Simultaneous Preparation of Chitin and Flavor Protein Hydrolysates from the By-Products of Shrimp Processing by One-Step Fermentation with Lactobacillus fermuntum
Abstract
1. Introduction
2. Results and Discussion
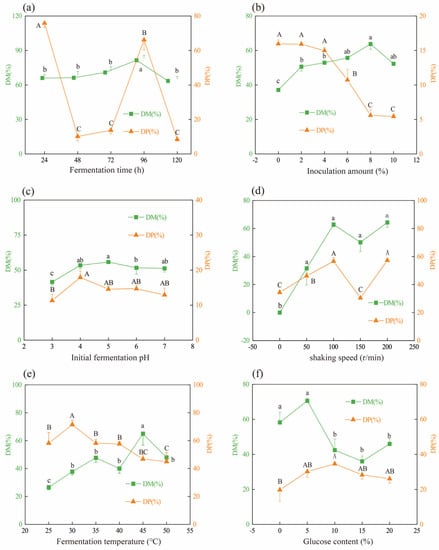
2.1. Effects of Fermentation Conditions on DM and DP Efficiencies
2.2. Optimization of Fermentation
2.3. Characteristics of Fermented Chitin by L. fermuntum Fermentation
2.3.1. Surface Morphology under FESEM Observation
2.3.2. FTIR Analysis
2.3.3. XRD Analysis
2.4. Volatile Properties of the Fermentation Broth by GC–IMS Analysis
2.5. Qualitative Analysis of Volatile Compounds
3. Materials and Methods
3.1. Materials
3.2. Strain Activation and Seed Liquid Preparation
3.3. Fermentation Conditions
3.4. Demineralization (DM) Efficiency Measurement
3.5. Deproteinization (DP) Efficiency Measurement
3.6. Optimization of Fermentation Conditions
3.7. Chitin Quality Evaluation
3.8. Characteristics of Fermented Chitin
3.9. Flavor Characteristics of Fermentation Broth
3.10. Statistic Analysis
4. Conclusions
Supplementary Materials
Author Contributions
Funding
Institutional Review Board Statement
Informed Consent Statement
Data Availability Statement
Conflicts of Interest
Sample Availability
References
- Sedaghat, F.; Yousefzadi, M.; Toiserkani, H.; Najafipour, S. Bioconversion of shrimp waste Penaeus merguiensis using lactic acid fermentation: An alternative procedure for chemical extraction of chitin and chitosan. Int. J. Biol. Macromol. 2017, 104, 883–888. [Google Scholar] [CrossRef]
- Mao, X.; Zhang, J.; Kan, F.; Gao, Y.; Lan, J.; Zhang, X.; Hu, Z.; Li, Y.; Lin, H. Antioxidant production and chitin recovery from shrimp head fermentation with Streptococcus thermophilus. Food Sci. Biotechnol. 2013, 22, 1023–1032. [Google Scholar] [CrossRef]
- Lv, J.; Lv, X.; Ma, M.; Oh, D.H.; Jiang, Z.; Fu, X. Chitin and chitin-based biomaterials: A review of advances in processing and food applications. Carbohyd. Polym. 2023, 299, 120142. [Google Scholar] [CrossRef] [PubMed]
- Abdel-Mohsen, A.M.; Jancar, J.; Massoud, D.; Fohlerova, Z.; Elhadidy, H.; Spotz, Z.; Hebeish, A. Novel chitin/chitosan-glucan wound dressing: Isolation, characterization, antibacterial activity and wound healing properties. Int. J. Pharm. 2016, 510, 86–99. [Google Scholar] [CrossRef]
- Singh, A.; Dutta, P.; Kumar, H.; Kureel, A.K.; Rai, A.K. Synthesis of chitin-glucan-aldehyde-quercetin conjugate and evaluation of anticancer and antioxidant activities. Carbohyd. Polym. 2018, 193, 99–107. [Google Scholar] [CrossRef] [PubMed]
- Hou, F.; Gong, Z.; Jia, F.; Cui, W.; Song, S.; Zhang, J.; Wang, Y.; Wang, W. Insights into the relationships of modifying methods, structure, functional properties and applications of chitin: A review. Food Chem. 2023, 409, 135336. [Google Scholar] [CrossRef]
- Giraldo, J.D.; Garrido-Miranda, K.A.; Schoebitz, M. Chitin and its derivatives: Functional biopolymers for developing bioproducts for sustainable agriculture—A reality? Carbohyd. Polym. 2023, 299, 120196. [Google Scholar] [CrossRef]
- Sirajudheen, P.; Poovathumkuzhi, N.C.; Vigneshwaran, S.; Chelaveettil, B.M.; Meenakshi, S. Applications of chitin and chitosan based biomaterials for the adsorptive removal of textile dyes from water—A comprehensive review. Carbohyd. Polym. 2021, 273, 118604. [Google Scholar] [CrossRef] [PubMed]
- Kurita, K. Chitin and chitosan: Functional biopolymers from marine crustaceans. Mar. Biotechnol. 2006, 8, 203–226. [Google Scholar] [CrossRef] [PubMed]
- Khanafari, A.; Marandi, R.; Sanatei, S. Recovery of chitin and chitosan from shrimp waste by chemical and microbial methods. Iran. J. Environ. Health Sci. Eng. 2008, 5, 19–24. [Google Scholar]
- Rao, M.S.; Muñoz, J.; Stevens, W.F. Critical factors in chitin production by fermentation of shrimp biowaste. Appl. Microbiol. Biot. 2000, 54, 808–813. [Google Scholar] [CrossRef] [PubMed]
- Zhang, H.; Jin, Y.; Deng, Y.; Wang, D.; Zhao, Y. Production of chitin from shrimp shell powders using Serratia marcescens B742 and Lactobacillus plantarum ATCC 8014 successive two-step fermentation. Carbohyd. Res. 2012, 362, 13–20. [Google Scholar] [CrossRef] [PubMed]
- Zhang, Q.; Xiang, Q.; Li, Y. One-step bio-extraction of chitin from shrimp shells by successive co-fermentation using Bacillus subtilis and Lactobacillus plantarum. Innov. Food Sci. Emerg. Technol. 2022, 80, 103057. [Google Scholar] [CrossRef]
- Zhang, Q.; Wang, L.; Liu, S.; Li, Y. Establishment of successive co-fermentation by Bacillus subtilis and Acetobacter pasteurianus for extracting chitin from shrimp shells. Carbohyd. Polym. 2021, 258, 117720. [Google Scholar] [CrossRef]
- Arbia, W.; Adour, L.; Amrane, A.; Lounici, H. Optimization of medium composition for enhanced chitin extraction from Parapenaeus longirostris by Lactobacillus helveticus using response surface methodology. Food Hydrocoll. 2013, 31, 392–403. [Google Scholar] [CrossRef]
- Castro, R.; Guerrero-Legarreta, I.; Bórquez, R. Chitin extraction from Allopetrolisthes punctatus crab using lactic fermentation. Biotechnol. Rep. 2018, 20, e00287. [Google Scholar] [CrossRef]
- de Souza, E.L.; de Oliveira, K.Á.; de Oliveira, M.E. Influence of lactic acid bacteria metabolites on physical and chemical food properties. Curr. Opin. Food Sci. 2023, 49, 100981. [Google Scholar] [CrossRef]
- Xu, Y.; Gallert, C.; Winter, J. Chitin purification from shrimp wastes by microbial deproteination and decalcification. Appl. Microbiol. Biotechnol. 2008, 79, 687–697. [Google Scholar] [CrossRef] [PubMed]
- Gunawan, S.; Aparamarta, H.W.; Darmawan, R.; Zarkasie, I.M.; Prihandini, W.W. Effect of initial bacterial cells number and fermentation time on increasing nutritive value of sago flour. Malays. J. Fundam. Appl. Sci. 2018, 14, 246–250. [Google Scholar] [CrossRef]
- Namasivayam, E.; Ravindar, J.; Mariappan, K.; Akil, J.; Kumar, M.; Jayaraj, R.L. Production of extracellular pectinase by Bacillus cereus isolated from market solid waste. J. Bioanal. Biomed. 2011, 3, 70–75. [Google Scholar] [CrossRef]
- Sixto-Berrocal, A.M.; Vázquez-Aldana, M.; Miranda-Castro, S.P.; Martínez-Trujillo, M.A.; Cruz-Díaz, M.R. Chitin/chitosan extraction from shrimp shell waste by a completely biotechnological process. Int. J. Biol. Macromol. 2023, 230, 123204. [Google Scholar] [CrossRef] [PubMed]
- Sorokulova, I.; Krumnow, A.; Globa, L.; Vodyanoy, V. Efficient decomposition of shrimp shell waste using Bacillus cereus and Exiguobacterium acetylicum. J. Ind. Microbiol. Biotechnol. 2009, 36, 1123–1126. [Google Scholar] [CrossRef]
- Cahyaningtyas, H.A.A.; Suyotha, W.; Cheirsilp, B.; Prihanto, A.A.; Yano, S.; Wakayama, M. Optimization of protease production by Bacillus cereus HMRSC30 for simultaneous extraction of chitin from shrimp shell with value-added recovered products. Environ. Sci. Pollut. Res. 2022, 29, 22163–22178. [Google Scholar] [CrossRef]
- Zhang, K.; Wei, R.; Song, R. Extraction of cathepsin D-like protease from neon flying squid (Ommastrephes bartramii) viscera and application in antioxidant hydrolysate production. Biomolecules 2019, 9, 228. [Google Scholar] [CrossRef]
- Song, R.; Wei, R.; Zhang, B.; Wang, D. Optimization of the antibacterial activity of Half-fin anchovy (Setipinna taty) hydrolysates. Food Bioprocess. Technol. 2012, 5, 1979–1989. [Google Scholar] [CrossRef]
- Dong, Q.; Qiu, W.; Li, L.; Tao, N.; Wang, A.L.; Deng, S.; Jin, Y. Extraction of chitin from white shrimp (Penaeus vannamei) shells using binary ionic liquid mixtures. J. Ind. Eng. Chem. 2023, 120, 529–541. [Google Scholar] [CrossRef]
- Cárdenas, G.; Cabrera, G.; Taboada, E.; Miranda, S.P. Chitin characterization by SEM, FTIR, XRD, and 13C cross polarization/mass angle spinning NMR. J. Appl. Polym. Sci. 2004, 93, 1876–1885. [Google Scholar] [CrossRef]
- Li, S.; Tang, S.; Mo, R.; Li, J.; Chen, L. Effects of NaCl curing and subsequent fermentation with Lactobacillus sakei or Lactobacillus plantarum on protein hydrolysis and oxidation in yak jerky. LWT-Food Sci. Technol. 2023, 173, 114298. [Google Scholar] [CrossRef]
- Jang, M.K.; Kong, B.G.; Jeong, Y.I.; Lee, C.H.; Nah, J.W. Physicochemical characterization of α-chitin, β-chitin, and γ-chitin separated from natural resources. J. Polym. Sci. A Polym. Chem. 2004, 42, 3423–3432. [Google Scholar] [CrossRef]
- Li, Z.; Li, M.C.; Liu, C.; Liu, X.; Lu, Y.; Zhou, G.; Liu, C.; Mei, C. Microwave-assisted deep eutectic solvent extraction of chitin from crayfish shell wastes for 3D printable inks. Ind. Crop. Prod. 2023, 194, 116325. [Google Scholar] [CrossRef]
- Xu, Y.; Liu, Y.; Jiang, C.; Zhang, C.; Li, X.; Zhu, D.; Li, J. Determination of volatile compounds in turbot (Psetta maxima) during refrigerated storage by headspace solid-phase microextraction and gas chromatography-mass spectrometry. J. Sci. Food Agric. 2014, 94, 2464–2471. [Google Scholar] [CrossRef] [PubMed]
- Zeng, X.; Xia, W.; Jiang, Q.; Xu, Y.; Fan, J. Contribution of mixed starter cultures to flavor profile of Suanyu-A traditional Chinese low-salt fermented whole fish. J. Food Process. Preserv. 2017, 41, e13131. [Google Scholar] [CrossRef]
- Xu, Y.; Song, R.; Jia, Z.; Wei, R.; Wang, J.; Sun, J. Effect of Bacillus subtilis (Bacillus subtilis subsp.) inoculation on the fermentation characteristics of Penaeus sinensis by-products: Protease activity and volatile property. LWT-Food Sci. Technol. 2023, 177, 114584. [Google Scholar] [CrossRef]
- Bangar, S.P.; Suri, S.; Trif, M.; Ozogul, F. Organic acids production from lactic acid bacteria: A preservation approach. Food Biosci. 2022, 46, 101615. [Google Scholar] [CrossRef]
- Xu, H.; Xiao, N.; Xu, J.; Guo, Q.; Shi, W. Effect of Lactobacillus plantarum and flavourzyme on physicochemical and safety properties of grass carp during fermentation. Food Chem. X 2022, 15, 100392. [Google Scholar] [CrossRef]
- Yang, F.; Xia, W.S.; Zhang, X.W.; Xu, Y.S.; Jiang, Q.X. A comparison of endogenous and microbial proteolytic activities during fast fermentation of silver carp inoculated with Lactobacillus plantarum. Food Chem. 2016, 207, 86–92. [Google Scholar] [CrossRef] [PubMed]
- Sun, S.M.; Chung, G.H.; Shi, T.S. Volatile compounds of the green alga Capsosiphon fulvescens. J. Appl. Phycol. 2012, 24, 1003–1013. [Google Scholar] [CrossRef]
- Sha, K.; Lang, Y.M.; Sun, B.Z.; Su, H.W.; Li, H.P.; Zhang, L.; Lei, Y.H.; Li, H.B.; Zhang, Y. Changes in lipid oxidation, fatty acid profile and volatile compounds of traditional kazakh dry-cured beef during processing and storage. J. Food Process. Preserv. 2017, 41, 9. [Google Scholar] [CrossRef]
- Kahle, K.; Preston, C.; Richling, E.; Heckel, F.; Schreier, P. On-line gas chromatography combustion/pyrolysis isotope ratio mass spectrometry (HRGC-C/P-IRMS) of major volatiles from pear fruit (Pyrus communis) and pear products. Food Chem. 2005, 91, 449–455. [Google Scholar] [CrossRef]
- Yang, P.; Wang, H.; Cao, Q.; Song, H.; Xu, Y.; Lin, Y. Aroma-active compounds related to Maillard reaction during roasting in Wuyi Rock tea. J. Food Compos. Anal. 2023, 115, 104954. [Google Scholar] [CrossRef]
- Bradford, M.M. A rapid and sensitive method for the quantitation of microgram quantities of protein utilizing the principle of protein binding. Anal. Biochem. 1976, 72, 248–254. [Google Scholar] [CrossRef] [PubMed]
- Hernández-Mesa, M.; Ropartz, D.; García-Campaña, A.M.; Rogniaux, H.; Dervilly-Pinel, G.; Le Bizec, B. Ion mobility spectrometry in food analysis: Principles, current applications and future trends. Molecules 2019, 24, 28. [Google Scholar] [CrossRef] [PubMed]






| Code | A Fermentation Time (h) | B Inoculation Amount (%) | C Temperature (°C) | D Glucose Content (%) |
|---|---|---|---|---|
| −1 | 72 | 6 | 40 | 0 |
| 0 | 96 | 8 | 45 | 5 |
| +1 | 120 | 10 | 50 | 10 |
| No | A | B | C | D | DM (%) | DP (%) |
|---|---|---|---|---|---|---|
| 1 | 72 | 6 | 45 | 5 | 63.59 | 92.22 |
| 2 | 120 | 6 | 45 | 5 | 33.41 | 25.44 |
| 3 | 72 | 10 | 45 | 5 | 37.38 | 37.76 |
| 4 | 120 | 10 | 45 | 5 | 53.79 | 49.03 |
| 5 | 96 | 8 | 40 | 0 | 78.27 | 87.58 |
| 6 | 96 | 8 | 50 | 0 | 75.04 | 96.99 |
| 7 | 96 | 8 | 40 | 10 | 87.61 | 78.18 |
| 8 | 96 | 8 | 50 | 10 | 89.27 | 78.04 |
| 9 | 72 | 8 | 45 | 0 | 64.98 | 31.80 |
| 10 | 120 | 8 | 45 | 0 | 70.88 | 71.29 |
| 11 | 72 | 8 | 45 | 10 | 84.00 | 90.63 |
| 12 | 120 | 8 | 45 | 10 | 42.24 | 30.34 |
| 13 | 96 | 6 | 40 | 5 | 19.13 | 93.28 |
| 14 | 96 | 10 | 40 | 5 | 83.87 | 82.68 |
| 15 | 96 | 6 | 50 | 5 | 31.30 | 61.35 |
| 16 | 96 | 10 | 50 | 5 | 55.49 | 31.01 |
| 17 | 72 | 8 | 40 | 5 | 45.45 | 74.20 |
| 18 | 120 | 8 | 40 | 5 | 56.06 | 19.48 |
| 19 | 72 | 8 | 50 | 5 | 37.17 | 33.39 |
| 20 | 120 | 8 | 50 | 5 | 84.55 | 89.57 |
| 21 | 96 | 6 | 45 | 0 | 63.82 | 91.96 |
| 22 | 96 | 10 | 45 | 0 | 33.60 | 91.82 |
| 23 | 96 | 6 | 45 | 10 | 61.19 | 35.06 |
| 24 | 96 | 10 | 45 | 10 | 59.66 | 30.61 |
| 25 | 96 | 8 | 45 | 5 | 83.75 | 92.88 |
| 26 | 96 | 8 | 45 | 5 | 41.22 | 49.00 |
| 27 | 96 | 8 | 45 | 5 | 81.50 | 71.42 |
| 28 | 96 | 8 | 45 | 5 | 67.19 | 24.58 |
| 29 | 96 | 8 | 45 | 5 | 68.69 | 72.74 |
| Source | Sum of Squares | df | Mean Square | F Value | p Value | Significance | |||||
|---|---|---|---|---|---|---|---|---|---|---|---|
| DM | DP | DM or DP | DM | DP | DM | DP | DM | DP | DM | DP | |
| Model | 10,400.88 | 19,011.39 | 14 | 742.92 | 1357.96 | 14.24 | 14.29 | <0.0001 | <0.0001 | ** | ** |
| A | 3.88 | 89.87 | 1 | 3.88 | 89.87 | 0.074 | 0.95 | 0.7892 | 0.3473 | ||
| B | 179.57 | 417.25 | 1 | 179.57 | 417.25 | 3.44 | 4.39 | 0.0848 | 0.0548 | ||
| C | 3.61 | 118.69 | 1 | 3.61 | 118.69 | 0.069 | 1.25 | 0.7964 | 0.2825 | ||
| D | 6202.56 | 11.88 | 1 | 6202.56 | 11.88 | 118.85 | 0.13 | <0.0001 | 0.7289 | ** | |
| AB | 0.96 | 0.35 | 1 | 0.96 | 0.35 | 0.018 | 3.726 × 10−3 | 0.8940 | 0.9522 | ||
| AC | 90.35 | 223.80 | 1 | 90.35 | 223.80 | 1.73 | 2.36 | 0.2094 | 0.1472 | ||
| AD | 96.73 | 0.99 | 1 | 96.73 | 0.99 | 1.85 | 0.010 | 0.1949 | 0.9201 | ||
| BC | 383.18 | 40.51 | 1 | 383.18 | 40.51 | 7.34 | 0.43 | 0.0169 | 0.5244 | * | |
| BD | 28.78 | 2.31 | 1 | 28.78 | 2.31 | 0.55 | 0.024 | 0.4700 | 0.8783 | ||
| CD | 23.81 | 1.60 | 1 | 23.81 | 1.60 | 0.46 | 0.017 | 0.5104 | 0.8986 | ||
| A2 | 194.03 | 192.24 | 1 | 194.03 | 192.24 | 3.72 | 2.02 | 0.0744 | 0.1768 | ||
| B2 | 704.19 | 22.10 | 1 | 704.19 | 22.10 | 13.49 | 0.23 | 0.0025 | 0.6370 | ** | |
| C2 | 2697.92 | 17106.38 | 1 | 2697.92 | 17,106.38 | 51.70 | 180.02 | <0.0001 | <0.0001 | ** | ** |
| D2 | 1013.41 | 142.01 | 1 | 1013.41 | 142.01 | 19.42 | 1.49 | 0.0006 | 0.2417 | ** | |
| Residual | 730.64 | 1330.36 | 14 | 52.19 | 95.03 | ||||||
| Lack of fit | 666.36 | 967.98 | 10 | 66.64 | 96.80 | 4.15 | 1.07 | 0.0915 | 0.5183 | ||
| Pure error | 64.29 | 362.37 | 4 | 16.07 | 90.59 | ||||||
| Cor total | 11,131.52 | 20,341.75 | 28 | 1357.96 | |||||||
| Index | Standard | Obtained Chitin |
|---|---|---|
| pH | 6.5–8.5 | 6.84 ± 0.32 |
| Water (%) | Industry grade ≤ 12.0 | 8.79 ± 2.39 |
| Food grade ≤ 10.0 | ||
| Ash (%) | Industry grade ≤ 3.0 | 2.27 ± 0.84 |
| Food grade ≤ 1.0 | ||
| Color | White to light yellow or light red | Light red |
| Texture | Flaky or powder | Powder |
| Aroma | Own characteristic smell and no peculiar smell | Own characteristic smell and no peculiar smell |
| Impurity substance | No foreign impurities visible in normal vision | No foreign impurities visible in normal vision |
| Category | Count | CAS# | Compound | Rt [sec] | Dt [RIPrel] | Comment | Odor Type |
|---|---|---|---|---|---|---|---|
| Aldehydes | 1 | C100527 | Benzaldehyde | 1421.885 | 1.16385 | nutty | |
| 5 | C124196 | Nonanal | 1032.99 | 1.48097 | balsamic | ||
| 12 | C124130 | Octanal | 824.492 | 1.40603 | grassy | ||
| 18 | C107868 | 3-Methyl-2-butenal | 693.554 | 1.09854 | none | ||
| 19 | C111717 | Heptanal | 669.295 | 1.33343 | fatty | ||
| 20 | C111717 | Heptanal | 669.295 | 1.69629 | fatty | ||
| 27 | C1576869 | (Z)-2-Pentenal | 515.914 | 1.0953 | potato | ||
| 29 | C66251 | Hexanal | 491.654 | 1.26053 | Monomer | fruity | |
| 30 | C66251 | Hexanal | 491.654 | 1.5586 | Dimer | fruity | |
| 36 | C110623 | Pentanal | 365.663 | 1.4209 | fruity | ||
| 40 | C590863 | 3-Methylbutanal | 310.884 | 1.4047 | fatty | ||
| 43 | C105577 | Diethyl acetal | 294.936 | 1.0356 | vegetable | ||
| 46 | C123728 | Butanal | 284.79 | 1.11394 | Monomer | floral | |
| 47 | C123728 | Butanal | 284.79 | 1.28245 | Dimer | floral | |
| 49 | C78842 | Isobutanal | 249.277 | 1.28393 | floral | ||
| 50 | C123386 | Propanal | 243.189 | 1.05038 | Monomer | earthy | |
| 51 | C123386 | Propanal | 243.189 | 1.14794 | Dimer | earthy | |
| 53 | C75070 | Acetaldehyde | 215.794 | 0.97795 | fruity | ||
| 62 | C1576870 | (E)-2-Pentenal | 578.331 | 1.10772 | fruity | ||
| Alcohols | 7 | C589355 | 3-Methyl-1-pentanol | 899.421 | 1.33494 | roasted | |
| 14 | C6728310 | cis-4-Heptenal | 752.821 | 1.15432 | Grassy, fatty | ||
| 17 | C123513 | 3-Methyl-1-butanol | 701.722 | 1.24553 | alcoholic pungent | ||
| 25 | C71363 | 1-Butanol | 598.865 | 1.18277 | balsamic | ||
| 28 | C78831 | 2-Methyl-1-propanol | 501.828 | 1.17305 | winey | ||
| 32 | C71238 | 1-Propanol | 426.702 | 1.11474 | musty | ||
| 38 | C64175 | Ethanol | 320.274 | 1.0467 | Monomer | alcoholic | |
| 39 | C64175 | Ethanol | 321.84 | 1.1277 | Dimer | alcoholic | |
| 55 | C67630 | 2-Propanol | 313.876 | 1.08734 | Monomer | woody | |
| 56 | C67630 | 2-Propanol | 314.552 | 1.21741 | Dimer | woody | |
| 57 | C78922 | 2-Butanol | 407.561 | 1.14646 | apricot | ||
| 61 | C616251 | 1-Penten-3-ol | 629.46 | 0.94306 | Meaty, vegetable | ||
| Ketones | 9 | C116096 | 1-Hydroxy-2-propanone | 854.898 | 1.05056 | pungent sour | |
| 10 | C513860 | 3-Hydroxy-2-butanone | 823.406 | 1.06017 | Monomer | creamy | |
| 11 | C513860 | 3-Hydroxy-2-butanone | 824.492 | 1.33494 | Dimer | creamy | |
| 23 | C110430 | 2-Heptanone | 663.817 | 1.26539 | fruity | ||
| 35 | C431038 | Diacetyl | 362.532 | 1.17305 | creamy | ||
| 37 | C96220 | 3-Pentanone | 364.098 | 1.34963 | fermentative | ||
| 41 | C78933 | 2-Butanone | 301.362 | 1.06221 | Monomer | camphor | |
| 42 | C78933 | 2-Butanone | 302.038 | 1.24846 | Dimer | camphor | |
| 48 | C67641 | Acetone | 253.674 | 1.11542 | fruity | ||
| 58 | C565617 | 3-Methyl-2-pentanone | 406.208 | 1.18194 | none | ||
| Esters | 6 | C97643 | Ethyl lactate | 979.78 | 1.14279 | fruity | |
| 24 | C628637 | Pentyl acetate | 614.516 | 1.32047 | fruity | ||
| 31 | C123864 | Butyl acetate | 458.787 | 1.22651 | fruity | ||
| 34 | C110190 | Isobutyl acetate | 396.965 | 1.23299 | fruity | ||
| 44 | C141786 | Ethyl Acetate | 289.186 | 1.09916 | Monomer | grassy | |
| 45 | C141786 | Ethyl Acetate | 288.51 | 1.33862 | Dimer | grassy | |
| 54 | C79209 | Methyl acetate | 258.747 | 1.0356 | fruity | ||
| 60 | C617356 | Ethyl pyruvate | 766.545 | 1.17296 | fruity | ||
| 63 | C123922 | Isoamyl acetate | 556.101 | 1.29723 | fruity | ||
| Amines | 33 | C110021 | Thiophene | 399.313 | 1.0386 | garlic | |
| 52 | C75183 | Dimethyl sulfide | 229.999 | 0.96021 | sulfurous | ||
| Furans | 15 | C3777693 | 2-Pentylfuran | 735.446 | 1.25808 | vegetable | |
| 26 | C4466244 | 2-Butylfuran | 571.475 | 1.18277 | fruity | ||
| Pyrazines | 4 | C14667551 | 2,3,5-Trimethylpyrazine | 1044.935 | 1.1793 | roasted | |
| 8 | C123320 | 2,5-Dimethylpyrazine | 875.531 | 1.12166 | roasted | ||
| 13 | C109080 | 2-Methylpyrazine | 788.657 | 1.08899 | roasted | ||
| 16 | C290379 | Pyrazine | 710.47 | 1.05056 | roasted | ||
| 59 | C13360640 | 2-Ethyl-5-methylpyrazine | 1017.703 | 1.15876 | nutty, roasted | ||
| Benzenes | 21 | C95476 | o-Xylene | 659.904 | 1.07748 | none | |
| Pyridines | 22 | C110861 | Pyridine | 659.122 | 1.23299 | stenchy | |
| Acids | 2 | C64197 | Acetic acid | 1277.917 | 1.05603 | pungent sour | |
| 3 | C64197 | Acetic acid | 1278.427 | 1.15468 | pungent sour |
Disclaimer/Publisher’s Note: The statements, opinions and data contained in all publications are solely those of the individual author(s) and contributor(s) and not of MDPI and/or the editor(s). MDPI and/or the editor(s) disclaim responsibility for any injury to people or property resulting from any ideas, methods, instructions or products referred to in the content. |
© 2023 by the authors. Licensee MDPI, Basel, Switzerland. This article is an open access article distributed under the terms and conditions of the Creative Commons Attribution (CC BY) license (https://creativecommons.org/licenses/by/4.0/).
Share and Cite
Li, J.; Song, R.; Zou, X.; Wei, R.; Wang, J. Simultaneous Preparation of Chitin and Flavor Protein Hydrolysates from the By-Products of Shrimp Processing by One-Step Fermentation with Lactobacillus fermuntum. Molecules 2023, 28, 3761. https://doi.org/10.3390/molecules28093761
Li J, Song R, Zou X, Wei R, Wang J. Simultaneous Preparation of Chitin and Flavor Protein Hydrolysates from the By-Products of Shrimp Processing by One-Step Fermentation with Lactobacillus fermuntum. Molecules. 2023; 28(9):3761. https://doi.org/10.3390/molecules28093761
Chicago/Turabian StyleLi, Jiawei, Ru Song, Xiaoyu Zou, Rongbian Wei, and Jiaxing Wang. 2023. "Simultaneous Preparation of Chitin and Flavor Protein Hydrolysates from the By-Products of Shrimp Processing by One-Step Fermentation with Lactobacillus fermuntum" Molecules 28, no. 9: 3761. https://doi.org/10.3390/molecules28093761
APA StyleLi, J., Song, R., Zou, X., Wei, R., & Wang, J. (2023). Simultaneous Preparation of Chitin and Flavor Protein Hydrolysates from the By-Products of Shrimp Processing by One-Step Fermentation with Lactobacillus fermuntum. Molecules, 28(9), 3761. https://doi.org/10.3390/molecules28093761
