Chalcone-Derived Lactones: Synthesis, Whole-Cell Biotransformation, and Evaluation of Their Antibacterial and Antifungal Activity
Abstract
1. Introduction
2. Results and Discussion
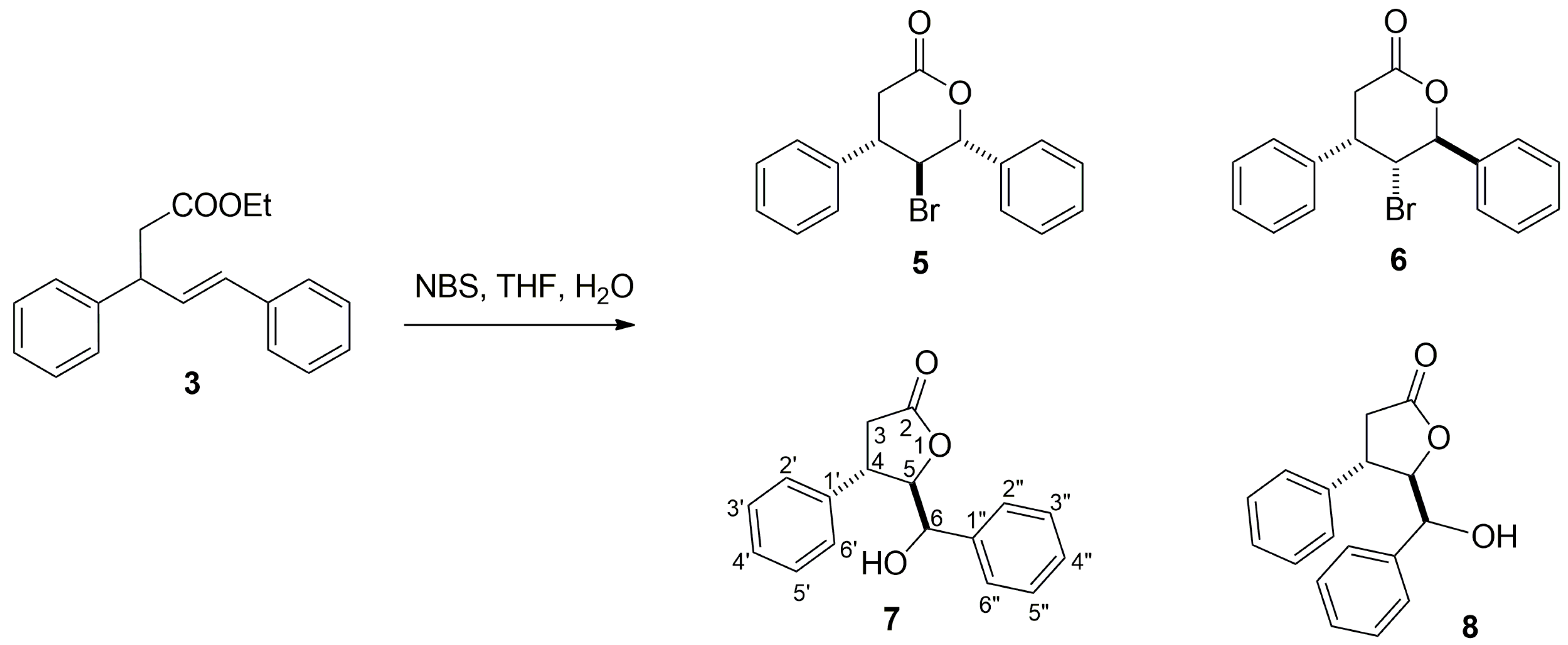
2.1. Synthesis
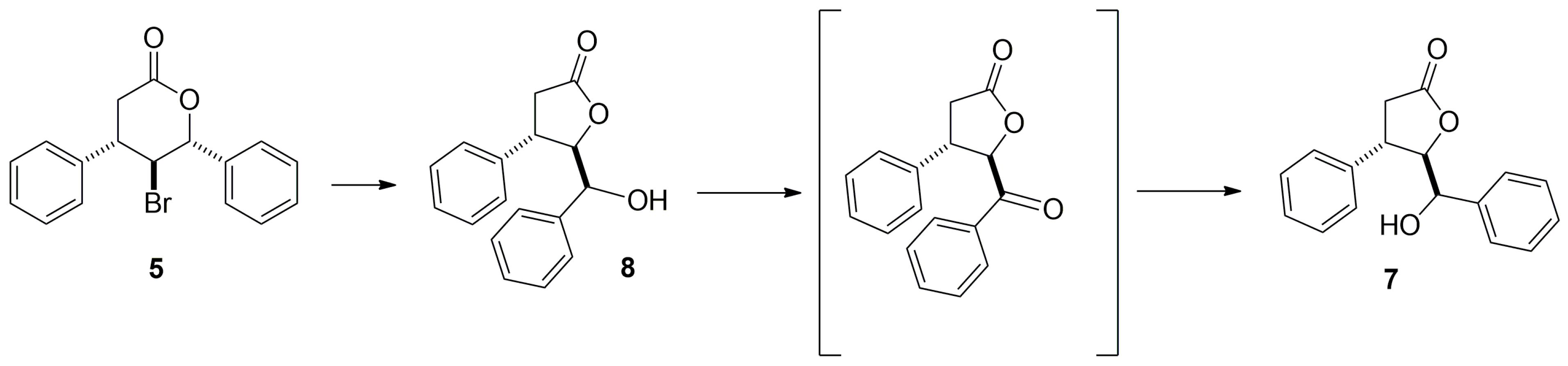
2.2. Biotransformations of Bromolactone 5
2.3. Antimicrobial Activity of Chalcone 1 and Lactones 5–8
3. Materials and Methods
3.1. Chemicals
3.2. Microorganisms Used for Biotransformation of Bromolactone 5
3.3. Analysis
3.4. Synthesis of Lactones 5–8
3.4.1. Reduction of Chalcone (1)
3.4.2. Claisen Rearrangement of Alcohol 2
3.4.3. Hydrolysis of Ester 3
3.4.4. Bromolactonization of Acid 4
3.4.5. Bromolactonization of Ester 3
3.5. Biotransformations of Bromolactone 5
3.5.1. Screening Procedure
3.5.2. Biotransformation of Bromolactone 5 by P. frequentans AM 359
3.6. Antimicrobial Activity Assay
4. Conclusions
Author Contributions
Funding
Institutional Review Board Statement
Informed Consent Statement
Data Availability Statement
Conflicts of Interest
Sample Availability
References
- Zhuang, C.; Zhang, W.; Sheng, C.; Zhang, W.; Xing, C.; Miao, Z. Chalcone: A Privileged structure in medicinal chemistry. Chem. Rev. 2017, 117, 7762–7810. [Google Scholar] [CrossRef] [PubMed]
- Salehi, B.; Quispe, C.; Chamkhi, I.; El Omari, N.; Balahbib, A.; Sharifi-Rad, J.; Bouyahya, A.; Akram, M.; Iqbal, M.; Docea, A.O.; et al. Pharmacological properties of chalcones: A review of preclinical including molecular mechanisms and clinical evidence. Front. Pharmacol. 2021, 11, 592654. [Google Scholar] [CrossRef] [PubMed]
- Sahu, K.N.; Balbhadra, S.S.; Choudhary, J.; Kohli, D.V. Exploring Pharmacological Significance of Chalcone Scaffold: A Review. Curr. Med. Chem. 2012, 19, 209–225. [Google Scholar] [CrossRef] [PubMed]
- Singh, P.; Anand, A.; Kumar, V. Recent developments in biological activities of chalcones: A mini review. Eur. J. Med. Chem. 2014, 85, 758–777. [Google Scholar] [CrossRef] [PubMed]
- Elkanzi, N.A.A.; Hrichi, H.; Alolayan, R.A.; Derafa, W.; Zahou, F.M.; Bakr, R.B. Synthesis of chalcones derivatives and their biological activities: A review. ACS Omega 2022, 7, 27769–27786. [Google Scholar] [CrossRef]
- Constantinescu, T.; Lungu, C.N. Anticancer activity of natural and synthetic chalcones. Int. J. Mol. Sci. 2021, 22, 11306. [Google Scholar] [CrossRef]
- Xu, M.; Wu, P.; Shen, F.; Ji, J.; Rakesh, K.P. Chalcone derivatives and their antibacterial activities: Current development. Bioorg. Chem. 2019, 91, 103133. [Google Scholar] [CrossRef]
- Lahtchev, K.L.; Batovska, D.I.; Parushev, S.P.; Ubiyvovk, V.M.; Sibirny, A.A. Antifungal activity of chalcones: A mechanistic study using various yeast strains. Eur. J. Med. Chem. 2008, 43, 2220–2228. [Google Scholar] [CrossRef]
- Okolo, E.N.; Ugwu, D.I.; Ezema, B.E.; Ndefo, J.C.; Eze, F.U.; Ezema, C.G.; Ezugwu, J.A.; Ujam, O.T. New chalcone derivatives as potential antimicrobial and antioxidant agent. Sci. Rep. 2021, 11, 1–9. [Google Scholar] [CrossRef]
- Vásquez-Martínez, Y.A.; Osorio, M.E.; San Martín, D.A.; Carvajal, M.A.; Vergara, A.P.; Sanchez, E.; Raimondi, M.; Zacchino, S.A.; Mascayano, C.; Torrent, C.; et al. Antimicrobial, anti-inflammatory and antioxidant activities of polyoxygenated chalcones. J. Braz. Chem. Soc. 2019, 30, 286–304. [Google Scholar] [CrossRef]
- Kozłowska, J.; Potaniec, B.; Zarowska, B.; Anioł, M. Microbial transformations of 4′-methylchalcones as an efficient method of obtaining novel alcohol and dihydrochalcone derivatives with antimicrobial activity. RSC Adv. 2018, 8, 30379–30386. [Google Scholar] [CrossRef]
- Kuttithodi, A.M.; Nikhitha, D.; Jacob, J.; Narayanankutty, A.; Mathews, M.; Olatunji, O.J.; Rajagopal, R.; Alfarhan, A.; Barcelo, D. Antioxidant, antimicrobial, cytotoxicity, and larvicidal activities of selected synthetic bis-chalcones. Molecules 2022, 27, 8209. [Google Scholar] [CrossRef]
- Gupta, D.; Jain, D.K. Chalcone derivatives as potential antifungal agents: Synthesis, and antifungal activity. J. Adv. Pharm. Technol. Res. 2015, 6, 114–117. [Google Scholar] [CrossRef]
- Liaras, K.; Geronikaki, A.; Glamočlija, J.; Ćirić, A.; Soković, M. Thiazole-based chalcones as potent antimicrobial agents. Synthesis and biological evaluation. Bioorg. Med. Chem. 2011, 19, 3135–3140. [Google Scholar] [CrossRef]
- Siddiqui, Z.N.; Praveen, S.; Musthafa, T.N.M.; Ahmad, A.; Khan, A.U. Thermal solvent-free synthesis of chromonyl chalcones, pyrazolines and their in vitro antibacterial, antifungal activities. J. Enzym. Inhib. Med. Chem. 2012, 27, 84–91. [Google Scholar] [CrossRef]
- López, S.N.; Castelli, M.V.; Zacchino, S.A.; Domínguez, J.N.; Lobo, G.; Charris-Charris, J.; Cortés, J.C.G.; Ribas, J.C.; Devia, C.; Rodríguez, A.M.; et al. In vitro antifungal evaluation and structure-activity relationships of a new series of chalcone derivatives and synthetic analogues, with inhibitory properties against polymers of the fungal cell wall. Bioorg. Med. Chem. 2001, 9, 1999–2013. [Google Scholar] [CrossRef]
- Skrobiszewski, A.; Gładkowski, W.; Walczak, P.; Gliszczyńska, A.; Maciejewska, G.; Klejdysz, T.; Nawrot, J.; Wawrzeńczyk, C. Synthesis of β-aryl-γ-lactones and relationship: Structure–Antifeedant and antifungal activity. J. Chem. Sci. 2015, 127, 687–699. [Google Scholar] [CrossRef]
- Mazur, M.; Skrobiszewski, A.; Gladkowski, W.; Podkowik, M.; Bania, J.; Nawrot, J.; Klejdysz, T.; Wawrzeńczyk, C. Lactones 46. Synthesis, antifeedant and antibacterial activity of γ-lactones with a p-methoxyphenyl substituent. Pest Manag. Sci. 2016, 72, 489–496. [Google Scholar] [CrossRef]
- Włoch, A.; Stygar, D.; Bahri, F.; Bażanów, B.; Kuropka, P.; Chełmecka, E.; Pruchnik, H.; Gładkowski, W. Antiproliferative, antimicrobial and antiviral activity of β-aryl-δ-iodo-γ-lactones, their effect on cellular oxidative stress markers and biological membranes. Biomolecules 2020, 10, 1594. [Google Scholar] [CrossRef]
- Mazur, M.; Gładkowski, W.; Podkowik, M.; Bania, J.; Nawrot, J.; Białońska, A.; Wawrzeńczyk, C. Lactones 43. New biologically active lactones: β-cyclocitral derivatives. Pest Manag. Sci. 2014, 70, 286–294. [Google Scholar] [CrossRef]
- Gładkowski, W.; Siepka, M.; Janeczko, T.; Kostrzewa-Susłow, E.; Mazur, M.; Żarowska, B.; Łaba, W.; Maciejewska, G.; Wawrzeńczyk, C. Synthesis and antimicrobial activity of methoxy-substituted γ-oxa-eε-lactones derived from flavanones. Molecules 2019, 24, 4151. [Google Scholar] [CrossRef] [PubMed]
- Silva, V.D.; Stambuk, B.U.; da Nascimento, M.G. Efficient chemoselective biohydrogenation of 1,3-diaryl-2-propen-1-ones catalyzed by Saccharomyces cerevisiae yeasts in biphasic system. J. Mol. Catal. B Enzym. 2010, 63, 157–163. [Google Scholar] [CrossRef]
- Liu, D.; Yu, X.; Huang, L. Novel concise synthesis of (-)-clausenamide. Chin. J. Chem. 2013, 31, 344–348. [Google Scholar] [CrossRef]
- Obara, R.; Szumny, A.; Żołnierczyk, A.; Olejniczak, T.; Białońska, A.; Ciunik, Z.; Wawrzeńczyk, C. Lactones 17. Synthesis of bicyclic lactones with the methyl- or gem-dimethylcyclopropane system. Pol. J. Chem. 2005, 79, 981–993. [Google Scholar] [CrossRef]
- Gładkowski, W.; Skrobiszewski, A.; Mazur, M.; Siepka, M.; Pawlak, A.; Obmińska-Mrukowicz, B.; Białońska, A.; Poradowski, D.; Drynda, A.; Urbaniak, M. Synthesis and anticancer activity of novel halolactones with β-aryl substituents from simple aromatic aldehydes. Tetrahedron 2013, 69, 10414–10423. [Google Scholar] [CrossRef]
- Gładkowski, W.; Włoch, A.; Pawlak, A.; Sysak, A.; Białońska, A.; Mazur, M.; Mituła, P.; Maciejewska, G.; Obmińska-Mrukowicz, B.; Kleszczyńska, H. Preparation of enantiomeric β-(2’,5’-dimethylphenyl) bromolactones, their antiproliferative activity and effect on biological membranes. Molecules 2018, 23, 3035. [Google Scholar] [CrossRef]
- Skrobiszewski, A.; Gładkowski, W.; Lis, M.; Gliszczyńska, A.; Maciejewska, G.; Klejdysz, T.; Obmińska-Mrukowicz, B.; Nawrot, J.; Wawrzeńczyk, C. Laktony. Cz. XLV. Synteza hydroksylaktonów z pierścieniem aromatycznym oraz ocena ich aktywności antyfidantnej i antyproliferacyjnej. Przem. Chem. 2014, 93, 1637–1643. [Google Scholar] [CrossRef]
- Ratuś, B.; Gładkowski, W.; Wawrzeńczyk, C. Lactones 32 [1]. New aspects of the application of Fusarium strains to production of alkylsubstituted ε-lactones. Enzyme Microb. Technol. 2009, 45, 156–163. [Google Scholar] [CrossRef]
- Janeczko, T.; Gładkowski, W.; Kostrzewa-Susłow, E. Microbial transformations of chalcones to produce food sweetener derivatives. J. Mol. Catal. B Enzym. 2013, 98, 55–61. [Google Scholar] [CrossRef]
- Mazur, M.; Grudniewska, A.; Wawrzeńczyk, C. Microbial transformations of halolactones with p-menthane system. J. Biosci. Bioeng. 2015, 119, 72–76. [Google Scholar] [CrossRef]
- Grotowska, A.K.; Wawrzeńczyk, C. Lactones 13: Biotransformation of iodolactones. J. Mol. Catal. B Enzym. 2002, 19–20, 203–208. [Google Scholar] [CrossRef]
- Gładkowski, W.; Mazur, M.; Białońska, A.; Wawrzeńczyk, C. Lactones 35 [1]. Metabolism of iodolactones with cyclohexane ring in Absidia cylindrospora culture. Enzyme Microb. Technol. 2011, 48, 326–333. [Google Scholar] [CrossRef]
- Żołnierczyk, A.K.; Anioł, M.; Wawrzeńczyk, C. Mikrobiologiczna dehalogenacja chloro- i bromo-laktonów. Przem. Chem. 2013, 92, 802–805. [Google Scholar]
- Sheldrick, G.M. A short history of SHELX. Acta Crystallogr. Sect. A Found. Crystallogr. 2008, 64, 112–122. [Google Scholar] [CrossRef]
- Sheldrick, G.M. Crystal structure refinement with SHELXL. Acta Crystallogr. Sect. C Struct. Chem. 2015, 71, 3–8. [Google Scholar] [CrossRef]
- Zhao, J.; Ye, J.; Zhang, Y.J. Stereospecific allyl-aryl coupling catalyzed by in situ generated palladium nanoparticles in water under ambient conditions. Adv. Synth. Catal. 2013, 355, 491–498. [Google Scholar] [CrossRef]
- Gładkowski, W.; Skrobiszewski, A.; Mazur, M.; Siepka, M.; Białońska, A. Convenient chemoenzymatic route to optically active β-aryl-δ-iodo-γ-lactones and β-aryl-γ-iodo-δ-lactones with the defined configurations of stereogenic centers. Eur. J. Org. Chem. 2015, 2015, 3–605. [Google Scholar] [CrossRef]











trans δ-hydroxy-γ-lactone derived from benzaldehyde![]() | trans δ-hydroxy-γ-lactone 8![]() | Proton |
|---|---|---|
| 2.65 (dd, J = 18.0, 7.5 Hz) 3.10 (dd, J = 18.0, 9.6 Hz) | 2.64 (dd, J = 18.1, 7.8 Hz) 2.91 (dd, J = 18.1, 9.5 Hz) | CH2-3 |
| 3.75 (ddd, J = 9.6, 7.5, 6.3 Hz) | 3.67 (ddd, J = 9.5, 7.8, 6.3 Hz) | H-4 |
| 4.49 (dd, J = 6.3, 3.0 Hz) | 4.69 (dd, J = 6.3, 4.1 Hz) | H-5 |
| 4.17 (qd, J = 6.3, 3.0 Hz) | 4.76 (d, J = 4.1 Hz) | H-6 |
| Entry | Strain | Time (Days) | Substrate 5 (%) | Product 8 (%) |
|---|---|---|---|---|
| 1 | Aspergillus niger MB | 14 | 44 | 56 |
| 2 | Aspergillus niger 13/33 | 14 | 26 | 74 |
| 3 | Aspergillus niger 13/5 | 3 | 12 | 88 |
| 4 | Aspergillus niger KB | 14 | 15 | 85 |
| 5 | Aspergillus niger SBJ | 14 | 0 | 100 |
| 6 | Aspergillus niger SBP | 14 | 0 | 100 |
| 7 | Rhodotorula marina AM 77 | 10 | 0 | 100 |
| 8 | Penicillum chrysogenum AM 112 | 10 | 0 | 100 |
| 9 | Penicillum chermesinum AM 113 | 10 | 0 | 100 |
| 10 | Absidia glauca AM 254 | 10 | 0 | 100 |
| 11 | Penicillum frequentans AM 359 | 7 | 0 | 100 |
| 12 | Aspergillus niger CH 11/21 | 7 | 0 | 100 |
| Strain | Time (Days) | Substrate 5 (%) | Product 8 (%) | Product 7 (%) |
|---|---|---|---|---|
| Absidia cylindrospora AM 336 | 1 | 47 | 53 | 0 |
| 3 | 6 | 89 | 5 | |
| 7 | 3 | 74 | 23 | |
| 10 | 2 | 68 | 30 | |
| 14 | 2 | 54 | 44 | |
| Didymosphearia igniaria KCH 6670 | 1 | 24 | 76 | 0 |
| 3 | 5 | 95 | 0 | |
| 7 | 0 | 95 | 5 | |
| 10 | 0 | 92 | 8 | |
| 14 | 0 | 83 | 17 |
| Compound | Escherichia coli PCM 2560 | Bacillus subtilis B5 | Staphylococcus aureus D1 |
|---|---|---|---|
| 1 | 21.5 h | 27 h | 12.5 h |
| 5 | 4 h | 8.5 h | 19.5 h |
| 6 | 2.5 h | 27.5 h | n.d. 1 |
| 7 | 3 h | 6 h | 5 h |
| 8 | 3 h | 8.5 h | n.d. |
| Control 2 | 2 h | 3 h | 4 h |
| Compound | Fusarium graminearum 109 | Aspergillus niger XP | Alternaria sp. | Candida albicans KL-1 |
|---|---|---|---|---|
| 1 | 21.5 h | n.d. 1 | n.d. | n.d. |
| 5 | 32 h | 14.5 h | 20 h | 11 h |
| 6 | 55.5 h | 22 h | 46.5 h | 5.5 h |
| 7 | 13 h | 37 h | n.d. | 6.5 h |
| 8 | n.d. | n.d. | n.d. | 28 h |
| Control 2 | 12.5 h | 12.5 h | 9 h | 8 h |
Disclaimer/Publisher’s Note: The statements, opinions and data contained in all publications are solely those of the individual author(s) and contributor(s) and not of MDPI and/or the editor(s). MDPI and/or the editor(s) disclaim responsibility for any injury to people or property resulting from any ideas, methods, instructions or products referred to in the content. |
© 2023 by the authors. Licensee MDPI, Basel, Switzerland. This article is an open access article distributed under the terms and conditions of the Creative Commons Attribution (CC BY) license (https://creativecommons.org/licenses/by/4.0/).
Share and Cite
Gładkowski, W.; Siepka, M.; Żarowska, B.; Białońska, A.; Gawdzik, B.; Urbaniak, M.; Wawrzeńczyk, C. Chalcone-Derived Lactones: Synthesis, Whole-Cell Biotransformation, and Evaluation of Their Antibacterial and Antifungal Activity. Molecules 2023, 28, 3800. https://doi.org/10.3390/molecules28093800
Gładkowski W, Siepka M, Żarowska B, Białońska A, Gawdzik B, Urbaniak M, Wawrzeńczyk C. Chalcone-Derived Lactones: Synthesis, Whole-Cell Biotransformation, and Evaluation of Their Antibacterial and Antifungal Activity. Molecules. 2023; 28(9):3800. https://doi.org/10.3390/molecules28093800
Chicago/Turabian StyleGładkowski, Witold, Monika Siepka, Barbara Żarowska, Agata Białońska, Barbara Gawdzik, Mariusz Urbaniak, and Czesław Wawrzeńczyk. 2023. "Chalcone-Derived Lactones: Synthesis, Whole-Cell Biotransformation, and Evaluation of Their Antibacterial and Antifungal Activity" Molecules 28, no. 9: 3800. https://doi.org/10.3390/molecules28093800
APA StyleGładkowski, W., Siepka, M., Żarowska, B., Białońska, A., Gawdzik, B., Urbaniak, M., & Wawrzeńczyk, C. (2023). Chalcone-Derived Lactones: Synthesis, Whole-Cell Biotransformation, and Evaluation of Their Antibacterial and Antifungal Activity. Molecules, 28(9), 3800. https://doi.org/10.3390/molecules28093800



