New Hybrid Tetrahydropyrrolo[3,2,1-ij]quinolin-1-ylidene-2-thioxothiazolidin-4-ones as New Inhibitors of Factor Xa and Factor XIa: Design, Synthesis, and In Silico and Experimental Evaluation
Abstract
1. Introduction
2. Results
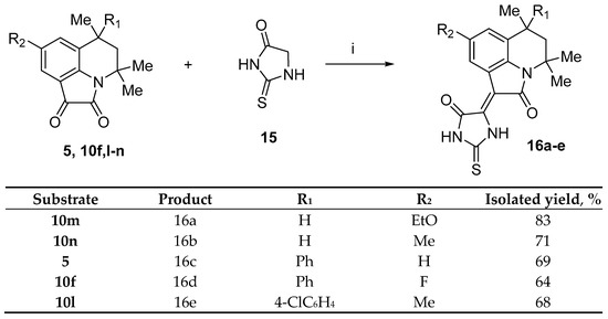
2.1. Synthesis
2.2. Anticoagulant Studies
- −
- The introduction of a methyl or aryl substituent at position 6, in addition to the methyl substituent, contributes to the inhibition of factor XIa (compare 12n with 12o and 12a);
- −
- The appearance of a methyl substituent in position 8 reduces the inhibitory ability of factor XIa (12o and 12p);
- −
- The appearance of a halogen atom (especially fluorine) at position 8 significantly increases the inhibitory ability (compounds 12g, 12h, 12i, 12k, and 12l), but this effect is eliminated by the appearance of substituents in the nitrogen atom of rhodanine (compounds 12m, 14a, and 14b);
- −
- The introduction of acyloxy substituents at position 8 supports the manifestation of its inhibition of factor XIa (compounds 12c, 12d, and 12e);
- −
- The appearance of substituents in the nitrogen atom of rhodanine significantly reduces the inhibitory ability (compounds 12f, 12m, 14a, and 14b);
- −
- The replacement of rhodanine by 2-thioxoimidazolidin-4-one leads to a decrease in the inhibitory ability (compounds 16a, 16b, and 16d).
2.3. Molecular Docking
ADME Properties
3. Materials and Methods
3.1. Synthesis
3.2. In Vitro Assays
3.3. Molecular-Docking Studies
ADME Properties
4. Conclusions
Supplementary Materials
Author Contributions
Funding
Institutional Review Board Statement
Informed Consent Statement
Data Availability Statement
Acknowledgments
Conflicts of Interest
References
- Ivasiv, V.; Albertini, C.; Gonçalves, A.E.; Rossi, M.; Bolognesi, M.L. Molecular Hybridization as a Tool for Designing Multitarget Drug Candidates for Complex Diseases. Curr. Top. Med. Chem. 2019, 19, 1694–1711. [Google Scholar] [CrossRef] [PubMed]
- Prasher, P.; Sharma, M.; Aljabali, A.A.A.; Gupta, G.; Negi, P.; Kapoor, D.N.; Singh, I.; Zacconi, F.C.; de Jesus Andreoli Pinto, T.; da Silva, M.W.; et al. Hybrid molecules based on 1,3,5-triazine as potential therapeutics: A focused review. Drug Dev. Res. 2020, 81, 837–858. [Google Scholar] [CrossRef] [PubMed]
- Auti, P.S.; George, G.; Paul, A.T. Recent advances in the pharmacological diversification of quinazoline/quinazolinone hybrids. RSC Adv. 2020, 10, 41353–41392. [Google Scholar] [CrossRef]
- Decker, M. Recent advances in the development of hybrid molecules/designed multiple compounds with antiamnesic properties. Mini Rev. Med. Chem. 2007, 7, 221–229. [Google Scholar] [CrossRef]
- Mishra, S.; Singh, P. Hybrid molecules: The privileged scaffolds for various pharmaceuticals. Eur. J. Med. Chem. 2016, 124, 500–536. [Google Scholar] [CrossRef]
- Oliveira, R.; Miranda, D.; Magalhães, J.; Capela, R.; Perry, M.J.; O’Neill, P.M.; Moreira, R.; Lopes, F. From hybrid compounds to targeted drug delivery in antimalarial therapy. Bioorg. Med. Chem. 2015, 23, 5120–5130. [Google Scholar] [CrossRef] [PubMed]
- Anusionwu, C.G.; Aderibigbe, B.A.; Mbianda, X.Y. Hybrid Molecules Development: A Versatile Landscape for the Control of Antifungal Drug Resistance: A Review. Mini Rev. Med. Chem. 2019, 19, 450–464. [Google Scholar] [CrossRef]
- Decker, M. Design of Hybrid Molecules for Drug Development; Elsevier: Oxford, UK, 2017. [Google Scholar]
- Panda, P.; Chakroborty, S. Navigating the Synthesis of Quinoline Hybrid Molecules as Promising Anticancer Agents. ChemistrySelect 2020, 5, 10187–10199. [Google Scholar] [CrossRef]
- Shiri, P. Novel Hybrid Molecules Based on triazole-β-lactam as Potential Biological Agents. Mini Rev. Med. Chem. 2021, 21, 536–553. [Google Scholar] [CrossRef]
- Upadhyay, H.C. Coumarin-1,2,3-triazole Hybrid Molecules: An Emerging Scaffold for Combating Drug Resistance. Curr. Top. Med. Chem. 2021, 21, 737–752. [Google Scholar] [CrossRef]
- Novichikhina, N.; Ilin, I.; Tashchilova, A.; Sulimov, A.; Kutov, D.; Ledenyova, I.; Krysin, M.; Shikhaliev, K.; Gantseva, A.; Gantseva, E.; et al. Synthesis, Docking, and In Vitro Anticoagulant Activity Assay of Hybrid Derivatives of Pyrrolo[3,2,1-ij]Quinolin-2(1H)-one as New Inhibitors of Factor Xa and Factor XIa. Molecules 2020, 25, 1889. [Google Scholar] [CrossRef]
- Ilin, I.; Lipets, E.; Sulimov, A.; Kutov, D.; Shikhaliev, K.; Potapov, A.; Krysin, M.; Zubkov, F.; Sapronova, L.; Ataullakhanov, F.; et al. New factor Xa inhibitors based on 1,2,3,4-tetrahydroquinoline developed by molecular modelling. J. Mol. Graph. Model. 2019, 89, 215–224. [Google Scholar] [CrossRef]
- Santana-Romo, F.; Lagos, C.F.; Duarte, Y.; Castillo, F.; Moglie, Y.; Maestro, M.A.; Charbe, N.; Zacconi, F.C. Innovative Three-Step Microwave-Promoted Synthesis of N-Propargyltetrahydroquinoline and 1,2,3-Triazole Derivatives as a Potential Factor Xa (FXa) Inhibitors: Drug Design, Synthesis, and Biological Evaluation. Molecules 2020, 25, 491. [Google Scholar] [CrossRef]
- Quan, M.L.; Wong, P.C.; Wang, C.; Woerner, F.; Smallheer, J.M.; Barbera, F.A.; Bozarth, J.M.; Brown, R.L.; Harpel, M.R.; Luettgen, J.M.; et al. Tetrahydroquinoline Derivatives as Potent and Selective Factor XIa Inhibitors. J. Med. Chem. 2014, 57, 955–969. [Google Scholar] [CrossRef]
- Quan, M.L.; Pinto, D.J.P.; Smallheer, J.M.; Ewing, W.R.; Rossi, K.A.; Luettgen, J.M.; Seiffert, D.A.; Wexler, R.R. Factor XIa Inhibitors as New Anticoagulants. J. Med. Chem. 2018, 61, 7425–7447. [Google Scholar] [CrossRef]
- Young, R.J.; Borthwick, A.D.; Brown, D.; Burns-Kurtis, C.L.; Campbell, M.; Chan, C.; Charbaut, M.; Chung, C.; Convery, M.A.; Kelly, H.A.; et al. Structure and property based design of factor Xa inhibitors: Pyrrolidin-2-ones with biaryl P4 motifs. Bioorg. Med. Chem. Lett. 2008, 18, 23–27. [Google Scholar] [CrossRef] [PubMed]
- Nicolaes, G.A.F.; Kulharia, M.; Voorberg, J.; Kaijen, P.H.; Wroblewska, A.; Wielders, S.; Schrijver, R.; Sperandio, O.; Villoutreix, B.O. Rational design of small molecules targeting the C2 domain of coagulation factor VIII. Blood 2014, 123, 113–120. [Google Scholar] [CrossRef]
- Medvedeva, S.M.; Potapov, A.Y.; Gribkova, I.V.; Katkova, E.V.; Sulimov, V.B.; Shikhaliev, K.S. Synthesis, docking, and anticoagulant activity of new factor-Xa inhibitors in a series of pyrrolo[3,2,1-ij]quinoline-1,2-diones. Pharm. Chem. J. 2018, 51, 975–979. [Google Scholar] [CrossRef]
- Tashchilova, A.; Podoplelova, N.; Sulimov, A.; Kutov, D.; Ilin, I.; Panteleev, M.; Shikhaliev, K.S.; Medvedeva, S.; Novichikhina, N.; Potapov, A.; et al. New Blood Coagulation Factor XIIa Inhibitors: Molecular Modeling, Synthesis, and Experimental Confirmation. Molecules 2022, 27, 1234. [Google Scholar] [CrossRef]
- Sulimov, V.B.; Gribkova, I.V.; Kochugaeva, M.P.; Katkova, E.V.; Sulimov, A.V.; Kutov, D.C.; Shikhaliev, K.S.; Medvedeva, S.M.; Krysin, M.Y.; Sinauridze, E.I.; et al. Application of Molecular Modeling to Development of New Factor Xa Inhibitors. BioMed Res. Intern. 2015, 2015, 120802. [Google Scholar] [CrossRef] [PubMed]
- Baell, J.B.; Holloway, G.A. New Substructure Filters for Removal of Pan Assay Interference Compounds (PAINS) from Screening Libraries and for Their Exclusion in Bioassays. J. Med. Chem. 2010, 53, 2719–2740. [Google Scholar] [CrossRef] [PubMed]
- Baell, J.B. Observations on screening-based research and some concerning trends in the literature. Future Med. Chem. 2010, 2, 1529–1546. [Google Scholar] [CrossRef] [PubMed]
- Baell, J.B.; Walters, M.A. Chemical con artists foil drug discovery. Nature 2014, 513, 481–483. [Google Scholar] [CrossRef] [PubMed]
- Kamar, A.K.D.A.; Yin, L.J.; Liang, C.T.; Fung, G.T.; Avupati, V.R. Rhodanine scaffold: A review of antidiabetic potential and structure–activity relationships (SAR). Med. Drug Discov. 2022, 15, 100131–100160. [Google Scholar] [CrossRef]
- Tomašić, T.; Mašič, L.P. Rhodanine as a Privileged Scaffold in Drug Discovery. Curr. Med. Chem. 2009, 16, 1596–1629. [Google Scholar] [CrossRef]
- Kaminskyy, D.; Kryshchyshyn, A.; Lesyk, R. Recent developments with rhodanine as a scaffold for drug discovery. Exp. Opinion Drug Discov. 2017, 12, 1233–1252. [Google Scholar] [CrossRef]
- Mendgen, T.; Steuer, C.; Klein, C.D. Privileged Scaffolds or Promiscuous Binders: A Comparative Study on Rhodanines and Related Heterocycles in Medicinal Chemistry. J. Med. Chem. 2012, 55, 743–753. [Google Scholar] [CrossRef]
- Maddila, S.; Gorle, S.; Jonnalagadda, S.B. Drug screening of rhodanine derivatives for antibacterial activity. Exp. Opin. Drug Discov. 2020, 15, 203–229. [Google Scholar] [CrossRef]
- Mousavi, S.M.; Zarei, M.; Hashemi, S.A.; Babapoor, A.; Amani, A.M. A conceptual review of rhodanine: Current applications of antiviral drugs, anticancer and antimicrobial activities. Art. Cells Nanomed. Biotech. 2019, 47, 1132–1148. [Google Scholar] [CrossRef]
- Verma, R.; Verma, S.K.; Rakesh, K.P.; Girish, Y.R.; Ashrafizadeh, M.; Kumar, K.S.S.; Rangappa, K.S. Pyrazole-based analogs as potential antibacterial agents against methicillin-resistance staphylococcus aureus (MRSA) and its SAR elucidation. Eur. J. Med. Chem. 2021, 212, 113134. [Google Scholar] [CrossRef]
- Makki, M.S.T.; Abdel-Rahman, R.M.; Alshammari, N.A.H. Synthesis of Novel Fluorine Compounds Substituted-4-thiazolidinones Derived from Rhodanine Drug as Highly Bioactive Probes. Curr. Org. Synth. 2019, 16, 413–422. [Google Scholar] [CrossRef] [PubMed]
- Trotsko, N. Antitubercular properties of thiazolidin-4-ones: A review. Eur. J. Med. Chem. 2021, 212, 113266. [Google Scholar] [CrossRef]
- Mohsin, N.A.; Ahmad, M. Hybrid organic molecules as antiinflammatory agents; a review of structural features and biological activity. Turk. J. Chem. 2018, 42, 1–20. [Google Scholar] [CrossRef]
- Szczepański, J.; Tuszewska, H.; Trotsko, N. Anticancer Profile of Rhodanines: Structure–Activity Relationship (SAR) and Molecular Targets—A Review. Molecules 2022, 27, 3750. [Google Scholar] [CrossRef]
- Yin, L.J.; Kamar, A.K.D.A.; Fung, G.T.; Liang, C.T.; Avupati, V.R. Review of anticancer potentials and structure-activity relationships (SAR) of rhodanine derivatives. Biomed. Pharmacother. 2022, 145, 112406. [Google Scholar] [CrossRef] [PubMed]
- Khodair, A.I.; Awadb, M.K.; Gessonc, J.-P.; Elshaier, Y.A.M.M. New N-ribosides and N-mannosides of rhodanine derivatives with anticancer activity on leukemia cell line: Design, synthesis, DFT and molecular modelling studies. Carbohydr. Res. 2020, 487, 107894. [Google Scholar] [CrossRef] [PubMed]
- Liu, J.; Wu, Y.; Piao, H.; Zhao, X.; Zhang, W.; Wang, Y.; Liu, M. A Comprehensive Review on the Biological and Pharmacological Activities of Rhodanine Based Compounds for Research and Development of Drugs. Mini Rev. Med. Chem. 2018, 18, 948–961. [Google Scholar] [CrossRef]
- Mermer, A. The Importance of Rhodanine Scaffold in Medicinal Chemistry: A Comprehensive Overview. Mini Rev. Med. Chem. 2021, 21, 738–789. [Google Scholar] [CrossRef]
- El-Miligy, M.M.M.; Hazzaa, A.A.; El-Messmary, H.; Nassra, R.A.; El-Hawash, S.A.M. New hybrid molecules combining benzothiophene or benzofuran with rhodanine as dual COX-1/2 and 5-LOX inhibitors: Synthesis, biological evaluation and docking study. Bioorg. Chem. 2017, 72, 102–115. [Google Scholar] [CrossRef]
- Andleeb, H.; Tehseen, Y.; Shah, S.J.A.; Khan, I.; Iqbalb, J.; Hameeda, S. Identification of novel pyrazole–rhodanine hybrid scaffolds as potent inhibitors of aldose reductase: Design, synthesis, biological evaluation and molecular docking analysis. RSC Adv. 2016, 6, 77688–77700. [Google Scholar] [CrossRef]
- Guo, M.; Zheng, C.-J.; Song, M.-X.; Wu, Y.; Sun, L.-P.; Li, Y.-J.; Liu, Y.; Piao, H.-R. Synthesis and biological evaluation of rhodanine derivatives bearing a quinoline moiety as potent antimicrobial agents. Bioorg. Med. Chem. Lett. 2013, 23, 4358–4361. [Google Scholar] [CrossRef]
- Jiang, H.; Zhang, W.-J.; Li, P.-H.; Wang, J.; Dong, S.-Z.; Zhang, K.; Chen, H.-X.; Du, Z.-Y. Synthesis and biological evaluation of novel carbazole-rhodanine conjugates as topoisomerase II inhibitors. Bioorg. Med. Chem. Lett. 2018, 28, 1320–1323. [Google Scholar] [CrossRef] [PubMed]
- Nagarajua, K.; Maddilaa, S.N.; Maddilaa, S.; Sobhanapuramb, S.; Jonnalagaddaa, S.B. Synthesis and Antimicrobial Activity of Novel Thienopyrimidine Linked Rhodanine Derivatives. Can. J. Chem. 2018, 97, 94–99. [Google Scholar] [CrossRef]
- Kumar, V.; Ramu, R.; Shirahatti, P.S.; Kumari, V.B.C.; Sushma, P.; Mandal, S.P.; Patil, S.M. α-Glucosidase, α-Amylase Inhibition, Kinetics and Docking Studies of Novel (2-Chloro-6-(trifluoromethyl)benzyloxy) arylidene) Based Rhodanine and Rhodanine Acetic Acid Derivatives. ChemistrySelect 2021, 6, 9637–9644. [Google Scholar] [CrossRef]
- Subhedar, D.D.; Shaikh, M.H.; Nawale, L.; Yeware, A.; Sarkar, D.; Khan, F.A.K.; Sangshetti, J.N.; Shingate, B.B. Novel Tetrazoloquinoline-Rhodanine Conjugates: Highly Efficient Synthesis and Biological Evaluation. Bioorg. Med. Chem. Lett. 2016, 26, 2278–2283. [Google Scholar] [CrossRef] [PubMed]
- Wu, Y.; Ding, X.; Xu, S.; Yang, Y.; Zhang, X.; Wang, C.; Lei, H.; Zhao, Y. Design and synthesis of biaryloxazolidinone derivatives containing a rhodanine or thiohydantoin moiety as novel antibacterial agents against Gram-positive bacteria. Bioorg. Med. Chem. Lett. 2019, 29, 496–502. [Google Scholar] [CrossRef]
- Yin, Y.; Sasaki, S.; Taniguchi, Y. Effects of 8-halo-7-deaza-2′-deoxyguanosine triphosphate on DNA synthesis by DNA polymerases and cell proliferation. Bioorg. Med. Chem. 2016, 24, 3856–3861. [Google Scholar] [CrossRef]
- Li, M.L.; Ren, Y.J.; Dong, M.H.; Ren, W.X. Design, synthesis and structural exploration of novel fluorinated dabigatran derivatives as direct thrombin inhibitors. Eur. J. Med. Chem. 2015, 96, 122–138. [Google Scholar] [CrossRef]
- Li, X.; Guo, T.; Feng, Q.; Bai, T.; Wu, L.; Liu, Y.; Zheng, X.; Jia, J.; Pei, J.; Wu, S.; et al. Progress of thrombus formation and research on the structure-activity relationship for antithrombotic drugs. Eur. J. Med. Chem. 2022, 228, 114035. [Google Scholar] [CrossRef]
- Zimmermann, M.O.; Lange, A.; Wilcken, R.; Cieslik, M.B.; Exner, T.E.; Joerger, A.C.; Koch, P.; Boeckler, F.M. Halogen-enriched fragment libraries as chemical probes for harnessing halogen bonding in fragment-based lead discovery. Future Med. Chem. 2014, 6, 617–639. [Google Scholar] [CrossRef]
- Lescheva, E.V.; Medvedeva, S.M.; Shikhaliev, K.S. Synthesis of 4,4,6-trimethyl-8-R-4H-pyrrolo[3,2,1-ij]quinoline-1,2-diones. J. Org. Pharm. Chem. 2014, 12, 15–20. [Google Scholar] [CrossRef]
- Medvedeva, S.M.; Krysin, M.Y.; Zubkov, F.I.; Nikitina, E.V.; Shikhaliev, K.S. New Heterocyclic Systems Based on Substituted 3,4-Dihydro-1H-Spiro[Quinoline-2,1′-Cycloalkanes]. Chem. Heterocycl. Compd. 2014, 50, 1280–1290. [Google Scholar] [CrossRef]
- Kojima, E.; Fujimori, S.; Awano, K. Cyclic Anthranilic Acid Derivatives and Process for Their Preparation. US Patent No. US4956372A, 11 September 1992. [Google Scholar]
- Hsu, Y.P.; Hall, E.; Booher, G.; Murphy, B.; Radkov, A.D.; Yablonowski, J.; Mulcahey, C.; Alvarez, L.; Cava, F.; Brun, Y.V.; et al. Fluorogenic D-amino acids enable real-time monitoring of peptidoglycan biosynthesis and high-throughput transpeptidation assays. Nat. Chem. 2019, 11, 335–341. [Google Scholar] [CrossRef] [PubMed]
- Sulimov, A.V.; Kutov, D.C.; Oferkin, I.V.; Katkova, E.V.; Sulimov, V.B. Application of the docking program SOL for CSAR benchmark. J. Chem. Inf. Model. 2013, 53, 1946–1956. [Google Scholar] [CrossRef]
- Sulimov, V.B.; Ilin, I.S.; Kutov, D.C.; Sulimov, A.V. Development of docking programs for Lomonosov supercomputer. J. Turkish Chem. Soc. Sect. A Chem. 2020, 7, 259–276. [Google Scholar] [CrossRef]
- Ilin, I.; Podoplelova, N.; Sulimov, A.; Kutov, D.; Tashchilova, A.; Panteleev, M.; Shikhaliev, K.; Krysin, M.; Stolpovskaya, N.; Potapov, A.; et al. Experimentally Validated Novel Factor XIIa Inhibitors Identified by Docking and Quantum Chemical Post-Processing. Mol. Inform. 2022, 41, 2200205. [Google Scholar] [CrossRef]
- Kutov, D.C.; Katkova, E.V.; Sulimov, A.V.; Kondakova, O.A.; Sulimov, V.B. Influence of the method of hydrogen atoms incorporation into the target protein on the protein-ligand binding energy. Bull. SUSU MMCS 2017, 10, 94–107. [Google Scholar] [CrossRef]
- Hanwell, M.D.; Curtis, D.E.; Lonie, D.C.; Vandermeersch, T.; Zurek, E.; Hutchison, G.R. Avogadro: An advanced semantic chemical editor, visualization, and analysis platform. J. Cheminform. 2012, 4, 17. [Google Scholar] [CrossRef] [PubMed]
- Wong, P.C.; Quan, M.L.; Watson, C.A.; Crain, E.J.; Harpel, M.R.; Rendina, A.R.; Luettgen, J.M.; Wexler, R.R.; Schumacher, W.A.; Seiffert, D.A. In vitro, antithrombotic and bleeding time studies of BMS-654457, a small-molecule, reversible and direct inhibitor of factor Xia. J. Thromb. Thrombolysis 2015, 40, 416–423. [Google Scholar] [CrossRef] [PubMed]
- Pinto, D.J.P.; Orwat, M.J.; Smith, L.M.; Quan, M.L.; Lam, P.Y.S.; Rossi, K.A.; Apedo, A.; Bozarth, J.M.; Wu, Y.; Zheng, J.J.; et al. Discovery of a Parenteral Small Molecule Coagulation Factor XIa Inhibitor Clinical Candidate (BMS-962212). J. Med. Chem. 2017, 60, 9703–9723. [Google Scholar] [CrossRef]
- Fjellstrom, O.; Akkaya, S.; Beisel, H.-G.; Eriksson, P.-O.; Erixon, K.; Gustafsson, D.; Jurva, U.; Kang, D.; Karis, D.; Knecht, W.; et al. Creating novel activated factor XI inhibitors through fragment based lead generation and structure aided drug design. PLoS ONE 2015, 10, e0113705. [Google Scholar] [CrossRef]
- Hu, Z.; Wang, C.; Han, W.; Rossi, K.A.; Bozarth, J.M.; Wu, Y.; Sheriff, S.; Myers, J.E., Jr.; Luettgen, J.M.; Seiffert, D.A.; et al. Pyridazine and pyridazinone derivatives as potent and selective factor XIa inhibitors. Bioorg. Med. Chem. Lett. 2018, 28, 987–992. [Google Scholar] [CrossRef] [PubMed]
- Corte, J.R.; Fang, T.; Hangeland, J.J.; Friends, T.J.; Rendina, A.R.; Luettgen, J.M.; Bozarth, J.M.; Barbera, F.A.; Rossi, K.A.; Wei, A.; et al. Pyridine and pyridinone-based factor XIa inhibitors. Bioorg. Med. Chem. Lett. 2015, 25, 925–930. [Google Scholar] [CrossRef] [PubMed]
- Corte, J.R.; Fang, T.; Pinto, D.J.P.; Orwat, M.J.; Rendina, A.R.; Luettgen, J.M.; Rossi, K.A.; Wei, A.; Ramamurthy, V.; Myers, J.E.; et al. Orally bioavailable pyridine and pyrimidine-based Factor XIa inhibitors: Discovery of the methyl N-phenyl carbamate P2 prime group. Bioorg. Med. Chem. 2016, 24, 2257–2272. [Google Scholar] [CrossRef]
- Podoplelova, N.A.; Sulimov, V.B.; Tashchilova, A.S.; Ilin, I.S.; Panteleev, M.A.; Ledeneva, I.V.; Shikhaliev, K.S. Blood coagulation in the 21st cetrury: Existing knowledge, current strategies for treatment and perspective. Pediatr. Hematol. Immunopathol. 2020, 19, 139–157. (In Russian) [Google Scholar]
- Voevodin, V.V.; Antonov, A.S.; Nikitenko, D.A.; Shvets, P.A.; Sobolev, S.I.; Sidorov, I.Y.; Stefanov, K.S.; Voevodin, V.V.; Zhumatiy, S.A. Supercomputer Lomonosov-2: Large scale, deep monitoring and fine analytics for the user community. Supercomput. Front. Innov. 2019, 6, 4–11. [Google Scholar] [CrossRef]














| N° | Factor Xa, SOL Score, kcal/mol | Factor XIa, SOL Score, kcal/mol | Percent Inhibition at 30 μM | IC50, μM | ||
|---|---|---|---|---|---|---|
| Xa | XIa | Xa | XIa | |||
| 12a | −5.28 | −4.54 | 94 | 22 | 9.41 ± 0.35 | - |
| 12b | −5.69 | −5.09 | 81 | 12 | 3.53 ± 0.08 | - |
| 12c | −6.04 | −5.73 | 58 | 72 | - | - |
| 12d | −6.15 | −5.84 | 63 | 98 | 2.35 ± 0.22 | 3.79 ± 0.03 |
| 12e | −5.59 | −6.13 | 49 | 94 | - | 3.74 ± 0.33 |
| 12f | −5.15 | −4.61 | 18 | 5 | - | - |
| 12g | −5.78 | −5.41 | 99 | 98 | 3.70 ± 0.03 | 5.03 ± 0.18 |
| 12h | −5.96 | −5.63 | 73 | 98 | 2.28 ± 0.23 | 3.73 ± 0.03 |
| 12i | −6.22 | −5.43 | 75 | 96 | 3.44 ± 0.06 | 5.04 ± 0.33 |
| 12j | −5.42 | −5.27 | 89 | 77 | - | - |
| 12k | −6.08 | −5.65 | 99 | 99 | 2.85 ± 0.23 | 5.24 ± 0.29 |
| 12l | −6.43 | −5.41 | 78 | 95 | 2.87 ± 0.21 | 4.30 ± 0.06 |
| 12m | −5.58 | −5.69 | 18 | 0 | - | - |
| 12n | −6.15 | −5.14 | 94 | 91 | 2.60 ± 0.50 | 9.41 ± 0.51 |
| 12o | −6.40 | −5.12 | 48 | 15 | - | - |
| 12p | −5.96 | −4.87 | 67 | 77 | 3.03 ± 0.18 | 12.22 ± 0.50 |
| 12q | −6.52 | −4.96 | 47 | 91 | - | 4.32 ± 0.06 |
| 14a | −4.84 | −5.26 | 36 | 3 | - | - |
| 14b | −5.23 | −5.30 | 49 | 17 | - | - |
| 16a | −5.14 | −4.34 | 2 | 6 | - | - |
| 16b | −5.45 | −4.66 | 31 | 5 | ||
| 16c | −5.82 | −5.30 | 45 | 57 | ||
| 16d | −5.80 | −5.19 | 17 | 2 | ||
| 16e | −6.19 | −4.88 | 59 | 86 | ||
| Rivaroxaban | −6.89 | - | 94 | 8 | ||
| No | Model Name—Predicted Value | |||||||||||||||||||||
|---|---|---|---|---|---|---|---|---|---|---|---|---|---|---|---|---|---|---|---|---|---|---|
| Water Solubility | Caco2 Permeability | Intestinal Absorption (Human) | Skin Permeability | P-Glycoprotein Substrate | P-Glycoprotein I Inhibitor | P-Glycoprotein II Inhibitor | VDss (Human) | Fraction Unbound (Human) | BBB Permeability | CNS Permeability | CYP2D6 Substrate | CYP3A4 Substrate | CYP2D6 Inhibitor | CYP3A4 Inhibitor | Total Clearance | Renal OCT2 Substrate | AMES Toxicity | Max. Tolerated Dose (Human) | Oral Rat Acute Toxicity (LD50) | Hepatotoxicity | Skin Sensitization | |
| 12a | −5.119 | 1.112 | 92.065 | −3.099 | No | Yes | No | 0.477 | 0.164 | 0.173 | −1.834 | No | Yes | No | No | −0.094 | No | No | −1.104 | 2.913 | No | No |
| 12b | −5.833 | 1.099 | 91.664 | −3.123 | No | Yes | No | 0.422 | 0.121 | 0.085 | −1.728 | No | Yes | No | Yes | −0.537 | No | No | −1.041 | 2.913 | No | No |
| 12c | −5.570 | 1.002 | 91.414 | −2.732 | Yes | Yes | Yes | 0.403 | 0 | −0.250 | −1.672 | No | Yes | No | Yes | −0.277 | No | No | −0.470 | 3.116 | Yes | No |
| 12d | −5.196 | 1.195 | 93.192 | −2.788 | Yes | Yes | Yes | 0.175 | 0.004 | −0.670 | −1.844 | No | Yes | No | Yes | −0.141 | No | Yes | −0.340 | 3.384 | Yes | No |
| 12e | −5.339 | 1.325 | 93.529 | −2.770 | Yes | Yes | Yes | −0.095 | 0 | −1.117 | −2.847 | No | Yes | No | Yes | 0.271 | No | No | −0.144 | 3.137 | No | No |
| 12f | −5.250 | 1.187 | 93.334 | −3.599 | Yes | Yes | No | 0.259 | 0.140 | −0.178 | −1.996 | No | Yes | No | No | −0.059 | No | No | −1.082 | 3.007 | Yes | No |
| 12g | −5.565 | 1.008 | 94.135 | −2.745 | Yes | Yes | Yes | 0.461 | 0.016 | −0.199 | −1.667 | No | Yes | No | Yes | −0.246 | No | Yes | −0.669 | 3.126 | Yes | No |
| 12h | −5.785 | 0.959 | 92.948 | −2.769 | Yes | Yes | Yes | 0.744 | 0.007 | −0.074 | −1.462 | No | Yes | No | Yes | −0.251 | No | Yes | −0.605 | 2.971 | Yes | No |
| 12i | −5.759 | 0.957 | 93.583 | −2.771 | Yes | Yes | Yes | 0.746 | 0.009 | −0.079 | −1.495 | No | Yes | No | Yes | −0.540 | No | Yes | −0.619 | 0.953 | Yes | No |
| 12j | −5.553 | 0.977 | 94.048 | −2.754 | Yes | Yes | Yes | 0.834 | 0.020 | 0.121 | −1.463 | No | Yes | No | Yes | 0.092 | No | No | −0.541 | 2.910 | No | No |
| 12k | −5.985 | 0.995 | 92.660 | −2.754 | Yes | Yes | Yes | 0.455 | 0.008 | −0.225 | −1.548 | No | Yes | No | Yes | −0.378 | No | No | −0.638 | 3.233 | No | No |
| 12l | −6.128 | 0.944 | 92.108 | −2.774 | Yes | Yes | Yes | 0.730 | 0 | −0.105 | −1.376 | No | Yes | No | Yes | −0.672 | No | No | −0.594 | 2.998 | No | No |
| 12m | −6.188 | 1.001 | 92.450 | −2.742 | Yes | Yes | Yes | 0.515 | 0 | −0.117 | −1.489 | No | Yes | No | Yes | −0.187 | No | No | −0.572 | 3.271 | No | No |
| 12n | −6.079 | 1.108 | 91.003 | −3.101 | Yes | Yes | Yes | 0.570 | 0.063 | 0.223 | −1.514 | No | Yes | No | Yes | −0.003 | No | No | −1.274 | 2.912 | No | No |
| 12o | −6.194 | 1.115 | 90.689 | −3.054 | Yes | Yes | Yes | 0.606 | 0.057 | 0.320 | −2.537 | No | Yes | No | Yes | 0.196 | No | No | −1.247 | 2.918 | No | No |
| 12p | −5.785 | 1.294 | 91.302 | −3.416 | Yes | Yes | Yes | 0.290 | 0.088 | −0.009 | −1.690 | No | Yes | No | Yes | −0.152 | No | No | −1.176 | 2.985 | No | No |
| 12q | −6.27 | 1.290 | 90.525 | −3.365 | Yes | Yes | Yes | 0.344 | 0.043 | 0.017 | −1.507 | No | Yes | No | Yes | −0.127 | No | No | −1.243 | 3.008 | No | No |
| 14a | −6.077 | 1.27 | 97.261 | −2.789 | Yes | Yes | Yes | 0.553 | 0 | −0.132 | −1.537 | No | Yes | No | Yes | 0.037 | No | No | −0.321 | 2.954 | No | No |
| 14b | −6.530 | 1.261 | 96.471 | −2.790 | Yes | Yes | Yes | 0.602 | 0 | −0.133 | −1.537 | No | Yes | No | Yes | −0.094 | No | No | −0.279 | 3.070 | No | No |
| 16a | −4.326 | 0.956 | 94.396 | −3.340 | Yes | No | No | 0.000 | 0.233 | −0.581 | −1.985 | No | Yes | No | No | −0.317 | No | No | −0.248 | 2.712 | No | No |
| 16b | −4.539 | 1.269 | 94.806 | −3.441 | Yes | No | No | 0.110 | 0.252 | −0.119 | −2.116 | No | No | No | No | −0.422 | No | No | −0.262 | 2.866 | No | No |
| 16c | −4.521 | 0.969 | 96.467 | −2.811 | Yes | Yes | Yes | 0.545 | 0.024 | −0.106 | −2.016 | No | Yes | No | Yes | −0.313 | No | No | −0.118 | 2.511 | Yes | No |
| 16d | −4.721 | 1.418 | 96.112 | −2.876 | Yes | Yes | Yes | 0.310 | 0.017 | −0.240 | −2.049 | No | Yes | No | Yes | −0.457 | No | No | −0.215 | 2.855 | No | No |
| 16e | −5.087 | 0.951 | 95.655 | −2.814 | Yes | Yes | Yes | 0.634 | 0.018 | −0.111 | −1.817 | No | Yes | No | Yes | −0.557 | No | No | −0.139 | 2.766 | No | No |
| Rivaroxaban | −4.382 | 1.2876 | 92.803 | −2.967 | No | Yes | No | −0.687 | 0 | −1.022 | −2.660 | No | Yes | No | Yes | 0.296 | No | Yes | −0.232 | 2.707 | Yes | No |
| Unit | Numeric (log mol/L) | Numeric (log Papp in 10−6 cm/s) | Numeric (% Absorbed) | Numeric (log Kp) | Categorical (Yes/No) | Categorical (Yes/No) | Categorical (Yes/No) | Numeric (log L/kg) | Numeric (Fu) | Numeric (log BB) | Numeric (log PS) | Categorical (Yes/No) | Categorical (Yes/No) | Categorical (Yes/No) | Categorical (Yes/No) | Numeric (log mL/min/kg) | Categorical (Yes/No) | Categorical (Yes/No) | Numeric (log mg/kg/day) | Numeric (mol/kg) | Categorical (Yes/No) | Categorical (Yes/No) |
Disclaimer/Publisher’s Note: The statements, opinions and data contained in all publications are solely those of the individual author(s) and contributor(s) and not of MDPI and/or the editor(s). MDPI and/or the editor(s) disclaim responsibility for any injury to people or property resulting from any ideas, methods, instructions or products referred to in the content. |
© 2023 by the authors. Licensee MDPI, Basel, Switzerland. This article is an open access article distributed under the terms and conditions of the Creative Commons Attribution (CC BY) license (https://creativecommons.org/licenses/by/4.0/).
Share and Cite
Novichikhina, N.P.; Shestakov, A.S.; Medvedeva, S.M.; Lagutina, A.M.; Krysin, M.Y.; Podoplelova, N.A.; Panteleev, M.A.; Ilin, I.S.; Sulimov, A.V.; Tashchilova, A.S.; et al. New Hybrid Tetrahydropyrrolo[3,2,1-ij]quinolin-1-ylidene-2-thioxothiazolidin-4-ones as New Inhibitors of Factor Xa and Factor XIa: Design, Synthesis, and In Silico and Experimental Evaluation. Molecules 2023, 28, 3851. https://doi.org/10.3390/molecules28093851
Novichikhina NP, Shestakov AS, Medvedeva SM, Lagutina AM, Krysin MY, Podoplelova NA, Panteleev MA, Ilin IS, Sulimov AV, Tashchilova AS, et al. New Hybrid Tetrahydropyrrolo[3,2,1-ij]quinolin-1-ylidene-2-thioxothiazolidin-4-ones as New Inhibitors of Factor Xa and Factor XIa: Design, Synthesis, and In Silico and Experimental Evaluation. Molecules. 2023; 28(9):3851. https://doi.org/10.3390/molecules28093851
Chicago/Turabian StyleNovichikhina, Nadezhda P., Alexander S. Shestakov, Svetlana M. Medvedeva, Anna M. Lagutina, Mikhail Yu. Krysin, Nadezhda A. Podoplelova, Mikhail A. Panteleev, Ivan S. Ilin, Alexey V. Sulimov, Anna S. Tashchilova, and et al. 2023. "New Hybrid Tetrahydropyrrolo[3,2,1-ij]quinolin-1-ylidene-2-thioxothiazolidin-4-ones as New Inhibitors of Factor Xa and Factor XIa: Design, Synthesis, and In Silico and Experimental Evaluation" Molecules 28, no. 9: 3851. https://doi.org/10.3390/molecules28093851
APA StyleNovichikhina, N. P., Shestakov, A. S., Medvedeva, S. M., Lagutina, A. M., Krysin, M. Y., Podoplelova, N. A., Panteleev, M. A., Ilin, I. S., Sulimov, A. V., Tashchilova, A. S., Sulimov, V. B., Geronikaki, A., & Shikhaliev, K. S. (2023). New Hybrid Tetrahydropyrrolo[3,2,1-ij]quinolin-1-ylidene-2-thioxothiazolidin-4-ones as New Inhibitors of Factor Xa and Factor XIa: Design, Synthesis, and In Silico and Experimental Evaluation. Molecules, 28(9), 3851. https://doi.org/10.3390/molecules28093851

