurogenesis via SGK1– and FKBP5–mediated glucocorticoid receptor phosphorylation in a neuroendocrine mouse model of anxiety/depression. Sci. Rep. 2016, 6, 30951. [Google Scholar] [CrossRef]
- Sowndhararajan, K.; Deepa, P.; Kim, M.; Park, S.J.; Kim, S. Neuroprotective and Cognitive Enhancement Potentials of Baicalin: A Review. Brain Sci. 2018, 8, 104. [Google Scholar] [CrossRef]
- Wang, X.; Yu, J.Y.; Sun, Y.; Wang, H.; Shan, H.; Wang, S. Baicalin protects LPS-induced blood-brain barrier damage and activates Nrf2-mediated antioxidant stress pathway. Int. Immunopharmacol. 2021, 96, 107725. [Google Scholar] [CrossRef]
- Kwiecień, I.; Miceli, N.; D’Arrigo, M.; Marino, A.; Ekiert, H. Antioxidant Potential and Enhancement of Bioactive Metabolite Production in In Vitro Cultures of Scutellaria lateriflora L. by Biotechnological Methods. Molecules 2022, 27, 1140. [Google Scholar] [CrossRef]
- Shen, J.; Li, P.; Liu, S.; Liu, Q.; Li, Y.; Sun, Y.; He, C.; Xiao, P. Traditional uses, ten–years research progress on phytochemistry and pharmacology, and clinical studies of the genus Scutellaria. J. Ethnopharmacol. 2021, 265, 113198. [Google Scholar] [CrossRef]
- Yu, C.; Qu, F.; Mao, Y.; Li, D.; Zhen, Z.; Nass, R.; Calway, T.; Wang, Y.; Yuan, C.S.; Wang, C.Z. Different extraction pretreatments significantly change the flavonoid contents of Scutellaria baicalensis. Pharm. Biol. 2013, 51, 1228–1235. [Google Scholar] [CrossRef]
- Zhang, Q.; Zhao, S.-h.; Chen, J.; Zhang, L.-W. Application of ionic liquid-based microwave-assisted extraction of flavonoids from Scutellaria baicalensis Georgi. J. Chrom. B 2015, 1002, 411–417. [Google Scholar] [CrossRef]
- Xiang, Z.; Wu, X. Ultrasonic-Microwave Assisted Extraction of Total Flavonoids from Scutellaria baicalensis Using Response Surface Methodology. Pharm. Chem. J. 2017, 51, 318–323. [Google Scholar] [CrossRef]
- Yang, Y.C.; Wei, M.C.; Huang, T.C.; Lee, S.Z.; Lin, S.S. Comparison of modified ultrasound-assisted and traditional extraction methods for the extraction of baicalin and baicalein from Radix Scutellariae. Ind. Crops Prod. 2013, 45, 182–190. [Google Scholar] [CrossRef]
- Zhou, X.; Choi, P.S.; Yang, J.M.; Or, P.M.Y.; Hoi, P.M.; Lee, S.M.Y.; Leung, G.P.H.; Ngai, S.M.; Kong, S.K.; Ho, H.P.; et al. Chemical and pharmacological evaluations on the extract of Scutellaria baicalensis Georgi (Huang–Qin) prepared by various extraction methods. SpringerPlus 2016, 5, 1438. [Google Scholar] [CrossRef] [PubMed]
- Zhang, L.; Wang, Y.; Wu, D.; Xu, M.; Chen, J. Microwave–assisted extraction of polyphenols from Camellia oleifera fruit hull. Molecules 2011, 16, 4428–4437. [Google Scholar] [CrossRef] [PubMed]
- Duan, W.; Jin, S.; Zhao, G.; Sun, P. Microwave–assisted extraction of anthocyanin from Chinese bayberry and its effects on anthocyanin stability. Food Sci. Technol. 2015, 35, 524–530. [Google Scholar] [CrossRef]
- Cardoso–Ugarte, G.A.; Juárez–Becerra, G.P.; Sosa–Morales, M.E.; López–Malo, A. Microwave–assisted extraction of essential oils from herbs. J. Micro. Power Electromagn. Energy 2013, 47, 63–72. [Google Scholar] [CrossRef]
- Uzel, R.A. Microwave–assisted green extraction technology for sustainable food processing: Emerging microwave technologies in industrial, agricultural, medical and food processing. In Emerging Microwave Technologies in Industrial, Agricultural, Medical and Food Processing; Kok, Y.Y., Ed.; Intech Open: London, UK, 2018; pp. 159–178. [Google Scholar]
- Chaves, J.O.; de Souza, M.C.; da Silva, L.C.; Lachos-Perez, D.; Torres-Mayanga, P.C.; Machado, A.P.D.F.; Forster-Carneiro, T.; Vázquez-Espinosa, M.; González-de-Peredo, A.V.; Barbero, G.F.; et al. Extraction of Flavonoids From Natural Sources Using Modern Techniques. Front. Chem. 2020, 8, 507887. [Google Scholar] [CrossRef]
- Ni, H.; Wu, Z.; Muhammad, I.; Lu, Z.; Li, J. Optimization of baicalin water extraction process from Scutellaria baicalensis (a traditional Chinese medicine) by using orthogonal test and HPLC. Rev. Bras Farmacogn. 2018, 28, 151–155. [Google Scholar] [CrossRef]
- Georgieva, Y.; Katsarova, M.; Stoyanov, P.; Mladenov, R.; Denev, P.; Teneva, D.; Plotnikov, E.; Bozov, P.; Dimitrova, S. Metabolite Profile and Antioxidant Activity of Some Species of Genus Scutellaria Growing in Bulgaria. Plants 2020, 10, 45. [Google Scholar] [CrossRef]
- Bergeron, C.; Gafner, S.; Clausen, E.; Carrier, D.J. Comparison of the chemical composition of extracts from Scutellaria Lateriflora using accelerated solvent extraction and supercritical fluid extraction versus standard hot water or 70% ethanol extraction. J. Agric. Food Chem. 2005, 53, 3076–3080. [Google Scholar] [CrossRef]
- Subramaniam, S.; Raju, R.; Palanisamy, A.; Sivasubramanian, A. Development and extraction optimization of baicalein and pi-nostrobin from Scutellaria violacea through response surface methodology. Pharmacogn Mag. 2015, 11, S127–S138. [Google Scholar] [CrossRef]
- Lee, K.J.; Jung, P.M.; Oh, Y.C.; Song, N.Y.; Kim, T.; Ma, J.Y. Extraction and Bioactivity Analysis of Major Flavones Compounds from Scutellaria baicalensis Using In Vitro Assay and Online Screening HPLC-ABTS System. J. Anal. Methods Chem. 2014, 2014, 563702. [Google Scholar] [PubMed]
- Kulbat–Warycha, K.; Oracz, J.; Żyżelewicz, D. Bioactive Properties of Extracts from Plectranthus barbatus (Coleus forskohlii) Roots Received Using Various Extraction Methods. Molecules 2022, 27, 8986. [Google Scholar] [CrossRef] [PubMed]
- Arituluk, Z.C.; Ozkul Kocak, C.; Renda, G.; Ekizoglu, M.; Ezer, N. Antimicrobial activity of three Scutellaria, L. species from Turkey. J. Res. Pharm. 2019, 23, 552–558. [Google Scholar] [CrossRef]
- Lohani, M.; Ahuja, M.; Buabeid, M.A.; Dean, S.; Dennis, S.; Suppiramaniamm, V.; Kemppainen, B.; Dhanasekaran, M. Anti-oxidative and DNA protecting effects of flavonoids-rich Scutellaria lateriflora. Nat. Prod. Commun. 2013, 8, 1415–1418. [Google Scholar] [CrossRef]
- Zhang, Y.-Y.; Thakur, K.; Wei, C.-K.; Wang, H.; Zhang, J.-G.; Wei, Z.-J. Evaluation of inhibitory activity of natural plant polyphenols on Soybean lipoxygenase by UFLC-mass spectrometry. S. Afr. J. Bot. 2019, 120, 179–185. [Google Scholar] [CrossRef]
- Burnett, B.P.; Jia, Q.; Zhao, Y.; Levy, R.M. A medicinal extract of Scutellaria baicalensis and Acacia catechu acts as a dual inhibitor of cyclooxygenase and 5-lipoxygenase to reduce inflammation. J. Med. Food 2007, 10, 442–451. [Google Scholar] [CrossRef]
- Lončarić, M.; Strelec, I.; Moslavac, T.; Šubarić, D.; Pavić, V.; Molnar, M. Lipoxygenase Inhibition by Plant Extracts. Biomolecules 2021, 11, 152. [Google Scholar] [CrossRef]
- Seo, O.N.; Kim, G.S.; Kim, Y.H.; Park, S.; Jeong, S.W.; Lee, S.J.; Jin, J.S.; Shin, S.C. Determination of polyphenol components of Korean Scutellaria baicalensis Georgi using liquid chromatography–tandem mass spectrometry: Contribution to overall antioxidant activity. J. Func. Foods 2013, 5, 1741–1750. [Google Scholar] [CrossRef]
- Xu, J.; Yu, Y.; Shi, R.; Xie, G.; Zhu, Y.; Wu, G.; Qin, M. Organ-Specific Metabolic Shifts of Flavonoids in Scutellaria baicalensis at Different Growth and Development Stages. Molecules 2018, 23, 428. [Google Scholar] [CrossRef]
- Lin, L.Z.; Harnly, J.M.; Upton, R. Comparison of the phenolic component profiles of skullcap (Scutellaria lateriflora) and germander (Teucrium canadense and T. chamaedrys), a potentially hepatotoxic adulterant. Phytochem. Anal. 2009, 20, 298–306. [Google Scholar] [CrossRef]
- Malikov, V.M.; Yuldashev, M.P. Phenolic Compounds of Plants of the Scutellaria Genus. Distribution, Structure, and Properties. Chem. Nat. Compd. 2002, 38, 358–406, 473–519. [Google Scholar] [CrossRef]
- Hu, L.; Xiong, Y.; Zou, Z.; Yang, Y.; He, J.; Zhong, L.; Wang, Y.; Yang, M. Identifying the chemical markers in raw and wine-processed Scutellaria baicalensis by ultra-performance liquid chromatography/quadrupole time-of-flight mass spectrometry coupled with multiple statistical strategies. Biomed. Chromatogr. 2020, 34, e4849. [Google Scholar] [CrossRef] [PubMed]
- Dobroslavić, E.; Elez Garofulić, I.; Zorić, Z.; Pedisić, S.; Dragović-Uzelac, V. Polyphenolic Characterization and Antioxidant Capacity of Laurus nobilis L. Leaf Extracts Obtained by Green and Conventional Extraction Techniques. Processes 2021, 9, 1840. [Google Scholar] [CrossRef]
- Platzer, M.; Kiese, S.; Herfellner, T.; Schweiggert-Weisz, U.; Eisner, P. How Does the Phenol Structure Influence the Results of the Folin-Ciocalteu Assay? Antioxidants 2021, 10, 811. [Google Scholar] [CrossRef] [PubMed]
- Zhang, H.; Cai, X.T.; Tian, Q.H.; Xiao, L.X.; Zeng, Z.; Cai, X.T.; Yan, J.Z.; Li, Q.Y. Microwave-assisted degradation of polysaccharide from Polygonatum sibiricum and antioxidant activity. J. Food Sci. 2019, 84, 754–761. [Google Scholar] [CrossRef] [PubMed]
- Shao, Z.H.; Li, C.Q.; Vanden Hoek, T.L.; Becker, L.B.; Schumacker, P.T.; Wu, J.A.; Attele, A.S.; Yuan, C.S. Extract from Scutellaria baicalensis Georgi attenuates oxidant stress in cardiomyocytes. J. Mol. Cell Cardiol. 1999, 31, 1885–1895. [Google Scholar] [CrossRef]
- Grzegorczyk-Karolak, I.; Wysokińska, H.; Olas, B. Studies on the antioxidant properties of extracts from the roots and shoots of two Scutellaria species in human blood plasma. Acta Biochim. Pol. 2015, 62, 253–258. [Google Scholar] [CrossRef]
- Grzegorczyk-Karolak, I.; Kontek, B.; Kontek, R.; Wysokińska, H.; Olas, B. Evaluation of antioxidant activity of extracts from the roots and shoots of Scutellaria alpina L. and S. altissima L. in selected blood cells. Adv. Clin. Exp. Med. 2019, 28, 453–460. [Google Scholar] [CrossRef]
- Liao, H.; Ye, J.; Gao, L.; Liu, Y. The main bioactive compounds of Scutellaria baicalensis Georgi. for alleviation of inflammatory cytokines: A comprehensive review. Biomed. Pharmacother. 2021, 133, 110917. [Google Scholar] [CrossRef]
- Oracz, J.; Żyżelewicz, D. In Vitro Antioxidant Activity and FTIR Characterization of High-Molecular Weight Melanoidin Fractions from Different Types of Cocoa Beans. Antioxidants 2019, 8, 560. [Google Scholar] [CrossRef] [PubMed]
- Michel, P.; Owczarek, A.; Matczak, M.; Kosno, M.; Szymański, P.; Mikiciuk-Olasik, E.; Kilanowicz, A.; Wesołowski, W.; Olszewska, M.A. Metabolite Profiling of Eastern Teaberry (Gaultheria procumbens L.) Lipophilic Leaf Extracts with Hyaluronidase and Lipoxygenase Inhibitory Activity. Molecules 2017, 22, 412. [Google Scholar] [CrossRef] [PubMed]




| Extraction Conditions | Yield of Crude Extract (mg/g) | ||||
|---|---|---|---|---|---|
| Solvent | Microwave Power | Time | SBR | SBL | SLL |
| H2O | 21 W | 5 min | 349.16 ± 0.85 a | 249.36 ± 0.76 a | 279.77 ± 0.68 a |
| 10 min | 351.82 ± 0.79 a | 324.22 ± 0.82 g | 323.92 ± 0.71 c | ||
| 42 W | 5 min | 436.47 ± 0.82 f | 321.45 ± 0.75 f,g | 341.15 ± 0.73 g,h | |
| 10 min | 444.71 ± 0.76 g | 348.19 ± 0.72 k | 343.91 ± 0.75 h,i | ||
| 63 W | 5 min | 443.03 ± 0.81 g | 334.65 ± 0.74 i | 338.30 ± 0.81 f,g | |
| 10 min | 453.44 ± 0.73 i | 355.57 ± 0.67 l | 359.95 ± 0.83 j | ||
| 40% EtOH | 21 W | 5 min | 381.21 ± 0.77 b | 298.66 ± 0.73 b | 309.63 ± 0.73 b |
| 10 min | 403.08 ± 0.81 d | 311.50 ± 0.72 d | 327.78 ± 0.76 d | ||
| 42 W | 5 min | 417.10 ± 0.79 e | 304.56 ± 0.76 c | 345.43 ± 0.75 i | |
| 10 min | 467.60 ± 0.87 k | 320.70 ± 0.80 e,f | 335.44 ± 0.72 e,f | ||
| 63 W | 5 min | 463.03 ± 0.85 j | 318.08 ± 0.76 e | 332.39 ± 0.81 e | |
| 10 min | 473.44 ± 0.82 l,m | 331.31 ± 0.72 h | 344.48 ± 0.76 i | ||
| 70% EtOH | 21 W | 5 min | 388.48 ± 0.75 c | 329.39 ± 0.81 h | 341.31 ± 0.75 g,h |
| 10 min | 449.14 ± 0.79 h | 347.96 ± 0.82 j,k | 360.12 ± 0.72 j | ||
| 42 W | 5 min | 461.08 ± 0.81 j | 345.09 ± 0.69 j | 366.11 ± 0.81 k | |
| 10 min | 472.12 ± 0.83 l | 359.91 ± 0.76 m | 378.73 ± 0.78 l | ||
| 63 W | 5 min | 477.10 ± 0.78 m | 349.79 ± 0.73 k | 367.73 ± 0.74 k | |
| 10 min | 488.03 ± 0.76 n | 373.47 ± 0.81 n | 386.05 ± 0.75 m | ||
| Plant Material | Extraction Conditions | LOX Inhibition (IC50, µg/mL) | ||
|---|---|---|---|---|
| Solvent | Microwave Power | Time | ||
| Root of S. baicalensis | H2O | 21 W | 5 min | 40.78 ± 0.12 k |
| 10 min | 29.45 ± 0.15 j,k | |||
| 42 W | 5 min | 33.47 ± 0.13 f | ||
| 10 min | 36.86 ± 0.10 h | |||
| 63 W | 5 min | 39.72 ± 0.11 j | ||
| 10 min | 44.12 ± 0.09 l | |||
| 40% EtOH | 21 W | 5 min | 37.29 ± 0.15 h | |
| 10 min | 32.25 ± 0.14 e | |||
| 42 W | 5 min | 38.93 ± 0.13 i | ||
| 10 min | 33.90 ± 0.11 f | |||
| 63 W | 5 min | 38.60 ± 0.11 i | ||
| 10 min | 30.80 ± 0.13 c,d | |||
| 70% EtOH | 21 W | 5 min | 35.77 ± 0.12 g | |
| 10 min | 30.59 ± 0.13 c,d | |||
| 42 W | 5 min | 31.08 ± 0.10 d | ||
| 10 min | 29.40 ± 0.11 b | |||
| 63 W | 5 min | 30.24 ± 0.14 c | ||
| 10 min | 28.16 ± 0.13 a | |||
| Leaves of S. baicalensis | H2O | 21 W | 5 min | 71.60 ± 0.15 k |
| 10 min | 68.55 ± 0.10 i | |||
| 42 W | 5 min | 63.33 ± 0.11 f | ||
| 10 min | 67.77 ± 0.12 h | |||
| 63 W | 5 min | 71.53 ± 0.14 k | ||
| 10 min | 77.30 ± 0.15 m | |||
| 40% EtOH | 21 W | 5 min | 68.33 ± 0.12 h,i | |
| 10 min | 61.72 ± 0.13 e | |||
| 42 W | 5 min | 70.49 ± 0.16 j | ||
| 10 min | 63.88 ± 0.11 f | |||
| 63 W | 5 min | 70.05 ± 0.12 j | ||
| 10 min | 59.82 ± 0.10 c,d | |||
| 70% EtOH | 21 W | 5 min | 66.33 ± 0.14 g | |
| 10 min | 59.54 ± 0.13 c,d | |||
| 42 W | 5 min | 60.18 ± 0.12 d | ||
| 10 min | 57.98 ± 0.11 b | |||
| 63 W | 5 min | 59.07 ± 0.13 c | ||
| 10 min | 56.35 ± 0.12 a | |||
| Leaves of S. lateriflora | H2O | 21 W | 5 min | 61.87 ± 0.14 k |
| 10 min | 54.58 ± 0.12 f | |||
| 42 W | 5 min | 56.52 ± 0.13 i | ||
| 10 min | 49.70 ± 0.11 c | |||
| 63 W | 5 min | 55.81 ± 0.10 g,h | ||
| 10 min | 49.21 ± 0.13 c | |||
| 40% EtOH | 21 W | 5 min | 61.80 ± 0.14 k | |
| 10 min | 54.53 ± 0.11 f | |||
| 42 W | 5 min | 56.45 ± 0.12 h,i | ||
| 10 min | 49.66 ± 0.15 c | |||
| 63 W | 5 min | 55.74 ± 0.10 g | ||
| 10 min | 49.42 ± 0.15 c | |||
| 70% EtOH | 21 W | 5 min | 58.05 ± 0.13 j | |
| 10 min | 52.03 ± 0.12 d | |||
| 42 W | 5 min | 52.95 ± 0.13 e | ||
| 10 min | 42.32 ± 0.14 b | |||
| 63 W | 5 min | 42.27 ± 0.12 b | ||
| 10 min | 39.31 ± 0.10 a | |||
| Baicalein | 1.35 ± 0.05 | |||
| Baicalin | 2.30 ± 0.07 | |||
| Peak No. | Rt (min) | λmax (nm) | [M−H]− (m/z) | Fragment Ions (m/z) | Compound Identified | Abbreviation | References | SBR | SBL | SLL |
|---|---|---|---|---|---|---|---|---|---|---|
| 1 | 22.32 | 285.8, 361.7 | 479.0858 | 347.0673, 285.0969 | 5,6,7,3′,4′-Pentahydroxyflavanon 7-O-glucoronide | Phf-GluA | [50] | - | + | - |
| 2 | 22.73 | 285.3, 361.1 | 479.0858 | 347.0673, 285.0969 | 5,6,7,3′,4′-Pentahydroxyflavanon 7-O-glucoronide isomer | Phf-GluA iso | [50] | - | + | - |
| 3 | 25.97 | 268.9, 335.2 | 563.1438 | 479.0851, 285.0971 | Apigenin 6-C-glucoside-8-C-arabinoside | Ap-Glu-Ara | [50,51] | - | + | - |
| 4 | 26.85 | 286.0, 361.2 | 463.0909 | 287.0575, 269.0468, 193.0356, 175.0245 | Isocarthamidin 7-O-glucuronide | IsoCart-GluA | [50,51] | - | + | + |
| 5 | 28.13 | 272.7, 314.3 | 547.1489 | 217.1085, 145.0500 | Chrysin 6-C-arabinoside-8-C-glucoside | Chry-Ara-Glu | [50,51] | + | - | + |
| 6 | 28.30 | 282.4, 333.8 | 461.0750 | 285.0417, 175.0245, 113.0234 | Scutellarein 7-O-glucuronide (scutellarin) | Scu-GluA | [50,51] | - | + | + |
| 7 | 29.00 | 287.3, 362.9 | 463.0910 | 287.0575, 269.0468, 193.0356, 175.0245 | Carthamidin 7-O-glucuronide | Cat-GluA | [50,51] | - | + | - |
| 8 | 29.58 | 272.7, 314.4 | 547.1491 | 217.1085, 145.0500 | Chrysin 6-C-glucoside-8-C-arabinoside | Chry-Glu-Ara | [50,51] | + | - | - |
| 9 | 29.64 | 273.4, 333.8 | 461.0754 | 285.0419, 175.0245, 113.0234 | Isoscutellarein 7-O-glucuronide | Isoscu-GluA | [50] | - | - | + |
| 10 | 31.79 | 266.7, 336.7 | 445.0799 | 269.0452 | Apigenin 7-O-glucuronide | Ap-GluA | [50,51,52,53] | - | + | + |
| 11 | 35.93 | 377.1, 316.1 | 445.0794 | 269.0468, 175.0245, 113.0234 | Baicalein 7-O-glucuronide (baicalin) | Baic-7-GluA | [50,51] | + | + | + |
| 12 | 37.68 | 237.4, 287.8, 361.0 | 447.0956 | 271.0625, 217.1085, 145.0500 | Dihydrobaicalein 7-O-glucuronide (dihydrobaicalin) | Dihbaic-GluA | [54] | + | - | + |
| 13 | 38.28 | 274.1, 332.7 | 475.0905 | 299.0556, 217.1085, 145.0500 | Hispidulin 7-O-glucuronide (hispiduloside) | Hisp-GluA | [53,54] | - | + | + |
| 14 | 38.94 | 279.2, 357.5 | 445.0802 | 269.0455 | Norwogonin 7-O-glucuronide (norwogonoside) | Norw-GluA | [51] | + | + | + |
| 15 | 39.79 | 284.2, 357.7 | 475.0909 | 299.0568, 217.1085 | Hydroxyldimethoxyflavanone glucuronide | Hdimf-GluA | [52] | + | - | + |
| 16 | 40.15 | 272.7, 310.8 | 445.0802 | 269.0455, 175.02, | Oroxylin A 7-O-glucoside | Orx-Glu | [52] | + | - | - |
| 17 | 40.45 | 267.6, 305.3 | 429.0850 | 349.00, 285.0973, 253.05, 217.1088 | Chrysin 7-O-glucuronide | Chry-GluA | [53] | + | + | + |
| 18 | 40.89 | 272.3, 311.7 | 459.0957 | 283.0610 | Oroxylin A 7-O-glucuronide (oroxyloside) | Orx-GluA | [50] | + | - | + |
| 19 | 41.83 | 270.4, 315.9 | 445.0802 | 269.0455, 217.1085, 145.05 | Baicalein 6-O-glucuronide | Baic-6-GluA | [50] | + | - | + |
| 20 | 42.30 | 273.8, 340.3 | 459.0955 | 283.0626, 268.0388, 175.0245, 113.0234 | Wogonin 7-O-glucuronide (wogonoside) | Wog-GluA | [50] | + | - | + |
| 21 | 43.99 | 280.0, 358.0 | 269.0469 | 241.0515, 225.0562, 197.0607 | Norwogonin | Norw | [50] | + | + | - |
| 22 | 44.51 | 282.1, 330 | 299.0575 | 284.0341, 153.0187 | Hispidulin | Hisp | [53,54] | + | + | - |
| 23 | 44.75 | 275.5, 322.3 | 269.0469 | 251.0364, 145.0500 | Baicalein | Baic | [50,52] | + | + | + |
| 24 | 46.74 | 268.3, 313.6 | 283.0625 | 268.0382, 217.1084, 163.0032, 145.0500 | Wogonin | Wog | [50,52] | + | + | - |
| 25 | 47.00 | 271.5, 317.8 | 283.0624 | 268.0382, 217.1084, 163.0032, 145.0500 | Oroxylin A | Orx A | [52] | + | - | - |
| Compound | Extraction Conditions | |||||||||||||||||
|---|---|---|---|---|---|---|---|---|---|---|---|---|---|---|---|---|---|---|
| H2O | 40% EtOH | 70% EtOH | ||||||||||||||||
| 21 W | 42 W | 63 W | 21 W | 42 W | 63 W | 21 W | 42 W | 63 W | ||||||||||
| 5 min | 10 min | 5 min | 10 min | 5 min | 10 min | 5 min | 10 min | 5 min | 10 min | 5 min | 10 min | 5 min | 10 min | 5 min | 10 min | 5 min | 10 min | |
| Chry-Ara-Glu | 0.99 ± 0.05 | 1.29 ± 0.04 | 1.59 ± 0.03 | 1.66 ± 0.05 | 1.49 ± 0.04 | 1.75 ± 0.03 | 1.87 ± 0.05 | 1.99 ± 0.06 | 2.01 ± 0.04 | 2.12 ± 0.03 | 2.04 ± 0.05 | 2.11 ± 0.02 | 1.89 ± 0.04 | 2.18 ± 0.05 | 1.88 ± 0.03 | 2.10 ± 0.04 | 1.89 ± 0.04 | 1.94 ± 0.05 |
| Chry-Glu-Ara | 0.66 ± 0.04 | 0.85 ± 0.03 | 1.07 ± 0.05 | 1.11 ± 0.03 | 1.01 ± 0.04 | 1.18 ± 0.04 | 1.17 ± 0.03 | 1.23 ± 0.05 | 1.20 ± 0.03 | 1.25 ± 0.04 | 1.24 ± 0.05 | 0.87 ± 0.04 | 1.03 ± 0.05 | 1.35 ± 0.05 | 1.22 ± 0.04 | 1.35 ± 0.03 | 1.23 ± 0.04 | 1.48 ± 0.05 |
| Baic-7-GluA | 0.46 ± 0.02 | 0.62 ± 0.03 | 0.54 ± 0.04 | 0.68 ± 0.03 | 1.12 ± 0.04 | 1.22 ± 0.05 | 42.97 ± 0.11 | 43.64 ± 0.09 | 46.94 ± 0.12 | 48.39 ± 0.10 | 46.35 ± 0.11 | 51.85 ± 0.13 | 43.96 ± 0.12 | 50.81 ± 0.09 | 46.83 ± 0.11 | 51.81 ± 0.12 | 47.31 ± 0.13 | 52.66 ± 0.10 |
| Dihbaic-GluA | nd | nd | 0.02 ± 0.01 | 0.03 ± 0.01 | 0.01 ± 0.01 | 0.04 ± 0.02 | 0.06 ± 0.02 | 0.30 ± 0.03 | 0.44 ± 0.02 | 0.43 ± 0.01 | 0.42 ± 0.02 | 0.48 ± 0.03 | 0.48 ± 0.02 | 0.48 ± 0.02 | 0.44 ± 0.03 | 0.49 ± 0.03 | 0.44 ± 0.02 | 0.49 ± 0.03 |
| Norw-GluA | 0.01 ± 0.01 | 0.04 ± 0.01 | 0.02 ± 0.01 | 0.03 ± 0.01 | nd | nd | 1.43 ± 0.06 | 1.87 ± 0.04 | 2.91 ± 0.05 | 2.91 ± 0.07 | 2.70 ± 0.06 | 3.26 ± 0.05 | 3.07 ± 0.06 | 3.17 ± 0.06 | 2.81 ± 0.05 | 3.00 ± 0.07 | 2.85 ± 0.04 | 2.88 ± 0.05 |
| Hdimf-GluA | nd | nd | nd | nd | nd | nd | 0.71 ± 0.03 | 0.69 ± 0.02 | 0.84 ± 0.03 | 0.88 ± 0.03 | 0.86 ± 0.04 | 0.91 ± 0.02 | 0.88 ± 0.02 | 0.90 ± 0.03 | 0.80 ± 0.03 | 0.90 ± 0.02 | 0.81 ± 0.03 | 0.85 ± 0.02 |
| Orx-Glu | nd | nd | 0.05 ± 0.01 | 0.07 ± 0.02 | 0.02 ± 0.01 | 0.04 ± 0.02 | 0.28 ± 0.01 | 0.33 ± 0.02 | 0.35 ± 0.01 | 0.32 ± 0.02 | 0.36 ± 0.03 | 0.35 ± 0.02 | 0.37 ± 0.02 | 0.38 ± 0.01 | 0.33 ± 0.03 | 0.35 ± 0.02 | 0.34 ± 0.02 | 0.38 ± 0.02 |
| Chry-GluA | nd | nd | nd | nd | nd | nd | 0.54 ± 0.02 | 0.60 ± 0.03 | 0.81 ± 0.04 | 0.74 ± 0.03 | 0.80 ± 0.04 | 0.83 ± 0.03 | 0.86 ± 0.04 | 0.88 ± 0.04 | 0.78 ± 0.04 | 0.82 ± 0.05 | 0.78 ± 0.04 | 0.81 ± 0.03 |
| Orx-GluA | nd | nd | nd | nd | nd | nd | 2.06 ± 0.09 | 2.56 ± 0.08 | 3.31 ± 0.05 | 3.39 ± 0.07 | 3.34 ± 0.06 | 3.59 ± 0.04 | 3.05 ± 0.08 | 3.62 ± 0.06 | 3.22 ± 0.07 | 3.58 ± 0.05 | 3.26 ± 0.06 | 3.61 ± 0.04 |
| Baic-6-GluA | nd | nd | nd | nd | nd | nd | 0.21 ± 0.01 | 0.24 ± 0.02 | 0.27 ± 0.01 | 0.29 ± 0.02 | 0.29 ± 0.02 | 0.31 ± 0.03 | 0.28 ± 0.02 | 0.28 ± 0.02 | 0.25 ± 0.02 | 0.29 ± 0.03 | 0.25 ± 0.01 | 0.28 ± 0.02 |
| Wog-GluA | 0.02 ± 0.01 | 0.04 ± 0.02 | 0.02 ± 0.01 | 0.04 ± 0.02 | nd | nd | 7.19 ± 0.08 | 7.37 ± 0.06 | 10.35 ± 0.08 | 10.42 ± 0.07 | 10.27 ± 0.09 | 11.43 ± 0.08 | 11.05 ± 0.09 | 11.34 ± 0.07 | 10.04 ± 0.06 | 11.42 ± 0.08 | 10.19 ± 0.08 | 12.07 ± 0.09 |
| Norw | nd | nd | nd | nd | nd | nd | 1.49 ± 0.03 | 1.53 ± 0.04 | 0.97 ± 0.03 | 1.01 ± 0.05 | 1.06 ± 0.04 | 0.98 ± 0.04 | 1.07 ± 0.03 | 1.11 ± 0.03 | 0.98 ± 0.04 | 1.07 ± 0.05 | 0.96 ± 0.05 | 0.98 ± 0.04 |
| Hisp | nd | nd | nd | nd | nd | nd | 0.45 ± 0.02 | 0.48 ± 0.03 | 0.43 ± 0.02 | 0.35 ± 0.02 | 0.39 ± 0.03 | 0.38 ± 0.01 | 0.46 ± 0.03 | 0.47 ± 0.02 | 0.36 ± 0.02 | 0.39 ± 0.01 | 0.35 ± 0.03 | 0.42 ± 0.02 |
| Baic | 0.04 ± 0.01 | 0.05 ± 0.02 | 0.07 ± 0.02 | 0.06 ± 0.02 | 0.06 ± 0.02 | 0.13 ± 0.01 | 15.09 ± 0.09 | 15.50 ± 0.07 | 15.11 ± 0.08 | 16.34 ± 0.07 | 17.50 ± 0.09 | 15.42 ± 0.08 | 15.08 ± 0.09 | 16.29 ± 0.07 | 15.78 ± 0.08 | 16.22 ± 0.08 | 15.66 ± 0.11 | 17.64 ± 0.09 |
| Wog | nd | nd | nd | nd | nd | nd | 4.11 ± 0.05 | 4.55 ± 0.06 | 3.97 ± 0.05 | 3.84 ± 0.06 | 4.38 ± 0.07 | 4.22 ± 0.05 | 3.78 ± 0.04 | 4.51 ± 0.05 | 4.04 ± 0.05 | 4.39 ± 0.06 | 4.02 ± 0.07 | 4.59 ± 0.06 |
| Orx A | nd | nd | nd | nd | nd | nd | 1.52 ± 0.03 | 1.71 ± 0.04 | 1.35 ± 0.03 | 1.46 ± 0.03 | 1.64 ± 0.05 | 1.59 ± 0.04 | 1.48 ± 0.02 | 1.54 ± 0.03 | 1.55 ± 0.04 | 1.70 ± 0.04 | 1.54 ± 0.03 | 1.67 ± 0.04 |
| Total | 2.18 ± 0.14 | 2.89 ± 0.15 | 3.38 ± 0.18 | 3.68 ± 0.19 | 3.71 ± 0.19 | 4.36 ± 0.17 | 81.15 ± 0.38 | 84.59 ± 0.31 | 91.26 ± 0.25 | 94.14 ± 0.27 | 93.64 ± 0.36 | 98.58 ± 0.37 | 88.79 ± 0.33 | 99.31 ± 0.32 | 91.31 ± 0.27 | 99.88 ± 0.30 | 91.88 ± 0.25 | 102.75 ± 0.31 |
| Compound | Extraction Conditions | |||||||||||||||||
|---|---|---|---|---|---|---|---|---|---|---|---|---|---|---|---|---|---|---|
| H2O | 40% EtOH | 70% EtOH | ||||||||||||||||
| 21 W | 42 W | 63 W | 21 W | 42 W | 63 W | 21 W | 42 W | 63 W | ||||||||||
| 5 min | 10 min | 5 min | 10 min | 5 min | 10 min | 5 min | 10 min | 5 min | 10 min | 5 min | 10 min | 5 min | 10 min | 5 min | 10 min | 5 min | 10 min | |
| Phf-GluA | 0.14 ± 0.01 | 0.19 ± 0.01 | 0.15 ± 0.03 | 0.19 ± 0.02 | 0.09 ± 0.03 | 0.10 ± 0.02 | 0.72 ± 0.03 | 0.74 ± 0.03 | 0.67 ± 0.04 | 0.75 ± 0.04 | 0.69 ± 0.04 | 0.93 ± 0.04 | 0.69 ± 0.03 | 0.86 ± 0.04 | 0.43 ± 0.03 | 0.62 ± 0.04 | 0.79 ± 0.02 | 1.00 ± 0.03 |
| Phf-GluA iso | 0.20 ± 0.01 | 0.21 ± 0.01 | 0.24 ± 0.04 | 0.26 ± 0.05 | 0.11 ± 0.02 | 0.10 ± 0.03 | 0.68 ± 0.04 | 0.70 ± 0.04 | 0.63 ± 0.03 | 0.71 ± 0.04 | 0.66 ± 0.03 | 0.88 ± 0.03 | 0.54 ± 0.04 | 0.63 ± 0.04 | 0.70 ± 0.03 | 1.14 ± 0.05 | 0.60 ± 0.04 | 0.78 ± 0.03 |
| Ap-Glu-Ara | 0.71 ± 0.01 | 0.93 ± 0.01 | 1.12 ± 0.05 | 1.33 ± 0.04 | 1.11 ± 0.05 | 1.37 ± 0.06 | 1.16 ± 0.04 | 1.23 ± 0.04 | 1.28 ± 0.07 | 1.44 ± 0.06 | 1.27 ± 0.06 | 1.76 ± 0.06 | 1.10 ± 0.07 | 1.24 ± 0.04 | 1.43 ± 0.05 | 1.66 ± 0.05 | 1.25 ± 0.06 | 1.63 ± 0.04 |
| IsoCart-GluA | 1.39 ± 0.01 | 1.58 ± 0.01 | 1.40 ± 0.06 | 1.54 ± 0.06 | 1.54 ± 0.05 | 1.95 ± 0.07 | 11.12 ± 0.10 | 11.19 ± 0.09 | 10.74 ± 0.12 | 12.28 ± 0.11 | 11.02 ± 0.10 | 13.84 ± 0.13 | 12.98 ± 0.11 | 15.14 ± 0.12 | 14.50 ± 0.09 | 17.38 ± 0.13 | 13.41 ± 0.11 | 18.41 ± 0.13 |
| Scu-GluA | 1.39 ± 0.01 | 1.48 ± 0.01 | 1.16 ± 0.04 | 1.68 ± 0.06 | 1.88 ± 0.07 | 1.91 ± 0.06 | 7.62 ± 0.09 | 8.66 ± 0.08 | 8.55 ± 0.09 | 9.58 ± 0.11 | 8.62 ± 0.13 | 9.95 ± 0.12 | 6.34 ± 0.08 | 7.48 ± 0.09 | 7.70 ± 0.11 | 9.93 ± 0.12 | 6.35 ± 0.08 | 9.53 ± 0.11 |
| Cart-GluA | 0.39 ± 0.01 | 0.44 ± 0.01 | 0.36 ± 0.03 | 0.40 ± 0.05 | 0.29 ± 0.03 | 0.32 ± 0.03 | 2.27 ± 0.06 | 2.39 ± 0.04 | 2.40 ± 0.05 | 2.75 ± 0.06 | 2.44 ± 0.06 | 3.33 ± 0.08 | 1.29 ± 0.04 | 1.07 ± 0.05 | 1.40 ± 0.07 | 1.63 ± 0.06 | 1.22 ± 0.08 | 1.69 ± 0.04 |
| Ap-GluA | 0.42 ± 0.01 | 0.44 ± 0.01 | 0.43 ± 0.02 | 0.54 ± 0.03 | 0.43 ± 0.04 | 0.56 ± 0.03 | 1.15 ± 0.05 | 1.34 ± 0.04 | 1.31 ± 0.06 | 1.47 ± 0.05 | 1.32 ± 0.05 | 1.84 ± 0.04 | 1.11 ± 0.03 | 1.34 ± 0.05 | 1.52 ± 0.05 | 1.72 ± 0.03 | 1.30 ± 0.04 | 1.73 ± 0.03 |
| Baic-7-GluA | 0.55 ± 0.01 | 0.71 ± 0.01 | 0.69 ± 0.03 | 0.89 ± 0.04 | 0.78 ± 0.03 | 0.91 ± 0.04 | 1.82 ± 0.05 | 2.34 ± 0.06 | 2.32 ± 0.07 | 2.57 ± 0.05 | 2.45 ± 0.05 | 3.32 ± 0.04 | 2.24 ± 0.06 | 2.54 ± 0.06 | 2.87 ± 0.07 | 2.70 ± 0.07 | 2.59 ± 0.06 | 3.32 ± 0.05 |
| Hisp-GluA | 0.48 ± 0.01 | 0.63 ± 0.01 | 0.37 ± 0.04 | 0.43 ± 0.03 | 0.28 ± 0.03 | 0.23 ± 0.04 | 1.98 ± 0.04 | 2.49 ± 0.05 | 2.42 ± 0.06 | 2.67 ± 0.05 | 2.48 ± 0.06 | 3.47 ± 0.06 | 2.06 ± 0.05 | 2.49 ± 0.05 | 2.78 ± 0.04 | 3.17 ± 0.06 | 2.44 ± 0.04 | 3.12 ± 0.04 |
| Norw-GluA | nd | nd | nd | nd | nd | nd | nd | 0.85 ± 0.03 | 0.84 ± 0.03 | 0.89 ± 0.04 | 0.85 ± 0.03 | 1.15 ± 0.03 | 0.75 ± 0.04 | 0.92 ± 0.03 | 1.01 ± 0.05 | 1.35 ± 0.04 | 0.88 ± 0.04 | 1.14 ± 0.03 |
| Chry-GluA | 0.09 ± 0.02 | 0.17 ± 0.03 | 0.08 ± 0.02 | 0.08 ± 0.02 | 0.05 ± 0.01 | 0.08 ± 0.02 | 1.55 ± 0.04 | 1.76 ± 0.01 | 1.81 ± 0.03 | 2.02 ± 0.04 | 1.82 ± 0.05 | 2.54 ± 0.06 | 1.69 ± 0.04 | 1.96 ± 0.03 | 2.18 ± 0.04 | 2.13 ± 0.05 | 1.92 ± 0.05 | 2.44 ± 0.04 |
| Norw | nd | nd | nd | nd | nd | nd | nd | nd | 0.06 ± 0.02 | 0.06 ± 0.01 | 0.18 ± 0.03 | 0.13 ± 0.03 | nd | nd | 0.30 ± 0.03 | 0.18 ± 0.04 | 0.23 ± 0.04 | 0.35 ± 0.03 |
| Hisp | 0.05 ± 0.01 | 0.07 ± 0.01 | nd | nd | nd | nd | 0.11 ± 0.02 | 0.07 ± 0.01 | nd | nd | 0.10 ± 0.02 | 0.37 ± 0.04 | 0.07 ± 0.02 | 0.07 ± 0.01 | 0.05 ± 0.01 | 0.06 ± 0.01 | 0.08 ± 0.02 | 0.10 ± 0.02 |
| Baic | 0.03 ± 0.01 | 0.04 ± 0.01 | 0.05 ± 0.01 | 0.08 ± 0.02 | 0.10 ± 0.02 | 0.12 ± 0.02 | 0.27 ± 0.02 | 0.46 ± 0.03 | 0.22 ± 0.02 | 0.25 ± 0.02 | 0.36 ± 0.02 | 0.37 ± 0.03 | 0.30 ± 0.02 | 0.32 ± 0.02 | 0.36 ± 0.01 | 0.24 ± 0.02 | 0.34 ± 0.02 | 0.44 ± 0.03 |
| Wog | 0.10 ± 0.02 | 0.11 ± 0.02 | 0.13 ± 0.03 | 0.21 ± 0.02 | 0.13 ± 0.02 | 0.26 ± 0.03 | 0.30 ± 0.03 | 0.48 ± 0.03 | 0.35 ± 0.02 | 0.36 ± 0.02 | 0.47 ± 0.03 | 0.56 ± 0.03 | 0.63 ± 0.02 | 0.62 ± 0.03 | 0.70 ± 0.03 | 1.15 ± 0.05 | 0.62 ± 0.03 | 0.80 ± 0.04 |
| Total | 5.94 ± 0.12 | 7.00 ± 0.13 | 6.18 ± 0.11 | 7.63 ± 0.15 | 6.79 ± 0.17 | 7.91 ± 0.14 | 30.75 ± 0.18 | 34.7 ± 0.19 | 33.60 ± 0.22 | 37.80 ± 0.18 | 34.73 ± 0.21 | 44.44 ± 0.23 | 31.79 ± 0.21 | 36.68 ± 0.19 | 37.93 ± 0.23 | 45.06 ± 0.21 | 33.94 ± 0.22 | 46.48 ± 0.21 |
| Compound | Extraction Conditions | |||||||||||||||||
|---|---|---|---|---|---|---|---|---|---|---|---|---|---|---|---|---|---|---|
| H2O | 40% EtOH | 70% EtOH | ||||||||||||||||
| 21 W | 42 W | 63 W | 21 W | 42 W | 63 W | 21 W | 42 W | 63 W | ||||||||||
| 5 min | 10 min | 5 min | 10 min | 5 min | 10 min | 5 min | 10 min | 5 min | 10 min | 5 min | 10 min | 5 min | 10 min | 5 min | 10 min | 5 min | 10 min | |
| IsoCart-GluA | 0.09 ± 0.02 | 0.07 ± 0.02 | 0.08 ± 0.03 | 0.08 ± 0.02 | 0.09 ± 0.02 | 0.13 ± 0.02 | 0.11 ± 0.03 | 0.12 ± 0.03 | 0.13 ± 0.03 | 0.13 ± 0.04 | 0.13 ± 0.02 | 0.11 ± 0.03 | 0.17 ± 0.03 | 0.17 ± 0.04 | 0.17 ± 0.03 | 0.17 ± 0.03 | 0.15 ± 0.04 | 0.18 ± 0.03 |
| Chry-Ara-Glu | 0.23 ± 0.03 | 0.24 ± 0.02 | 0.28 ± 0.03 | 0.29 ± 0.03 | 0.34 ± 0.03 | 0.37 ± 0.02 | 0.26 ± 0.02 | 0.33 ± 0.02 | 0.30 ± 0.01 | 0.36 ± 0.03 | 0.35 ± 0.02 | 0.29 ± 0.02 | 0.28 ± 0.01 | 0.35 ± 0.02 | 0.28 ± 0.03 | 0.28 ± 0.02 | 0.26 ± 0.02 | 0.31 ± 0.02 |
| Scu-GluA | 0.06 ± 0.02 | 0.03 ± 0.01 | nd | nd | nd | nd | 0.97 ± 0.04 | 0.99 ± 0.03 | 1.08 ± 0.04 | 1.08 ± 0.03 | 1.07 ± 0.03 | 1.09 ± 0.04 | 1.01 ± 0.03 | 1.02 ± 0.03 | 0.96 ± 0.03 | 0.97 ± 0.03 | 1.02 ± 0.04 | 1.16 ± 0.03 |
| Isoscu-GluA | nd | nd | nd | nd | 0.02 ± 0.01 | 0.03 ± 0.01 | 0.59 ± 0.04 | 0.61 ± 0.04 | 0.65 ± 0.04 | 0.67 ± 0.03 | 0.66 ± 0.03 | 0.66 ± 0.02 | 0.61 ± 0.02 | 0.64 ± 0.03 | 0.59 ± 0.05 | 0.60 ± 0.04 | 0.63 ± 0.04 | 0.72 ± 0.03 |
| Ap-GluA | 0.19 ± 0.01 | 0.17 ± 0.02 | 0.16 ± 0.02 | 0.18 ± 0.02 | 0.19 ± 0.03 | 0.25 ± 0.01 | 0.19 ± 0.03 | 0.19 ± 0.02 | 0.20 ± 0.02 | 0.19 ± 0.01 | 0.19 ± 0.02 | 0.21 ± 0.02 | 0.24 ± 0.02 | 0.23 ± 0.03 | 0.24 ± 0.02 | 0.25 ± 0.01 | 0.23 ± 0.02 | 0.27 ± 0.03 |
| Baic-7-GluA | 0.21 ± 0.01 | 0.37 ± 0.02 | 0.25 ± 0.03 | 0.52 ± 0.03 | 0.48 ± 0.03 | 0.85 ± 0.03 | 31.14 ± 0.15 | 31.46 ± 0.20 | 33.74 ± 0.16 | 34.38 ± 0.11 | 33.67 ± 0.15 | 34.40 ± 0.16 | 31.24 ± 0.13 | 32.44 ± 0.12 | 30.22 ± 0.16 | 32.52 ± 0.12 | 32.35 ± 0.11 | 36.33 ± 0.14 |
| Dihbaic-GluA | nd | nd | nd | nd | 0.02 ± 0.01 | 0.03 ± 0.01 | 3.30 ± 0.06 | 3.54 ± 0.04 | 3.80 ± 0.04 | 3.94 ± 0.05 | 3.79 ± 0.05 | 3.92 ± 0.04 | 3.94 ± 0.05 | 4.06 ± 0.04 | 3.99 ± 0.06 | 3.93 ± 0.05 | 3.76 ± 0.06 | 4.38 ± 0.05 |
| Hisp-GluA | 0.03 ± 0.01 | 0.04 ± 0.01 | 0.03 ± 0.01 | 0.03 ± 0.01 | 0.04 ± 0.01 | 0.07 ± 0.02 | 1.57 ± 0.03 | 1.59 ± 0.02 | 1.70 ± 0.04 | 1.74 ± 0.03 | 1.71 ± 0.05 | 1.73 ± 0.03 | 1.58 ± 0.04 | 1.64 ± 0.04 | 1.53 ± 0.05 | 1.54 ± 0.03 | 1.63 ± 0.04 | 1.84 ± 0.04 |
| Norw-GluA | 0.18 ± 0.01 | 0.25 ± 0.012 | 0.22 ± 0.02 | 0.28 ± 0.01 | 0.33 ± 0.02 | 0.47 ± 0.03 | 0.63 ± 0.03 | 1.29 ± 0.04 | 0.64 ± 0.03 | 1.41 ± 0.02 | 1.37 ± 0.03 | 1.68 ± 0.04 | 0.60 ± 0.03 | 1.37 ± 0.03 | 0.63 ± 0.02 | 0.63 ± 0.03 | 0.67 ± 0.02 | 0.76 ± 0.03 |
| Hdimf-GluA | nd | nd | nd | nd | nd | nd | 1.69 ± 0.05 | 1.69 ± 0.04 | 1.75 ± 0.06 | 1.83 ± 0.04 | 1.76 ± 0.05 | 1.81 ± 0.04 | 1.57 ± 0.03 | 1.71 ± 0.04 | 1.59 ± 0.03 | 1.60 ± 0.03 | 1.69 ± 0.04 | 1.93 ± 0.03 |
| Chry-GluA | nd | nd | nd | nd | 0.02 ± 0.01 | 0.04 ± 0.02 | nd | nd | 0.01 ± 0.01 | 0.03 ± 0.01 | 0.03 ± 0.01 | 0.07 ± 0.02 | 0.02 ± 0.01 | 0.03 ± 0.01 | 0.13 ± 0.03 | 0.14 ± 0.02 | 0.13 ± 0.01 | 0.13 ± 0.02 |
| Orx-GluA | nd | nd | 0.01 ± 0.01 | 0.03 ± 0.01 | 0.02 ± 0.01 | 0.03 ± 0.01 | 1.71 ± 0.04 | 1.71 ± 0.02 | 1.80 ± 0.03 | 1.84 ± 0.03 | 1.79 ± 0.04 | 1.86 ± 0.04 | 1.69 ± 0.03 | 1.81 ± 0.03 | 1.73 ± 0.04 | 1.75 ± 0.04 | 1.80 ± 0.03 | 2.04 ± 0.04 |
| Baic-6-GluA | nd | nd | 0.02 ± 0.01 | 0.03 ± 0.01 | 0.04 ± 0.01 | 0.08 ± 0.02 | 0.36 ± 0.03 | 0.35 ± 0.03 | 0.37 ± 0.02 | 0.38 ± 0.03 | 0.37 ± 0.02 | 0.38 ± 0.02 | 0.34 ± 0.03 | 0.36 ± 0.01 | 0.33 ± 0.02 | 0.34 ± 0.02 | 0.36 ± 0.02 | 0.41 ± 0.03 |
| Wog-GluA | nd | nd | 0.01 ± 0.01 | 0.02 ± 0.01 | 0.04 ± 0.02 | 0.08 ± 0.02 | 1.59 ± 0.03 | 1.53 ± 0.02 | 1.65 ± 0.04 | 1.69 ± 0.03 | 1.60 ± 0.02 | 1.70 ± 0.03 | 1.56 ± 0.03 | 1.67 ± 0.03 | 1.59 ± 0.02 | 1.61 ± 0.03 | 1.65 ± 0.03 | 1.90 ± 0.02 |
| Baic | 0.03 ± 0.01 | 0.06 ± 0.02 | 0.03 ± 0.01 | 0.03 ± 0.01 | 0.05 ± 0.02 | 0.15 ± 0.03 | 0.48 ± 0.04 | 0.52 ± 0.02 | 0.51 ± 0.03 | 0.59 ± 0.03 | 0.70 ± 0.02 | 1.49 ± 0.04 | 1.49 ± 0.02 | 1.61 ± 0.03 | 1.59 ± 0.03 | 1.60 ± 0.02 | 1.52 ± 0.02 | 1.61 ± 0.03 |
| Total | 1.03 ± 0.11 | 1.24 ± 0.13 | 1.11 ± 0.12 | 1.50 ± 0.10 | 1.67 ± 0.14 | 2.58 ± 0.16 | 44.60 ± 0.23 | 45.92 ± 0.21 | 48.33 ± 0.25 | 51.15 ± 0.24 | 49.19 ± 0.18 | 51.39 ± 0.22 | 46.35 ± 0.23 | 49.13 ± 0.19 | 45.57 ± 0.26 | 51.32 ± 0.21 | 47.87 ± 0.25 | 51.95 ± 0.24 |
Disclaimer/Publisher’s Note: The statements, opinions and data contained in all publications are solely those of the individual author(s) and contributor(s) and not of MDPI and/or the editor(s). MDPI and/or the editor(s) disclaim responsibility for any injury to people or property resulting from any ideas, methods, instructions or products referred to in the content. |
© 2023 by the authors. Licensee MDPI, Basel, Switzerland. This article is an open access article distributed under the terms and conditions of the Creative Commons Attribution (CC BY) license (https://creativecommons.org/licenses/by/4.0/).
Share and Cite
Oracz, J.; Kowalski, S.; Żyżelewicz, D.; Kowalska, G.; Gumul, D.; Kulbat-Warycha, K.; Rosicka-Kaczmarek, J.; Brzozowska, A.; Grzegorczyk, A.; Areczuk, A. The Influence of Microwave-Assisted Extraction on the Phenolic Compound Profile and Biological Activities of Extracts from Selected Scutellaria Species. Molecules 2023, 28, 3877. https://doi.org/10.3390/molecules28093877
Oracz J, Kowalski S, Żyżelewicz D, Kowalska G, Gumul D, Kulbat-Warycha K, Rosicka-Kaczmarek J, Brzozowska A, Grzegorczyk A, Areczuk A. The Influence of Microwave-Assisted Extraction on the Phenolic Compound Profile and Biological Activities of Extracts from Selected Scutellaria Species. Molecules. 2023; 28(9):3877. https://doi.org/10.3390/molecules28093877
Chicago/Turabian StyleOracz, Joanna, Stanisław Kowalski, Dorota Żyżelewicz, Gabriela Kowalska, Dorota Gumul, Kamila Kulbat-Warycha, Justyna Rosicka-Kaczmarek, Anna Brzozowska, Aleksandra Grzegorczyk, and Anna Areczuk. 2023. "The Influence of Microwave-Assisted Extraction on the Phenolic Compound Profile and Biological Activities of Extracts from Selected Scutellaria Species" Molecules 28, no. 9: 3877. https://doi.org/10.3390/molecules28093877
APA StyleOracz, J., Kowalski, S., Żyżelewicz, D., Kowalska, G., Gumul, D., Kulbat-Warycha, K., Rosicka-Kaczmarek, J., Brzozowska, A., Grzegorczyk, A., & Areczuk, A. (2023). The Influence of Microwave-Assisted Extraction on the Phenolic Compound Profile and Biological Activities of Extracts from Selected Scutellaria Species. Molecules, 28(9), 3877. https://doi.org/10.3390/molecules28093877

