Abstract
Methicillin-resistant Staphylococcus aureus (MRSA) continues to be one of the main causes of hospital-acquired infections in all regions of the world, while linezolid is one of the only commercially available oral antibiotics available against this dangerous gram-positive pathogen. In this study, the antibacterial activity from 32 analogues of synthetic gamma-lactam heterocycles against MRSA was determined. Amongst screened analogues for the minimum inhibitory concentration (MIC) assay, compound MFM514 displayed good inhibitory activity with MIC values of 7.8–15.6 µg/mL against 30 MRSA and 12 methicillin-sensitive S. aureus (MSSA) clinical isolates, while cytotoxicity evaluations displayed a mean inhibitory concentration (IC50) value of > 625 µg/mL, displaying a potential to becoming as a lead compound. In subsequent animal studies for MFM514, a single-dose oral acute toxicity test revealed an estimated mean lethal dose (LD50) value of <5000 mg/kg, while in the mice infection test, a mean effective dose (ED50) value of 29.39 mg/kg was obtained via oral administration. These results suggest that gamma-lactam carbon skeleton, particularly MFM514, is highly recommended to be evaluated further as a new safe and efficacious orally delivered antibacterial agent against MRSA.
1. Introduction
MRSA continues to be one of the main causes of hospital-acquired infections in all regions of the world [1,2]. This difficult and economically relevant pathogen have been known to display multidrug-resistance (MDR) properties towards a wide range of structurally unrelated antibiotics and antimicrobial agents [1,2]. In 2017, MRSA was inducted as a Priority 2: high-level bacteria in the first-ever WHO priority pathogen list for R&D of new antibiotics, which highlights the global unmet need for new antibiotics against infectious bacteria [3].
Following that, in 2021, the WHO has revealed that people infected with MRSA are 64% more likely to die than people with drug-sensitive infections [4]. Recently, a meta-analysis review has revealed that there was a global increase in MRSA infection between 4.6 and 170.6% during the COVID-19 pandemic [5]. In addition, S. aureus has been identified as the leading cause of bacterial death in 135 countries and was linked to more than 1 million deaths globally in 2019 [6].
On the other hand, there are only a handful of drugs, such as vancomycin, daptomycin and linezolid, in our dwindling armament against MRSA infections. The ever-increasing emergence of resistant MRSA strains in many parts of the world against these last-resort antibiotics seems to exacerbate the matter [1,6,7]. Hence, it is really a race against time for scientists and drug companies to find and develop new and alternative classes of antibiotics that could reduce MRSA infections worldwide.
Ecological awareness has made green chemistry into a beneficial and promising area of organic chemistry [8,9]. Green chemistry is based on the development of the simplest synthetic approach with the utilization of the least number of components while producing the least number of by-products and environmental threats [8,9]. This approach is often termed a one-pot reaction, method, or synthesis that is literally performed in the same vessel to produce biologically active molecules such as oseltamivir, baclofen and prostaglandin E [9].
In this study, 32 synthetic derivatives of gamma-lactam heterocycles were produced and tested against an MRSA and a methicillin-sensitive S. aureus (MSSA) via minimum inhibitory concentration (MIC) assay. As a result, a novel and microbiologically active heterocyclic molecule, designated as MFM514, was discovered. Following that, further in vitro and in vivo experiments were carried out to determine the inhibitory, safety and efficacy of MFM514.
2. Results
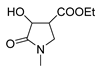
2.1. Synthesis of the Gamma-Lactams
In our ongoing efforts in the field of medicinal chemistry, our group has been focused on investigating the activity of small alkaloid molecules, specifically the synthetic gamma-lactam. In previous studies, we have reported on various strategies for these compounds [10,11,12,13]. With the aim of conducting biological studies, a library of gamma-lactam was established, and subsequent antimicrobial screening was performed. In order to gain insight into the structure-activity relationships (SAR) of the gamma-lactam ring template, a chemical exploration study was conducted.
The study entailed the incorporation of various substitutions at the C-5 position, ranging from simple alkyl groups (1a–1e) to highly functionalized aromatic rings (1f–1l). The ring template was subjected to acidic conditions, resulting in the production of decarboxylated products 2a and 2b. These products were then reacted with hydrazine under reflux conditions to furnish various hydrazone derivatives (3a–3d). Additionally, a SAR study utilizing polar templates was performed, resulting in the production of derivatives 4a–4k. The reduction of 1a and 4a through hydrogenation produced the reduced products 5a and 5b, respectively. The amination of 4a and 4b were also successfully performed, resulting in the amination products 4e–4k (Scheme 1). All of the chemical transformations were successfully isolated with moderate to excellent yields and characterized using standard spectroscopic techniques. The full listing of the synthesized analogues of the gamma-lactam is displayed in Table 1.
Scheme 1.
Synthesis of the gamma-lactam derivatives.
Table 1.
List of gamma-lactam structures synthesized in this study; 1a–5b.
2.2. Results of Antibacterial Test
As listed in Table 2, only MFM514 exhibited a low MIC value of 15.6 µg/mL and 31.3 µg/mL against ATCC 33591 (MRSA) and ATCC 25923 (MSSA), respectively. On the other hand, compound1e exhibited higher MIC values of 125 µg/mL and 250 µg/mL against both isolates. Although compounds that exhibited MIC values < 64 µg/mL are considered active, only compounds that displayed MIC values < 10 µg/mL might be considered of interest to the pharmaceutical industries [14].
Table 2.
Initial minimum inhibitory concentration (MIC) values of 32 gamma-lactam compounds against MRSA and MSSA isolates.
Following that, we evaluated MFM514 further against additional 41 S. aureus clinical isolates to confirm its good inhibitory activity. As displayed in Table 3, MFM514 showed a similar MIC value of 15.6 µg/mL against 26 MRSA and nine MSSA while showing a better anti-MRSA activity of 7.8 µg/mL against three MRSA and three MSSA isolates.
Table 3.
MIC values of MFM514 against additional 41 S. aureus isolates.
Although most of the target MRSA and MSSA strains (26 out of 41 isolates) used in this study were from Malaysian hospitals, MFM514 was active against four ATCC S. aureus isolates (two MRSA [BAA-1556 and BAA-1688] and two MSSA [ATCC 6358 and ATCC 35556]), in which BAA-1556 and BAA-1688 are community-acquired (CA)-MRSA strains. While these types of MRSA strains have the capacity to infect healthy individuals outside of the hospital and healthcare setting, it has combined methicillin resistance with enhanced virulence and fitness [15].
2.3. Results of Cytotoxicity Test and Selectivity Index (SI) Values
To determine the safety of MFM514 against mammalian cells, we tested the active compound for an in vitro cytotoxicity evaluation. As exhibited in Table 4, MFM514 did not display any significant toxicity activity against all three normal mammalian cell lines (Vero, WRL-68 and 3T3) with an IC50 value of > 625 µg/mL. On the other hand, paclitaxel (a highly toxic anti-cancer compound) showed very low IC50 values from 0.0027 to 0.012 µg/mL against all three cell lines.
Table 4.
Mean inhibitory concentration (IC50) of MFM514 against three mammalian cell lines and determination of selectivity index (SI) values.
A SI value of 40.1 was obtained by dividing the IC50 value with a MIC value of 15.6 µg/mL, while a higher SI value of 80.1 could be acquired if a MIC value of 7.8 µg/mL was used. Previous studies have suggested that only compounds with SI > 10 are suitable candidates for further evaluation in animal studies [16,17]. These results also showed concentrations needed to produce inhibitory activity against MRSA/MSSA isolates (MIC = 7.8 to 15.6 µg/mL) were well below the cytotoxic effect (IC50 > 625 µg/mL).
Previous anti-MRSA studies showed lower MIC values but higher cytotoxicity against similar cell lines as compared to MFM514 [18,19]. On another note, the utilization of skin fibroblast cells (3T3 cells) against MFM514 was important since the use of different cell lines (kidney and liver cells [representing internal organs] as compared to skin cells [external organ]) may produce a different cytotoxic effect.
2.4. Results of Oral Acute Toxicity Test
Based on the high and good SI values, further toxicity test was used to determine the safety of MFM514 in an animal model. As seen in Table 5, mice administered with MFM514 did not show a significant difference in the mice’s body weight at days 3, 7, 10 and 14 when compared to the untreated control group. Similarly, mice provided with either control (5% Tween 80) or MFM514 at 2000 mg/kg did not show any adverse effects or clinical signs of toxicity during the 14 days of the experiment.
Table 5.
Body weight of mice receiving MFM514 at a single dose of 2000 mg/kg.
Except for a significant increase in platelet level of mice treated with MFM514, there were no significant differences in the haematological and biochemical parameters obtained, as displayed in Tables S1 and S2 (available as Supplementary Materials). Gross macroscopic evaluation of various organs from mice treated with MFM514 did not demonstrate any abnormal colour or morphological changes as compared to the untreated mice. Following that, there were also no significant differences in the mean relative organ weight of both untreated and treated mice, as exhibited in Table S3 (available as Supplementary Materials).
Based on the Globally Harmonized System of Classification and Labeling of Chemicals (GHS) scheme, the estimated mean lethal dose (LD50) for MFM514 was categorized in Category 5 (>2000 mg/kg < 5000 mg/kg) [20]. Antibiotics such as natamycin, ofloxacin and amikacin have similar GHS Category 5 classification as MFM514 [21,22]. Previous studies have also reported an increased platelet level in the biochemistry evaluations in treated animals, while no toxicological effect was detected via relative weight gain and gross macroscopic examinations of organs [23,24].
2.5. Mice Systemic Infection Test and Estimation of Mean Effective Dose (ED50)
Finally, to determine the efficacy of MFM514 as an anti-MRSA agent, a systemic infection challenge using an animal model was devised. As exhibited in Table 6, mice challenged with MRSA infection and treated with MFM514 via oral administration at the maximum dose of 125 mg/kg showed significant survival rates of 87.5%, while MRSA-infected mice treated with 25 mg/kg linezolid showed a 100% mice survival.
Table 6.
Survival rates of untreated and MRSA-infected mice after treated with MFM514.
No mortalities were observed in healthy/non-treated mice and mice administered with MHB and 5% mucin only (as adjuvant). In contrast, 100% mortality rate was detected in mice infected with MRSA adjuvant and no treatment with MFM514 or linezolid. Based on the survival rate of MFM514, the ED50 value was calculated at 29.39 mg/kg.
Previously, the ED50 value of linezolid against MRSA was reported at 15.6 mg/kg [25], which was lower than MFM514 (ED50 = 29.39 mg/kg). Nevertheless, there were other published reports on compounds that have higher/similar ED50 values as MFM514 but were still considered as potential anti-MRSA compounds, such as a new oxadiazole compound (ED50 = 44 mg/kg), AFN-1252 (ED50 = 29.4 mg/kg) and the new fluoroquinolone anti-MRSA drug, zabofloxacin (ED50 = 29.05 mg/kg) [26,27].
Currently, AFN-1252 has undergone a phase 2 clinical trial and repackaged as a prodrug, afabicin [28]. Zabofloxacin has been approved for clinical use in the Republic of Korea, the Middle East and North-African countries [29]. On another note, MFM514 has a drug potential index of less than 10 (ED50/MIC = 29.39/15.6 = 1.88), which is the typical ratio for clinically useful antibiotics against MRSA, such as vancomycin and teicoplanin [30].
3. Discussion
Our one-pot synthesis protocol follows the green chemistry initiative and has an eco-friendly production approach. MFM514 are produced using a one-step reaction that utilizes fewer solvents, and less chemical waste was produced for the environment as compared to conventional multi-step reactions. Additionally, MFM514 is easier to be synthesized since it has a less complex structure as compared to the other current MRSA antibiotics, such as vancomycin and linezolid. Technically, MFM514 can easily be prepared on a multigram scale in a relatively short time and at a moderate 60% yield, which makes MFM514 an economically attractive compound to be developed further as a new antibiotic.
The fact that MFM514 portrayed a five-membered carbon ring as opposed to the conventional four-carbon ring of β-lactam might give way to a new class of antibiotic against MRSA infections. Since MFM514 is only active against S. aureus isolates, it could be determined that MFM514 has a narrow-spectrum activity. Previous studies showed that narrow-spectrum antibiotics are more favourable as compared to broad-spectrum antibiotics since this type of drug would be less likely to develop antimicrobial resistance and kill ‘good’ bacteria in the human body [31].
In many developing countries, linezolid is the only last-resort and commercially available oral antibiotic against MRSA [2,7]. Oral antibiotics have many advantages over intravenous drugs, such as the absence of cannula-related infections, a lower drug cost and the need for a health professional and equipment to administer intravenous antibiotics [32].
In this study, MFM514 has been able to exert its inhibitory activity while it was delivered via oral administration in the infected mice model. This result would suggest that MFM514 had survived the liver metabolism mechanism, degradation by the digestive enzymes and acid in the stomach, and interference of absorption by digestive substance of the treated mice [33]. While further pharmaceutical and pharmacodynamic experiments have to be carried out, MFM514 has the potential as an oral antibiotic candidate.
4. Materials and Methods
4.1. Materials
All reagents and solvents were purchased from Merck (Darmstadt, Germany) and Acros Organics (New Jersey, US) and used without further purification. Flash chromatography was performed using silica gel with 200–300 mesh produced by Merck. All reactions and processes of flash chromatography were monitored by the TLC method using silica gel plates with fluorescence F254 and iodine visualization. The melting points were determined with Stuart melting point apparatus SMP30 and uncorrected. Fourier-transformed infrared absorption spectra of both solid and liquid samples were analysed with NICOLET 6700 FT-IR using diamond with ATR.
Microanalyses were performed on Flash Elemental Analyzer 110 series. The 1H NMR and 13C NMR spectra were recorded on a Joel- 400 spectrometer at 400 MHz at 125 MHz using CDCl3 and DMSO-d6 as solvents and TMS as internal standard. Coupling constants (J) are expressed in hertz (Hz). Chemical shifts (δ) are given in parts per million (ppm). All target compounds have purity over 95%.
All ATCC bacterial strains (BAA-1556, BAA-1688, ATCC 6358, ATCC 35556, ATCC 25923 and ATCC 33591) and the three mammalian cell lines (WRL-68, Vero CCL-81 and BALB/3T3) were purchased from the American Type Culture Collection (ATCC, Manassas, VA, USA). The additional 37 S. aureus clinical isolates were obtained from three local Hospitals in Peninsula Malaysia.
4.2. Synthesis of One-Pot Gamma-Lactam 1a–1l: See References [10,11,12]
An equimolar amount of sodium diethyl oxalacetate (47.62 mmol), 40% methylamine in water (47.62 mmol) and 37% formaldehyde solution (47.62 mmol) were heated under reflux in 100 mL EtOH for 1 h. After cooling, the mixture was poured into ice-cooled water and acidified with concentrated hydrochloric acid. The precipitate obtained was filtered out, washed with water and diethyl ether to afford 1a. Compounds 1b–1l were prepared by the same method.
4-Hydroxy-1-methyl-5-oxo-2,5- dihydro-1H-pyrrole-3-carboxylate (1a): yellowish solid product (40%). m.p. 144–146 ○C. IR ṽ cm−1 3400 (-OH), 1780 (C=O, ester), 1648 (C=C), 1274 (C-N), 734; 1H-NMR (400 MHz, CDCl3): δ 1.33 (3H, t, J = 7.2 Hz, CH3), 3.07 (3H, s, NCH3), 3.96 (2H, s, CH2), 4.31 (2H, q, J = 7.2 Hz, OCH2); 13C-NMR (100 MHz, CDCl3): δ 14.30 (CH3), 30.10 (NCH3), 48.10 (CH2), 61.20 (OCH2), 107.60 (quat. C), 157.40 (C=O), 164.10 (C=O), 165.20 (COH); Anal. Calcd. for C8H11NO4 (185.07): C, 51.89; H, 5.99; N, 7.56; O, 34.56. Found: C, 51.80; H, 4.65; N, 7.70; O, 35.85. GCMS m/z (EI, + ve): found 185.0 ([M]+), C8H11NO4 calculated 185.07.
Ethyl 4-hydroxy-1,2-dimethyl-5-oxo-2,5- dihydro-1H-pyrrole-3-carboxylate (1b): light yellow solid product (62%). m.p.101–103 ○C. IR ṽ cm−1: 3094 (-OH), 2980 (NH, amide), 1706 (C=O, ester), 1694 (C=C), 1657 (N-C=O, amide), 1461 (CH2), 1386 (CH3), 1296 (C-N); 1H-NMR (400 MHz, CDCl3): δ 1.34 (t, J = 7.3 Hz, 3H), 1.40 (d, J = 6.4 Hz, 3H), 3.02 (d, J = 14.6 Hz, 3H), 4.08 (q, J = 6.6 Hz, 1H), 4.39–4.25 (m, 2H), 13C-NMR (100 MHz, CDCl3): δ 14.35 (CH3), 17.21 (CH3), 27.21 (NCH3), 54.42 (CH), 61.30 (OCH2), 112.97 (quat. C), 157.96 (C=O), 163.26 (C=O), 165.66 (COH). GCMS m/z (EI, + ve): found 199.10 ([M]+), C9H13NO4 calculated 199.08.
4.3. Synthesis of Decarboxylated 2a,2b and Hydrazone Derivative 3a–3d
The results for this compounds have already published in Refs. [10,11,12].
4.4. Synthesis of One-Pot Product 4a–4d
A mixture of sodium diethyl oxaloacetate salt (142.73 mmol), 37% formaldehyde (142.73 mmol) and 25% ammonia (214.10 mmol) in ethanol was refluxed towards completion (0.5–2 h). Iced water was added to the mixture after cooling, and HCl was then added dropwise to pH 1. The solid product was filtered upon appearance. Traces of aldehyde in the crude product was washed with water and ether to afford 4a. Compounds 4b–4d were prepared by the same method.
Ethyl 4-hydroxy-5-oxo-2,5-dihydro-1H-pyrrole-3-carboxylate (4a): white solid product (60%). m.p. 106–109 ○C. IR ṽ cm−1: 3344 (-OH), 2986 (NH, amide), 1782 (C=O, ester), 1687 (C=C), 1670 (-N-C=O, amide), 1302 (C-N); 1H-NMR (400 MHz, CDCl3): δ 4.91–4.85 (2H, s, CH2), 4.39–4.32 (2H, q, J = 7.2 Hz, CH2), 1.38–1.31 (3H, t, J = 7.1 Hz, CH3); 13C-NMR (100 MHz, CDCl3): δ 166.54 (COH), 164.23 (C=O) 151.29 (C=O), 116.09 (quat. C), 66.26 (OCH2), 62.09 (CH2), 14.34 (CH3); Anal. Calcd. for C7H9NO4: C, 49.12; H, 5.30; N, 8.18; O, 37.39. Found: C, 49.30; H, 4.65; N, 7.04; O, 39.01; GCMS m/z (EI, +ve): found 172.00 ([M]+), C7H9NO4 calculated 172.06.
Ethyl 4-hydroxy-1-(2-hydroxyethyl)-5-oxo-2,5-dihydro-1H-pyrrole-3-carboxylate (4b): light orange solid product (35%). m.p. 132–134 ○C. IR ṽ cm−1: 3479 (-CH2OH), 3310 (-CH-OH), 2920 (NH, amide), 1694 (C=O, ester), 1655 (C=C), 1513 (N-C=O); 1H-NMR (400 MHz, CD3OD): δ 4.26 (q, J = 7.2 Hz, 2H), 4.13 (s, 2H), 3.76–3.68 (m, 2H), 3.62–3.51 (m, 2H), 1.29 (t, J = 7.1 Hz, 3H); 13C-NMR (100 MHz, CD3OD): δ 176.98 (COH), 165.88 (C=O), 163.69 (C=O), 107.90 (quat. C), 60.32 (OCH2), 59.42 (CH2OH), 48.30 (CH2-N), 45.32 (CH2), 13.27 (CH3); Anal.Calcd. for C9H13NO5; C, 50.23; H, 6.09; N, 6.51; O, 37.17. Found: C, 48.98; H, 5.91; N, 5.87; O, 39.24; GCMS m/z (EI, +ve): found 215.00 ([M]+), C9H13NO5 calculated 215.08.
Ethyl 1-butyl-4-hydroxy-5-oxo-2,5-dihydro-1H-pyrrole-3-carboxylate (4c): white solid product (25%). m.p. 109–111 °C. IR ṽ cm−1: 3099 (-OH), 2956 (NH, amide), 1663 (C=O, ester), 1447 (CH2), 1362 (CH3); 1H-NMR (400 MHz, CDCl3): δ 4.30 (q, J = 7.2 Hz, 2H), 3.97 (t, J = 15.8 Hz, 2H), 3.48 (t, J = 7.5 Hz, 2H), 1.57 (s, 2H), 1.32 (t, J = 7.3 Hz, 5H), 0.95–0.88 (m, 3H); 13C-NMR (100 MHz, CDCl3): δ 165.09 (COH), 164.24 (C=O), 156.80 (C=O), 107.68 (quat. C), 61.15 (OCH2), 46.24 (CH2-N), 42.89 (CH2), 30.35 (CH2), 19.99 (CH2), 14.35 (CH3), 13.75 (CH3); Anal. Calcd. for C11H17NO4; C, 58.14; H, 7.54; N, 6.16; O, 28.16. Found: C, 53.85; H, 7.04; N, 5.06; O, 34.05; GCMS m/z (EI, +ve): found 227.10 ([M]+), C11H17NO4 calculated 227.12.
Ethyl 4-hydroxy-1-(4-hydroxyphenyl)-5-oxo-2,5-dihydro-1H-pyrrole-3-carboxylate (4d): brownish yellow solid product (5%). m.p. > 160 ○C decomposed. IR ṽ cm−1: 3235 (-OH), 2990 (NH, amide), 1654 (C=O, ester), 1595 (C=C), 1514 (N-C=O), 757 (Ar-OH); 1H-NMR (400 MHz, CD3OD): δ 7.49 (d, J = 8.7 Hz, 2H), 6.80 (d, J = 9.1 Hz, 2H), 4.40 (s, 2H), 4.28 (d, J = 6.9 Hz, 2H), 1.31 (t, J = 7.1 Hz, 3H); 13C-NMR (100 MHz, CD3OD): δ 169.17 (COH), 166.68 (C=O), 161.33 (C=O), 155.31 (quat. C), 130.39 (quat. C), 121.87 (CH-Ar), 115.28 (CH-Ar), 110.34 (quat. C), 60.37 (OCH2) 47.07 (CH2), 13.32 (CH3); Anal.Calcd. for C13H13NO5; C, 59.31; H, 4.98; N, 5.32; O, 30.39. Found: C, 51.64; H, 4.92; N, 4.07; O, 29.37; GCMS m/z (EI, +ve): found 286.90 ([M+Na]+), C13H13NO5 calculated 263.08.
4.5. Synthesis of Enamine 4e–4k
A mixture of 4a (5.84 mmol), aniline (6.43 mmol) and formic acid (9.34 mmol) was refluxed for 24 h. The evaporation of the solvent gave the crude product, which was purified by flash column chromatography on silica gel using hexane:ethyl acetate (9:1) to afford 4e. Compounds 4f–4k were prepared by the same method.
Ethyl 5-oxo-4-(phenylamino)-2,5-dihydro-1H-pyrrole-3-carboxylate (4e): yellow solid (22%). m.p. 59–62 ○C. IR ṽ cm−1: 3396 (NH), 1700 (C=O, ester), 1675 (C=C), 1539 (N-C=O), 758 (NH-Ar); 1H-NMR (400 MHz, CDCl3): δ 7.30 (t, 2H), 7.14 (t, J = 7.5 Hz, 1H), 7.08 (d, J = 7.3 Hz, 2H), 4.93 (s, 2H), 4.23 (q, J = 7.2 Hz, 2H), 1.25 (t, J = 7.1 Hz, 3H); 13C-NMR (100 MHz, CDCl3) 167.51 (C=O), 163.89 (C=O), 137.85 (quat. C), 137.61 (aromatic. C), 128.72 (CH-Ar), 125.10 (CH-Ar), 122.73 (CH-Ar), 111.83, (quat. C), 67.74 (OCH2), 60.94 (CH2), 14.28 (CH3); LCMS m/z (ESI-QTOF, +ve): found 248.0916 ([M+2H]+), C13H14N2O3 calculated 246.099.
Ethyl 4-((4-ethylphenyl)amino)-5-oxo-2,5-dihydro-1H-pyrrole-3-carboxylate (4f): brown oily product (36%). IR ṽ cm−1: 3328 (NH), 1766 (C=O, ester), 1685 (C=C), 1517 (N-C=O), 1459 (CH2), 1356 (CH3), 759 (NH-Aro-CH2CH3); 1H-NMR (400 MHz, CDCl3): δ 7.13 (d, J = 8.5 Hz, 2H), 7.01 (d, J = 6.2 Hz, 2H), 4.93 (s, 2H), 4.23 (q, J = 7.2 Hz, 2H), 2.62 (q, J = 7.6 Hz, 2H), 1.28–1.19 (m, 6H); 13C-NMR (100 MHz, CDCl3) δ 141.35 (C=O), 137.92 (C=O), 135.36 (quat. C), 128.12 (CH-Ar), 122.98 (CH-Ar), 119.530 (aromatic. C), 113.79 (aromatic. C), 110.92 (quat. C), 60.82 (OCH2), 28.39 (CH2), 15.59 (CH3), 14.29 (CH3); LCMS m/z (ESI-QTOF, +ve): found 276.1282 ([M+2H]+), C15H18N2O3 calculated 274.1312.
Ethyl 4-((4-methoxyphenyl) amino)-5-oxo-2,5-dihydro-1H-pyrrole-3-carboxylate (4g): light-yellow solid product (25%). m.p. 70–71 ○C. IR ṽ cm−1: 3327 (NH), 2982 (NH, amide), 1766 (C=O, ester), 1638 (C=C), 1517 (N-C=O), 755 (NH-Ar-OMe); 1H-NMR (400 MHz, CD3COCD3) 8.79 (d, J = 10.9 Hz, 2H), 8.54 (d, J = 11.2 Hz, 2H), 6.14 (s, 2H), 5.30 (q, J = 8.9 Hz, 2H), 4.73 (s, 3H), 1.59 (t, J = 8.9 Hz, 3H); 13C-NMR (100 MHz, CD3COCD3) δ 178.90 (C=O), 166.36 (C=O), 159.38 (aromatic. C), 157.52 (quat. C), 143.66 (aromatic. C), 130.63 (quat. C), 125.11 (CH-Ar), 113.93 (quat. C), 67.56 (OCH2), 60.79 (CH2), 55.54 (OCH3), 14.35 (CH3); LCMS m/z (ESI-QTOF, +ve): found 278.0824 ([M+2H]+), C14H16N2O4 calculated 276.1104.
Ethyl 4-((4-hydroxyphenyl)amino)-5-oxo-2,5-dihydro-1H-pyrrole-3-carboxylate (4h): yellow solid product (19%). m.p. 70–71 ○C. IR ṽ cm−1: 3322 (-OH), 2948 (NH-Ar) 2836 (NH, amide), 1650 (C=O, ester), 1449 (C=C), 1441 (N-C=O), 1013 (Ar-OH); 1H-NMR (400 MHz, CD3OD) δ 6.92 (dd, J = 6.6, 2.1 Hz, 2H), 6.68 (dd, J = 6.9, 1.8 Hz, 2H), 4.89 (s, 2H), 4.12 (q, J = 7.2 Hz, 2H), 1.15 (t, J = 7.3 Hz, 3H), 13C-NMR (100 MHz, CD3OD) δ 174.43 (C=O), 173.31 (C=O), 150.16 (quat. C ArOH), 146.00 (quat. CNH), 145.19 (aromatic. C), 119.90 (CH-Ar), 119.72 (CH-Ar), 115.79 (quat. C), 60.79 (OCH2), 29.71 (CH2), 14.29 (CH3). GCMS m/z (EI, + ve): found 263.10 ([M + H]+), C13H14N2O4 calculated 262.10.
Ethyl 4-(naphthalen-1-ylamino)-5-oxo-2,5-dihydro-1H-pyrrole-3-carboxylate (4i): light-yellow solid (18%). m.p. 112–113 ○C. IR ṽ cm−1: 3304 (-OH), 3049 (NH, amide), 1768 (C=O, ester), 1685 (C=C), 1629 (N-C=O), 750 (Ar-Napthyl); 1H-NMR (400 MHz, CDCl3) δ 7.82–7.71 (m, 3H), 7.54–7.36 (m, 3H), 7.28–7.22 (m, 1H), 4.98 (s, 2H), 4.24 (q, J = 7.2 Hz, 2H), 1.26–1.20 (m, 3H), 13C NMR (100 MHz, CDCl3) δ 167.54 (C=O), 163.95 (C=O), 137.63 (quat. CNH), 135.41 (Aromatic. C), 133.54 (Aromatic. C), 131.13 (Aromatic. C), 128.49 (CH-Ar), 127.78 (CH-Ar), 127.47 (CH-Ar), 126.67 (CH-Ar), 125.41 (CH-Ar), 122.40 (CH-Ar), 119.38 (CH-Ar), 112.28 (quat. C), 67.80 (OCH2), 61.00 (CH2), 14.26 (CH3). GCMS m/z (EI, +ve): found 297.12 ([M + H]+), C17H16N2O3 calculated 296.12.
Ethyl 5-oxo-4-(2-tosylhydrazineyl)-2,5-dihydro-1H-pyrrole-3-carboxylate (4j): light-yellow solid product (49%). m.p. 164–165 °C. IR ṽ cm−1 3295 (-OH), 2996 (NH, amide), 1763 (C=O, ester), 1693 (C=C), 1663 (N-C=O), 1338 (S=O), 761 (Ar-CH3); 1H-NMR (400 MHz, CDCl3) δ 7.72 (d, J = 8.2 Hz, 2H), 7.25 (d, J = 8.2 Hz, 2H), 4.50 (s, 2H), 4.24 (q, J = 7.2 Hz, 2H), 2.41 (s, 3H), 1.30 (t, J = 7.1 Hz, 3H); 13C-NMR (100 MHz, CDCl3) δ 175.46 (C=O), 167.91 (C=O), 163.32 (quat. CNH), 149.59 (Aromatic. C), 143.99 (Aromatic. C), 129.45 (CH-Ar), 128.43 (CH-Ar), 115.85 (quat. C), 66.69 (OCH2), 61.56 (CH2), 21.69 (Ar-CH3), 14.28 (CH3). GCMS m/z (EI, + ve): found 341.0 ([M + 2H]+), C14H17N3O5S calculated 339.09.
Ethyl 1-(2-hydroxyethyl)-4-((4-methoxyphenyl)amino)-5-oxo-2,5-dihydro-1H-pyrrole-3-carboxylate (4k): brown solid product (79%). m.p. 79–81 °C. IR ṽ cm−1: 3464 (-OH), 3310 (NH-Ar), 2922 (NH, amide), 1694 (C=O, ester), 1591 (C=C), 1513 (N-C=O), 778 (Ar-OMe); 1H-NMR (400 MHz, CDCl3) δ 8.03 (s, 1H), 7.03 (d, J = 9.1 Hz, 2H), 6.81 (d, J = 6.9 Hz, 2H), 4.16 (q, J = 7.5 Hz, 4H), 3.82- 3.73 (m, 5H), 3.59 (t, J = 5.0 Hz, 2H), 2.35 (s, 1H), 1.26–1.14 (m, 3H); 13C-NMR (100 MHz, CDCl3) δ 166.08 (C=O), 165.07 (C=O), 157.07 (Aromatic. COMe), 143.97 (quat. CNH), 131.65 (Aromatic. CNH), 124.86 (CH-Ar), 113.86 (CH-Ar), 102.82 (quat. C), 61.31 (OCH2), 60.16 (CH2OH), 55.54 (OCH3), 49.20 (CH2NH), 46.51 (CH2), 14.40 (CH3). GCMS m/z (EI, + ve): found 320.10 ([M]+), C16H20N2O5 calculated 320.14.
4.6. Synthesis of Reduced Gamma-Lactam 5a, 5b: See Reference [13]
Ethyl 4-hydroxy-5-oxopyrrolidine-3-carboxylate (5a): colourless oily product (58%). IR ṽ cm−1: 3392 (OH), 2915 (NH, amide), 1779 (C=O, ester), 1470 (CH2), 1352 (CH3); 1H-NMR (400 MHz, CDCl3) δ 4.62 (d, J = 7.8 Hz, 1H), 4.55 (d, J = 12.0 Hz, 1H), 4.44–4.25 (m, 1H), 4.23 (t, J = 10.7 Hz, 2H), 3.65–3.25 (m, 1H), 1.28 (t, J = 7.1 Hz, 3H; 13C-NMR (100 MHz, CDCl3) δ 154.58 (C=O), 145.25 (C=O), 68.38 (CHOH), 66.39 (OCH2), 62.10 (CH2), 45.61 (CH), 14.17 (CH3); GCMS m/z (EI, + ve): found 174.00 ([M + H]+), C7H11NO4 calculated 173.07.
Ethyl 4-hydroxy-1-methyl-5-oxopyrrolidine-3-carboxylate (5b): white solid product (98%). m.p. 116–118 ○C. IR ṽ cm−1: 3217 (-OH), 2989 (NH, amide), 1721.73 (C=O, ester), 1503 (N-C=O), 1463 (CH2), 1353 (CH3); 1H-NMR (400 MHz, CD3OD): δ 4.44 (d, J = 7.8 Hz, 1H), 4.15 (q, J = 7.2 Hz, 2H), 3.64 (dd, J = 10.1, 3.2 Hz, 1H), 3.28 (t, J = 1.6 Hz, 1H), 3.05 (s, 1H), 2.84 (d, J = 5.5 Hz, 3H), 1.28–1.20 (m, 3H); 13C-NMR (100 MHz, CD3OD): δ 172.93 (C=O), 170.711 (C=O), 70.27 (CHOH), 60.71 (OCH2), 47.88 (CH2), 43.46 (CH), 28.70 (CH3-N), 13.15 (CH3); GCMS m/z (EI, + ve): found 187.10 ([M]+), C8H13NO4 calculated 187.0.
4.7. Antibacterial Activity Studies
All Staphylococcus aureus isolates were maintained in Protect Bacterial Preservers (Technical Service Consultants Limited, Lancashire, UK) at −20 °C. Prior to use, isolates were subcultured overnight at 37 °C in Mueller–Hinton broth (MHB), adjusted to obtain turbidity comparable to that of 0.5 McFarland standard (108 CFU/mL) using a cell density meter (Biochrom WPA CO8000, Cambridge, UK) between absorbance of 0.08 and 0.1 at 600 nm. Serial two-fold dilutions of synthesized compounds dissolved in dimethyl sulfoxide (DMSO) were prepared prior to addition of 100 µL of standardized S. aureus culture followed by incubation at 37 °C for 24 h.
The MIC value was defined as the lowest concentration producing no visible growth (absence of turbidity and/or precipitation) as observed through naked eye. For further reconfirmation, 20 µL (20 mg/mL) of 3-(4,5-dimethylthiazol-2-yl)-2,5-diphenyltetrazolium bromide (MTT) reagent was added to the bacterial suspension in the selected wells, followed by 20 min of incubation at 37 °C. The reagent/bacterial suspension colour will remain clear/yellowish for inhibitory activity as opposed to dark blue indicating growth.
4.8. Cytotoxicity Studies
The cytotoxicity of MFM514 was evaluated using the MTT assay as described previously [34]. The following three normal mammalian cell lines: WRL-68, Vero and 3T3, representing liver, kidney and skin fibroblast, respectively, were used in this study. Cells were cultured in Dulbecco’s modified eagle medium (DMEM) and supplemented with 5% foetal bovine serum and 1% penicillin-streptomycin.
Cells were allowed to attach and spread overnight prior to 72 h of incubation with MFM514 at various concentrations. MTT assay was carried out to determine the number of viable cells relative to the control. Paclitaxel was used as the positive control. IC50 values were determined from the corresponding dose-response curve. SI values were determined via IC50/MIC.
4.9. Oral Acute Toxicity Studies
The fixed-dose procedure for oral acute toxicity was employed as recommended by the Organization for Economic Co-operation and Development (OECD) [35]. Five mice per group were orally administered with a fixed recommended dose of 2000 mg/kg body weight of MFM514 following a period of fasting. Observations for toxicity signs were conducted at 30 min, 4h and daily up to 14 days/dose. The mean lethal dose (LD50) value was estimated based on the GHS [20]. At the end of the experiment, blood was collected from untreated (control) and treated mice through cardiac puncture procedure in EDTA-coated tubes for both haematology and biochemistry analysis on the 14th day following 12 h fasting period.
The haematological evaluations were determined using a Mindray BC-2800Vet Auto Hematology Analyzer (Mindray Corporation, Shenzhen, China). Consequently, the same whole blood-containing tubes was centrifuged at 4000 rpm and the supernatant was collected and introduced into new tubes for the subsequent biochemical analysis using reagent kits and a Roche Cobas C111 Clinical Chemistry Analyzer (Indianapolis, IN, USA). Lastly, the mean relative weight of each organ to its respective body weight and macroscopic evaluation of each organ from both treated and untreated mice were compared.
4.10. Mice Systemic Infection Assay
This study was performed as described previously with minor modifications [25]. A group of six ICR mice was given an MRSA adjuvant via intraperitoneal (i.p.) route. An MRSA adjuvant consisted of a standardized 1.2 × 109 CFU/mL MRSA culture suspended in equal volume of 5% mucin. MFM514 was prepared in 5% Tween 80 and dissolved into four serial concentrations between 15.6 mg/kg and 125 mg/kg.
Subsequently, MFM514 was administered in single dose via oral route (p.o.) one hour after i.p. infection. Since MFM514 was delivered using the oral route, linezolid (a commercially available oral antibiotic against MRSA infection) was selected as the positive control drug. Survivability of the mice was observed over seven days. The total number of survivors at each dose was used to calculate the ED50 value.
5. Patents
Mohd Fazli Mohammat, Ahmad Sazali Hamzah, Zurina Shaameri, Sharifah Aminah Syed Mohamad, Saiful Azmi Johari and Mastura Mohtar. An inhibitor for inhibiting methicillin-resistance Staphylococcus aureus (MRSA) activity. PI2017704143.
Supplementary Materials
The following supporting information can be downloaded at: https://www.mdpi.com/article/10.3390/molecules28062575/s1, Table S1: Hematological analysis of untreated and treated mice with MFM514; Table S2. Biochemistry analysis of untreated and treated mice with MFM514; Table S3. Biochemistry analysis of untreated and treated mice with MFM514.
Author Contributions
S.A.J. conceptualized the work, performed all of the microbiology and cytotoxicity experiments and drafted the original manuscript; M.M. edited the manuscript and supervised the biological experiments; F.N.A.A.R. and M.Z.B. performed all the synthetic chemistry; M.F.M. supervised the chemistry works, helped to conceptualized the work and acquire FRGS funding; A.M. and M.J.M.R. performed all of the animal studies; S.A.S.M. supervised the project, reviewed and edited the manuscript. All authors have read and agreed to the published version of the manuscript.
Funding
This research was funded by the Ministry of Higher Education under the Fundamental Research Grant Scheme (FRGS); 600-IRMI/FRGS-5/3(398/2019).
Institutional Review Board Statement
The animal experiments were conducted in accordance with the protocol of the Malaysian Animal Welfare Act 2015 and were approved by the FRIM Institutional Animal Care and Use Committee [approval number IACUC-FRIM/1(2013)/01 and IACUC-FRIM/1(2015)/05].
Informed Consent Statement
Not applicable.
Data Availability Statement
The data presented in this study are available in Supplementary Materials.
Acknowledgments
The authors would like thank Mohd Kamal Nik Hasan for his help in discussing the results of the animal studies; Mazurah Mohamed Isa and Hannan Abdul Wahab and for their technical assistance in the Antimicrobial Laboratory.
Conflicts of Interest
The authors declare no conflict of interest.
References
- Gajdács, M. The Continuing Threat of methicillin-resistant Staphylococcus aureus. Antibiotics 2019, 8, 52. [Google Scholar] [CrossRef]
- Xu, Y.; Wang, B.; Zhao, H.; Wang, X.; Rao, L.; Ai, W.; Yu, J.; Guo, Y.; Wu, X.; Yu, F.; et al. In vitro activity of vancomycin, teicoplanin, linezolid and daptomycin against methicillin-resistant Staphylococcus aureus isolates collected from chinese hospitals in 2018–2020. Infect. Drug Resist. 2021, 14, 5449–5456. [Google Scholar] [CrossRef] [PubMed]
- World Health Organization. Global Priority List of Antibiotic-Resistant Bacteria to Guide Research, Discovery, and Development of New Antibiotics. Available online: https://www.who.int/medicines/publications/WHO-PPL-Short_Summary_25FebET_NM_WHO.pdf?ua=1 (accessed on 7 February 2023).
- World Health Organization. Antimicrobial Resistance. Available online: https://www.who.int/news-room/fact-sheets/detail/antimicrobial-resistance (accessed on 7 February 2023).
- Abubakar, U.; Al-Anazi, M.; Alanazi, Z.; Rodríguez-Baño, J. Impact of COVID-19 pandemic on multidrug resistant gram positive and gram negative pathogens: A systematic review. J. Infect. Public Health 2022, 16, 320–331. [Google Scholar] [CrossRef] [PubMed]
- GBD 2019 Antimicrobial Resistance Collaborators. Global mortality associated with 33 bacterial pathogens in 2019: A systematic analysis for the Global Burden of Disease Study 2019. Lancet 2022, 400, 2221–2248. [Google Scholar] [CrossRef] [PubMed]
- Mendes, R.E.; Hogan, P.A.; Jones, R.N.; Sader, H.S.; Flamm, R.K. Surveillance for linezolid resistance via the Zyvox® Annual Appraisal of Potency and Spectrum (ZAAPS) programme (2014): Evolving resistance mechanisms with stable susceptibility rates. J. Antimicrob. Chemother. 2016, 71, 1860–1865. [Google Scholar] [CrossRef]
- Ryzhkova, Y.E.; Ryzhkov, F.V.; Elinson, M.N.; Maslov, O.I.; Fakhrutdinov, A.N. One-Pot Solvent-Involved Synthesis of 5-O-Substituted 5H-Chromeno[2,3-b] pyridines. Molecules 2022, 28, 64. [Google Scholar] [CrossRef] [PubMed]
- Hayashi, Y. Pot economy and one-pot synthesis. Chem. Sci. 2016, 7, 866–880. [Google Scholar] [CrossRef]
- Mohammat, M.F.; Shaameri, Z.; Hamzah, A.S. Synthesis of 2,3-Dioxo-5-(substituted)arylpyrroles and their 2-Oxo-5-aryl-3-hydrazone pyrrolidine derivatives. Molecules 2009, 14, 250–256. [Google Scholar] [CrossRef]
- Mohammat, M.F.; Najim, N.; Mansor, N.S.; Sarman, S.; Shaameri, Z.; Mat Zain, M.; Hamzah, A.S. Synthesis and bioactivity of some 2-oxo-5-aryl-3-hydrazone and 2-oxo-5-aryl-4-hydrazone pyrrolidine derivatives. Arkivoc 2011, 9, 429–438. [Google Scholar] [CrossRef]
- Zakaria, Z.A.; Sani, M.H.; Mohammat, M.F.; Mansor, N.S.; Shaameri, Z.; Teh, L.K.; Salleh, M.Z.; Hamzah, A.S. Antinociceptive activity of a synthetic oxopyrrolidine-based compound, ASH21374, and determination of its possible mechanisms. Can. J. Physiol. Pharmacol. 2013, 91, 1143–1153. [Google Scholar] [CrossRef]
- Mohammat, M.F.; Mansor, N.S.; Shaameri, Z.; Hamzah, A.S. Diastereoselective Reduction of 2,3-Dioxo-4-carboxy-5-substituted pyrrolidines using NaBH4/AcOH and heterogenous hydrogenation reactions. J. Korean Chem. Soc. 2015, 59, 31–34. [Google Scholar] [CrossRef][Green Version]
- Gibbons, S. Phytochemicals for bacterial resistance—Strengths, weaknesses and opportunities. Planta Med. 2008, 74, 594–602. [Google Scholar] [CrossRef]
- Otto, M. Community-associated MRSA: What makes them special? Int. J. Med. Microbiol. 2013, 303, 324–330. [Google Scholar] [CrossRef]
- Valdes, A.F.C.; Martinez, J.M.; Lizama, R.S.; Vermeersch, M.; Cos, P.; Maes, L. In vitro anti-microbial activity of the Cuban medicinal plants Simarouba glauca DC, Melaleuca leucadendron L and Artemisia absinthium L. Mem. Inst. Oswaldo Cruz 2008, 103, 615–618. [Google Scholar] [CrossRef]
- Zarranz, B.; Jaso, A.; Aldana, I.; Monge, A. Synthesis and antimycobacterial activity of new quinoxaline-2-carboxamide 1,4-di-N-oxide derivatives. Bioorg. Med. Chem. 2003, 11, 2149–2156. [Google Scholar] [CrossRef]
- Karpin, G.W.; Morris, D.M.; Ngo, M.T.; Merola, J.S.; Falkinham, J.O., III. Transition metal diamine complexes with antimicrobial activity against Staphylococcus aureus and methicillin-resistant S. aureus (MRSA). Med. Chem. Com. 2015, 6, 1471–1478. [Google Scholar] [CrossRef]
- Jindal, H.M.; Le, C.F.; Mohd Yusof, M.Y.; Velayuthan, R.D.; Lee, V.S.; Zain, S.M.; Isa, D.M.; Sekaran, S.D. Antimicrobial activity of novel synthetic peptides derived from indolicidin and ranalexin against Streptococcus pneumoniae. PLoS ONE 2015, 10, e0128532. [Google Scholar] [CrossRef] [PubMed]
- United Nations. Globally Harmonized System of Classification and Labelling of Chemicals (GHS). Available online: https://www.unece.org/fileadmin/DAM/trans/danger/publi/ghs/ghs_rev04/English/ST-SG-AC10-30-Rev4e.pdf (accessed on 7 February 2023).
- Cayman Chemicals. Amikacin Safety Data Sheet. Available online: https://www.caymanchem.com/msdss/15405m.pdf (accessed on 7 February 2023).
- Cayman Chemicals. Ofloxacin Safety Data Sheet. Available online: https://www.caymanchem.com/msdss/22891m.pdf (accessed on 7 February 2023).
- Ntchapda, F.; Abakar, D.; Kom, B.; Nana, P.; Hamadjida, A.; Dimo, T. Acute and sub-chronic oral toxicity assessment of the aqueous extract leaves of Ficus glumosa Del. (Moraceae) in rodents. J. Intercult. Ethnopharmacol. 2014, 3, 206–213. [Google Scholar] [CrossRef]
- Chaotham, C.; Chivapat, S.; Chaikitwattana, A.; De-Eknamkul, W. Acute and chronic oral toxicity of a partially purified plaunotol extract from Croton stellatopilosus Ohba. Biomed Res. Int. 2013, 2013, 303162. [Google Scholar] [CrossRef] [PubMed]
- Im, W.B.; Choi, S.H.; Park, J.Y.; Choi, S.H.; Finn, J.; Yoon, S.H. Discovery of torezolid as a novel 5-hydroxymethyl-oxazolidinone antibacterial agent. Eur. J. Med. Chem. 2011, 46, 1027–1039. [Google Scholar] [CrossRef] [PubMed]
- Mohamed, N.M.; Zakaria, A.S.; Edward, E.A.; Abdel-Bary, A. In vitro and in vivo activity of zabofloxacin and other fluoroquinolones against MRSA isolates from a university hospital in Egypt. Pol. J. Microbiol. 2019, 68, 59–69. [Google Scholar] [CrossRef] [PubMed]
- Banevicius, M.A.; Kaplan, N.; Hafkin, B.; Nicolau, D.P. Pharmacokinetics, pharmacodynamics and efficacy of novel FabI inhibitor AFN-1252 against MSSA and MRSA in the murine thigh infection model. J. Chemother. 2019, 25, 26–31. [Google Scholar] [CrossRef]
- Wittke, F.; Vincent, C.; Chen, J.; Heller, B.; Kabler, H.; Overcash, J.S.; Leylavergne, F.; Dieppois, G. Afabicin, a first-in-class antistaphylococcal antibiotic, in the treatment of acute bacterial skin and skin structure infections: Clinical noninferiority to vancomycin/linezolid. Antimicrob. Agents Chemother. 2020, 64, e00250-20. [Google Scholar] [CrossRef]
- Kocsis, B.; Gulyás, D.; Szabó, D. Delafloxacin, Finafloxacin, and Zabofloxacin: Novel Fluoroquinolones in the Antibiotic Pipeline. Antibiotics 2021, 10, 1506. [Google Scholar] [CrossRef]
- Hamamoto, H.; Kurokawa, K.; Kaito, C.; Kamura, K.; Manitra Razanajatovo, I.; Kusuhara, H.; Santa, T.; Sekimizu, K. Quantitative evaluation of the therapeutic effects of antibiotics using silkworms infected with human pathogenic microorganisms. Antimicrob. Agents Chemother. 2004, 48, 774–779. [Google Scholar] [CrossRef]
- Melander, R.J.; Zurawski, D.V.; Melander, C. Narrow-Spectrum Antibacterial Agents. Medchemcomm 2018, 9, 12–21. [Google Scholar] [CrossRef] [PubMed]
- McCarthy, K.; Avent, M. Oral or intravenous antibiotics? Aust. Prescr. 2020, 43, 45–48. [Google Scholar] [CrossRef] [PubMed]
- Turner, P.V.; Brabb, T.; Pekow, C.; Vasbinder, M.A. Administration of substances to laboratory animals: Routes of administration and factors to consider. J. Am. Assoc. Lab. Anim. Sci. 2011, 50, 600–613. [Google Scholar]
- Mossman, T. Rapid colorimetric assay for cellular growth and survival: Application to proliferation and cytotoxicity assays. J. Immunol. Methods 1983, 65, 55–63. [Google Scholar] [CrossRef]
- Organization for Economic Co-operation and Development. OECD Guideline for the Testing of Chemicals, Revised Draft Test Guideline 420, Acute Oral Toxicity—Fixed Dose Procedure. Available online: https://ntp.niehs.nih.gov/iccvam/suppdocs/feddocs/oecd/oecd_gl420.pdf (accessed on 7 February 2023).
Disclaimer/Publisher’s Note: The statements, opinions and data contained in all publications are solely those of the individual author(s) and contributor(s) and not of MDPI and/or the editor(s). MDPI and/or the editor(s) disclaim responsibility for any injury to people or property resulting from any ideas, methods, instructions or products referred to in the content. |
© 2023 by the authors. Licensee MDPI, Basel, Switzerland. This article is an open access article distributed under the terms and conditions of the Creative Commons Attribution (CC BY) license (https://creativecommons.org/licenses/by/4.0/).
































